Redesign of Channel Codes for Joint Source-Channel Coding Systems over One-Dimensional Inter-Symbol-Interference Magnetic Recording Channels
Abstract
1. Introduction
- (1)
- To exploit the redundancy left by the source encoder, a new JSCC system with a three-stage serially concatenated framework of Turbo equalization is proposed for OD-ISI MR channels.
- (2)
- In order to analyze the asymptotic-performance for the proposed system, a M-JPEXIT algorithm is designed, which investigates the MI evolution among the Bahl–Cocke–Jelinek–Raviv (BCJR) detector, the channel decoder and the source decoder.
- (3)
- An optimization algorithm for channel codes is put forward to improve the error performance of the proposed system by means of the M-JPEXIT algorithm, which takes both degree-1 VN and the type-1 connection edge into consideration.
2. System Model
3. Convergence-Performance Analysis and Re-Design of PLDPC Channel Codes
3.1. M-JPEXIT Algorithm
- The conventional JPEXIT algorithm tailored for JSCC systems is extended to a three-stage parallel concatenated system, which examines the evolution of the input/output MI exchanging among the BCJR detector, the channel decoder, and the source decoder.
- Different from the JPEXIT algorithm for AWGN channels, the modified algorithm is a hybrid performance analysis tool and it incorporates Monte Carlo simulation into information theoretical derivation.
| Algorithm 1 M-JPEXIT algorithm for the proposed system. |
|
3.2. A Re-Design Scheme for PLDPC Channel Codes
| Algorithm 2 Optimization algorithm for B. |
Require: p, B, B, and ;
|
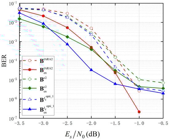
4. Simulation Result and Discussion
5. Conclusions
Author Contributions
Funding
Data Availability Statement
Conflicts of Interest
Abbreviations
| AWGN | Additive White Gaussian Noise |
| BER | Bit-Error-Rate |
| BPSK | Binary-Phase-Shift-keying |
| BCJR | Bahl–Cocke–Jelinek–Raviv |
| BP | Belief Propagation |
| CN | Check Node |
| DP-LDPC | Double Protograph Low-Density Parity-Check |
| ECC | Error Correction Code |
| EPR4 | Extended Class IV PR |
| i.u.d | independent and uniformly distributed |
| ISI | Inter-Symbol-Interference |
| JSCC | Joint Source-Channel Coding |
| JSCD | Joint Source-Channel Decoder |
| LLR | Log-Likelihood Ratio |
| LDPC | Low-Density Parity-Check |
| M-JPEXIT | Modified Joint Protograph Extrinsic Information Transfer |
| MR | Magnetic Recording |
| MI | Mutual Information |
| OD-ISI | One-Dimensional Inter-Symbol-Interference |
| PLDPC | Protograph Low-Density Parity-Check |
| PR | Partial Response |
| PEG | Progressive Edge Growth |
| SNR | Signal-to-Noise Ratio |
| TD-ISI | Two-Dimensional Inter-Symbol-Interference |
| VN | Variable Node |
References
- Pu, L.; Wu, Z.; Bilgin, A.; Marcellin, M.W.; Vasic, B. LDPC-based iterative joint source-channel decoding for JPEG2000. IEEE Trans. Image Process. 2007, 16, 577–581. [Google Scholar] [CrossRef] [PubMed]
- Zribi, A.; Pyndiah, R.; Zaibi, S.; Guilloud, F.; Bouallegue, A. Low-complexity soft decoding of Huffman codes and iterative joint source channel decoding. IEEE Trans. Commun. 2012, 60, 1669–1679. [Google Scholar] [CrossRef]
- Gallager, R. Low-density parity-check codes. IRE Trans. Inf. Theory 1962, 8, 21–28. [Google Scholar] [CrossRef]
- Fresia, M.; Perez-Cruz, F.; Poor, H.V.; Verdu, S. Joint source and channel coding. IEEE Signal Process. Mag. 2010, 27, 104–113. [Google Scholar] [CrossRef]
- Thorpe, J.T. Low-density parity-check (LDPC) codes constructed from protographs. IPN Progress Rep. 2003, 42, 42–154. [Google Scholar]
- He, J.; Wang, L.; Chen, P. A joint source and channel coding scheme base on simple protograph structured codes. In Proceedings of the 2012 International Symposium on Communications and Information Technologies (ISCIT), Gold Coast, QLD, Australia, 2–5 October 2012; pp. 65–69. [Google Scholar]
- Chen, Q.; Wang, L.; Hong, S.; Xiong, Z. Performance improvement of JSCC scheme through redesigning channel code. IEEE Commun. Lett. 2016, 20, 1088–1091. [Google Scholar] [CrossRef]
- Hong, S.; Chen, Q.; Wang, L. Performance analysis and optimisation for edge connection of JSCC system based on double protograph LDPC codes. IET Commun. 2018, 12, 214–219. [Google Scholar] [CrossRef]
- Chen, C.; Wang, L.; Lau, F.C. Joint optimization of protograph LDPC code pair for joint source and channel coding. IEEE Trans. Commun. 2018, 66, 3255–3267. [Google Scholar] [CrossRef]
- Chen, Q.; Wang, L.; Hong, S.; Chen, Y. Integrated design of JSCC scheme based on double protograph LDPC codes system. IEEE Commun. Lett. 2019, 23, 218–221. [Google Scholar] [CrossRef]
- Liu, S.; Wang, L.; Chen, J.; Hong, S. Joint component design for the JSCC system based on DP-LDPC codes. IEEE Trans. Commun. 2020, 68, 5808–5818. [Google Scholar] [CrossRef]
- Chen, Q.; Lau, F.C.; Wu, H.; Chen, C. Analysis and improvement of error-floor performance for JSCC scheme based on double protograph LDPC codes. IEEE Trans. Veh. Technol. 2020, 69, 14316–14329. [Google Scholar] [CrossRef]
- Chen, C.; Chen, Q.; Wang, L.; He, Y.C.; Chen, Y. Probabilistic shaping for protograph ldpc-coded modulation by residual source redundancy. IEEE Trans. Commun. 2021, 69, 4267–4281. [Google Scholar] [CrossRef]
- Xu, Z.; Wang, L.; Hong, S.; Chen, G. Design of code pair for protograph-ldpc codes-based jscc system with joint shuffled scheduling decoding algorithm. IEEE Trans. Commun. 2021, 25, 3770–3774. [Google Scholar] [CrossRef]
- Douillard, C.; Jézéquel, M.; Berrou, C.; Electronique, D.; Picart, A.; Didier, P.; Glavieux, A. Iterative correction of intersymbol interference: Turbo-equalization. Eur. Trans. Telecommun. 1995, 6, 507–511. [Google Scholar] [CrossRef]
- Raphaeli, D.; Zarai, Y. Combined turbo equalization and turbo decoding. IEEE Commun. Lett. 1998, 2, 107–109. [Google Scholar] [CrossRef]
- Kurkoski, B.M.; Siegel, P.H.; Wolf, J.K. Joint message-passing decoding of LDPC codes and partial-response channels. IEEE Trans. Inf. Theory 2002, 48, 1410–1422. [Google Scholar] [CrossRef]
- Song, H.; Todd, R.M.; Cruz, J. Low density parity check codes for magnetic recording channels. IEEE Trans. Magn. 2000, 36, 2183–2186. [Google Scholar] [CrossRef]
- Jiao, X.; Mu, J.; He, Y.C.; Xu, W. Linear-complexity ADMM updates for decoding LDPC Codes in partial response channels. IEEE Commun. Lett. 2019, 23, 2200–2204. [Google Scholar] [CrossRef]
- Jiao, X.; Liu, H.; Mu, J.; He, Y.C. l2-Box ADMM decoding for LDPC codes over ISI channels. IEEE Trans. Veh. Technol. 2021, 70, 3966–3971. [Google Scholar] [CrossRef]
- Zhang, Y.; Wu, H.; Coates, M. On the design of channel coding autoencoders with arbitrary rates for ISI channels. IEEE Wirel. Commun. Lett. 2022, 11, 426–430. [Google Scholar] [CrossRef]
- Fang, Y.; Chen, P.; Wang, L.; Lau, F.C. Design of protograph LDPC codes for partial response channels. IEEE Trans. Commun. 2012, 60, 2809–2819. [Google Scholar] [CrossRef]
- Yang, S.; Wang, L.; Fang, Y.; Chen, P. Performance of improved AR3A code over EPR4 channel. In Proceedings of the the 2011 3rd International Conference on Computer Research and Development, Shanghai, China, 11–13 March 2011; pp. 60–64. [Google Scholar]
- Van Nguyen, T.; Nosratinia, A.; Divsalar, D. Protograph-based LDPC codes for partial response channels. In Proceedings of the 2012 IEEE International Conference on Communications (ICC), Ottawa, ON, Canada, 10–15 June 2012; pp. 2166–2170. [Google Scholar]
- Van Nguyen, T.; Nosratinia, A.; Divsalar, D. Rate-compatible protograph-based LDPC codes for inter-symbol interference channels. IEEE Commun. Lett. 2013, 17, 1632–1635. [Google Scholar] [CrossRef]
- Chen, P.; Kong, L.; Fang, Y.; Wang, L. The design of protograph LDPC codes for 2-D magnetic recording channels. IEEE Trans. Magn. 2015, 51, 1–4. [Google Scholar] [CrossRef]
- Chen, P.; Kui, C.; Kong, L.; Chen, Z.; Zhang, M. Non-binary protograph-based LDPC codes for 2-D-ISI magnetic recording channels. IEEE Trans. Magn. 2017, 53, 1–5. [Google Scholar]
- Fang, Y.; Han, G.; Cai, G.; Lau, F.C.; Chen, P.; Guan, Y.L. Design guidelines of low-density parity-check codes for magnetic recording systems. IEEE Commun. Surv. Tuts. 2018, 20, 1574–1606. [Google Scholar] [CrossRef]
- Hu, X.Y.; Eleftheriou, E.; Arnold, D.M. Regular and irregular progressive edge-growth tanner graphs. IEEE Trans. Inf. Theory 2005, 51, 386–398. [Google Scholar] [CrossRef]




| p | Channel Code | Threshold | Coding Gain |
|---|---|---|---|
| 0.05 | −3.1/−4.1 | 1.0 | |
| −3.3/−5.3 | 2.0 | ||
| −3.4/−4.3 | 0.9 | ||
| 0.06 | −2.6/−3.3 | 0.7 | |
| −2.7/−4.3 | 1.6 | ||
| −2.9/−3.6 | 0.7 |
Publisher’s Note: MDPI stays neutral with regard to jurisdictional claims in published maps and institutional affiliations. |
© 2022 by the authors. Licensee MDPI, Basel, Switzerland. This article is an open access article distributed under the terms and conditions of the Creative Commons Attribution (CC BY) license (https://creativecommons.org/licenses/by/4.0/).
Share and Cite
Sun, Y.; Chen, C.; Liu, S.; Chen, Q.; Zhou, L. Redesign of Channel Codes for Joint Source-Channel Coding Systems over One-Dimensional Inter-Symbol-Interference Magnetic Recording Channels. Electronics 2022, 11, 3490. https://doi.org/10.3390/electronics11213490
Sun Y, Chen C, Liu S, Chen Q, Zhou L. Redesign of Channel Codes for Joint Source-Channel Coding Systems over One-Dimensional Inter-Symbol-Interference Magnetic Recording Channels. Electronics. 2022; 11(21):3490. https://doi.org/10.3390/electronics11213490
Chicago/Turabian StyleSun, Ying, Chen Chen, Sanya Liu, Qiwang Chen, and Lin Zhou. 2022. "Redesign of Channel Codes for Joint Source-Channel Coding Systems over One-Dimensional Inter-Symbol-Interference Magnetic Recording Channels" Electronics 11, no. 21: 3490. https://doi.org/10.3390/electronics11213490
APA StyleSun, Y., Chen, C., Liu, S., Chen, Q., & Zhou, L. (2022). Redesign of Channel Codes for Joint Source-Channel Coding Systems over One-Dimensional Inter-Symbol-Interference Magnetic Recording Channels. Electronics, 11(21), 3490. https://doi.org/10.3390/electronics11213490

