Klystron-like Cyclotron Amplification of a Transversely Propagating Wave by a Spatially Developed Electron Beam
Abstract
:1. Introduction
2. Model and Equations
2.1. The 2-D System of the Electron–Wave Interaction
2.2. Normalization of Equations
3. The Process of Electron Bunching in the Drift Region
3.1. Small-Signal Theory
3.2. The Nonlinear Stage of the Electron–Wave Interaction
4. Excitation of the Output Cavity
4.1. Conditions of Self-Excitation of a Single Cavity
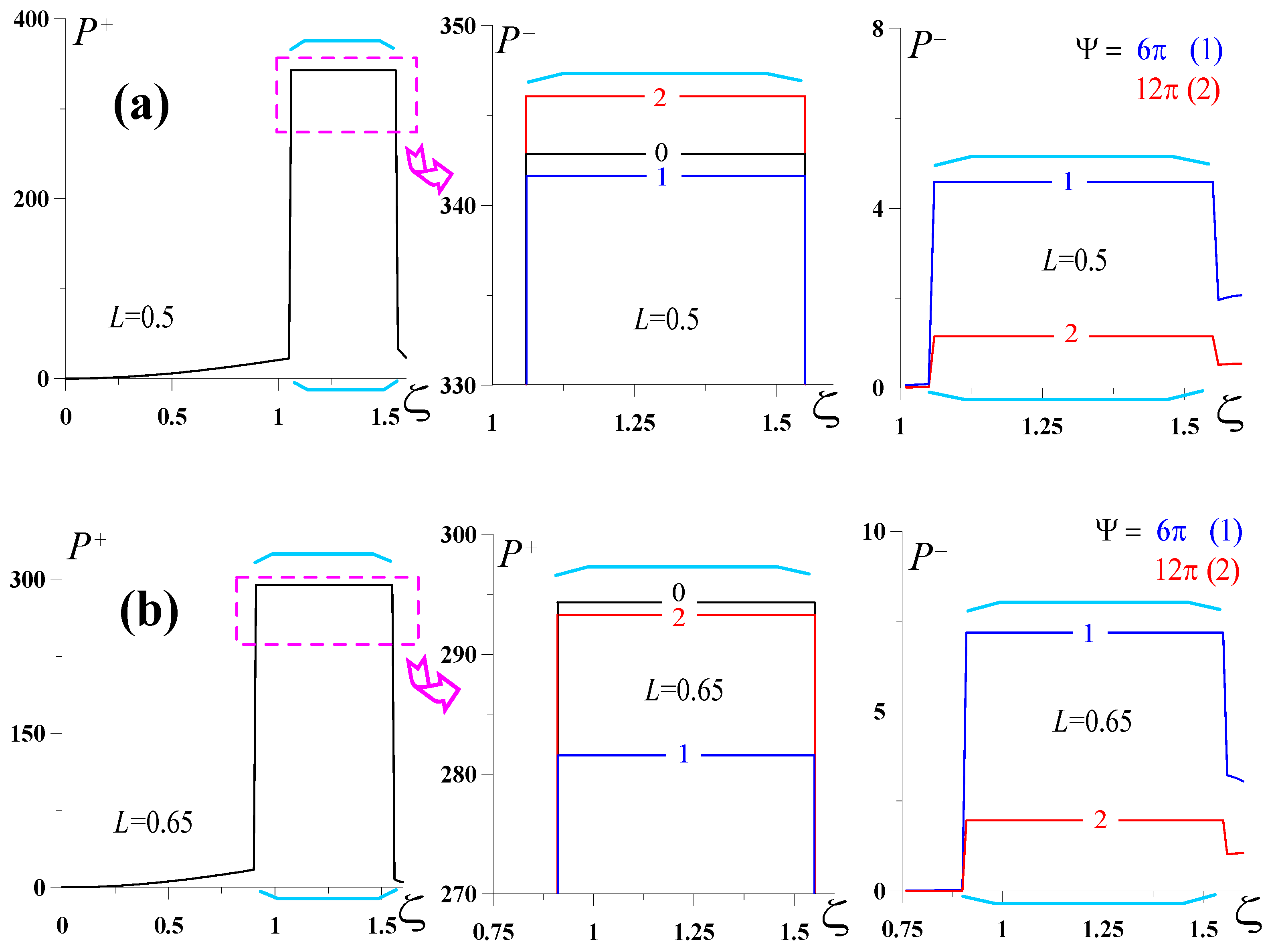
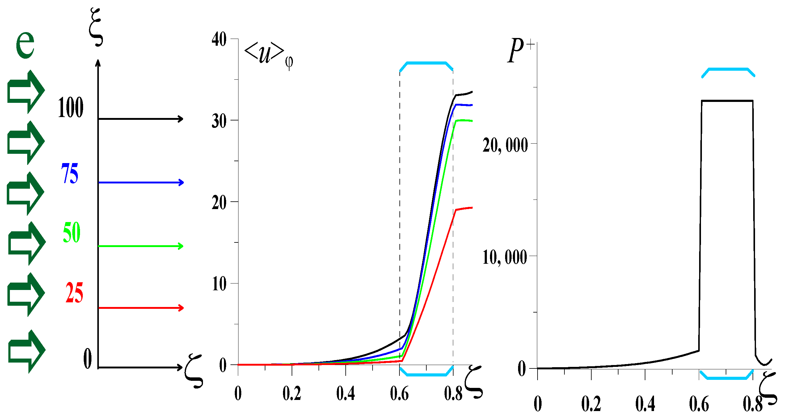
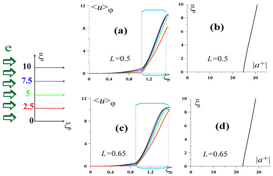
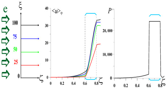
4.2. Simulations of the Excitation of the Output Cavity by a Prebunched Electron Beam
4.3. Simplest Estimations
5. Discussion
Author Contributions
Funding
Institutional Review Board Statement
Informed Consent Statement
Data Availability Statement
Conflicts of Interest
Nomenclature
| Variable | Definition | Formula | 
| Axial static magnetic field. | ||
| Electric field of the operating “upstream” wave. | ||
| Electric field of the parasitic “downstream” wave. | ||
| t | Time. | |
| z | Axial coordinate. | |
| Wave frequency. | ||
| Wavelength. | ||
| Wavenumber. | ||
| Components of the electron velocity. | ||
| Complex transverse velocity. | ||
| Gyro-rotation phase of a particle. | ||
| Initial gyro-phase. | ||
| Nonrelativistic electron cyclotron frequency. | ||
| m | Electron mass. | |
| c | Speed of light. | |
| Relativistic electron Lorentz factor. | ||
| Change in the relativistic electron Lorentz factor. | ||
| Normalized z-coordinate. | ||
| Normalized x-coordinate. | ||
| Normalized wave amplitudes. | ||
| Electron–wave coupling factor. | ||
| Electron cyclotron phase with respect to the operating wave “+”. | ||
| Initial phase. | ||
| Amplitude of the initial modulation of electron energies. | ||
| Mismatch of the electron–wave resonance. | ||
| Factor of the electron bunching. | ||
| Normalized initial axial momentum of electrons. | ||
| Electron bunching factor. | ||
| Sizes of the system in the x- and y-directions. | ||
| Normalized size of the system in the x-direction. | ||
| Total power of the wave signals leaving the system through the “upper” and “lower” boundaries. | ||
| Power of losses of the kinetic energy of electrons. | ||
| I | Total current in the electron beam. | |
| Averaged change in the electron Lorentz factors. | ||
| Wave excitation factor. | ||
| Alfven current. | 17 kA | |
| Electron bunching factor averaged inside the cavity. | ||
| Normalized cavity length. | ||
| Axial coordinate of the beginning of the cavity. | ||
| Normalized change in the electron energy. | ||
| Normalized axial coordinate. | ||
| Normalized transverse coordinate. | ||
| Normalized mismatch of the electron–wave resonance. | ||
| Normalized wave amplitudes. | ||
| Parameter of the normalization. | ||
| Pierce gain parameter. | ||
| Normalized transverse size of the system. | ||
| Phase incursion of the parasitic wave “-” with respect to the operating wave “+”. | ||
| Normalized electron efficiency. | ||
| Electric field of the input wave signal. | ||
| Power of the input wave signal. | ||
| Size of the input wave signal along the z-coordinate. | ||
| Power of the normalization. | 8.5 GW | |
| Voltage of the normalization. | 500 kV | |
| Small perturbation of the electron bunching factor. | ||
| Small perturbation of the electron phase. | ||
| R | Amplitude feedback coefficient in the output cavity. | |
| Incursion of the electron phase inside the cavity. | ||
| Output normalized intensity of the “upstream” wave beam. | ||
| Output normalized intensity of the “downstream” wave beam. | 
References
- Thumm, M. State-of-the-Art of High-Power Gyro-Devices and Free Electron Masers. J. Infrared Millim. Terahertz Waves 2020, 41, 1–140. [Google Scholar] [CrossRef] [Green Version]
- Litvak, A.G.; Denisov, G.G.; Glyavin, M.Y. Russian gyrotrons: Achievements and trends. IEEE J. Microw. 2021, 1, 260–268. [Google Scholar] [CrossRef]
- Glyavin, M.Y.; Denisov, G.G.; Zapevalov, V.E.; Kuftin, A.N.; Luchinin, A.G.; Manuilov, V.N.; Morozkin, M.V.; Sedov, A.S.; Chirkov, A.V. Terahertz gyrotrons: State of the art and prospects. J. Commun. Technol. Electron. 2014, 59, 792–797. [Google Scholar] [CrossRef]
- Glyavin, M.; Denisov, G. Development of high power THz band gyrotrons and their applications in physical research. In Proceedings of the International Conference on Infrared, Millimeter, and Terahertz Waves, IRMMW-THz, Cancun, Mexico, 27 August–1 September 2017; p. 8067024. [Google Scholar]
- Bandurkin, I.V.; Bratman, V.L.; Kalynov, Y.K.; Osharin, I.V.; Savilov, A.V. Terahertz Large-Orbit High-Harmonic Gyrotrons at IAP RAS: Recent Experiments and New Designs. IEEE Trans. Electron Devices 2018, 65, 2287–2293. [Google Scholar] [CrossRef]
- Gold, S.H.; Kirkpatrick, D.A.; Fliflet, A.W.; McCowan, R.B.; Kinkead, A.K.; Hardesty, D.L.; Sucy, M. High-voltage millimeter-wave gyro-traveling-wave amplifier. J. Appl. Phys. 1991, 69, 6696–6698. [Google Scholar] [CrossRef]
- Chu, K.R.; Chen, H.Y.; Hung, C.L.; Chang, T.H.; Barnett, L.R.; Chen, S.H.; Yang, T.T. Ultrahigh gain gyrotron traveling wave amplifier. Phys. Rev. Lett. 1998, 81, 4760–4763. [Google Scholar] [CrossRef] [Green Version]
- Yan, R.; Luo, Y.; Liu, G.; Pu, Y. Design and experiment of a q-band Gyro-TWT loaded with lossy dielectric. IEEE Trans. Electron Devices 2012, 59, 3612–3617. [Google Scholar] [CrossRef]
- Garven, M.; Calame, J.P.; Danly, B.G.; Nguyen, K.T.; Levush, B.; Wood, F.N.; Pershing, D.E. A gyrotron-traveling-wave tube amplifier experiment with a ceramic loaded interaction region. IEEE Trans. Plasma Sci. 2002, 30, 885–893. [Google Scholar] [CrossRef]
- Sirigiri, J.R.; Shapiro, M.A.; Temkin, R.J. High-power 140-GHz quasioptical gyrotron traveling-wave amplifier. Phys. Rev. Lett. 2003, 90, 2583021–2583024. [Google Scholar] [CrossRef] [Green Version]
- Nanni, E.A.; Lewis, S.M.; Shapiro, M.A.; Griffin, R.G.; Temkin, R.J. Photonic-band-gap traveling-wave gyrotron amplifier. Phys. Rev. Lett. 2013, 111, 235101. [Google Scholar] [CrossRef] [Green Version]
- Denisov, G.G.; Bratman, V.L.; Cross, A.W.; He, W.; Phelps, A.D.R.; Ronald, K.; Samsonov, S.V.; Whyte, C.G. Gyrotron traveling wave amplifier with a helical interaction waveguide. Phys. Rev. Lett. 1998, 81, 5680–5683. [Google Scholar] [CrossRef]
- Zeng, X.; Du, C.; Li, A.; Gao, S.; Wang, Z.; Zhang, Y.; Zi, Z.; Feng, J. Design and preliminary experiment of w-band broadband te02 mode gyro-twt. Electronics 2021, 10, 1950. [Google Scholar] [CrossRef]
- Song, H.H.; McDermott, D.B.; Hirata, Y.; Barnett, L.R.; Domier, C.W.; Hsu, H.L.; Chang, T.H.; Tsai, W.C.; Chu, K.R.; Luhmann, N.C., Jr. Theory and experiment of a 94 GHz gyrotron traveling-wave amplifier. Phys. Plasmas 2004, 11, 2935–2941. [Google Scholar] [CrossRef] [Green Version]
- Samsonov, S.V.; Bogdashov, A.A.; Denisov, G.G.; Gachev, I.G.; Mishakin, S.V. Cascade of Two W -Band Helical-Waveguide Gyro-TWTs with High Gain and Output Power: Concept and Modeling. IEEE Trans. Electron Devices 2017, 64, 1305–1309. [Google Scholar] [CrossRef]
- Arfin, B.; Ganguly, A.K. Three-cavity gyroklystron amplifier experiment. Int. J. Electron. 1982, 53, 709–714. [Google Scholar] [CrossRef]
- Zasypkin, E.V.; Moiseev, M.A.; Sokolov, E.V.; Yulpatov, V.K. Effect of penultimate cavity position and tuning on three-cavity gyroklystron amplifier performance. Int. J. Electron. 1995, 78, 423–433. [Google Scholar] [CrossRef]
- Furuno, D.S.; McDermott, D.B.; Luhmann, N.C.; Vitello, P.; Ko, K. Operation of a Large-Orbit High-Harmonic Multicavity Gyroklystron Amplifier. IEEE Trans. Plasma Sci. 1988, 16, 155–161. [Google Scholar] [CrossRef]
- Lawson, W.; Matthews, H.W.; Lee, M.K.E.; Calame, J.P.; Hogan, B.; Cheng, J.; Latham, P.E.; Granatstein, V.L.; Reiser, M. High-power operation of a K-band second-harmonic gyroklystron. Phys. Rev. Lett. 1993, 71, 456–459. [Google Scholar] [CrossRef] [PubMed]
- Zasypkin, E.V.; Moiseev, M.A.; Gachev, I.G.; Antakov, I.I. Study of high-power ka-band second-harmonic gyroklystron amplifier. IEEE Trans. Plasma Sci. 1996, 24, 666–670. [Google Scholar] [CrossRef]
- Nusinovich, G.S.; Danly, B.G.; Levush, B. Gain and bandwidth in stagger-tuned gyroklystrons. Phys. Plasmas 1997, 4, 469–478. [Google Scholar] [CrossRef]
- Zasypkin, E.V.; Gachev, I.G.; Antakov, I.I. Experimental study of a W-band Gyroklystron amplifier operated in the high-order TE021 cavity mode. Radiophys. Quantum Electron. 2012, 55, 309–317. [Google Scholar] [CrossRef]
- Nix, L.J.R.; Zhang, L.; He, W.; Donaldson, C.R.; Ronald, K.; Cross, A.W.; Whyte, C.G. Demonstration of efficient beam-wave interaction for a MW-level 48 GHz gyroklystron amplifier. Phys. Plasmas 2020, 27, 05310. [Google Scholar] [CrossRef]
- Savilov, A.V.; Nusinovich, G.S. On the theory of frequency-quadrupling gyroklystrons. Phys. Plasmas 2007, 14, 053113. [Google Scholar] [CrossRef]
- Savilov, A.V.; Nusinovich, G.S. Stability of frequency-multiplying harmonic gyroklystrons. Phys. Plasmas 2008, 15, 013112. [Google Scholar] [CrossRef]
- Samsonov, S.V.; Denisov, G.G.; Bogdashov, A.A.; Gachev, I.G. Cyclotron Resonance Maser with Zigzag Quasi-Optical Transmission Line: Concept and Modeling. IEEE Trans. Electron Dev. 2021, 68, 5846–5850. [Google Scholar] [CrossRef]
- Bratman, V.L.; Ginzburg, N.S.; Petelin, M.I. Common properties of free electron lasers. Opt. Commun. 1979, 30, 409–412. [Google Scholar] [CrossRef]
- Nusinovich, G.S. Introduction to the Physics of Gyrotrons; John Hopkins University Press: Baltimore, MD, USA, 2004. [Google Scholar]
- Glyavin, M.Y.; Oparina, Y.S.; Savilov, A.V.; Sedov, A.S. Optimal parameters of gyrotrons with weak electron-wave interaction. Phys. Plasmas 2016, 23, 093108. [Google Scholar] [CrossRef]
- Savilov, A.V.; Bespalov, P.A.; Ronald, K.; Phelps, A.D.R. Dynamics of excitation of backward waves in long inhomogeneous systems. Phys. Plasmas 2007, 14, 113104. [Google Scholar] [CrossRef]
- Kuzikov, S.V.; Savilov, A.V. Regime of “multi-stage” trapping in electron masers. Phys. Plasmas 2018, 25, 113114. [Google Scholar] [CrossRef]










| Publisher’s Note: MDPI stays neutral with regard to jurisdictional claims in published maps and institutional affiliations. | 
© 2022 by the authors. Licensee MDPI, Basel, Switzerland. This article is an open access article distributed under the terms and conditions of the Creative Commons Attribution (CC BY) license (https://creativecommons.org/licenses/by/4.0/).
Share and Cite
Novak, E.; Samsonov, S.; Savilov, A. Klystron-like Cyclotron Amplification of a Transversely Propagating Wave by a Spatially Developed Electron Beam. Electronics 2022, 11, 323. https://doi.org/10.3390/electronics11030323
Novak E, Samsonov S, Savilov A. Klystron-like Cyclotron Amplification of a Transversely Propagating Wave by a Spatially Developed Electron Beam. Electronics. 2022; 11(3):323. https://doi.org/10.3390/electronics11030323
Chicago/Turabian StyleNovak, Ekaterina, Sergey Samsonov, and Andrei Savilov. 2022. "Klystron-like Cyclotron Amplification of a Transversely Propagating Wave by a Spatially Developed Electron Beam" Electronics 11, no. 3: 323. https://doi.org/10.3390/electronics11030323
APA StyleNovak, E., Samsonov, S., & Savilov, A. (2022). Klystron-like Cyclotron Amplification of a Transversely Propagating Wave by a Spatially Developed Electron Beam. Electronics, 11(3), 323. https://doi.org/10.3390/electronics11030323
 
         
                                                

