AP Association Algorithm Based on VR User Behavior Awareness
Abstract
1. Introduction
- 1.
- The AP association policy considers the impact of VR users’ behavioral actions on the VR association method and considers the differences between users accessing multiple APs (and, thus, determines the data transmission speed of user-associated APs to obtain the corresponding multi-rate matrix while also considering load balancing).
- 2.
- The user AP association problem is solved by an AP association algorithm that minimizes the average user download latency. A heuristic algorithm is proposed to solve the joint optimization problem of association, which balances the AP load and minimizes the average user download latency.
- 3.
- The simulation results show that the proposed method shows better results for both the average user download delay and load balancing metrics compared to the baseline algorithm.
2. Related Work
2.1. VR 360-Degree Video Requirements Analysis
2.2. VR 360-Degree Video Association Strategy
3. System Model
3.1. Scenario Description
3.2. Impact of VR User Behavior Perception on AP Association
3.3. Multi-Rate and Load Balancing Analysis
4. Problem Modeling
4.1. VR User Download Latency Model
4.2. Optimization Problems
5. AP Association Model Based on User Perception
5.1. User Behavior Awareness Model
- First, the ratio of the number of tiles in the same viewpoint of the user at successive moments in a certain time period and the number of tiles in the viewpoints they generate in successive moments, respectively, is expressed in Equation (17).
- Second, is used to represent the sampling index of the user’s viewpoint, represents the time of viewpoint sampling, and and at moments and represent the number of tiles in the same user v viewpoint and the number of tiles in the user v viewpoint, respectively;
- Finally, based on the similarity of user j’s viewing behavior within a time window, we introduce the concept of “mobility” of user viewing behavior, and we consider the degree of change in the user’s viewing behavior within a smooth window of time to determine how many blocks of view users need to cache. This is shown in Equation (18).
5.2. User Behavior-Aware AP Association Matching Algorithm
| Algorithm 1 AP association algorithm for VR user behavior awareness |
| Input: Output:
|
6. Experimental Analysis
6.1. Simulation Settings
6.2. Baseline Algorithm
6.3. Performance Evaluation
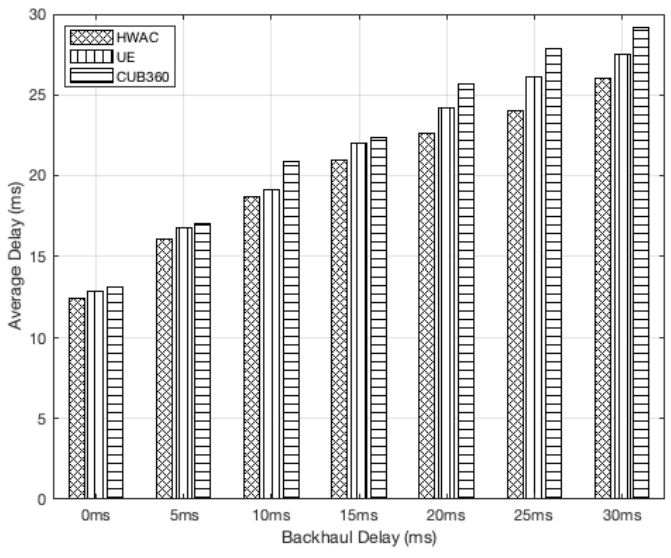
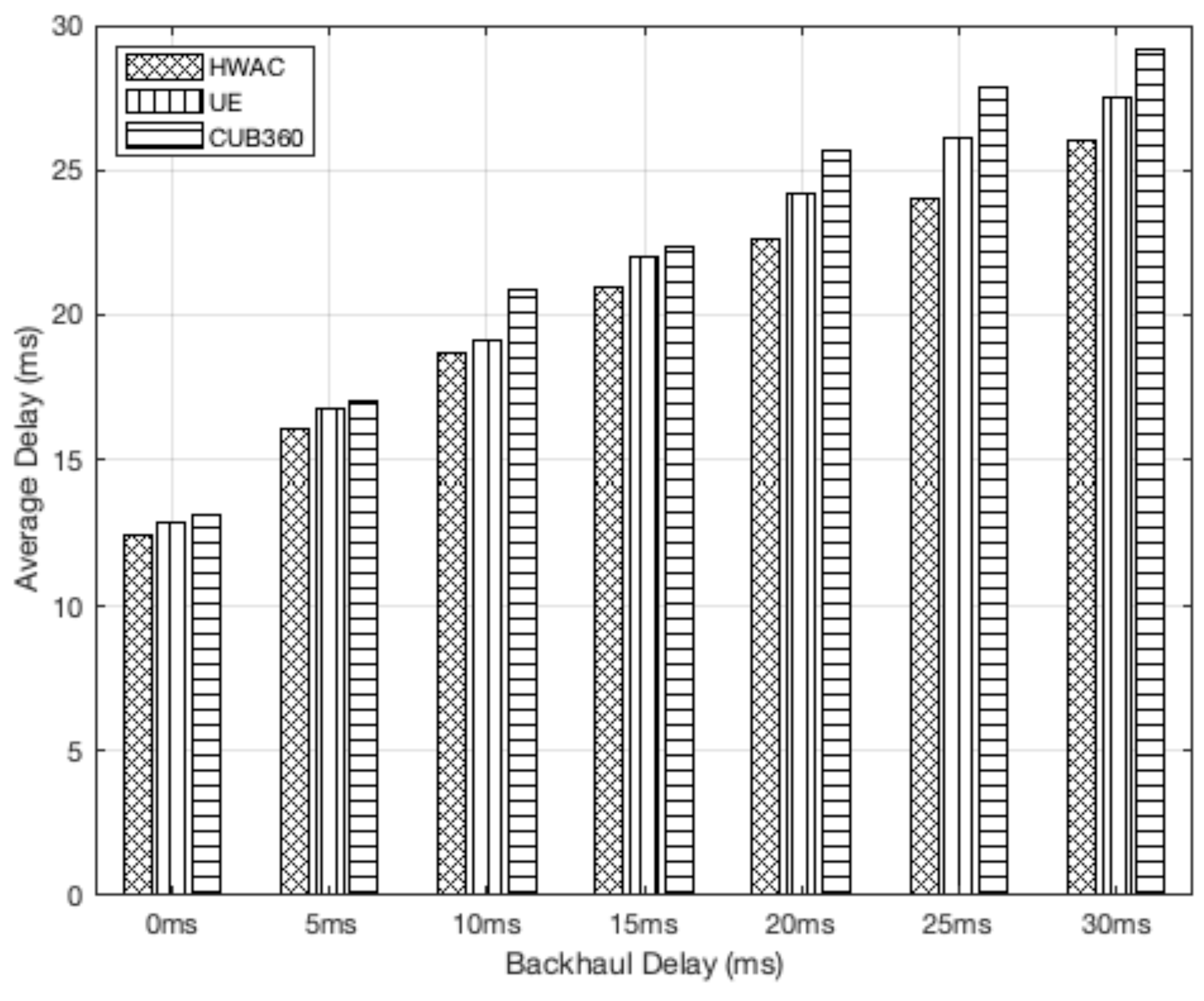
6.3.1. User Download Latency Analysis
6.3.2. AP Load Analysis
7. Discussion
8. Conclusions
Author Contributions
Funding
Acknowledgments
Conflicts of Interest
References
- Nguyen, C.T.; Hoang, D.T.; Nguyen, D.N.; Dutkiewicz, E. Metachain: A novel blockchain-based framework for metaverse applications. In Proceedings of the 2022 IEEE 95th Vehicular Technology Conference:(VTC2022-Spring), Helsinki, Finland, 19–22 June 2022; pp. 1–5. [Google Scholar]
- Akella, A.; Judd, G.; Seshan, S.; Steenkiste, P. Self-management in chaotic wireless deployments. In Proceedings of the 11th Annual International Conference on Mobile Computing and Networking, Cologne, Germany, 28 August–2 September 2005; pp. 185–199. [Google Scholar]
- Stanney, K.M.; Mourant, R.R.; Kennedy, R.S. Human factors issues in virtual environments: A review of the literature. Presence 1998, 7, 327–351. [Google Scholar] [CrossRef]
- Qian, F.; Ji, L.; Han, B.; Gopalakrishnan, V. Optimizing 360 video delivery over cellular networks. In Proceedings of the 5th Workshop on All Things Cellular: Operations, Applications and Challenges, New York, NY, USA, 3–7 October 2016; pp. 1–6. [Google Scholar]
- Wang, Y.; Xu, J.; Jiang, L. Challenges of system-level simulations and performance evaluation for 5g wireless networks. IEEE Access 2014, 2, 1553–1561. [Google Scholar] [CrossRef]
- Fei, Z.; Xing, C.; Li, N. Qoe-driven resource allocation for mobile ip services in wireless network. Sci. China Inf. Sci. 2015, 58, 1–10. [Google Scholar] [CrossRef]
- Agiwal, M.; Roy, A.; Saxena, N. Next generation 5g wireless networks: A comprehensive survey. IEEE Commun. Surv. Tutor. 2016, 18, 1617–1655. [Google Scholar] [CrossRef]
- Wang, F.; Fei, Z.; Wang, J.; Liu, Y.; Wu, Z. Has qoe prediction based on dynamic video features with data mining in lte network. Sci. China Inf. Sci. 2017, 60, 1–14. [Google Scholar] [CrossRef]
- Wei, H. White Paper on the VR-Oriented Bearer Network Requirement. Available online: http://www.huawei.com/cn/news/2016/11/WhitePaper-VR-Oriented-Bearer-Network-Requirements (accessed on 1 March 2022).
- Lu, M.; Wu, J. Localized access point selection in infrastructure wireless lans with performance guarantee. Wirel. Commun. Mobile Comput. 2011, 11, 994–1010. [Google Scholar] [CrossRef]
- Xu, F.; Zhu, X.; Tan, C.C.; Li, Q.; Yan, G.; Wu, J. Smartassoc: Decentralized access point selection algorithm to improve throughput. IEEE Trans. Parallel Distrib. Syst. 2013, 24, 2482–2491. [Google Scholar] [CrossRef]
- Balachandran, A.; Bahl, P.; Voelker, G.M. Hot-spot congestion relief in public-area wireless networks. In Proceedings of the Fourth IEEE Workshop on Mobile Computing Systems and Applications, Callicoon, NY, USA, 20–21 June 2002; pp. 70–80. [Google Scholar]
- Chakareski, J. Uplink scheduling of visual sensors: When view popularity matters. IEEE Trans. Commun. 2014, 63, 510–519. [Google Scholar] [CrossRef]
- Vasudevan, R.; Zhou, Z.; Kurillo, G.; Lobaton, E.; Bajcsy, R.; Nahrstedt, K. Real-time stereo-vision system for 3d teleimmersive collaboration. In Proceedings of the 2010 IEEE International Conference on Multimedia and Expo, Singapore, 19–23 July 2010; pp. 1208–1213. [Google Scholar]
- Hosseini, M.; Kurillo, G. Coordinated bandwidth adaptations for distributed 3d tele-immersive systems. In Proceedings of the 7th ACM International Workshop on Massively Multiuser Virtual Environments, Portland, OR, USA, 18–20 March 2015; pp. 13–18. [Google Scholar]
- Cheung, G.; Ortega, A.; Cheung, N.-M. Interactive streaming of stored multiview video using redundant frame structures. IEEE Trans. Image Process. 2010, 20, 744–761. [Google Scholar] [CrossRef] [PubMed]
- Chakareski, J. Wireless streaming of interactive multi-view video via network compression and path diversity. IEEE Trans. Commun. 2014, 62, 1350–1357. [Google Scholar] [CrossRef]
- Blasco, P.; Gündüz, D. Learning-based optimization of cache content in a small cell base station. In Proceedings of the 2014 IEEE international conference on communications (ICC), Sydney, NSW, Australia, 10–14 June 2014; pp. 1897–1903. [Google Scholar]
- Martello, S.; Toth, P. Knapsack Problems: Algorithms and Computer Implementations; John Wiley & Sons Inc.: Hoboken, NJ, USA, 1990. [Google Scholar]
- Golrezaei, N.; Dimakis, A.G.; Molisch, A.F.; Caire, G. Wireless video content delivery through distributed caching and peer-to-peer gossiping. In Proceedings of the 2011 Conference Record of the Forty Fifth Asilomar Conference on Signals, Systems and Computers (ASILOMAR), Pacific Grove, CA, USA, 6–9 November 2011; pp. 1177–1180. [Google Scholar]
- Chen, Y.-H.; Chen, Y.-F.; Tseng, S.-M.; Tseng, D.-F. Low complexity user selection and power allocation for uplink noma beamforming systems. Wirel. Pers. Commun. 2020, 111, 1413–1429. [Google Scholar] [CrossRef]
- Broeck, M.V.d.; Kawsar, F.; Schöning, J. It’s all around you: Exploring 360 video viewing experiences on mobile devices. In Proceedings of the 25th ACM International Conference on Multimedia, Mountain View, CA, USA, 23–27 October 2017; pp. 762–768. [Google Scholar]
- Marmitt, G.; Duchowski, A.T. Modeling Visual Attention in VR: Measuring the Accuracy of Predicted Scanpaths. Ph.D. Thesis, Clemson University, Clemson, SC, USA, 2002. [Google Scholar]
- Chen, D.C.; Quek, T.Q.; Kountouris, M. Backhauling in heterogeneous cellular networks: Modeling and tradeoffs. IEEE Trans. Wirel. Commun. 2015, 14, 3194–3206. [Google Scholar] [CrossRef]
- Ban, Y.; Xie, L.; Xu, Z.; Zhang, X.; Guo, Z.; Wang, Y. Cub360: Exploiting cross-users behaviors for viewport prediction in 360 video adaptive streaming. In Proceedings of the 2018 IEEE International Conference on Multimedia and Expo (ICME), San Diego, CA, USA, 23–27 July 2018; pp. 1–6. [Google Scholar]
- Huang, W.; Ding, L.; Zhai, G.; Min, X.; Hwang, J.-N.; Xu, Y.; Zhang, W. Utility-oriented resource allocation for 360-degree video transmission over heterogeneous networks. Digit. Signal Process. 2019, 84, 1–14. [Google Scholar] [CrossRef]
- Wu, C.; Tan, Z.; Wang, Z.; Yang, S. A dataset for exploring user behaviors in vr spherical video streaming. In Proceedings of the 8th ACM on Multimedia Systems Conference, Taipei, Taiwan, 20–23 June 2017; pp. 193–198. [Google Scholar]
- Harth, J.; Hofmann, A.; Karst, M.; Kempf, D.; Ostertag, A.; Przemus, I.; Schaefermeyer, B. Different types of users, different types of immersion: A user study of interaction design and immersion in consumer virtual reality. IEEE Consum. Electron. Mag. 2018, 7, 36–43. [Google Scholar] [CrossRef]











| Standard | Quasi-VR (No Immersion) | Entry Level VR (Partial Immersion) | Advanced VR (Deep Immersion) | Ultimate VR (Full Immersion) |
|---|---|---|---|---|
| Panoramic resolution | Full view 4 K 2D | Full view 8 K 2D | Full view 12 K 2D | Full view 24 K 3D |
| Bandwidth requirements | 25 Mbps | 100 Mbps | 418 Mbps | 2.35 Gbps |
| RTT Requirements | 40 ms | 30 ms | 20 ms | 10 ms |
| Packet loss requirements |
Publisher’s Note: MDPI stays neutral with regard to jurisdictional claims in published maps and institutional affiliations. |
© 2022 by the authors. Licensee MDPI, Basel, Switzerland. This article is an open access article distributed under the terms and conditions of the Creative Commons Attribution (CC BY) license (https://creativecommons.org/licenses/by/4.0/).
Share and Cite
Ruan, J.; Wang, Y.; Fan, Z.; Sun, Y.; Yang, T. AP Association Algorithm Based on VR User Behavior Awareness. Electronics 2022, 11, 3542. https://doi.org/10.3390/electronics11213542
Ruan J, Wang Y, Fan Z, Sun Y, Yang T. AP Association Algorithm Based on VR User Behavior Awareness. Electronics. 2022; 11(21):3542. https://doi.org/10.3390/electronics11213542
Chicago/Turabian StyleRuan, Jinjia, Yuchuan Wang, Zhenming Fan, Yongqiang Sun, and Taoning Yang. 2022. "AP Association Algorithm Based on VR User Behavior Awareness" Electronics 11, no. 21: 3542. https://doi.org/10.3390/electronics11213542
APA StyleRuan, J., Wang, Y., Fan, Z., Sun, Y., & Yang, T. (2022). AP Association Algorithm Based on VR User Behavior Awareness. Electronics, 11(21), 3542. https://doi.org/10.3390/electronics11213542

