High Sound-Contrast Inverse Scattering by MR-MF-DBIM Scheme
Abstract
1. Introduction
2. Materials and Methods
| Algorithm 1. Distorted Born Iterative Method (DBIM) |
| Choose initial values: = and using Equation (1) For, do 1. Calculate and 2. Calculate corresponding to using Equations (6) and (7) 3. Calculate using Equation (8) 4. Calculate using Equation (9) 5. Calculate End For |
3. Results
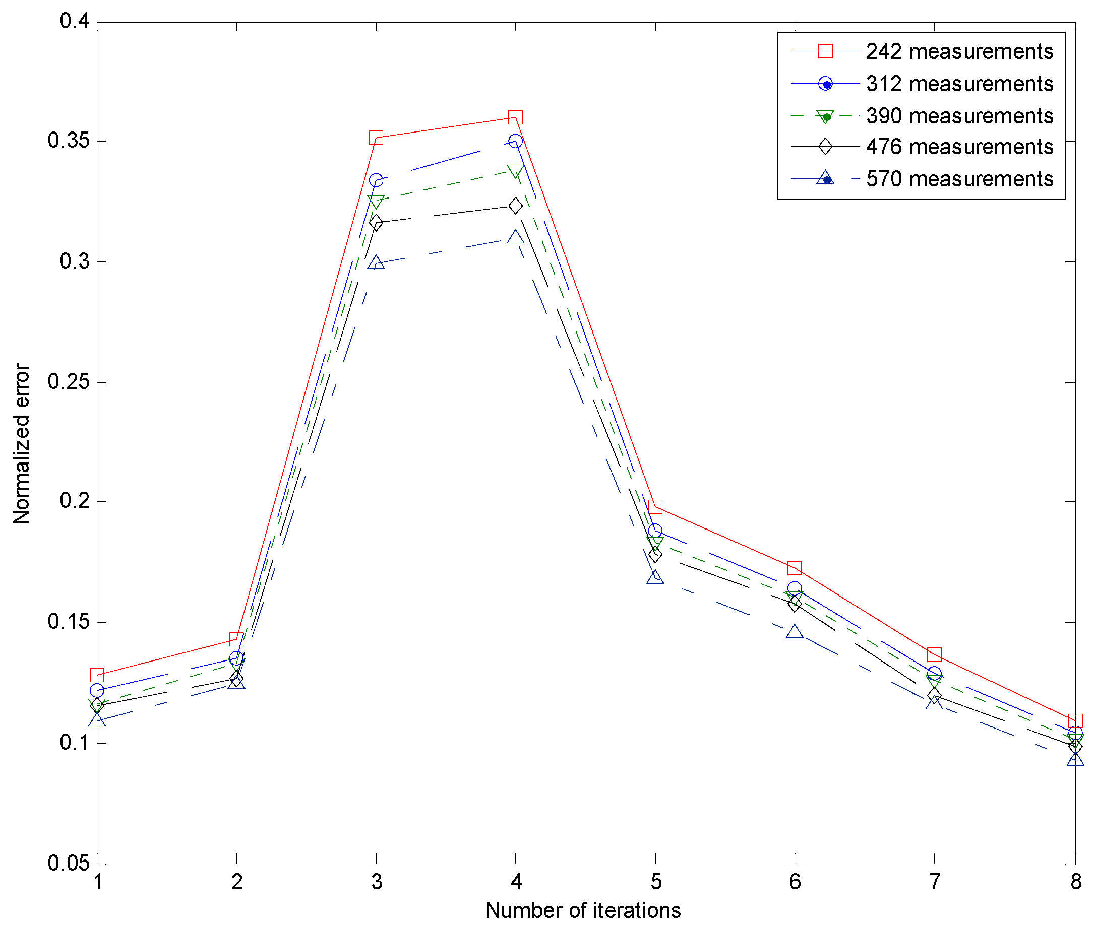
3.1. Multi-Resolution DBIM Approach
3.2. Multi-Resolution and Multi-Frequency DBIM Approach
4. Conclusions
Author Contributions
Funding
Institutional Review Board Statement
Informed Consent Statement
Data Availability Statement
Conflicts of Interest
References
- Schueler, C.F.; Lee, H.; Wade, G. Fundamentals of digital ultrasonic processing. IEEE Trans. Sonics Ultrason. 1984, 31, 195–217. [Google Scholar] [CrossRef]
- Macovski, A. Ultrasonic imaging using arrays. Proc. IEEE 1979, 67, 484–495. [Google Scholar] [CrossRef]
- Kino, G.S. Acoustic Waves: Devices, Imaging, and Analog Signal Processing. In Englewood Cliffs; Prentice Hall: Hoboken, NJ, USA, 1987. [Google Scholar]
- Zhu, Q.; Steinberg, B.D. Wavefront amplitude distortion and image sidelobe levels: Part I—Theory and computer simulations. IEEE Trans. Ultrason. Ferroelectr. Freq. Control 1993, 40, 747–753. [Google Scholar] [CrossRef] [PubMed]
- Greenleaf, J.; Johnson, S.; Samayoa, W.; Duck, F. Algebraic reconstruction of spatial distributions of acoustic velocities in tissue from their time-of-flight profiles. Acoust. Hologr. 1975, 6, 71–90. [Google Scholar]
- Greenleaf, J.; Johnson, S.; Lee, S.; Herman, G.; Wood, E. Algebraic reconstruction of spatial distributions of acoustic absorption within tissue from their two-dimensional acoustic projections. Acoust. Hologr. 1974, 5, 591–603. [Google Scholar]
- Johnson, S.A.; Greenleaf, J.F.; Samayoa, W.A.; Duck, F.A.; Sjostrand, J. Reconstruction of three-dimensional velocity fields and other parameters by acoustic ray tracing. In Proceedings of the IEEE Ultrasonics Symposium, Los Angeles, CA, USA, 22–24 September 1975; pp. 46–51. [Google Scholar]
- Duric, N.; Littrup, P.; Babkin, A.; Chambers, D.; Azevedo, S.; Kalinin, A.; Pevzner, R.; Tokarev, M.; Holsapple, E.; Rama, O.; et al. Development of ultrasound tomography for breast imaging: Technical assessment. Med. Phys. 2005, 32, 1375–1386. [Google Scholar] [CrossRef] [PubMed]
- Li, C.; Duric, N.; Huang, L. Breast imaging using transmission ultrasound: Reconstructing tissue parameters of sound speed and attenuation. In Proceedings of the International Conference on BioMedical Engineering and Informatics, Sanya, China, 27–30 May 2008; Volume 2, pp. 708–712. [Google Scholar]
- Jeong, J.-W.; Kim, T.-S.; Shin, D.C.; Do, S.; Singh, M.; Marmarelis, V.Z. Soft tissue differentiation using multiband signatures of high resolution ultrasonic transmission tomography. IEEE Trans. Med. Imaging 2005, 24, 399–408. [Google Scholar] [CrossRef]
- Johnson, S.A.; Abbott, T.; Bell, R.; Berggren, M.; Borup, D.; Robinson, D.; Wiskin, J.; Olsen, S.; Hanover, B. Noninvasive breast tissue characterization using ultrasound speed and attenuation. Acoust. Imaging 2007, 28, 147–154. [Google Scholar]
- Kak, A.; Slaney, M. Principles of Computerized Tomographic Imaging. In Philadelphia; SIAM: University City, PA, USA, 2001. [Google Scholar]
- Greenleaf, J.; Ylitalo, J.; Gisvold, J. Ultrasonic computed tomography for breast examination. IEEE Eng. Med. Biol. Mag. 1987, 6, 27–32. [Google Scholar] [CrossRef] [PubMed]
- Andre, M.P.; Janee, H.S.; Martin, P.J.; Otto, G.P.; Spivey, B.A.; Palmer, D.A. High-speed data acquisition in a diffraction tomography system employing large-scale toroidal arrays. Int. J. Imaging Syst. Technol. 1997, 8, 137–147. [Google Scholar] [CrossRef]
- Wiskin, J.; Borup, D.; Johnson, S.; Berggren, M.; Abbott, T.; Hanover, R. Full wave, nonlinear, inverse scattering. Acoust. Imaging 2007, 28, 183–194. [Google Scholar]
- Lasaygues, P.; Franceschini, E.; Guillermin, R.; Lefebvre, J.-P.; Salaud, N.; Petit, P. Two-dimensional ultrasonic computed tomography of growing bones. In Proceedings of the IEEE Ultrasonics Symposium, New York, NY, USA, 28–31 October 2007; Volume 1, pp. 1816–1819. [Google Scholar]
- Devaney, A. Inversion formula for inverse scattering within the Born approximation. Opt. Lett. 1982, 7, 111–112. [Google Scholar] [CrossRef] [PubMed]
- Devaney, A. Inverse-scattering theory within the Rytov approximation. Opt. Lett. 1981, 6, 374–376. [Google Scholar] [CrossRef]
- Chew, W.C.; Wang, Y.M. Reconstruction of two-dimensional permittivity distribution using the distorted Born iterative method. IEEE Trans. Med. Imaging 1990, 9, 218–225. [Google Scholar] [CrossRef]
- Haddadin, O.S.; Ebbini, E.S. Solution to the inverse scattering problem using a modified distorted Born iterative algorithm. In Proceedings of the IEEE Ultrasonics Symposium, Seattle, WA, USA, 7–10 November 1995; pp. 1411–1414. [Google Scholar]
- Gang, Y.; Lim, K.H.; George, R.; Ybarra, G.; Joines, W.T.; Liu, Q.H. A 3D EIT system for breast cancer imaging. In Proceedings of the 3rd IEEE International Symposium on Biomedical Imaging: Nano to Macro, Arlington, VA, USA, 6–9 April 2006; pp. 1092–1095. [Google Scholar]
- Abdi, M.; Liatsis, P. EIT in Breast Cancer Imaging: Application to Patient-Specific Forward Model. In Proceedings of the 2011 Developments in E-systems Engineering, Dubai, United Arab Emirates, 6–8 December 2011; pp. 56–61. [Google Scholar]
- Quang-Huy, T.; Nguyen, K.T.; Doan, P.T.; Tran, D. Interpolated Hybrid DBIM Approach for Enhanced Imaging in Ultrasound Tomography. Res. Biomed. Eng. (RBME) 2022, 38, 389–400. [Google Scholar] [CrossRef]
- Theu, L.T.; Tran, Q.; Solanki, V.K.; Shemeleva, T.R.; Tran, D. Influence of the multi-resolution technique on tomographic reconstruction in ultrasound tomography. Int. J. Parallel Emergent Distrib. Syst. 2021, 36, 579–593. [Google Scholar] [CrossRef]
- Quang-Huy, T.; Nguyen, T.; Solanki, V.K.; Tran, D. An Enhanced Multi-Frequency Distorted Born Iterative Method for Ultrasound Tomography Based on Fundamental Tone and Overtones. Int. J. Inf. Retr. Res. (IJIRR) 2022, 12, 1–19. [Google Scholar] [CrossRef]
- Haddadin, O.S.; Ebbini, E.S. Multiple frequency distorted Born iterative method for tomographic imaging. In Acoustical Imaging; Springer: Boston, MA, USA, 1997; pp. 613–619. [Google Scholar]
- Haddadin, O.S.; Ebbini, E.S. Imaging strongly scattering media using a multiple frequency distorted Born iterative method. IEEE Trans. Ultrason. Ferroelectr. Freq. Control 1998, 45, 1485–1496. [Google Scholar] [CrossRef]
- Tijhuis, A.G.; Belkebir, K.; Litman, A.C.; de Hon, B.P. Multiple-frequency distorted-wave Born approach to 2D inverse profiling. Inverse Probl. 2001, 17, 1635. [Google Scholar] [CrossRef]
- Lavarello, R.; Oelze, M. Density imaging using a multiple-frequency DBIM approach. IEEE Trans. Ultrason. Ferroelectr. Freq. Control 2010, 57, 2471–2479. [Google Scholar] [CrossRef] [PubMed]
- Tran, Q.H.; Tran, D.T.; Huynh, H.T.; Ton-That, L.; Nguyen, L.T. Influence of dual-frequency combination on the quality improvement of ultrasound tomography. Simulation 2016, 92, 267–276. [Google Scholar] [CrossRef]
- Varray, F.; Cachard, C.; Kybic, J.; Novell, A.; Bouakaz, A.; Basset, O. A multi-frequency approach to increase the native resolution of ultrasound images. In Proceedings of the 20th European Signal Processing Conference (EUSIPCO), Bucharest, Romania, 27–31 August 2012; pp. 2733–2737. [Google Scholar]
- Sayed, I.S. Multi-frequency ultrasound imaging: Phantom study. Int. J. Allied Health Sci. 2018, 2, 304–309. [Google Scholar]
- Miao, Z. Implementation and Optimisation of Microwave Medical Imaging Based on the Multiple-Frequency Dbim-Twist Algorithm. Ph.D. Thesis, King’s College London, London, UK, 2018. [Google Scholar]
- Ahsan, S.; Guo, Z.; Miao, Z.; Sotiriou, I.; Koutsoupidou, M.; Kallos, E.; Kosmas, P. Design and experimental validation of a multiple-frequency microwave tomography system employing the DBIM-TwIST algorithm. Sensors 2018, 18, 3491. [Google Scholar] [CrossRef]
- Miao, Z.; Kosmas, P. Multiple-frequency DBIM-TwIST algorithm for microwave breast imaging. IEEE Trans. Antennas Propag. 2017, 65, 2507–2516. [Google Scholar] [CrossRef]
- Lu, P.; Corcoles, J.; Kosmas, P. Enhanced FEM-based DBIM approach for two-dimensional microwave imaging. IEEE Trans. Antennas Propag. 2020, 69, 5187–5192. [Google Scholar] [CrossRef]
- Saraskanroud, F.M.; Jeffrey, I. Hybrid Approaches in Microwave Imaging using Quantitative Time-and Frequency-Domain Algorithms. IEEE Trans. Comput. Imaging 2022, 8, 121–132. [Google Scholar] [CrossRef]
- Krainov, V.P.; Reiss, R.H.; Smirnov, M.B. Appendix J: Properties of the Generalized Bessel Function. In Radiative Processes in Atomic Physics; John Wiley & Sons: New York, NY, USA, 2005. [Google Scholar]
- Golub, G.H.; Hansen, P.C.; O’Leary, D.P. Tikhonov Regularization and Total Least Squares. SIAM J. Matrix Anal. Appl. 1999, 21, 185–194. [Google Scholar] [CrossRef]
- Jegou, H.; Douze, M.; Schmid, C. Product quantization for nearest neighbor search. IEEE Trans. Pattern Anal. Mach. Intell. 2011, 33, 117–128. [Google Scholar] [CrossRef]
- Greenleaf, J.F.; Bahn, R.C. Clinical imaging transmissive ultrasonic computerized tomography. IEEE Trans. Biomed. Eng. 1981, 28, 177–185. [Google Scholar] [CrossRef] [PubMed]
- Mojabi, P.; LoVetri, J. Ultrasound tomography for simultaneous reconstruction of acoustic density, attenuation, and compressibility profiles. J. Acoust. Soc. Am. 2015, 134, 1813–1825. [Google Scholar] [CrossRef] [PubMed]
- Slaney, M.; Kak, A.C.; Larson, L.E. Limitations of imaging with first order diffraction tomography. IEEE Trans. Microw. Theory Tech. 1984, 32, 860–873. [Google Scholar] [CrossRef]












| N1 | 1 | 2 | 3 | 4 | 5 |
| Error | NoC | NoC | 0.1572 | 0.1280 | 0.1229 |
| N1 | 6 | 7 | 8 | 9 | 10 |
| Error | 0.2082 | 0.4898 | 0.5078 | 0.5278 | 0.4525 |
| N1 | 11 | 12 | 13 | 14 | 15 |
| Error | 0.5725 | 0.6408 | 0.6957 | 0.6304 | 0.6256 |
| N1 | 16 | 17 | 18 | 19 | 20 |
| Error | 0.5991 | 0.6302 | 0.5991 | 0.6215 | 0.6288 |
Publisher’s Note: MDPI stays neutral with regard to jurisdictional claims in published maps and institutional affiliations. |
© 2022 by the authors. Licensee MDPI, Basel, Switzerland. This article is an open access article distributed under the terms and conditions of the Creative Commons Attribution (CC BY) license (https://creativecommons.org/licenses/by/4.0/).
Share and Cite
Theu, L.T.; Quang-Huy, T.; Duc-Nghia, T.; Solanki, V.K.; Duc-Tan, T.; Tavares, J.M.R.S. High Sound-Contrast Inverse Scattering by MR-MF-DBIM Scheme. Electronics 2022, 11, 3203. https://doi.org/10.3390/electronics11193203
Theu LT, Quang-Huy T, Duc-Nghia T, Solanki VK, Duc-Tan T, Tavares JMRS. High Sound-Contrast Inverse Scattering by MR-MF-DBIM Scheme. Electronics. 2022; 11(19):3203. https://doi.org/10.3390/electronics11193203
Chicago/Turabian StyleTheu, Luong Thi, Tran Quang-Huy, Tran Duc-Nghia, Vijender Kumar Solanki, Tran Duc-Tan, and João Manuel R. S. Tavares. 2022. "High Sound-Contrast Inverse Scattering by MR-MF-DBIM Scheme" Electronics 11, no. 19: 3203. https://doi.org/10.3390/electronics11193203
APA StyleTheu, L. T., Quang-Huy, T., Duc-Nghia, T., Solanki, V. K., Duc-Tan, T., & Tavares, J. M. R. S. (2022). High Sound-Contrast Inverse Scattering by MR-MF-DBIM Scheme. Electronics, 11(19), 3203. https://doi.org/10.3390/electronics11193203

