Enhancing of Electrical and Dielectric Properties of Barium Zirconate Titanate/Poly (Vinylidene Fluoride) Nano-Composites
Abstract
:1. Introduction
2. Experimental Producers
3. Result and Discussion
3.1. X-ray Diffraction Characterization
3.2. DC Resistivity
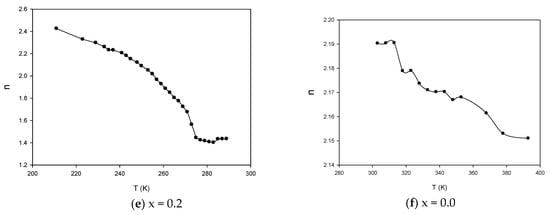
3.3. Dielectric Properties
3.4. Ferroelectricity
4. Conclusions
Author Contributions
Funding
Institutional Review Board Statement
Informed Consent Statement
Data Availability Statement
Conflicts of Interest
References
- Prasad, P.D.; Hemalatha, J. Enhanced dielectric and ferroelectric properties of cobalt ferrite (CoFe2O4) fiber embedded polyvinylidene fluoride (PVDF) multiferroic composite films. Mater. Res. Express 2019, 6, 094007. [Google Scholar] [CrossRef]
- Atta, S.; Haldar, M.; Das, A.K.; Meikap, A.K. Study of electrical transport, dielectric and magnetic properties of NiFe2O4-PVDF nano-composite film. Phys. E. Low-Dimens. Syst. Nanostruct. 2019, 114, 113632. [Google Scholar] [CrossRef]
- Behera, C.; Choudhary, R.N.P.; Das, P.R.C. Development of Ni-Ferrite-Based PVDF Nanomultiferroics. J. Electron. Mater. 2017, 46, 6009–6022. [Google Scholar] [CrossRef]
- Martins, P.; Costa, C.M.; Botelho, G.; Lanceros-Mendez, S.; Barandiaran, J.M.; Gutierrez, J. Dielectric and magnetic properties of ferrite/poly(vinylidene fluoride) nano-composites. Mater. Chem. Physicsvol. 2012, 131, 698–705. [Google Scholar] [CrossRef]
- Behera, C.; Choudhary, R.N.P. Electrical and multiferroic characteristics of PVDF-MnFe2O4 nano-composites. J. Alloys Compd. 2017, 727, 851–862. [Google Scholar] [CrossRef]
- Saha, P.; Debnath, T.; Das, S.; Chatterjee, S.; Sutradhar, S. β-Phase improved Mn-Zn-Cu-ferrite-PVDF nano-composite film: A metamaterial for enhanced microwave absorption. Mater. Sci. Eng. 2019, 245, 17–29. [Google Scholar] [CrossRef]
- Divya, S.; Jeyadheepan, K.; Hemalatha, J. Magnetoelectric P(VDF-HFP)-CoFe2O4 films and their giant magnetoresistance properties. J. Magn. Magn. Mater. 2019, 492, 165689. [Google Scholar] [CrossRef]
- Rana, D.K.; Singh, S.K.; Kundu, S.K.; Roy, S.; Angappane, S.; Basu, S. Electrical and room temperature multiferroic properties of polyvinylidene fluoride nano-composites doped with nickel ferrite nanoparticles. New J. Chem. 2019, 43, 3128–3138. [Google Scholar] [CrossRef]
- Jayakumar, O.D.; Abdelhamid, E.H.; Kotari, V.; Mandal, B.P.; Rao, R.; Naik, V.M.; Tyagi, A.K. Fabrication of flexible and self-standing inorganic-organic three phase magneto-dielectric PVDF based multiferroic nano-composite films through a small loading of graphene oxide (GO) and Fe3O4 nanoparticles. Dalton Trans. 2015, 44, 15872–15881. [Google Scholar] [CrossRef]
- Chakhchaoui, N.; Farhan, R.; Eddiai, A.; Meddad, M.; Cherkaoui, O.; Mazroui, M.H.; Boughaleb, Y.; Van Langenhove, L. Improvement of the electroactive b-phase nucleation and piezoelectric properties of PVDF-HFP thin films influenced by TiO2 nanoparticles. Mater. Today Proc. 2019, 39, 1148–1152. [Google Scholar] [CrossRef]
- Roopaa, T.S.; Murthy, H.N.; Kumar, V.P.; Krishna, M. Development and Characterization of PVDF Thin Films for pressure sensors. Mater. Today Proc. 2018, 5, 21082–21090. [Google Scholar] [CrossRef]
- Martins, P.; Costa, C.M.; Benelmekki, M.; Lanceros-Mendez, S. Preparation of Magnetoelectric Composites by Nucleation of the Electroactive β-Phase of Poly (vinylidene fluoride) by NiZnFe2O4 Nanoparticles. Sens. Lett. 2013, 11, 110–114. [Google Scholar] [CrossRef]
- Tawfik, A.; Hemeda, O.M.; Henaish, A.M.A.; Dorgham, A.M. High piezoelectric properties of modified nano lead titanate zirconate ceramics. Mater. Chem. Phys. 2018, 211, 1–8. [Google Scholar] [CrossRef]
- Li, W.; Li, H.; Zhang, Y.M. Preparation and investigation of PVDF/PMMA/TiO2 composite film Preparation and investigation of PVDF/PMMA/TiO2 composite film. J. Mater. Sci. 2016, 44, 2977–2984. [Google Scholar] [CrossRef]
- Orooji, Y.; Jaleh, B.; Homayouni, F.; Fakhri, P.; Kashfi, M.; Torkamany, M.J.; Yousefi, A.A. Laser ablation-assisted synthesis of poly (vinylidene fluoride)/Au nanocomposites: Crystalline phase and micromechanical finite element analysis. Polymers 2020, 12, 2630. [Google Scholar] [CrossRef]
- Hemeda, O.M.; Tawfik, A.; El-Shahawy, M.M.; Darwish, K.A. Enhancement of piezoelectric properties for [poly (vinylidene fluoride)/barium zirconate titanate] nanocomposites. Eur. Phys. J. Plus 2017, 132, 1–11. [Google Scholar] [CrossRef]
- Behera, C.; Choudhary, R.N.P.; Das, P.R. Development of Multiferroism in PVDF with CoFe2O4 Nanoparticles. J. Polym. Res. 2017, 24, 1–13. [Google Scholar] [CrossRef]
- Indolia, A.P.; Gaur, M.S. Optical properties of solution grown PVDF-ZnO nano-composite thin films. J. Polym. Res. 2012, 20, 1–8. [Google Scholar] [CrossRef]
- Morshidy, H.Y.; Mohamed, A.R.; Abul-Magd, A.A.; Hassan, M.A. Ascendancy of Cr3+ on Cr6+ valence state and its effect on borate glass environment through CdO doping. Mater. Chem. Phys. 2022, 285, 126128. [Google Scholar] [CrossRef]
- Devi, P.I.; Ramachandran, K. Dielectric studies on hybridized PVDF–ZnO nano-composites. J. Exp. Nanosci. 2011, 6, 281–293. [Google Scholar] [CrossRef]
- Sacilotti, M.; Chaumont, D.; Mota, C.B.; Vasconcelos, T.; Nunes, F.D.; Pompelli, M.F.; Gomes, A.S. Interface Recombination & Emission Applied to Explain Photosynthetic Mechanisms for (e–, h+) Charges’ Separation. World J. Nano Sci. Eng. 2012, 2, 58–87. [Google Scholar]
- Darwish, M.A.; Afifi, A.I.; Abd El-Hameed, A.S.; Abosheiasha, H.F.; Henaish, A.M.A.; Salogub, D.; Trukhanov, A.V. Can hexaferrite composites be used as a new artificial material for antenna applications? Ceram. Int. 2021, 47, 2615–2623. [Google Scholar] [CrossRef]
- Henaish, A.M.A.; Mostafa, M.; Salem, B.I.; Hemeda, O.M. Improvement of magnetic and dielectric properties of magnetoelectric BST-NCZMF nano-composite. Phase Transit. 2020, 93, 470–490. [Google Scholar] [CrossRef]
- El-Nahass, M.M.; Emam-Ismail, M.; El-Hagary, M. Structural, optical and dispersion energy parameters of nickel oxide nanocrystalline thin films prepared by electron beam deposition technique. J. Alloys Compd. 2015, 646, 937–945. [Google Scholar] [CrossRef]
- El-Nahass, M.M.; Abu-Samaha, F.S.H.; Menshawy, S.; Elesh, E. Effect of annealing on structural and optical properties of copper tetraphenylporphyrin (CuTPP) thin films. Opt. Laser Technol. 2014, 64, 28–33. [Google Scholar] [CrossRef]
- El-Nahass, M.M.; El-Deeb, A.F.; Metwally, H.S.; Hassanien, A.M. Influence of annealing on the optical properties of 5, 10, 15, 20-tetraphenyl-21H, 23H-porphine iron (III) chloride thin films. Mater. Chem. Phys. 2011, 125, 247–251. [Google Scholar] [CrossRef]
- Abul-Magd, A.A.; Morshidy, H.Y.; Abdel-Ghany, A.M. The role of NiO on the structural and optical properties of sodium zinc borate glasses. Opt. Mater. 2020, 109, 110301. [Google Scholar] [CrossRef]
- Ticha, H.; Tichy, L. Semiempirical relation between non-linear susceptibility (refractive index), linear refractive index and optical gap and its application to amorphous chalcogenides. J. Optoelectron. Adv. Mater. 2002, 4, 381–386. [Google Scholar]
- Yan, C.K. Ferroelectric and Dielectric Properties of Poly(vinylidene fluoride) Nano-composite Films Filled with Iron Oxide Nanoparticles. Ph.D. Thesis, Kalrsruher Institut für Technologie, Karlsruhe, Germany, 2018. [Google Scholar]
- Rozana, M.D.; Arshad, A.N.; Wahid, M.H.; Habibah, Z.; Ismail, L.N.; Sarip, M.N.; Rusop, M. Dielectric constant of PVDF/MgO nano-composites thin films. In Proceedings of the 2012 IEEE Symposium on Business, Engineering and Industrial Applications, Bandung, Indonesia, 23–26 September 2012; pp. 18–22. [Google Scholar]
- Henaish, A.M.A.; Salem, B.I.; Meaz, T.M.; Alibwaini, Y.A.; Ajlouni, A.W.; Hemeda, O.M.; Arrasheed, E.A. Synthesize, characterization, dielectric, linear and nonlinear optical properties of Ni–Al Ferrite/PANI nano-composite film. Opt. Mater. 2021, 119, 111397. [Google Scholar] [CrossRef]
- Hemeda, O.M.; Eid, M.E.A.; Sharshar, T.; Ellabany, H.M.; Henaish, A.M.A. Synthesis of nanometer-sized PbZrxTi1-xO3 for gamma-ray attenuation. J. Phys. Chem. Solids 2021, 148, 109688. [Google Scholar] [CrossRef]












| Sample | 100% PVDF | 80% PVDF | 60% PVDF | 40% PVDF | 20% PVDF | 0% PVDF |
|---|---|---|---|---|---|---|
| Ea (ev) | 3.07 × 10−3 | 2.48 × 10−3 | 1.66 × 10−3 | 1.29 × 10−3 | 0.97 × 10−3 | 0.20 × 10−3 |
Publisher’s Note: MDPI stays neutral with regard to jurisdictional claims in published maps and institutional affiliations. |
© 2022 by the authors. Licensee MDPI, Basel, Switzerland. This article is an open access article distributed under the terms and conditions of the Creative Commons Attribution (CC BY) license (https://creativecommons.org/licenses/by/4.0/).
Share and Cite
Henaish, A.M.A.; Zakaly, H.M.H.; Hemeda, O.M.; Weinstein, I.A.; El-Shahawy, M.M.; Darwish, K.A. Enhancing of Electrical and Dielectric Properties of Barium Zirconate Titanate/Poly (Vinylidene Fluoride) Nano-Composites. Electronics 2022, 11, 3855. https://doi.org/10.3390/electronics11233855
Henaish AMA, Zakaly HMH, Hemeda OM, Weinstein IA, El-Shahawy MM, Darwish KA. Enhancing of Electrical and Dielectric Properties of Barium Zirconate Titanate/Poly (Vinylidene Fluoride) Nano-Composites. Electronics. 2022; 11(23):3855. https://doi.org/10.3390/electronics11233855
Chicago/Turabian StyleHenaish, A. M. A., Hesham M. H. Zakaly, O. M. Hemeda, I. A. Weinstein, M. M. El-Shahawy, and K. A. Darwish. 2022. "Enhancing of Electrical and Dielectric Properties of Barium Zirconate Titanate/Poly (Vinylidene Fluoride) Nano-Composites" Electronics 11, no. 23: 3855. https://doi.org/10.3390/electronics11233855
APA StyleHenaish, A. M. A., Zakaly, H. M. H., Hemeda, O. M., Weinstein, I. A., El-Shahawy, M. M., & Darwish, K. A. (2022). Enhancing of Electrical and Dielectric Properties of Barium Zirconate Titanate/Poly (Vinylidene Fluoride) Nano-Composites. Electronics, 11(23), 3855. https://doi.org/10.3390/electronics11233855

