Performance of Millimeter Wave Dense Cellular Network Using Stretched Exponential Path Loss Model
Abstract
1. Introduction
Motivation and Contribution
- The SEPLM is validated for mmwave NLOS link using experimental measurement data from NYUSIM for an urban outdoor scenario.
- A system model is proposed where LOS links follow the standard distance-dependant path loss model and NLOS links are modeled using SEPLM. A 3GPP LOS probability is employed to determine the LOS and NLOS link state, and the impact of blockages in the surroundings is modeled as path loss parameters.
- Based on the system model, stochastic geometry is used to derive generalized mathematical expressions for SINR coverage probability and ASE. The expressions are numerically analyzed to observe the performance over a range of SINR thresholds and BS densities.
2. System Model
2.1. Spatial Network Model
2.2. Path Loss and Channel Model
- , defines the environment where the obstacles scale linearly with the path length between UE and BS. (3) can be written as . This case captures obstacles distribution similar to the one defined in [22], based on random shape theory that is widely adopted for performance analysis of mmwave networks. The randomly oriented obstacles are uniformly distributed over the plane intersecting the path length r between BS and UE and scales linearly with the distance r. in this case depends upon the attenuation of each blocking object.
- , defines the environment where the obstacle scales with . Assuming UE to be located at the centre of a disc and signal propagates within the disc sector extending to the BS, (3) can be written as and takes the form analogous to LOS probability function in [43] expressed as , where L depends upon the density of large obstructing objects in the propagation environment. A larger value of signifies a sparse environment having high LOS probability with distance.
- defines the case similar to the ray propagation in lattice modeling of urban areas with regular building blockage [28]. Here, depends on the properties of the considered lattice and the reflectivity of the obstacle.
- The special values of and in SEPLM reduces to multislope path loss model [44] consistent with the one adopted in 3GPP standardization.
2.3. Antenna Model
3. SINR Coverage Probability and Area Spectral Efficiency
3.1. SINR Coverage Probability
3.1.1. , Where p Is a Positive Integer
3.1.2.
3.1.3.
3.2. Area Spectral Efficiency
3.2.1. ASE for
3.2.2. ASE for
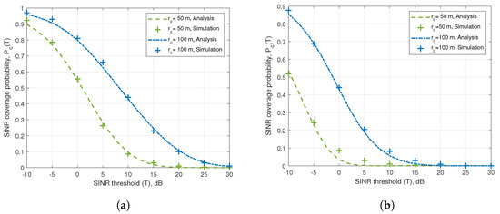
4. Simulation Results and Discussions
Fitting the Path Loss Model
5. Conclusions
Author Contributions
Funding
Data Availability Statement
Conflicts of Interest
Appendix A. Derivation of SINR Coverage Probability
Appendix A.1. Laplace Transform of Interference
Appendix A.2. Laplace Transform for
Appendix A.3. Laplace Transform for ζ = 1
Appendix B. Fitting Stretched Exponential Path Loss Model to the Measurement Data
References
- Qualcomm. The 1000× Mobile Data Challenge: More Spectrum, More Small Cells, More Indoor Cells and Higher Efficiency; Technical Report; Qualcomm: San Diego, CA, USA, 2012. [Google Scholar]
- López-Pérez, D.; Ding, M.; Claussen, H.; Jafari, A.H. Towards 1 Gbps/UE in Cellular Systems: Understanding Ultra-Dense Small Cell Deployments. IEEE Commun. Surv. Tutor. 2015, 17, 2078–2101. [Google Scholar] [CrossRef]
- Andrews, J.G.; Buzzi, S.; Choi, W.; Hanly, S.V.; Lozano, A.; Soong, A.C.K.; Zhang, J.C. What Will 5G Be? IEEE J. Sel. Areas Commun. 2014, 32, 1065–1082. [Google Scholar] [CrossRef]
- Bhushan, N.; Li, J.; Malladi, D.; Gilmore, R.; Brenner, D.; Damnjanovic, A.; Sukhavasi, R.T.; Patel, C.; Geirhofer, S. Network densification: The dominant theme for wireless evolution into 5G. IEEE Commun. Mag. 2014, 52, 82–89. [Google Scholar] [CrossRef]
- Kamel, M.; Hamouda, W.; Youssef, A. Ultra-Dense Networks: A Survey. IEEE Commun. Surv. Tutor. 2016, 18, 2522–2545. [Google Scholar] [CrossRef]
- Gotsis, A.; Stefanatos, S.; Alexiou, A. UltraDense Networks: The New Wireless Frontier for Enabling 5G Access. IEEE Veh. Technol. Mag. 2016, 11, 71–78. [Google Scholar] [CrossRef]
- Rappaport, T.S.; Sun, S.; Mayzus, R.; Zhao, H.; Azar, Y.; Wang, K.; Wong, G.N.; Schulz, J.K.; Samimi, M.; Gutierrez, F. Millimeter Wave Mobile Communications for 5G Cellular: It Will Work! IEEE Access 2013, 1, 335–349. [Google Scholar] [CrossRef]
- Akdeniz, M.R.; Liu, Y.; Samimi, M.K.; Sun, S.; Rangan, S.; Rappaport, T.S.; Erkip, E. Millimeter Wave Channel Modeling and Cellular Capacity Evaluation. IEEE J. Sel. Areas Commun. 2014, 32, 1164–1179. [Google Scholar] [CrossRef]
- Trigui, I.; Affes, S.; Renzo, M.D.; Jayakody, D.N.K. Coverage Analysis and Scaling Laws of Ultra-Dense Networks. IEEE Trans. Commun. 2021, 69, 4158–4171. [Google Scholar] [CrossRef]
- Baldemair, R.; Irnich, T.; Balachandran, K.; Dahlman, E.; Mildh, G.; Selén, Y.; Parkvall, S.; Meyer, M.; Osseiran, A. Ultra-dense networks in millimeter-wave frequencies. IEEE Commun. Mag. 2015, 53, 202–208. [Google Scholar] [CrossRef]
- Wang, R.; Klaine, P.V.; Onireti, O.; Sun, Y.; Imran, M.A.; Zhang, L. Deep Learning Enabled Beam Tracking for Non-Line of Sight Millimeter Wave Communications. IEEE Open J. Commun. Soc. 2021, 2, 1710–1720. [Google Scholar] [CrossRef]
- Gabriel, B. Exploring the Potentials of Mmwave for 5G Mobile Access; Qualcomm: San Diego, CA, USA, 2016. [Google Scholar]
- Rajagopal, S.; Abu-Surra, S.; Malmirchegini, M. Channel Feasibility for Outdoor Non-Line-of-Sight mmWave Mobile Communication. In Proceedings of the 2012 IEEE Vehicular Technology Conference (VTC Fall), Quebec City, QC, Canada, 3–6 September 2012; pp. 1–6. [Google Scholar] [CrossRef]
- IEEE Communications Society. Huawei and NTT Docomo “5G” mmWave Field Trial in Tokyo; IEEE Communications Society: New York, NY, USA, 2017. [Google Scholar]
- Bai, T.; Heath, R.W. Coverage analysis for millimeter wave cellular networks with blockage effects. In Proceedings of the 2013 IEEE Global Conference on Signal and Information Processing, Austin, TX, USA, 3–5 December 2013; pp. 727–730. [Google Scholar] [CrossRef]
- Ruble, M.; Güvenç, I. Wireless localization for mmWave networks in urban environments. EURASIP J. Adv. Signal Process. 2018, 2018, 35. [Google Scholar] [CrossRef] [PubMed]
- Mendrzik, R.; Wymeersch, H.; Bauch, G.; Abu-Shaban, Z. Harnessing NLOS Components for Position and Orientation Estimation in 5G Millimeter Wave MIMO. IEEE Trans. Wirel. Commun. 2019, 18, 93–107. [Google Scholar] [CrossRef]
- Onireti, O.; Imran, A.; Imran, M.A. Coverage, Capacity, and Energy Efficiency Analysis in the Uplink of mmWave Cellular Networks. IEEE Trans. Veh. Technol. 2018, 67, 3982–3997. [Google Scholar] [CrossRef]
- Mariam, H.; Ahmed, I.; Aslam, M.I. Coverage probability of uplink millimeter wave cellular network with non-homogeneous interferers’ point process. Phys. Commun. 2021, 45, 101274. [Google Scholar] [CrossRef]
- Muhammad, N.A.; Apandi, N.I.A.; Li, Y.; Seman, N. Uplink Performance Analysis for Millimeter Wave Cellular Networks with Clustered Users. IEEE Trans. Veh. Technol. 2020, 69, 6178–6188. [Google Scholar] [CrossRef]
- Wang, X.; Gursoy, M.C. Uplink Coverage in Heterogeneous mmWave Cellular Networks With Clustered Users. IEEE Access 2021, 9, 69439–69455. [Google Scholar] [CrossRef]
- Bai, T.; Vaze, R.; Heath, R.W. Analysis of Blockage Effects on Urban Cellular Networks. IEEE Trans. Wirel. Commun. 2014, 13, 5070–5083. [Google Scholar] [CrossRef]
- Turgut, E.; Gursoy, M.C. Coverage in heterogeneous downlink millimeter wave cellular networks. IEEE Trans. Commun. 2017, 65, 4463–4477. [Google Scholar] [CrossRef]
- Di Renzo, M. Stochastic geometry modeling and analysis of multi-tier millimeter wave cellular networks. IEEE Trans. Wirel. Commun. 2015, 14, 5038–5057. [Google Scholar] [CrossRef]
- Ouamri, M.A. Stochastic geometry modeling and analysis of downlink coverage and rate in small cell network. Telecommun. Syst. 2021, 77, 767–779. [Google Scholar] [CrossRef]
- Ouamri, M.A.; Azni, M.; Oteşteanu, M.E. Coverage Analysis in Two-tier 5G Hetnet Based on Stochastic Geometry with Interference Coordination Strategy. Wirel. Pers. Commun. 2021, 121, 3213–3222. [Google Scholar] [CrossRef]
- Franceschetti, G.; Marano, S.; Palmieri, F. Propagation without wave equation toward an urban area model. IEEE Trans. Antennas Propag. 1999, 47, 1393–1404. [Google Scholar] [CrossRef]
- Marano, S.; Franceschetti, M. Ray propagation in a random lattice: A maximum entropy, anomalous diffusion Process. IEEE Trans. Antennas Propag. 2005, 53, 1888–1896. [Google Scholar] [CrossRef]
- Franceschetti, M.; Bruck, J.; Schulman, L.J. A random walk model of wave propagation. IEEE Trans. Antennas Propag. 2004, 52, 1304–1317. [Google Scholar] [CrossRef]
- Hemadeh, I.A.; Satyanarayana, K.; El-Hajjar, M.; Hanzo, L. Millimeter-Wave Communications: Physical Channel Models, Design Considerations, Antenna Constructions, and Link-Budget. IEEE Commun. Surv. Tutor. 2018, 20, 870–913. [Google Scholar] [CrossRef]
- Papazian, P.; Lo, Y. Seasonal variability of a local multi-point distribution service radio channel. In Proceedings of the RAWCON 99. 1999 IEEE Radio and Wireless Conference (Cat. No.99EX292), Denver, CO, USA, 1–4 August 1999; pp. 211–214. [Google Scholar]
- Muhammad, N.A.; Wang, P.; Li, Y.; Vucetic, B. Analytical Model for Outdoor Millimeter Wave Channels Using Geometry-Based Stochastic Approach. IEEE Trans. Veh. Technol. 2017, 66, 912–926. [Google Scholar] [CrossRef]
- AlAmmouri, A.; Andrews, J.G.; Baccelli, F. SINR and Throughput of Dense Cellular Networks with Stretched Exponential Path Loss. IEEE Trans. Wirel. Commun. 2018, 17, 1147–1160. [Google Scholar] [CrossRef]
- Kamel, M.; Hamouda, W.; Youssef, A. Uplink Coverage and Capacity Analysis of {mMTC} in Ultra-Dense Networks. IEEE Trans. Veh. Technol. 2020, 69, 746–759. [Google Scholar] [CrossRef]
- Kamel, M.; Hamouda, W.; Youssef, A. Uplink Performance of NOMA-Based Combined HTC and MTC in Ultradense Networks. IEEE Internet Things J. 2020, 7, 7319–7333. [Google Scholar] [CrossRef]
- Elbayoumi, M.; Hamouda, W.; Youssef, A. Multiple-Association Supporting HTC/MTC in Limited-Backhaul Capacity Ultra-Dense Networks. IEEE Trans. Commun. 2021, 69, 4113–4127. [Google Scholar] [CrossRef]
- Cong Lam, S.; Pham, T.H.; Tran, X.N. Uplink performance of nonorthogonal multiple access ultradense networks with power control. Int. J. Commun. Syst. 2022, 35, e5069. [Google Scholar] [CrossRef]
- Bai, T.; Heath, R.W. Coverage and Rate Analysis for Millimeter-Wave Cellular Networks. IEEE Trans. Wirel. Commun. 2015, 14, 1100–1114. [Google Scholar] [CrossRef]
- Kulkarni, M.N.; Singh, S.; Andrews, J.G. Coverage and rate trends in dense urban mmWave cellular networks. In Proceedings of the 2014 IEEE Global Communications Conference, Austin, TX, USA, 8–12 December 2014; pp. 3809–3814. [Google Scholar]
- Singh, S.; Kulkarni, M.N.; Ghosh, A.; Andrews, J.G. Tractable model for rate in self-backhauled millimeter wave cellular networks. IEEE J. Sel. Areas Commun. 2015, 33, 2196–2211. [Google Scholar] [CrossRef]
- Dhillon, H.S.; Ganti, R.K.; Baccelli, F.; Andrews, J.G. Modeling and Analysis of K-Tier Downlink Heterogeneous Cellular Networks. IEEE J. Sel. Areas Commun. 2012, 30, 550–560. [Google Scholar] [CrossRef]
- 5GCM. 5G Channel Model for Bands up to 100 GHz. Technical Report. 2016. Available online: https://www.google.com/url?sa=t&rct=j&q=&esrc=s&source=web&cd=&cad=rja&uact=8&ved=2ahUKEwjtlamuy4T8AhVRAIgKHU2wCdAQFnoECBQQAQ&url=http%3A%2F%2Fwww.5gworkshops.com%2F2015%2F5G_Channel_Model_for_bands_up_to100_GHz (accessed on 30 October 2022).
- Galiotto, C.; Pratas, N.K.; Marchetti, N.; Doyle, L. A stochastic geometry framework for LOS/NLOS propagation in dense small cell networks. In Proceedings of the 2015 IEEE International Conference on Communications (ICC), London, UK, 8–12 June 2015; pp. 2851–2856. [Google Scholar] [CrossRef]
- Zhang, X.; Andrews, J.G. Downlink cellular network analysis with multi-slope path loss models. IEEE Trans. Commun. 2015, 63, 1881–1894. [Google Scholar] [CrossRef]
- 3GPP. 3rd Generation Partnership Project; Technical Specification Group Radio Access Network; Evolved Universal Terrestrial Radio Access (E-UTRA) Physical Layer Procedures (Release 10), TS 36.213 V10.3.0 (2011-09); Technical Report; 3GPP: Valbonne, France, 2011. [Google Scholar]
- New York University. NYUSIM; New York University: New York, NY, USA, 2016. [Google Scholar]
- Devore, J.L. Probability and Statistics for Engineering and the Sciences; Cengage Learning: Boston, MA, USA, 2008. [Google Scholar]
- Jain, I.K.; Kumar, R.; Panwar, S.S. The Impact of Mobile Blockers on Millimeter Wave Cellular Systems. IEEE J. Sel. Areas Commun. 2019, 37, 854–868. [Google Scholar] [CrossRef]
- Ding, M.; Wang, P.; López-Pérez, D.; Mao, G.; Lin, Z. Performance impact of LoS and NLoS transmissions in dense cellular networks. IEEE Trans. Wirel. Commun. 2015, 15, 2365–2380. [Google Scholar] [CrossRef]
- Arnau, J.; Atzeni, I.; Kountouris, M. Impact of {LOS/NLOS} propagation and path loss in ultra-dense cellular networks. In Proceedings of the 2016 IEEE International Conference on Communications (ICC), Kuala Lumpur, Malaysia, 22–27 May 2016; pp. 1–6. [Google Scholar] [CrossRef]
- Andrews, J.G.; Gupta, A.K.; Dhillon, H.S. A primer on cellular network analysis using stochastic geometry. arXiv 2016, arXiv:1604.03183. [Google Scholar]








| Notation | Definition |
|---|---|
| BS, UE and Interfering UE point process | |
| BS and UE densities | |
| Path loss at distance r | |
| LOS path loss exponent | |
| NLOS path loss parameter | |
| Operating frequency | |
| B | Channel Bandwidth |
| Cell radius, | |
| Noise power | |
| PDF of distance r between typical UE and tagged BS | |
| Distance between interfering UE and tagged BS | |
| Path loss on the link | |
| Small-scale fading on the link from serving BS to typical UE | |
| Small scale fading on interfering link | |
| Maximum directivity gain, | |
| Antenna HPBW, | |
| Side lobe gain, | |
| Directivity gain of interfering UE | |
| Beamwidth of interfering UE | |
| SINR coverage probability at threshold T | |
| SINR coverage probability, on l link for | |
| Probability of link being in l condition for | |
| Laplace Transform of interference component | |
| ASE | Area spectral efficiency |
| kth order logarithmic function |
| Parameter | Value |
|---|---|
| f | 28 GHz |
| B | 500 MHz |
| Scenario | UMi |
| Environment | NLOS |
| Lower-Upper bound of transmitter-receiver separation | 10–350 m |
| Transmit Power | 30 dBm |
| Number of receiver locations | 100 |
| Other parameters | default |
| Parameter | Value |
|---|---|
| f | 28 GHz |
| B | 500 MHz |
| , | 10 dB |
| , | −10 dB |
| , | 30 |
Publisher’s Note: MDPI stays neutral with regard to jurisdictional claims in published maps and institutional affiliations. |
© 2022 by the authors. Licensee MDPI, Basel, Switzerland. This article is an open access article distributed under the terms and conditions of the Creative Commons Attribution (CC BY) license (https://creativecommons.org/licenses/by/4.0/).
Share and Cite
Mariam, H.; Ahmed, I.; Ali, S.; Aslam, M.I.; Rehman, I.U. Performance of Millimeter Wave Dense Cellular Network Using Stretched Exponential Path Loss Model. Electronics 2022, 11, 4226. https://doi.org/10.3390/electronics11244226
Mariam H, Ahmed I, Ali S, Aslam MI, Rehman IU. Performance of Millimeter Wave Dense Cellular Network Using Stretched Exponential Path Loss Model. Electronics. 2022; 11(24):4226. https://doi.org/10.3390/electronics11244226
Chicago/Turabian StyleMariam, Hira, Irfan Ahmed, Sundus Ali, Muhammad Imran Aslam, and Ikram Ur Rehman. 2022. "Performance of Millimeter Wave Dense Cellular Network Using Stretched Exponential Path Loss Model" Electronics 11, no. 24: 4226. https://doi.org/10.3390/electronics11244226
APA StyleMariam, H., Ahmed, I., Ali, S., Aslam, M. I., & Rehman, I. U. (2022). Performance of Millimeter Wave Dense Cellular Network Using Stretched Exponential Path Loss Model. Electronics, 11(24), 4226. https://doi.org/10.3390/electronics11244226

