Testbed Emulator of Satellite-to-Ground FSO Downlink Affected by Atmospheric Seeing Including Scintillations and Clouds
Abstract
:1. Introduction
2. FSO Channel Emulator Representing the Impact of Atmospheric Impairments
3. Simulations of Atmospheric-Based Disruption Including Turbulence and Clouds
3.1. Atmospheric Turbulence Attenuation Based on RAOB Database
3.2. Cloud-Induced Optical Attenuation
3.3. Joint Characterization of a Space-Ground FSO System Based on Scintillations and Clouds
4. Performance of the Evaluated Photodetector
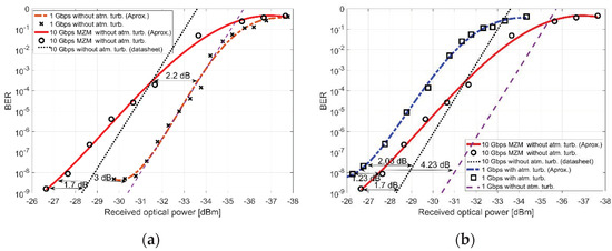
5. Results and Discussions
6. Conclusions
Author Contributions
Funding
Institutional Review Board Statement
Informed Consent Statement
Data Availability Statement
Acknowledgments
Conflicts of Interest
References
- Toyoshima, M. Recent Trends in Space Laser Communications for Small Satellites and Constellations. J. Lightwave Technol. 2021, 39, 693–699. [Google Scholar] [CrossRef]
- Hauschildt, H. Global quasi-real-time-services back to Europe: EDRS Global. In Proceedings of the International Conference on Space Optics—ICSO 2018, Chania, Greece, 9–12 October 2018; SPIE: Bellingham, WA, USA, 2019; p. 111800X. [Google Scholar]
- Cornwell, D.M. NASA’s optical communications program for 2017 and beyond. In Proceedings of the International Conference on Space Optical Systems and Applications (ICSOS), Naha, Japan, 14–16 November 2017; IEEE: Piscataway, NJ, USA, 2017; pp. 10–14. [Google Scholar]
- Salfer-Hobbs, M.B.; Miletich, T.J.; Coffaro, J.T.; Kimble-Williams, H.J. Evaluation of instruments for turbulence measurements at 1 km and 13.5 km ranges. In Proceedings of the Laser Communication and Propagation through the Atmosphere and Oceans X, San Diego, CA, USA, 1–5 August 2021; SPIE: Bellingham, WA, USA, 2021; p. 1183402. [Google Scholar]
- Zuraski, S.M.; Fiorino, S.T.; McCrae, J.E.; VanTilburg, E.J.; Weisenbach, L.W.; Wilson, M.D. Vertical profiles of turbulence measured with a Rayleigh beacon. In Proceedings of the Laser Communication and Propagation through the Atmosphere and Oceans X, San Diego, CA, USA, 1–5 August 2021; SPIE: Bellingham, WA, USA, 2021; p. 118340T. [Google Scholar]
- Land, J.; Whitley, D. Experimental validation and design feasibility of a compact interferometric refractive index structure constant measurement sensor for atmospheric turbulence characterization. In Proceedings of the Laser Communication and Propagation through the Atmosphere and Oceans X, San Diego, CA, USA, 1–5 August 2021; SPIE: Bellingham, WA, USA, 2021; p. 1183405. [Google Scholar]
- Marzano, F.S.; Carrozzo, D.; Mori, S.; Moll, F. Clear-air turbulence effects modeling on terrestrial and satellite free-space optical channels. In Proceedings of the 4th International Workshop on Optical Wireless Communications (IWOW), Istanbul, Turkey, 7–8 September 2015; IEEE: Piscataway, NJ, USA, 2015; pp. 36–40. [Google Scholar]
- Ivanov, H.; Leitgeb, E.; Kraus, D.; Marzano, F.; Jurado-Navas, A.; Dorenbos, S.; Perez-Jimenez, R.; Freiberger, G. Free Space Optics System Reliability in the Presence of Weather-Induced Disruptions. In Guide to Disaster-Resilient Communication Networks. Computer Communications and Networks; Rak, J., Hutchison, D., Eds.; Springer: Berlin/Heidelberg, Germany, 2020; pp. 327–351. [Google Scholar]
- Gladysz, S.; Zepp, A.; Segel, M.; McDonald, D.; Bellossi, R.; Lechner, D.; Gasperin, O.J.G.; Stein, K. Wavefront sensing for terrestrial, underwater, and space-borne freespace optical communications. In Proceedings of the Laser Communication and Propagation through the Atmosphere and Oceans X, San Diego, CA, USA, 1–5 August 2021; SPIE: Bellingham, WA, USA, 2021; p. 11834. [Google Scholar]
- Drexler, K.; Lilledahl, S.; Laxton, B. Digital adaptive optics for turbulence mitigation. In Proceedings of the Laser Communication and Propagation through the Atmosphere and Oceans X, San Diego, CA, USA, 1–5 August 2021; SPIE: Bellingham, WA, USA, 2021; p. 118340D. [Google Scholar]
- Ivanov, H.; Pezzei, P.; Leitgeb, E. Estimation of Cloud-induced Optical Attenuation over Near-Earth and Deep-space FSO Communication Systems. In Proceedings of the International Conference on Software, Telecommunications and Computer Networks (SoftCOM), Split, Croatia, 23–25 September 2021; IEEE: Piscataway, NJ, USA, 2021; pp. 1–5. [Google Scholar]
- Alliss, R.J.; Felton, B. The mitigation of cloud impacts on free-space optical communications. In Proceedings of the Atmospheric Propagation IX, Baltimore, MD, USA, 25–26 April 2012; SPIE: Bellingham, WA, USA, 2012; Volume 8380, p. 83800S. [Google Scholar]
- Fuchs, C.; Moll, F. Ground station network optimization for space-to-ground optical communication links. J. Opt. Commun. Netw. 2015, 7, 1148–1159. [Google Scholar] [CrossRef] [Green Version]
- Biswas, A.; Wilson, K.E.; Piazzolla, S.; Wu, J.P.; Farr, W.H. Deep-space optical communications link availability and data volume. In Proceedings of the Free-Space Laser Communication Technologies XVI, San Jose, CA, USA, 25 January 2004; SPIE: Bellingham, WA, USA, 2004; Volume 5338. [Google Scholar]
- Alonso, A.; Reyes, M.; Sodnik, Z. Performance of satellite-to-ground communications link between ARTEMIS and the Optical Ground Station. In Proceedings of the Optics in Atmospheric Propagation and Adaptive Systems VII, Maspalomas, Spain, 13–14 September 2004; SPIE: Bellingham, WA, USA, 2004; p. 5572. [Google Scholar]
- Miklusis, D.; Sodnik, Z. A novel ground receiver for EDRS. In Proceedings of the Free-Space Laser Communications XXXII, San Francisco, CA, USA, 3–4 February 2020; SPIE: Bellingham, WA, USA, 2020; p. 112720T. [Google Scholar]
- Maho, A.; Faugeron, M.; Le Kernec, A.; Elayoubi, K.; Sotom, M. Assessment of the effective performance of DPSK vs. OOK in satellite-based optical communications. In Proceedings of the International Conference on Space Optics—ICSO 2018, Chania, Greece, 9–12 October 2018; SPIE: Bellingham, WA, USA, 2019; p. 111805T. [Google Scholar]
- Müncheberg, S.; Gal, C.; Horwath, J.; Kinter, H.; Navajas, L.M.; Soutullo, M. Development status and breadboard results of a laser communication terminal for large LEO constellations. In Proceedings of the International Conference on Space Optics—ICSO 2018, Chania, Greece, 9–12 October 2018; SPIE: Bellingham, WA, USA, 2019; p. 1118034. [Google Scholar]
- Ivanov, H.; Leitgeb, E. Characteristics of Ultra-Long Deep Space FSO Downlinks Using Special Detector Technologies Like SNSPD. In Proceedings of the 22nd International Conference on Transparent Optical Networks (ICTON), Bari, Italy, 19–23 July 2020; IEEE: Piscataway, NJ, USA, 2020; pp. 1–4. [Google Scholar]
- Ivanov, H. Breadboard Detailed Design. In System Study of Optical Communications with a Hybridised Optical/RF Payload Data Transmitter; Technical report; European Space Agency, ESTEC: Noordwijk, The Netherlands, 2018; Contract No. 4000115256/15/NL/FE. [Google Scholar]
- Ivanov, H.; Hatab, Z.; Marzano, F.; Leitgeb, E. Hardware emulation of satellite-to-ground APD-based FSO downlink affected by atmospheric turbulence-induced fading. In Proceedings of the Laser Communication and Propagation through the Atmosphere and Oceans X, San Diego, CA, USA, 1–5 August 2021; SPIE: Bellingham, WA, USA, 2021; p. 1183409. [Google Scholar]
- Andrews, L.C.; Phillips, R.L.; Young, C.Y. Laser Beam Scintillation with Applications; SPIE Press: Bellingham, WA, USA, 2001. [Google Scholar]
- Marzano, F.S.; d’Auria, G. Model-based prediction of amplitude scintillation variance due to clear-air tropospheric turbulence on Earth-satellite microwave links. J. IEEE Trans. Antennas Propag. 1998, 46, 1506–1518. [Google Scholar] [CrossRef]
- Tatarski, V.I. The Effects of the Turbulent Atmosphere on Wave Propagation; Technical Report; Israel Program for Scientific Translations: Jerusalem, Israel, 1971. [Google Scholar]
- Dewan, E.M.; Good, R.E.; Beland, R.; Brown, J. A Model for (optical turbulence) profiles using radiosonde data. J. Environ. Res. Pap. 1993, PL-TR-93-2043, 1121. [Google Scholar]
- Cherubini, T.; Businger, S. Another Look at the Refractive Index Structure Function. J. Appl. Meteorol. Climatol. 2013, 52, 498–506. [Google Scholar] [CrossRef]
- Andrews, L.C. Field Guide to Atmospheric Optics; SPIE field guides; SPIE Press: Bellingham, WA, USA, 2004. [Google Scholar]
- Fried, D.L. Scintillation of a ground-to-space laser illuminator. J. Opt. Soc. Am. 1967, 57, 980–983. [Google Scholar] [CrossRef]
- Piazzolla, S. Atmospheric Channel. In Near-Earth Laser Communications; Optical Science and Engineering Series; Hemmati, H., Ed.; CRC Press: Boca Raton, FL, USA, 2021. [Google Scholar]
- Mori, S.; Marzano, F.S. Microphysical Characterization of Free Space Optical Link due to Hydrometeor and Fog Effects. J. Appl. Opt. 2015, 54, 6608–6840. [Google Scholar] [CrossRef] [PubMed]
- Tampieri, F.; Tomasi, C. Size distribution models of fog and cloud droplets in terms of the modified gamma function. J. Tellus 1976, 28, 333–347. [Google Scholar]
- Shettle, E.P. Models of aerosols, clouds and precipitation for atmospheric propagation studies. In Proceedings of the AGARD Conference, Xi’an, China, 12–14 September 1989; Volume 454, pp. 1–13. [Google Scholar]
- Heymsfield, A.J.; Krämer, M.; Luebke, A.; Brown, P.; Cziczo, D.J.; Franklin, C.; Lawson, P.; Lohmann, U.; McFarquhar, G.; Ulanowski, Z.; et al. Cirrus Clouds. J. Meteorol. Monogr. 2017, 58, 2.1–2.26. [Google Scholar] [CrossRef] [Green Version]
- Le, H.D.; Nguyen, T.V.; Pham, A.T. Cloud Attenuation Statistical Model for Satellite-Based FSO Communications. J. IEEE Antennas Wirel. Propag. Lett. 2021, 20, 643–647. [Google Scholar] [CrossRef]













| Cloud Type | a | α | b |
|---|---|---|---|
| Cumulus | 2.6 | 3 | 0.5 |
| Stratus 2 | 27 | 2 | 0.6 |
| Stratocumulus | 52.7 | 2 | 0.75 |
| Altostratus | 6.26 | 5 | 1.11 |
| Nimbostratus | 7.67 | 2 | 0.42 |
| Cirrus | 2.21 × 10−12 | 6 | 0.09 |
Publisher’s Note: MDPI stays neutral with regard to jurisdictional claims in published maps and institutional affiliations. |
© 2022 by the authors. Licensee MDPI, Basel, Switzerland. This article is an open access article distributed under the terms and conditions of the Creative Commons Attribution (CC BY) license (https://creativecommons.org/licenses/by/4.0/).
Share and Cite
Ivanov, H.; Marzano, F.; Leitgeb, E.; Bekhrad, P. Testbed Emulator of Satellite-to-Ground FSO Downlink Affected by Atmospheric Seeing Including Scintillations and Clouds. Electronics 2022, 11, 1102. https://doi.org/10.3390/electronics11071102
Ivanov H, Marzano F, Leitgeb E, Bekhrad P. Testbed Emulator of Satellite-to-Ground FSO Downlink Affected by Atmospheric Seeing Including Scintillations and Clouds. Electronics. 2022; 11(7):1102. https://doi.org/10.3390/electronics11071102
Chicago/Turabian StyleIvanov, Hristo, Frank Marzano, Erich Leitgeb, and Pasha Bekhrad. 2022. "Testbed Emulator of Satellite-to-Ground FSO Downlink Affected by Atmospheric Seeing Including Scintillations and Clouds" Electronics 11, no. 7: 1102. https://doi.org/10.3390/electronics11071102
APA StyleIvanov, H., Marzano, F., Leitgeb, E., & Bekhrad, P. (2022). Testbed Emulator of Satellite-to-Ground FSO Downlink Affected by Atmospheric Seeing Including Scintillations and Clouds. Electronics, 11(7), 1102. https://doi.org/10.3390/electronics11071102

