Next Article in Journal
Far-Field DOA Estimation of Uncorrelated RADAR Signals through Coprime Arrays in Low SNR Regime by Implementing Cuckoo Search Algorithm
Previous Article in Journal
Machine-Learning-Based Darknet Traffic Detection System for IoT Applications
 
 
Font Type:
Arial Georgia Verdana
Font Size:
Aa Aa Aa
Line Spacing:
Column Width:
Background:
Article

A Novel Polarization and DOA Reliable Auto-Tracking Antenna System

1
State Key Laboratory of Media Convergence and Communication, Communication University of China, Beijing 100024, China
2
Huawei Technologies Co. Ltd., Beijing 100022, China
3
Ninebot, Beijing 100125, China
4
Electronic Information Engineering, Beihang University, Beijing 100191, China
5
Electronic, Electrical and Systems Engineering, University of Birmingham, Birmingham B15 2TT, UK
*
Author to whom correspondence should be addressed.
Electronics 2022, 11(4), 557; https://doi.org/10.3390/electronics11040557
Submission received: 15 December 2021 / Revised: 5 February 2022 / Accepted: 9 February 2022 / Published: 12 February 2022
(This article belongs to the Section Microwave and Wireless Communications)

Abstract

:
In this study, a novel compact auto-tracking antenna system was developed to ensure the high reliability of practical applications. The system consisted of three antennas (two anchor antennas and a tag antenna), three ultra-wide band (UWB) chips, and one compact turntable. On the anchor side, two highly linearly polarized antennas with a short baseline were installed on an auto-control turntable. Two UWB chips were integrated with the two anchor antennas to extract the phase and amplitude information of the receiving signal. On the tag side, a wide-beam circularly polarized antenna with a UWB chip was installed to mitigate the effect of the tag’s pose on the phase measurement. Using a correlation matching algorithm based on the phase difference of arrival, high tracking reliability with a 90% success rate was achieved for all practical direction-of-arrivals and various axial rotating angles of the tag over the maximum radiation deflection angles between –90° and 135°. The operation distance of a demo self-balanced two-wheeled vehicle was 20 m.

1. Introduction

Close-range localization has gained significant attention for applications in consumer electronics, such as smart shelf [1], asset auto-management [2,3], autonomous vehicle positioning [4], robot navigation [5,6,7,8], and tracking [9,10]. Technologies using laser, sonar, infrared, or visual sensors have been developed. However, these sensors generally suffer from poor accuracy in various harsh environments (e.g., fog, smoke, and darkness) [11,12]. Recently, radio frequency (RF) positioning technology has attracted widespread attention, owing to its low cost, light weight, and lack of sensitivity to optical environments [4,7,13,14]. An RF positioning system usually consists of tags (target antennas) that transmit signals containing location information and anchors (measuring antennas) that estimate the position of the tags [15]. Various methods—received signal strength (RSS), time of arrival (TOA), time difference of arrival (TDOA), and phase difference of arrival (PDOA)—have been used to explore different types of information from the received signals.
The RSS-based technique can be used to estimate the positions of targets under non-line-of-sight conditions. Using the multipath attenuation of signals, theoretical and experimental models can be established to estimate the distance of targets from a set of measuring units. The positioning error of RSS-based techniques is typically in the order of 1 m [7,16,17,18]. However, this technique requires a large working area and pre-correction; therefore, it is difficult to build a universal model, owing to the complicated propagation environment.
TOA-based systems calculate the range between the target and the measuring unit by recording the travel time of line-of-sight signals. A minimum of three measuring units are required to determine the target position. The standard error of TOA measurements in open areas is approximately 1 m [19]. Similar to the RSS technique, [20,21] recorded TOAs of the shadowed links as location fingerprints for localization achieve a precision of approximately 0.9 m. However, the TOA-based systems require all the targets and measuring units to be precisely synchronized and a timestamp labeled in the transmitting signal for the measuring units to discern the propagation time.
The TDOA measures the time difference of the signal arriving at multiple measuring units. The measured TDOAs are then converted into the angle-of-arrival (AOA) information for localization. Ref. [22] employed TDOA in indoor localization and achieved an accuracy within a 1 m range with a probability of approximately 99%. A 3D TDOA-based positioning system [23] placed four measuring units at four corners to achieve a precision of 0.3 m. However, similar to TOA, TDOA requires a precise time reference between the measuring units.
PDOA-based localization is similar to the TDOA method; however, it is based on phase measurements and can achieve high location precision. Ref. [24] used three antenna arrays to produce three AOAs that intersect at the target position, achieving a mean positioning error of 0.21 m in an area of 3 × 3 m. For indoor autonomous vehicle positioning, Ref. [4] combined an odometry sensor with an RFID reader and fixed tags on the ceiling and realized an average positioning error of approximately 4 cm in an area of 5 m2. PDOA-based localization has a higher location accuracy compared to other technologies. However, it requires a tradeoff between the direction-finding accuracy and the phase ambiguity, depending on the antenna baseline length. Resolving this ambiguity usually requires more than two anchor antennas, which increases the system complexity and entails the use of precise systematic calibration [25]. A rotating long-baseline PDOA-base system was reported in [26], using only two antennas at the anchor side but still achieving high AOA precision. However, its size and cost prohibited its application in consumer electronics.
If the location system only uses a single range or AOA estimation, the number of measuring units required in the system would be fairly large and acquire a significant amount of space. The number of measuring units can be reduced to one by combining range and AOA estimation [4,14,27]. In Ref. [28], a novel indoor localization technique was proposed that utilized physical layer information to extract the signal strength and the angle of only the direct path, successfully avoiding the effect of multipath reflections. This technique was used to localize a device when only a single access point (AP) was present. Meanwhile, a system in [29] enabled a single Wi-Fi AP to localize clients to within tens of centimeters. The system can compute sub-nanosecond time-of-flight using commodity Wi-Fi cards. By multiplying the time-of-flight by the speed of light, a MIMO AP can compute the distance between each of its antennas and the client, hence localizing it. The authors of [30] proposed S-Phaser, an indoor localization system that uses a single Wi-Fi AP to locate terminals. S-Phaser utilizes channel state information to compute the direct path length between a single AP and terminals, using a geometric positioning algorithm to determine the user’s location. S-Phaser can improve the median localization error to 1.5 m with a single Wi-Fi AP. The purpose of Ref. [31] was to implement a novel active radar system, which employed the 802.11 fine time measurement round trip time (RTT) to calculate the ranging distance and acquired two channels of the RSS indicator to estimate the azimuthal angle. This demonstrated the real-time two-dimensional localization of Wi-Fi RTT-compatible mobile internet-of-things devices.
In practical application scenarios, the PDOA-based localization system encounters several problems, such as environmental effects [32], coupling between antennas [33], and polarization purity deterioration [34]. Considering an auto-tracking system where both the tags and anchors are movable, the relative pose of the transceiver antennas changes [35], causing inconsistencies in the polarization direction and maximum radiation direction of the transceiver antennas, which ultimately reduces the system reliability. Therefore, it is essential to eliminate the impact of the antenna pose variation on auto-tracking.
In this study, a novel PDOA-based auto-tracking system with robust location accuracy is demonstrated for low-cost and compact consumer electronics. This system is designed for a wide range of practical scenarios (e.g., an office, market, and park). The main contributions of the proposed system are as follows:
  • It combines the PDOA method with an odometry sensor, such that only one tag and one anchor are required for high-precision positioning.
  • To meet the requirement of consumer electronics, the system is designed to be compact and low-cost.
  • A high linear-polarization patch antenna array and a wide-beam circularly polarized (CP) antenna are utilized. This configuration provides reliable positioning performance for all DOAs, various axial rotating angles, and most maximum radiation deflection angles of the tag antenna.
  • The turntable is used to rotate the anchor antenna to remove the ambiguity period of 2π in the phase measurement and further improve the system’s accuracy and reliability.
The rest of this paper is organized as follows. Section 2 introduces the concept of PDOA-based localization and the problems under consideration for the auto-tracking system. In Section 3, different types of antennas are analyzed and compared to illustrate the effect of changing antenna poses. The design requirement for the antenna is then outlined. The proposed positioning system is also introduced in this section. Section 4 discusses the proposed least-squares algorithm for calibration and the correlation algorithm for direction-of-arrival (DOA) estimation. Section 5 reports the results of the antenna and operating principle of the turntable. The system configuration and tracking verification are also included in this section. Section 6 draws some conclusions.

2. PDOA Method

DOA estimation is one of the key technologies of an ultra-wideband (UWB) system. In [36], a new DOA estimation method was proposed based on the array cross-correlation vector model that can decrease the computational complexity of the multiple measurement vectors model. The new method can provide high detection probability while maintaining a low computational cost. The authors of [37] suggested a novel hybrid non-uniform and linear array and proposed an efficient DOA estimation scheme that can distinguish adjacent signal sources with high accuracy. In addition, the proposed scheme tackles the problem of phase ambiguity.
Generally, the PDOA-based localization system uses the range and bearing information to locate an object. Figure 1 shows a simple configuration of the location system, involving two anchor antennas at the receiving side and a tag antenna at the transmitting side. All antennas are linearly polarized and placed in the same horizontal plane. The working principle of the system is as follows:
  • The tag antenna sends out a UWB signal to the anchor side.
  • The two anchor antennas receive the signal and extract the phase difference and perform the DOA estimation.
  • Because the UWB signal is a pulse in the time domain, the anchors can acquire an accurate time-of-flight (TOF) between the tag and anchor antennas, and the range between them can be calculated.
  • With the range and DOA information, the position of the tag antenna can be determined.
The phase difference between the two anchor antennas can be calculated using Equation (1) as follows:
Δ ϕ = 2 π λ d cos ( θ ) ,
where d is the baseline distance between the two anchor antennas, θ is the angle between the DOA and baseline, and λ is the wavelength of the incoming wave. The output phase difference is not only obtained at a single frequency but also averaged over the entire UWB band. Thus, the errors that may occur at some frequencies are averaged out to an insignificant level.
Compared with TDOA and TOA, the PDOA-based localization system can achieve higher localization accuracy with a more compact antenna layout and fewer antennas [20,22,24], rendering it less costly and more portable. Unlike GPS- or WLAN-based positioning, the PDOA-based localization system is more versatile both indoors and outdoors [7,38]. Furthermore, this location system can quickly locate a mobile object installed with a tag antenna and automatically track it; the typical positioning time is 100 ms. Such factors render the PDOA-based localization the most suitable for consumer electronics.
Despite these benefits, PDOA-based localization encounters problems in practical applications. In the phase measurement, the spacing between the two anchor antennas must ideally be less than λ/2 to avoid the ambiguity of 2π in phase. However, such proximity between the antennas reduces the isolation and polarization purity, introducing errors into the measured phase. Therefore, a tradeoff is required to optimize the DOA estimation accuracy. In addition, the PDOA-based DOA estimation with two anchor antennas results in two solutions, one in the front 180° semicircle and the other in the back semicircle, as illustrated in Figure 1. This causes reverse ambiguity in the DOA estimation. Using more than two anchor antennas can solve this ambiguity at the cost of increasing the system complexity and requires a precise calibration procedure to remove phase errors.
The relative pose of the tag and anchor antenna after installation on a moving platform, similar to the most practical cases, changes due to the movement. This affects the stability of the positioning system. Three such scenarios are illustrated in Figure 2, Figure 3 and Figure 4. Figure 2 illustrates the case when the maximum radiation direction of the tag antenna deflects from its boresight (O1O2). This lowers the signal strength received in the anchor side and results in a reduced signal-to-noise ratio. Figure 2 and Figure 3 show the polarization change of the tag antenna relative to the anchors, as the tag deflects from O1O2 in the vertical plane or rotates around O1O2. As a result, the co-polarization component of the incoming wave is reduced, which decreases the received signal intensity. The cross-polarization component of the incoming wave may also increase, causing co-channel interference. In Figure 4, the angle, θ, is the DOA deviation from the normal direction of the anchor baseline. The larger the deviation of θ, the lower the DOA estimation accuracy [25]. In addition, when the localization is performed in a complex electromagnetic environment, such as indoors, the signal may be reflected or blocked by other objects. This multipath effect increases the noise level.
To mitigate the abovementioned complexities, it is vital to develop an antenna system that is immune from the phase ambiguity and variation in antenna poses. It also requires a system setup to estimate the DOA with high precision with no reverse ambiguity. With these improvements, the PDOA-based localization may perform more reliably in complex environments.

3. Antenna System Design

In this section, the errors due to antenna polarization purity and the coupling between antenna elements are studied and compared. To address these issues, tag-anchor antennas are proposed to reduce the errors caused by pose-changing antennas, and turntable under anchor antennas are used to align the main lobe of the transceiver antennas together.
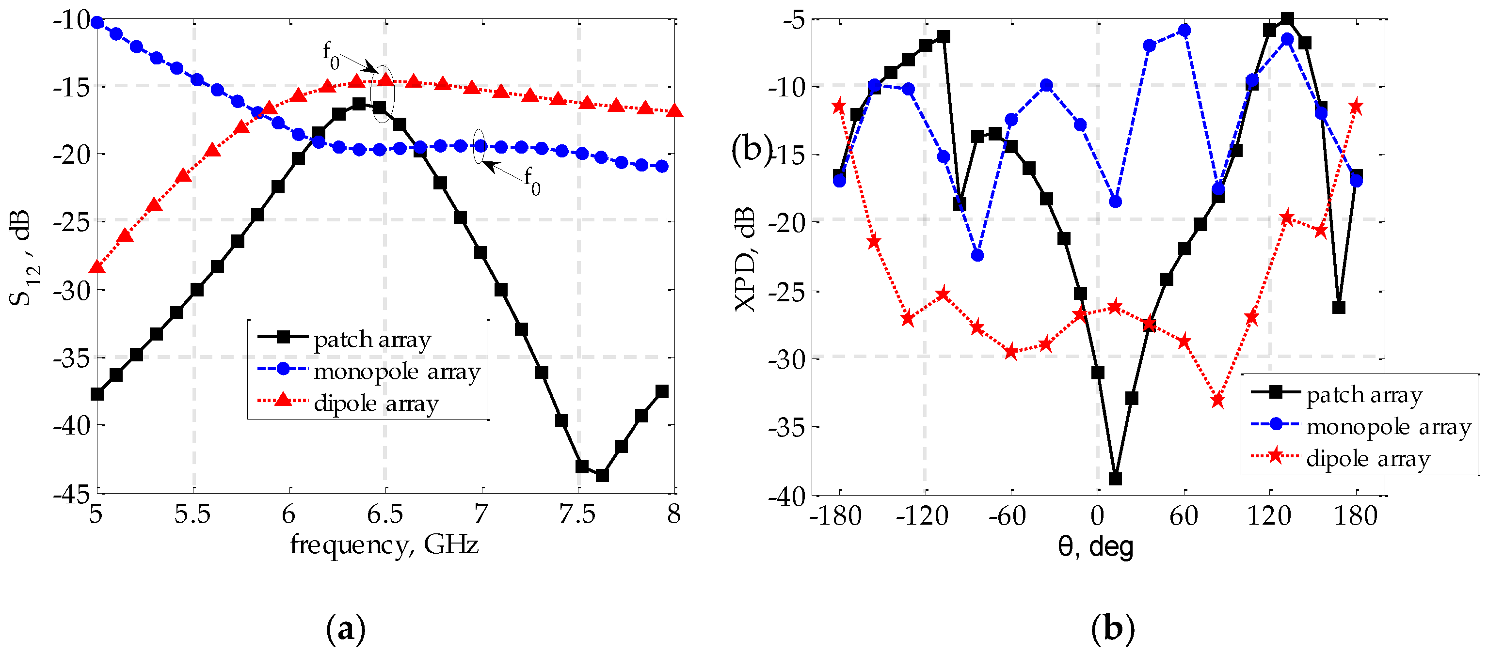
The coupling effects between the two anchor antennas are generally harmful for the DOA estimation. Therefore, high isolation between the antennas is desired in such localization scenarios. However, we found that the DOA estimation accuracy relies more on the polarization purity than the isolation. The following text provides a summary of the comparative study among three two-element antenna arrays— high-isolation monopole array, high linear-polarization rectangular patch array, and high linear-polarization dipole array, as shown in Figure 5. The performance of the three types of two-element antenna arrays was simulated using CST microwave studio. The simulated S12 responses in Figure 6a and the cross-polarization discrimination (XPD) over the working azimuth angle (θ) of −90° to +90° in Figure 6b show that the rectangular patch array shows 5 dB better XPD but 5 dB lower isolation than the monopole array. The dipole array provided 6 dB higher XPD with slightly lower isolation than the rectangular patch array.
The layout of the antenna array is more focused on whether the antenna array should be located at the top, upper middle or middle of the whole board. Considering that the mutual coupling between the antenna and the circuit board is difficult to be accurately simulated, the antenna is generally arranged on the top of the whole circuit board. The radiation performance of the patch antenna element is actually significantly affected by the size and layout of the ground plane. In this layout, when the antenna array is close to the top of the whole circuit board, the mutual coupling between the two antenna units is relatively low because the ground plane size with a strong current is decreased, as shown in Figure 7a. At the same time, the cross-polarization symmetry in the Y-axis direction is also improved, which is conducive to obtaining a relatively accurate DOA angle within a wide angle range in the Y-axis direction, as shown in Figure 7b. The coupling between the antenna elements with different d is presented in Figure 7c. The coupling strength will decrease with the increase in the distance between antenna elements. The design goal of the system is that the coupling strength is less than −15 dB. In this paper, the smallest spacing is selected under the condition that S21 is below −15 dB. necessary
Figure 8 compares the DOA estimation accuracy of the three arrays illuminated by a CP wave. The DOA was estimated through a radiation pattern phase difference in the simulation. The rectangular patch array, with a higher XPD, shows an overall better DOA estimation accuracy than the monopole, although it has lower isolation. The dipole array, with the highest XPD in the horizontal plane, provided the highest DOA estimation accuracy of less than 5° between −80° and 80°. It can be concluded that the DOA estimation depends more on the polarization purity than the isolation between the radiation elements. The deviations of the simulated phase difference from the theoretical difference calculated using Equation (1) are shown in Figure 9 and denoted as δ phase difference. The phase difference shows a strong correlation with the XPD in Figure 6a. This is because the phase between the received cross-polar component and co-polar component is different, and the absolute phase difference is the superposition of the two. These results further confirm that the higher polarization purity is significantly beneficial to the DOA estimation. In addition, Figure 9 shows that the δ phase difference of the anchor antennas is approximately 360° at the edges of the front semicircle, causing the ambiguity of 2π to the phase measurement. This corresponds to the reverse ambiguity as indicated in the DOA estimation in Figure 8.
Since the two-element array only estimated DOA from the front semicircle in the horizontal plane, a good front-to-back ratio is required for the anchor antennas. Figure 6b and Figure 10 show that the front side of the two high linear–polarization arrays has a higher gain and better XPD in the front semicircle than in the back semicircle. The front-to-back ratio was over 10 dB. This removes the reverse ambiguity caused by strong back radiation in the DOA estimation. In contrast, Figure 8 shows that the monopole array is prone to reverse ambiguity in the DOA estimation due to its poor front-to-back ratio.
Although the dipole array showed the best DOA estimation precision, it occupies more space and is difficult to manufacture. In contrast, the patch antenna is easily fabricated using the print circuit board (PCB). Thus, the rectangular patch array was chosen as the anchor antenna in this study. Figure 11 shows that the proposed anchor antennas have a high DOA estimation accuracy in the pitch angle from 0° to 30°, whereas the DOA estimation accuracy becomes poorer when the pitch angle is greater than 45°.
Figure 12 shows the deviations between the extracted phase difference and the ideal difference calculated using Equation (1), denoted as Δϕ under three polarization scenarios of the incoming signal. Since the horizontally polarized wave was orthogonal to the polarization of the anchor antennas, it resulted in significant errors in the phase difference. For vertical and circular polarizations, the anchor antennas resolved the phase difference with an error of less than 15° on average. A CP antenna was preferred because the reception was less affected by the axial rotation of the tag antenna. Furthermore, the tag antenna required a wide beamwidth to compensate for the deflection of the beam from O1O2. Considering these factors, the tag antenna must have circular polarization and wide beamwidth to provide a reliable DOA estimation.
Considering all of the aforementioned factors, we propose a system architecture of the PDOA-based localization as shown in Figure 13. It contains two anchor antennas on a turntable installed in a self-balancing two-wheeled vehicle and a tag antenna mounted in a handheld device. The tag antenna in the handset was used to transmit a UWB signal containing bearing information to the anchor antennas. The turntable was 0.74 m above the ground. The pitch angle, γ, between the tag and anchor antennas ranged from 0 to 25°. The tag antenna was allowed to be deflected by α1 in a vertical plane or α2 in a horizontal plane from O1O2. In addition, the tag antenna was allowed to rotate at an angle (β) around its axial direction. α1 and α2 ranged from 0 to 50°, and β had a range of 0–360°. The operation range was 0–20 m. Figure 14 shows the top view of two anchor antennas and their interaction with the incoming wave. θ is the DOA ranging from –180° to 180°.
Decwave UWB chips were used for providing receiving signal phase information. Combined with the DOA information, localization was achieved with a standard deviation of less than 10 cm. The system operates as follows: the turntable first rotates a full circle to identify and then track the maximum radiation direction of the tag antenna and align the normal vector of the anchor antennas to it. The phase difference between the UWB signals received by the two anchor antennas are extracted and processed by the two low-cost UWB chips. Subsequently, the TOF between the tag and anchor antennas is obtained. Through data processing, accurate DOA and range estimation is established. Finally, the self-balancing two-wheeled vehicle locates the object and tracks it. The rotation of the turntable allows the anchor antennas to always set θ to approximately 90° and aligns the maximum radiation direction of the tag and anchor antennas. Figure 11 shows that this alignment further improves the DOA estimation accuracy and reliability because the DOA estimation precision is relatively high when θ is small.
Figure 15 shows that, in practical application, the mechanical supporting structure covering the proposed anchor antennas is inhomogeneous. This material inhomogeneity and cover effect not only degraded the XPD of the anchor antennas, but also introduced an additional phase difference into the received signals. Figure 16 shows that, with the cover, the azimuth angular range (θ) corresponding to the XPD of higher than −15 dB was reduced to ±25°. Although the DOA estimation accuracy over this range was reduced to 10°, it was still high around the θ of 0°. Therefore, a high polarization purity while using the turntable allowed the DOA estimation accuracy of the proposed anchor antennas to be insensitive to the mechanical supporting structure. This ensured the reliability of the positioning system.

4. DOA Estimation Algorithm

This section presents the proposed correlation matching algorithm for the DOA estimation with a pre-stored phase-difference data set. It also discusses a least-squares method for calibrating the pre-stored data set.
Figure 14 shows the topology of anchor antennas with two linearly polarized receiving nodes. The high front-to-back ratio of the anchor antennas enables capturing the signals of the incoming wave in the front semicircle without an ambiguous solution in the back semicircle. The phase difference extracted from the receiving signal is related to the azimuth angle (θ) and elevation angle (γ).
The arriving wavefront denoted by ε is expressed as
ε ( x , y , z , t ) = Re { E ( x , y , z ) e j ω t }     = Re { E 0 e j β r e j ω t }     = E 0 cos ( ω t β r ) ,
where r = x + y + z is the position vector and β = β x x + β y y + β z z is the propagation vector of the plane wave. As shown in Figure 14, the components of propagation β projected on a Cartesian coordinate system can be written as
β x = β 0 cos γ sin θ , β y = β 0 cos γ cos θ , β z = β 0 sin γ .
Thus, the phase difference between the two anchor antennas is
Φ = β r A 1 A 2       = β 0 d c o s γ s i n θ       = 2 π d λ c o s γ s i n θ
where d is the baseline length of anchor antennas, r A 1 A 2 is the position vector of the baseline, and λ is the wavelength of an incoming wave in free space.
The anchor antenna installed in a prototype is first tested at a distance of 10 m to obtain a set of Φ in the front semicircle. This data set is stored in the memory of the Decawave UWB chips as the reference data for the correlation matching algorithm. The pre-stored data set of Φ can be expressed as
Φ 1 , i = 2 π d λ cos γ 0 sin θ i ,
where i = 0, 1–180, γ0 is a constant altitude DOA in the test, and θi is the azimuth DOA under pre-test, chosen as
θ i = i 90
However, Φ1,i differs from the actual one, owing to the mechanical and electrical tolerance in the mass production process. These errors can be divided into the azimuth DOA deviation, Δθ, and phase-difference deviation, ΔΦ, as
Δ θ = Δ θ r + Δ θ t + Δ θ o , b ,
Δ Φ = Δ Φ θ + Δ Φ c + Δ Φ o , b
where Δθr, Δθt, and Δθo denote the azimuth DOA deviation caused by rotation error, turntable tilting, and others, respectively. ΔΦθ, ΔΦc, and ΔΦo denote the phase-difference deviation caused by azimuth DOA, channels inconsistency, and others, respectively. Therefore, Equation (5) can be rewritten to represent the corrected Φ1,i as
Φ 2 , i = Φ 1 ( γ 0 , θ i + Δ θ ) + Δ Φ .
To minimize the errors of Δθ and ΔΦ in the phase-difference measurement, a least-squares method is used in calibrating Φ1,i. Let Φ2,j be the measured phase difference in calibration that has the same γ0 as Φ1,i. The calibration algorithm can be expressed as
S ( Δ θ , Δ Φ ) = min { i = j [ Φ 1 ( γ 0 , θ i + Δ θ ) + Δ Φ Φ 2 ( γ 0 , θ j ) ] 2 }
where j = 0, 1, …, 180, and θj is the tested azimuth DOA in calibration, chosen as
θ j = j 90 .
Since testing all of the values of θj is time consuming in mass production, only three values of θj are selected for calibration. Furthermore, an important region lies near the anchor antennas’ normal vector, where it is aligned to the tag’s maximum radiation direction after the turntable’s first rotation. Hence, the angles of −30°, 0, and 30° are chosen for calibration, that is,
j = 60, 90, 120.
With the three tested θj, the least-squares algorithm was run. First, Δθ and ΔΦ were solved from Equation (10). Equation (9) was then used as a new reference data set for the correlation matching algorithm.
Notably, γ equals γ0 during the calibration, while γ is changeable due to different operating distances and the tag’s main lobe deflection. Thus, Δγ was introduced to represent the altitude DOA deviation into phase measurement. Other errors from the environments (e.g., reflection, blocking, and antenna coupling) are more complex and dynamic. Therefore, the actual measured phase difference can be expressed as
Φ 3 , i = Φ 2 ( γ 0 + Δ γ , θ i ) + Δ Φ ( e v n ) ,
where evn denotes the variable corresponding to environments and ΔΦ (evn) denotes the phase-difference deviation caused by the environments.
Not considering ΔΦ (evn), we divided Φ3,I by Φ1,i and obtained the following expression:
Φ 3 , i Φ 1 , i = cos ( γ 0 + Δ γ ) cos γ 0 .
To make Φ3,i linearly related to Φ1,i, γ0 is controlled to be around 0 in the prototype testing. Thus, Equation (14) can be reduced to
Φ 3 , i Φ 1 , i = cos Δ γ .
The cos (Δγ) is a scale factor between Φ3,i and Φ1,i, which can be eliminated by the correlation matching algorithm.
Rather than matching Φ2,i individually, the (2K+1) Φ3,m+k values are simultaneously compared with the pre-stored set of (2K + 1) values Φ2,n+k, where –K < k < K and m, n∈{K, 1, 180 − K}. Since the turntable rotated once to roughly establish the tag’s maximum radiation direction (that is, DOA) and align the anchor antennas’ normal vector to it, the index, m, is determined as 90 because it has minimal DOA estimation errors. The correlation matching algorithm is as follows:
f ( n ) = max { Φ 3 T Φ 2 , n ( Φ 3 T Φ 3 ) ( Φ 2 , n T Φ 2 , n ) } n = K , 1 , , 180 K ,
where
Φ 2 , n = [ Φ 2 , n K , Φ 2 , n K + 1 , , Φ 2 , n + K ] ,
and
Φ 3 = [ Φ 3 , 90 K , Φ 3 , 90 K + 1 , , Φ 3 , 90 + K ] .
The estimated DOA was determined as the middle value of the (2K+1) matched θn+k
θ e s t i m a t e = θ ( n + K )
Since the phase errors are caused by production imperfection, the altitude DOA and complicated environments are significantly reduced by the least-squares algorithm and correlation matching algorithm. Therefore, the PDOA-based localization can perform reliably in practical applications.

5. Antenna System and Tracking Evaluation

5.1. Element Manufacturing and Results Analysis

Figure 17 shows the prototype of the tag antenna—a wide-beamwidth CP helix antenna. The metal wire is wound around a Teflon cylinder (ɛr = 2.2, D1 = 13 mm, and Hd = 17.4 mm) three times with a circular metal plate (D2 = 25 mm) at the bottom. The spacing (Sd) between each turn of the metal wire is 5.6 mm.
Figure 18 shows the simulated gain and half-power beamwidth (HPBW) of the tag antenna as a function of the frequency. The gain is higher than 6.6 dBi, and the HPBW is wider than 68° in both the xz and yz planes. Figure 19 shows that the simulated axial ratio (AR) is lower than 1.8 dB in both the xz and yz planes in the frequency range of 6–7 GHz. The low AR provides a good CP performance for the tag antenna, and the wide HPBW enables the tag antenna to illuminate the anchor side over a wide-beam deflection angle.
Figure 20 shows that two linearly polarized rectangle patch antennas are used as the anchors. The two rectangle patches (Lp = 14.2 mm, Wp = 10.9 mm) were both printed on an RO4350 substrate (ɛr = 3.66, T = 1.524 mm). The distance (d) between the two patches was 21.9 mm. Two Decawave DW1000 UWB chips were integrated into the circuit board to extract phase and amplitude information of the received signal on the anchor side. The ground plane (L = 49 mm, W = 40 mm) was printed on the backside of the same RO4350 substrate. Figure 21 shows the simulated S parameter and HPBW of the anchor antennas as a function of frequency. The working frequency range of the anchor antennas was 6.29–6.58 GHz, where S11 and the isolation (S12) were below −10 dB and −16 dB, respectively. The simulated 3-dB beamwidth was wider than 105° in the xz plane and 60° in the yz plane, ensuring that the anchor antennas received the signal over a wide angular range. Figure 22 shows the simulated radiation pattern of the anchor antennas at 6.3, 6.4, 6.5, and 6.6 GHz, where the blue square line is the H-plane co-polarization, red circular line is the E-plane co-polarization, green star line is the H-plane cross-polarization, and black triangle line is the E-plane cross-polarization. The front-to-back ratio was over 10 dB, and the XPD was greater than 15 dB between −90° and 90° for θ. The front-to-back ratio removed the reverse ambiguity, and the high XPD reduced the cross-polarization component, thereby reducing the co-channel interference.
The detailed dimensions of the tag antenna and anchor antennas are provided in Table 1.
The turntable was used to remove the reverse ambiguity in the DOA estimation and ensure reliable performance of the localization. Its working principle is (A) the turntable rotates one circle and records the signal strength in all azimuth angles; (B) from the recorded signal strength, the turntable can find and align the maximum radiation direction of the tag antenna and anchor antennas to maximize the DOA estimation accuracy; (C) the control module keeps the turntable still, and the DOA and range estimation is performed; and, (D) as the vehicle moves, the orientation of the turntable is adjusted to lock into the maximum radiation direction of the transceiver antennas such that the measurement accuracy is high and reliable. In addition, the positioning system was developed and tested. The turntable was controlled by a turntable driving board.

5.2. System Configuration and Tracking Verification

To maximize the system performance, the dipole antenna array, which is slightly expensive, was used in the demonstrator in place of the patch array because it provided a higher XPD. Figure 23 shows the auto-tracking antenna system installed in a self-balanced two-wheeled vehicle. On the anchor side, the dipole array integrated with two UWB chips was fixed on a turntable. All anchor components, covered by a protective structure, were installed on top of the vehicle for demonstration. The dipole array was folded to reduce the antenna height and soldered to the PCB with only three welding points to facilitate mass production. On the tag side, the wide-beam and CP tag antenna with a UWB chip was installed in a handheld device. The UWB chip generated a UWB signal with defined timestamps to transmit to the anchor. The UWB chips in the anchor side captured the timestamps of the UWB signal and obtained the TOF between the transceiver antennas. The TOF was converted into range information.
The phase difference was pre-tested and then stored in the memory module as reference data for the proposed algorithm, which helped achieve reliable DOAs. With the DOA and range information, the proposed auto-tracking antenna system auto-tracked the mobile object.
Experiments were performed to verify the system performance at different DOAs, tag axial deflection angles, and tag axial rotation angles and distances. All experiments were conducted with a fixed vehicle orientation at a distance of 10 m. Figure 24 shows the contour map of success tracking rate against tag axial deflection angle (azimuth angle, α1, and pitch angle, α2). The success tracking rate was defined as the ratio of successful tracking times and the total number of experiments. The success tracking rate was higher than 90% in the tag axial deflection angle range of −90° to 90°. Figure 25a shows that the success tracking rate was higher than 90% for most of the DOAs and axial rotation angles. The tracking performance of the auto-tracking antenna system was fairly high and reliable with various DOAs, tag deflection angles, and tag axial rotation angles. Figure 25a shows that the operating distance of the system could reach 20 m with over 90% success tracking rate for most DOAs, although the rate was slightly low in a DOA of around 90°. Figure 25b shows the success tracking rate of the patches antenna was worse than the dipoles. However, the rate was still higher than 90% when the distance was close to 20 m.

6. Conclusions

This study proposed a reliable auto-tracking antenna system for self-balancing two-wheeled vehicles. The antenna system consisted of two highly linearly polarized anchor antennas and a wide-beam CP tag antenna. Both simulation and measurement results confirm that the high linear-polarization purity of the proposed anchor antennas was significantly beneficial to the DOA estimation. A turntable was introduced on the anchor side to remove the reverse ambiguity in phase and further improve the accuracy and reliability of the antenna system. The wide-beam CP tag antenna ensured stable signals with different incident and polarization angles to meet the everyday usage habits of users. The antenna system was fixed into a demo self-balancing two-wheeled vehicle, and its operation was verified. The proposed auto-tracking antenna system is suitable for low-cost and compact consumer electronics.

Author Contributions

Conceptualization, Z.W. and C.L.; methodology, Y.Z. and G.R.; software, C.L.; validation, X.B., C.L. and Z.W.; writing—original draft preparation, X.B., C.L., Z.W. and Y.W.; writing—review and editing, X.B. and Z.W. All authors have read and agreed to the published version of the manuscript.

Funding

This work was supported in part by the Fundamental Research Funds for the Central Universities under Grant CUC210F005, and in part by the National Natural Science Foundation of China (NFSC) under Grant 62071436.

Conflicts of Interest

The authors declare no conflict of interest.

References

  1. Choi, J.S.; Lee, H.; Engels, D.W.; Elmasri, R. Passive UHF RFID-Based Localization Using Detection of Tag Interference on Smart Shelf. IEEE Trans. Syst. Man Cybern. Part C (Appl. Rev.) 2012, 42, 268–275. [Google Scholar] [CrossRef]
  2. Lehto, A.; Nummela, J.; Ukkonen, L.; Sudanheimo, L.; Kivikoski, M. Passive UHF RFID in Paper Industry: Challenges, Benefits and the Application Environment. IEEE Trans. Autom. Sci. Eng. 2009, 6, 66–79. [Google Scholar] [CrossRef]
  3. Chuang, M.L.; Shaw, W.H. RFID: Integration Stages in Supply Chain Management. IEEE Eng. Manag. Rev. 2007, 35, 80–87. [Google Scholar] [CrossRef]
  4. DiGiampaolo, E.; Martinelli, F. Mobile Robot Localization Using the Phase of Passive UHF RFID Signals. IEEE Trans. Ind. Electron. 2014, 61, 365–376. [Google Scholar] [CrossRef]
  5. Lee, K.B.; Myung, H.; Kim, J.H. Online Multi-objective Evolutionary Approach for Navigation of Humanoid Robots. IEEE Trans. Ind. Electron. 2015, 62, 5586–5597. [Google Scholar] [CrossRef]
  6. Wang, S.; Gu, D.; Chen, L.; Hu, H. Single Beacon-Based Localization With Constraints and Unknown Initial Poses. IEEE Trans. Ind. Electron. 2016, 63, 2229–2242. [Google Scholar]
  7. Wu, F.; Jen, C.L. Particle-Filter-Based Radio Localization for Mobile Robots in the Environments With Low-Density WLAN Aps. IEEE Trans. Ind. Electron. 2014, 61, 6860–6870. [Google Scholar] [CrossRef]
  8. Kong, L. AdaSharing: Adaptive Data Sharing in Collaborative Robots. IEEE Trans. Ind. Electron. 2017, 64, 9569–9579. [Google Scholar] [CrossRef]
  9. Lin, L.; Chang, Y.M.; Hung, C.C.; Tu, C.D.; Chuang, C.Y. Position Estimation and Smooth Tracking With a Fuzzy-Logic-Based Adaptive Strong Tracking Kalman Filter for Capacitive Touch Panels. IEEE Trans. Ind. Electron. 2015, 62, 5097–5108. [Google Scholar] [CrossRef]
  10. De Almeida, T.; Fong, J. Domestic Service Robots [TC Spotlight]. IEEE Robot. Autom. Mag. 2011, 18, 18–20. [Google Scholar] [CrossRef]
  11. Ojeda, L.; Cruz, D.; Reina, G.; Borenstein, J. Current-Based Slippage Detection and Odometry Correction for Mobile Robots and Planetary Rovers. IEEE Trans. Robot. 2006, 22, 366–378. [Google Scholar] [CrossRef] [Green Version]
  12. Thrun, S.; Burgard, W.; Fox, D.W. Probabilistic Robotics; MIT Press: Cambridge, MA, USA, 2005. [Google Scholar]
  13. Peng, Q. A Low-Cost UHF RFID System With OCA Tag for Short-Range Communication. IEEE Trans. Ind. Electron. 2015, 62, 4455–4465. [Google Scholar] [CrossRef]
  14. Saab, S.; Msheik, H. Novel RFID-Based Pose Estimation Using Single Stationary Antenna. IEEE Trans. Ind. Electron. 2016, 63, 1842–1852. [Google Scholar] [CrossRef]
  15. Bouet, M.; dos Santos, A.L. RFID tags: Positioning principles and localization techniques. In Proceedings of the 2008 1st IFIP Wireless Days, Dubai, United Arab Emirates, 24–27 November 2008; pp. 1–5. [Google Scholar]
  16. Zhou, J.K.; Chu, M.K.; Ng, J.K.-Y. Providing location services within a radio cellular network using ellipse propagation model. In Proceedings of the 19th International Conference on Advanced Information Networking and Applications (AINA’05), Taipei, Taiwan, 28–30 March 2005; Volume 1, pp. 559–564. [Google Scholar]
  17. Chandrasekaran, G. Empirical Evaluation of the Limits on Localization Using Signal Strength. In Proceedings of the 2009 6th Annual IEEE Communications Society Conference on Sensor, Mesh and Ad Hoc Communications and Networks, Rome, Italy, 22–26 June 2009; pp. 1–9. [Google Scholar]
  18. Errington, F.C.; Daku, B.L.F.; Prugger, A.F. Initial Position Estimation Using RFID Tags: A Least-Squares Approach. IEEE Trans. Instrum. Meas. 2010, 59, 2863–2869. [Google Scholar] [CrossRef]
  19. Nanotron Technologies GmbH. Real Time Location Systems (RTLS); White paper NA-06-0248-0391-1.02; Nanotron Technologies GmbH: Berlin, Germany, 2007. [Google Scholar]
  20. Wang, J.; Gao, Q.; Wang, H.; Yu, Y.; Jin, M. Time-of-Flight-Based Radio Tomography for Device Free Localization. IEEE Trans. Wirel. Commun. 2013, 12, 2355–2365. [Google Scholar] [CrossRef]
  21. Wang, J.; Gao, Q.; Yu, Y.; Zhang, X.; Feng, X. Time and Energy Efficient TOF-Based Device-Free Wireless Localization. IEEE Trans. Ind. Inform. 2016, 12, 158–168. [Google Scholar] [CrossRef]
  22. Huang, Y.; Brennan, P.V.; Seeds, A.Y. Active RFID location system based on time-difference measurement using a linear FM chirp tag signal. In Proceedings of the 2008 IEEE 19th International Symposium on Personal, Indoor and Mobile Radio Communications, Cannes, France, 15–18 September 2008; pp. 1–5. [Google Scholar]
  23. Qiao, T.; Redfield, S.; Abbasi, A.; Su, Z.; Liu, H.T. Robust Coarse Position Estimation for TDOA Localization. IEEE Wirel. Commun. Lett. 2013, 2, 623–626. [Google Scholar] [CrossRef]
  24. Azzouzi, S.; Cremer, M.; Dettmar, U.; Kronberger, R.; Knie, T. New measurement results for the localization of UHF RFID transponders using an Angle of Arrival (AoA) approach. In Proceedings of the 2011 IEEE International Conference on RFID, Orlando, FL, USA, 12–14 April 2011; pp. 91–97. [Google Scholar]
  25. Lee, J.H.; Woo, J.M. Interferometer Direction-Finding System With Improved DF Accuracy Using Two Different Array Configurations. IEEE Antennas Wirel. Propag. Lett. 2015, 14, 719–722. [Google Scholar] [CrossRef]
  26. Liu, Z.M.; Guo, F.C. Azimuth and Elevation Estimation With Rotating Long-Baseline Interferometers. IEEE Trans. Signal Process. 2015, 63, 2405–2419. [Google Scholar] [CrossRef]
  27. Kolakowski, M.; Djaja-Josko, V. TDOA-TWR based positioning algorithm for UWB localization system. In Proceedings of the 2016 21st International Conference on Microwave, Radar and Wireless Communications (MIKON), Krakow, Poland, 9–11 May 2016; pp. 1–4. [Google Scholar]
  28. Sen, S.; Lee, J.; Kim, H.-H.; Congdon, P. Avoiding multipath to revive inbuilding WiFi localization. In Proceedings of the MobiSys 13: 11th Annual International Conference on Mobile Systems, Applications, and Services, Taipei, Taiwan, 25–28 June 2013; p. 249. [Google Scholar]
  29. Vasisht, D.; Kumar, S.; Katabi, D. Decimeter-level localization with a single WiFi access point. In Proceedings of the 13th USENIX Symosium on Networked Systems Design Implementation (NSDI), Santa Clara, CA, USA, 16–18 March 2016; pp. 165–178. [Google Scholar]
  30. Han, S.; Li, Y.; Meng, W.; Li, C.; Liu, T.; Zhang, Y. Indoor localization with a single Wi-Fi access point based on OFDM-MIMO. IEEE Syst. J. Mar. 2019, 13, 964–972. [Google Scholar] [CrossRef]
  31. López-Pastor, A.; Arques-Lara, P.; Franco-Peñaranda, J.J.; García-Sánchez, A.J.; Gómez-Tornero, J.L. Wi-Fi RTT-Based Active Monopulse RADAR for Single Access Point Localization. IEEE Access 2021, 9, 34755–34766. [Google Scholar] [CrossRef]
  32. Caccami, M.C.; Manzari, S.; Marrocco, G. Phase-Oriented Sensing by Means of Loaded UHF RFID Tags. IEEE Trans. Antennas Propag. 2015, 63, 4512–4520. [Google Scholar] [CrossRef]
  33. Deloues, T.; Barka, A.; Medynski, D.T. Defining the position of the antennas of an interferometer in the presence of electromagnetic coupling. In Proceedings of the 2013 7th European Conference on Antennas and Propagation (EuCAP), Gothenburg, Sweden, 8–12 April 2013; pp. 2740–2743. [Google Scholar]
  34. Wu, Y.; Niu, L. Studies on circular array interferometer direction finding. In Proceedings of the 2015 IEEE 6th International Symposium on Microwave, Antenna, Propagation, and EMC Technologies (MAPE), Shanghai, China, 28–30 October 2015; pp. 49–52. [Google Scholar]
  35. Wang, Y.; Soltani, M.; Hussain, D.M.A. An Attitude Heading and Reference System for Marine Satellite Tracking Antenna. IEEE Trans. Ind. Electron. 2017, 64, 3095–3104. [Google Scholar] [CrossRef]
  36. Dehghani, M.; Aghababaiyan, K. FOMP algorithm for Direction of Arrival estimation. Phys. Commun. 2018, 26, 170–174. [Google Scholar] [CrossRef]
  37. Aghababaiyan, K.; Shah-Mansouri, V.; Maham, B. High-Precision OMP-Based Direction of Arrival Estimation Scheme for Hybrid Non-Uniform Array. IEEE Commun. Lett. 2020, 24, 354–357. [Google Scholar] [CrossRef]
  38. Hofmann-Wellenhof, B.; Lichtenegger, H.; Collins, J. Global Positioning System: Theory and Practice; Springer Science & Business Media: New York, NY, USA, 2012. [Google Scholar]
Figure 1. Configuration of a PDOA-based localization system.
Figure 1. Configuration of a PDOA-based localization system.
Electronics 11 00557 g001
Figure 2. Scenario 1: Tag antenna deflects from its boresight (O1O2).
Figure 2. Scenario 1: Tag antenna deflects from its boresight (O1O2).
Electronics 11 00557 g002
Figure 3. Scenario 2: Tag antenna rotates around its boresight (O1O2).
Figure 3. Scenario 2: Tag antenna rotates around its boresight (O1O2).
Electronics 11 00557 g003
Figure 4. Scenario 3: Tag antenna illuminates anchor antennas in varying DOAs.
Figure 4. Scenario 3: Tag antenna illuminates anchor antennas in varying DOAs.
Electronics 11 00557 g004
Figure 5. Three types of two-element antenna arrays used for performance comparison. (a) A high linear–polarization patch array; (b) a high-isolation monopole array; and (c) a high linear–polarization dipole array.
Figure 5. Three types of two-element antenna arrays used for performance comparison. (a) A high linear–polarization patch array; (b) a high-isolation monopole array; and (c) a high linear–polarization dipole array.
Electronics 11 00557 g005
Figure 6. Performance comparison of the three antenna arrays. (a) Isolation and (b) XPD at the operation frequency of 6.4 GHz.
Figure 6. Performance comparison of the three antenna arrays. (a) Isolation and (b) XPD at the operation frequency of 6.4 GHz.
Electronics 11 00557 g006
Figure 7. (a) Comparison of S-parameters; (b) Comparison of radiation pattern; and (c) the coupling between the antenna elements with different d.
Figure 7. (a) Comparison of S-parameters; (b) Comparison of radiation pattern; and (c) the coupling between the antenna elements with different d.
Electronics 11 00557 g007
Figure 8. DOA estimation accuracy of the three antenna arrays against DOA (θ).
Figure 8. DOA estimation accuracy of the three antenna arrays against DOA (θ).
Electronics 11 00557 g008
Figure 9. Absolute phase-difference deviation of the three antenna arrays against DOA (θ).
Figure 9. Absolute phase-difference deviation of the three antenna arrays against DOA (θ).
Electronics 11 00557 g009
Figure 10. Co-polarization and cross-polarization components of the three antenna arrays.
Figure 10. Co-polarization and cross-polarization components of the three antenna arrays.
Electronics 11 00557 g010
Figure 11. DOA estimation accuracy of patch array against DOA (θ) in different pitch angles.
Figure 11. DOA estimation accuracy of patch array against DOA (θ) in different pitch angles.
Electronics 11 00557 g011
Figure 12. Absolute phase-difference deviation against DOA (θ) under three polarization scenarios of incoming signals.
Figure 12. Absolute phase-difference deviation against DOA (θ) under three polarization scenarios of incoming signals.
Electronics 11 00557 g012
Figure 13. Overview of the proposed antenna system for localization.
Figure 13. Overview of the proposed antenna system for localization.
Electronics 11 00557 g013
Figure 14. Anchor side with two linearly polarized elements and their interaction with the propagation vector of an incoming plane wave.
Figure 14. Anchor side with two linearly polarized elements and their interaction with the propagation vector of an incoming plane wave.
Electronics 11 00557 g014
Figure 15. Anchor antennas covered by a mechanical supporting structure.
Figure 15. Anchor antennas covered by a mechanical supporting structure.
Electronics 11 00557 g015
Figure 16. Effect of the mechanical supporting cover on anchor antennas: XPD against DOA (θ); DOA estimation accuracy against DOA (θ).
Figure 16. Effect of the mechanical supporting cover on anchor antennas: XPD against DOA (θ); DOA estimation accuracy against DOA (θ).
Electronics 11 00557 g016
Figure 17. Structure of the tag antenna. (a) Geometry of the helix antenna. (b) Photograph of helix antenna.
Figure 17. Structure of the tag antenna. (a) Geometry of the helix antenna. (b) Photograph of helix antenna.
Electronics 11 00557 g017
Figure 18. Simulated gain and half-power beamwidth (HPBW) of tag antenna against frequency.
Figure 18. Simulated gain and half-power beamwidth (HPBW) of tag antenna against frequency.
Electronics 11 00557 g018
Figure 19. Simulated axial ratio of the tag antenna against frequency in x–y plane and y–z plane.
Figure 19. Simulated axial ratio of the tag antenna against frequency in x–y plane and y–z plane.
Electronics 11 00557 g019
Figure 20. Structure of proposed anchor antennas. (a) Diagram of the patch array. (b) Photograph of the patch array and UWB chips.
Figure 20. Structure of proposed anchor antennas. (a) Diagram of the patch array. (b) Photograph of the patch array and UWB chips.
Electronics 11 00557 g020
Figure 21. Simulated S parameters and HPBW of the anchor antennas as a function of frequency.
Figure 21. Simulated S parameters and HPBW of the anchor antennas as a function of frequency.
Electronics 11 00557 g021
Figure 22. Simulated radiation pattern of the anchor antenna. (a) 6.3 GHz. (b) 6.4 GHz. (c) 6.5 GHz. (d) 6.6 GHz.
Figure 22. Simulated radiation pattern of the anchor antenna. (a) 6.3 GHz. (b) 6.4 GHz. (c) 6.5 GHz. (d) 6.6 GHz.
Electronics 11 00557 g022
Figure 23. Proposed auto-tracking antenna system installed in a self-balanced two-wheeled vehicle.
Figure 23. Proposed auto-tracking antenna system installed in a self-balanced two-wheeled vehicle.
Electronics 11 00557 g023
Figure 24. Effect of changing tag attitude angles on tracking performance. (a) Contour map of success tracking rate against tag deflection angles α1 and α2. (b) Contour map of success tracking rate against DOA (θ) and tag axial rotation angle, β.
Figure 24. Effect of changing tag attitude angles on tracking performance. (a) Contour map of success tracking rate against tag deflection angles α1 and α2. (b) Contour map of success tracking rate against DOA (θ) and tag axial rotation angle, β.
Electronics 11 00557 g024
Figure 25. (a) Success tracking rate against distance in different DOAs (θ). (b) The success tracking rate of the patches antenna.
Figure 25. (a) Success tracking rate against distance in different DOAs (θ). (b) The success tracking rate of the patches antenna.
Electronics 11 00557 g025
Table 1. Dimensions of proposed antennas.
Table 1. Dimensions of proposed antennas.
ParametersLWLpWpT
Values (mm)494014.210.91.524
ParametersdD1D2HdSd
Values (mm)21.913 2517.45.6
Publisher’s Note: MDPI stays neutral with regard to jurisdictional claims in published maps and institutional affiliations.

Share and Cite

MDPI and ACS Style

Ba, X.; Lin, C.; Zhong, Y.; Ren, G.; Wang, Z.; Wang, Y. A Novel Polarization and DOA Reliable Auto-Tracking Antenna System. Electronics 2022, 11, 557. https://doi.org/10.3390/electronics11040557

AMA Style

Ba X, Lin C, Zhong Y, Ren G, Wang Z, Wang Y. A Novel Polarization and DOA Reliable Auto-Tracking Antenna System. Electronics. 2022; 11(4):557. https://doi.org/10.3390/electronics11040557

Chicago/Turabian Style

Ba, Xinran, Chen Lin, Yincheng Zhong, Guanjiao Ren, Zhengpeng Wang, and Yi Wang. 2022. "A Novel Polarization and DOA Reliable Auto-Tracking Antenna System" Electronics 11, no. 4: 557. https://doi.org/10.3390/electronics11040557

APA Style

Ba, X., Lin, C., Zhong, Y., Ren, G., Wang, Z., & Wang, Y. (2022). A Novel Polarization and DOA Reliable Auto-Tracking Antenna System. Electronics, 11(4), 557. https://doi.org/10.3390/electronics11040557

Note that from the first issue of 2016, this journal uses article numbers instead of page numbers. See further details here.

Article Metrics

Back to TopTop