A Novel Autocorrelation Combined MM-CDR Time-Interleaved ADC Timing Calibration in 28 nm CMOS Technology
Abstract
1. Introduction
1.1. A Sinewave-Input FFT-Based Foreground Method
1.2. Autocorrelation Method
1.3. Combined Clock and Data Recovery Circuit Method
2. Proposed CDR-Based Timing Calibration
2.1. Timing Mismatch Effect in CDR
2.2. Timing Mismatch Detection Based on MM-PD
2.3. Timing Mismatch Calibration
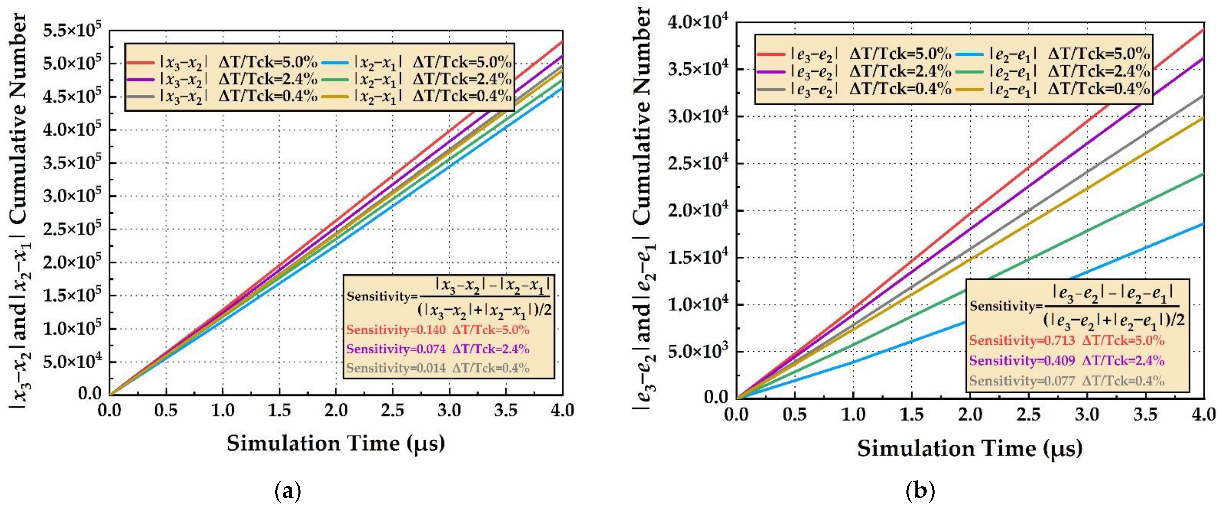
3. Simulation Results
4. Conclusions
Author Contributions
Funding
Institutional Review Board Statement
Informed Consent Statement
Data Availability Statement
Conflicts of Interest
References
- Kull, L.; Toifl, T.; Schmatz, M.; Francese, P.A.; Menolfi, C.; Braendli, M.; Kossel, M.; Morf, T.; Andersen, T.M.; Leblebici, Y. 22.1 A 90GS/s 8b 667mW 64× interleaved SAR ADC in 32nm digital SOI CMOS. In Proceedings of the IEEE International Conference on Solid-State Circuits (ISSCC), San Francisco, CA, USA, 9–13 February 2014; pp. 378–379. [Google Scholar] [CrossRef]
- Cui, D.; Zhang, H.; Huang, N.; Nazemi, A.; Catli, B.; Rhew, H.G.; Zhang, B.; Momtaz, A.; Can, J. 3.2 A 320mW 32Gb/s 8b ADC-based PAM-4 analog front-end with programmable gain control and analog peaking in 28 nm CMOS. In Proceedings of the IEEE International Conference on Solid-State Circuits (ISSCC), San Francisco, CA, USA, 31 January–4 February 2016; pp. 58–59. [Google Scholar] [CrossRef]
- Frans, Y.; Elzeftawi, M.; Hedayati, H.; Im, J.; Kireev, V.; Pham, T.; Shin, J.; Upadhyaya, P.; Zhou, L.; Asuncion, S.; et al. A 56Gb/s PAM4 wireline transceiver using a 32-way time-interleaved SAR ADC in 16nm FinFET. In Proceedings of the IEEE Symposium on VLSI Circuits (VLSI-Circuits), Honolulu, HI, USA, 15–17 June 2016; pp. 1–2. [Google Scholar] [CrossRef]
- Cao, J.; Cui, D.; Nazemi, A.; He, T.; Li, G.; Catli, B.; Khanpour, M.; Hu, K.; Ali, T.; Zhang, H.; et al. 29.2 A transmitter and receiver for 100Gb/s coherent networks with integrated 4×64GS/s 8b ADCs and DACs in 20nm CMOS. In Proceedings of the IEEE International Conference on Solid-State Circuits (ISSCC), San Francisco, CA, USA, 5–9 February 2017; pp. 484–485. [Google Scholar] [CrossRef]
- Chen, E.H.; Yousry, R.; Yang, C.K.K. Power Optimized ADC-Based Serial Link Receiver. IEEE J. Solid-State Circuits 2012, 47, 938–951. [Google Scholar] [CrossRef]
- Tabasy, E.Z.; Shafik, A.; Lee, K.; Hoyos, S.; Palermo, S. A 6 bit 10 GS/s TI-SAR ADC With Low-Overhead Embedded FFE/DFE Equalization for Wireline Receiver Applications. IEEE J. Solid-State Circuits 2014, 49, 2560–2574. [Google Scholar] [CrossRef]
- Pereira, J.M.D.; Girao, P.M.B.S.; Serra, A.M.C. An FFT-based method to evaluate and compensate gain and offset errors of interleaved ADC systems. IEEE Trans. Instrum. Meas. 2004, 53, 423–430. [Google Scholar] [CrossRef]
- Shafik, A.; Tabasy, E.Z.; Cai, S.; Lee, K.; Hoyos, S.; Palermo, S. A 10 Gb/s Hybrid ADC-Based Receiver With Embedded Analog and Per-Symbol Dynamically Enabled Digital Equalization. IEEE J. Solid-State Circuits 2016, 51, 671–685. [Google Scholar] [CrossRef]
- Kiran, S.; Cai, S.; Luo, Y.; Hoyos, S.; Palermo, S. A 32 Gb/s ADC-based PAM-4 receiver with 2-bit/stage SAR ADC and partially-unrolled DFE. In Proceedings of the IEEE Custom Integrated Circuits Conference (CICC), San Diego, CA, USA, 8–11 April 2018; pp. 1–4. [Google Scholar] [CrossRef]
- Kiran, S.; Cai, S.; Luo, Y.; Hoyos, S.; Palermo, S. A 52-Gb/s ADC-Based PAM-4 Receiver With Comparator-Assisted 2-bit/Stage SAR ADC and Partially Unrolled DFE in 65-nm CMOS. IEEE J. Solid-State Circuits 2019, 54, 659–671. [Google Scholar] [CrossRef]
- Wang, X.; Li, F.; Wang, Z. A novel autocorrelation-based timing mismatch Calibration strategy in Time-Interleaved ADCs. In Proceedings of the IEEE International Symposium on Circuits and Systems (ISCAS), Montreal, QC, Canada, 22–25 May 2016; pp. 1490–1493. [Google Scholar] [CrossRef]
- El-Chammas, M.; Murmann, B. A 12-GS/s 81-mW 5-bit Time-Interleaved Flash ADC With Background Timing Skew Calibration. IEEE J. Solid-State Circuits 2011, 46, 838–847. [Google Scholar] [CrossRef]
- Jia, H.; Guo, X.; Wu, D.; Zheng, X.; Xu, X.; Wu, D.; Zhou, L.; Wu, J.; Liu, X. A 4-bit 36 GS/s ADC with 18 GHz Analog Bandwidth in 40 nm CMOS Process. Electronics 2020, 9, 1733. [Google Scholar] [CrossRef]
- Lan, J.; Zhai, D.; Chen, Y.; Ni, Z.; Shen, X.; Ye, F.; Ren, J. A 2.5-GS/s Four-Way-Interleaved Ringamp-Based Pipelined-SAR ADC with Digital Background Calibration in 28-nm CMOS. Electronics 2021, 10, 3173. [Google Scholar] [CrossRef]
- Razavi, B. Problem of timing mismatch in interleaved ADCs. In Proceedings of the IEEE Custom Integrated Circuits Conference (CICC), San Jose, CA, USA, 9–12 September 2012; pp. 1–8. [Google Scholar] [CrossRef]
- Razavi, B. Design Considerations for Interleaved ADCs. IEEE J. Solid-State Circuits 2013, 48, 1806–1817. [Google Scholar] [CrossRef]
- Wei, H.; Zhang, P.; Sahoo, B.D.; Razavi, B. An 8 Bit 4 GS/s 120 mW CMOS ADC. IEEE J. Solid-State Circuits 2014, 49, 1751–1761. [Google Scholar] [CrossRef]
- Jo, D.S.; Sung, B.R.S.; Seo, M.J.; Kim, W.C.; Ryu, S.T. A 40-nm CMOS 7-b 32-GS/s SAR ADC With Background Channel Mismatch Calibration. IEEE Trans. Circuits Syst. II Exp. Briefs 2020, 67, 610–614. [Google Scholar] [CrossRef]
- Yoo, B.J.; Lim, D.H.; Pang, H.; Lee, J.H.; Baek, S.Y.; Kim, N.; Choi, D.H.; Choi, Y.H.; Yang, H.; Yoon, T.; et al. 6.4 A 56Gb/s 7.7mW/Gb/s PAM-4 Wireline Transceiver in 10nm FinFET Using MM-CDR-Based ADC Timing Skew Control and Low-Power DSP with Approximate Multiplier. In Proceedings of the IEEE International Conference on Solid-State Circuits (ISSCC), San Francisco, CA, USA, 16–20 February 2020; pp. 122–124. [Google Scholar] [CrossRef]
- Faig, H.; Rohlin, D.; Cohen, S.; Gantz, L.; Sheffi, N.; Sadot, D. A Novel CDR-Based Low-Cost Time-Interleaved-ADC Timing Calibration. IEEE J. Lightwave Technol. 2020, 38, 1777–1784. [Google Scholar] [CrossRef]
- Agazzi, O.E.; Gopinathan, V. Background calibration of interleaved analog to digital converters for high-speed communications using interleaved timing recovery techniques. In Proceedings of the IEEE International Symposium on Circuits and Systems (ISCAS), Kobe, Japan, 23–26 May 2005; pp. 1390–1393. [Google Scholar] [CrossRef]
- Oh, D.R. A 6-Bit 20 GS/s Time-Interleaved Two-Step Flash ADC in 40 nm CMOS. Electronics 2022, 11, 3052. [Google Scholar] [CrossRef]
- Liu, J.; Hassanpourghadi, M.; Chen, M.S.W. A 10-GS/s 8-bit 2850-μm2 Two-Step Time-Domain ADC With Speed and Efficiency Enhanced by the Delay-Tracking Pipelined-SAR TDC. IEEE J. Solid-State Circuits 2022, 1–11. [Google Scholar] [CrossRef]













| Reference | [12] | [13] | [19] | [22] | [23] | This Work |
|---|---|---|---|---|---|---|
| Technology | 65 nm CMOS | 40 nm CMOS | 10 nm CMOS | 40 nm CMOS | 14 nm CMOS | 28 nm CMOS |
| Architecture | 8 TI FLASH ADC | 8 TI SAR ADC | 8 × 4 TI SAR ADC | 4 × 4 TI FLASH ADC | 2 TI FLASH-SAR | 4 × 8 TI SAR ADC |
| Sampling rate (GS/s) | 12 | 36 | 28 | 20 | 10 | 32 |
| Resolution (bits) | 5 | 4 | 7 | 6 | 8 | 6 |
| SNDR (dB) @ Nyquist Frequency | 25.1 | 18.6 | - | 30.1 | 37.2 | 34.56 |
| Supply (V) | 1.1 | 0.9/1.2/1.8 | 0.75/0.85/1.2 | 0.9 | 0.8 | 0.9/1.4 |
| Area (mm2) | 1.3 0.44 * | 5.328 | 0.72 | 0.1 * | 0.285 * | 0.272 0.0648 * |
| Power (mW) | 81 * | 780 * | 107.8 40.88 * | 56.2 * | 14.8 * | 82.6 * |
| Skew Extraction Formula | Proposed | |xj − xj−1| | xj × xj−1 | ejdj−1 + ej−1dj |
|---|---|---|---|---|
| Sensitivity per 1% skew | 0.193 | 0.034 | 0.007 | 0.089 |
| Area (μm2) | 695 | 2850 | 5236 | 1128 |
| Power (mW) | 0.126 | 0.446 | 0.867 | 0.163 |
Publisher’s Note: MDPI stays neutral with regard to jurisdictional claims in published maps and institutional affiliations. |
© 2022 by the authors. Licensee MDPI, Basel, Switzerland. This article is an open access article distributed under the terms and conditions of the Creative Commons Attribution (CC BY) license (https://creativecommons.org/licenses/by/4.0/).
Share and Cite
Gu, Y.; Feng, X.; Chi, R.; Wu, J.; Chen, Y. A Novel Autocorrelation Combined MM-CDR Time-Interleaved ADC Timing Calibration in 28 nm CMOS Technology. Electronics 2022, 11, 3198. https://doi.org/10.3390/electronics11193198
Gu Y, Feng X, Chi R, Wu J, Chen Y. A Novel Autocorrelation Combined MM-CDR Time-Interleaved ADC Timing Calibration in 28 nm CMOS Technology. Electronics. 2022; 11(19):3198. https://doi.org/10.3390/electronics11193198
Chicago/Turabian StyleGu, Youzhi, Xinjie Feng, Runze Chi, Jiangfeng Wu, and Yongzhen Chen. 2022. "A Novel Autocorrelation Combined MM-CDR Time-Interleaved ADC Timing Calibration in 28 nm CMOS Technology" Electronics 11, no. 19: 3198. https://doi.org/10.3390/electronics11193198
APA StyleGu, Y., Feng, X., Chi, R., Wu, J., & Chen, Y. (2022). A Novel Autocorrelation Combined MM-CDR Time-Interleaved ADC Timing Calibration in 28 nm CMOS Technology. Electronics, 11(19), 3198. https://doi.org/10.3390/electronics11193198

