Next Article in Journal
Offset Compensation in Resistive Stretch Sensors Using Low-Frequency Feedback Topology
Previous Article in Journal
Very Simple System for Walking-Speed Measurement in Geriatric Patients
 
 
Font Type:
Arial Georgia Verdana
Font Size:
Aa Aa Aa
Line Spacing:
Column Width:
Background:
Article

Global Adaptive Control for Uncertain Nonlinear Systems under Non-Lipschitz Condition with Quantized States

Aviation Engineering School, Air Force Engineering University, Xi’an 710038, China
*
Author to whom correspondence should be addressed.
Electronics 2022, 11(19), 3160; https://doi.org/10.3390/electronics11193160
Submission received: 15 July 2022 / Revised: 24 September 2022 / Accepted: 27 September 2022 / Published: 1 October 2022
(This article belongs to the Section Systems & Control Engineering)

Abstract

A novel adaptive control method is designed for the uncertain nonlinear systems with quantized states under the condition that system nonlinearities do not satisfy the Lipschitz condition. In this paper, the global control for an uncertain nonlinear system with quantized states in the case that the system nonlinearities do not satisfy the Lipschitz condition is first achieved. Separation theorem is used to model the uncertainties appropriately and then an adaptive term is designed to help attenuate the effects of system uncertainties. Furthermore, the global boundedness of all signals of the closed-loop system is proved based on the Lyapunov stability theorem. Finally, simulation results are given to demonstrate the effectiveness of the proposed methods.

1. Introduction

With the popularization of information technology in modern control engineering, there has been more and more interest in the research of feedback control systems considering signal quantization. Though uncertain nonlinear systems have been widely researched for several decades and numerous significant results have been achieved on uncertain nonlinear control [1,2,3,4,5,6], most of these methods rely on continuous signals such that they cannot be directly applied to system with quantized input or states, which cause discrete nonlinearities and disable traditional backstepping-based method [7]. Quantization, a mapping from continuous values to a finite number of discrete sets, plays an irreplaceable role in network control systems containing digital communication channels.
Recently, many investigations on quantized control design have been focused on the control of nonlinear systems with quantized input. In [8], adaptive control scheme with hysteresis input quantizers for uncertain nonlinear systems is presented. It should be mentioned that the method in [8] is highly dependent on control signals to achieve system stability, which is not easy to verify in advance. To solve this problem, an adaptive backstepping-based control approach is proposed for the stabilization of uncertain strict-feedback nonlinear systems with quantized input in [9]. However, only matched parametric uncertainties are considered. For systems with unmatched parametric uncertainties and quantized input, a new adaptive control law is proposed by introducing a robust term to eliminate the influence of quantization nonlinearity in [10], and an adaptive quantized controller is designed by combining a hyperbolic tangent function with a specific transformation of control signal to attenuate the effects of input quantization for interconnected systems with input quantization in [11]. An asymptotic tracking controller for nonlinear systems with unmatched uncertainties and quantized input is proposed in [12]. To deal with the systems with quantized input and unknown control direction, a Nussbaum function-based adaptive controller is designed in [13]. The results for nonlinear system with quantized input have been further extended for stochastic non-strict-feedback nonlinear systems in [14]. However, these methods [8,9,10,11,12,13,14] only consider the systems with quantized input, and the control problem of systems with quantized system states are not considered in these methods, which is a more general problem in real quantized systems and should not be unneglected.
For the system with quantized system states, pioneering works have been performed for linear systems in [15,16] with known system models. In these methods, the system model or dynamics are known. Using a switching mechanism, a supervisory control scheme is presented in [17] for uncertain linear systems with quantized system states. More recently, some remarkable results have been obtained in nonlinear system control with quantized system states. Under the condition that the number of quantization levels is finite, an event-triggered control method for nonlinear systems with a quantized system states is proposed in [18], and a set-valued map-based control approach is designed in [19]. For the case of an infinite number of quantization levels, an adaptive backstepping-based control method which can handle discontinuity resulting from the state quantization is developed by constructing a new compensation scheme for the effects of the state quantization in [20], further research has been made in [21] considering both quantized system states and input. However, it is worth mentioning that global Lipschitz conditions are required in [20] to obtain global stability of system, which is a severe constraint for nonlinear systems since most of the real systems may not always satisfy global Lipschitz conditions. To cancel the global Lipschitz conditions, adaptive control with quantized states for uncertain nonlinear systems with unknown time-delays is investigated in [22], and an adaptive event-triggered controller with quantized states is studied in [23] by using neural networks as approximators. For switching nonlinear with state quantization, an adaptive tracking control method is proposed in [24] using neural networks. For uncertain nonlinear systems in the strict-feedback form, an adaptive command filtered control approach with quantized states is designed in [25]. However, it is worth mentioning that only semi-global boundedness can be achieved in [22,23,24,25] since command filters or neural networks are included, which are basically semi-global techniques. Though much progress has been made in system controls with quantized states, it can be seen that the global Lipschitz conditions are required in [20,21,25], and only semi-global stability can be obtained in [18,19,22,23,24,25]. Thus far, to the best of our knowledge, the global control for nonlinear systems with quantized states under non-Lipschitz conditions for system nonlinearities is still an unsolved problem, which is also a great challenge in that no existing methods can be found for this problem.
Motived by the above discussion, a novel adaptive control method is designed for the uncertain nonlinear systems with quantized states. The main contributions of this paper are summarized as follows. Firstly, a global adaptive control for uncertain nonlinear system with quantized states in the case that system nonlinearity does not satisfy the Lipschitz condition is achieved for the first time, which suggests that system nonlinearities can be arbitrary continuous functions, rather than some restricted functions that satisfy Lipschitz conditions. Secondly, combining with the separation theorem, an adaptive term based on the boundedness of quantization errors is designed to attenuate the influence of system uncertainties. Then, the global ultimate boundedness of all signals of the closed-loop system is proved based on the Lyapunov stability theorem. Finally, simulation results are given to demonstrate the effectiveness of the proposed methods under non-Lipschitz conditions with quantized states.

2. Problem Statement

Consider a class of uncertain nonlinear systems described as follows:
{ x ˙ i = x i + 1 ,   i = 1 , 2 , , n 1 x ˙ n = u ( t ) + ψ ( x ) + θ T φ ( x ) y = x 1
where x = [ x 1 , x 2 , , x n ] T n denotes the system states; u ( t ) is system control input; y is system output; ψ ( x ) is an uncertain continuous nonlinear function; φ ( x ) = [ φ 1 ( x ) , , φ l ( x ) ] T l is a vector of known continuous nonlinear functions, θ = [ θ 1 , , θ l ] T l denotes an unknown parameter vector.
Denote
x q = [ q ( x 1 ) , q ( x 2 ) , , q ( x n ) ] T
where q ( x i ) , i = 1 , 2 , , n represents the quantization of the state x i , and q ( x i ) is expressed as follows [20]:
q ( x i ( t ) ) = { l δ 2 l 1 2 δ x i < 2 l + 1 2 δ 0 δ 2 x i < δ 2 l δ 2 l + 1 2 δ x i < 2 l 1 2 δ l = 1 , 2 ,
where i = 1 , 2 , , n . q ( x i ) is in the set U = { 0 , ± l δ } . According to (3), we conclude that the quantized state q ( x i ) and the real state x i satisfy the following property:
| q ( x i ) x i | δ 2 .
In this paper, only quantized states x q = [ q ( x 1 ) , q ( x 2 ) , , q ( x n ) ] T are measurable. The feedback controller u ( t ) can only use the quantized states for design. The control goal is to make the system output y follow the desired trajectory y d using only quantized states.
Assumption 1.
There exists a known smooth positive continuous function  ψ M ( ) such that
| ψ ( x 1 , x 2 , , x n ) | ψ M ( x 1 , x 2 , , x n ) ,   [ x 1 , x 2 , , x n ] T R n .
Assumption 2.
Only quantized states  ( q ( x 1 ) , q ( x 2 ) , , q ( x n ) ) are measurable and available for control design, instead of the states ( x 1 , x 2 , , x n ) .
Assumption 3.
The reference signal  y d and its derivatives are bounded and available. The trajectory vector can be represented by x ¯ d i = [ y d , y d ( 1 ) , , y d ( i 1 ) ] T ,   i = 1 , , n .
Lemma 1
([26]). For any continuous function f ( x , y ) , where x m , y n , there are smooth scalar functions c ( x ) 1 and d ( y ) 1 , such that
| f ( x , y ) | c ( x ) d ( y ) .
Proof 
(of [26]). See Lemma 1. □

3. Design of Adaptive Quantized Controller and Stability Analysis

In this section, an adaptive controller based on the backstepping technique with quantized states for uncertain nonlinear system (1) and the corresponding stability analysis are presented. The design of adaptive control laws is based on the following change of coordinates:
z 1 = x 1 y d
z i = x i α i 1 , f o r i = 2 , , n
where α i 1 is the virtual control function of [ x 1 , , x i 1 ] T and x ¯ d i . Subsequently, the design procedures are given below.
Step 1: In view of (1) and (7), differentiating z 1 with respect to time yields
z ˙ 1 = x 2 y ˙ d .
Define a quadratic function as follows:
V 1 = 1 2 z 1 2 .
After (9), (10) and z 2 = x 2 α 1 , the time derivative of V 1 is
V ˙ 1 = z 1 ( z 2 + α 1 y ˙ d ) .
Choose the virtual control law as follows:
α 1 = c 1 z 1 + y ˙ d
where c 1 is a positive design parameter, and after substituting (12) into (11),we obtain
V ˙ 1 = z 1 ( z 2 c 1 z 1 ) = z 1 z 2 c 1 z 1 2 .
Using the mean inequality in (13),
V ˙ 1 = z 1 z 2 c 1 z 1 2 1 2 c 1 z 2 2 + c 1 2 z 1 2 c 1 z 1 2 = c 1 V 1 + 1 2 c 1 z 2 2 .
According to Gronwall Lemma in [27,28], we have
V 1 ( t ) V 1 ( 0 ) e c 1 t + e c 1 t 0 t 1 2 c 1 z 2 2 e c 1 τ d τ V 1 ( 0 ) + e c 1 t 0 t 1 2 c 1 z 2 2 e c 1 τ d τ
Remark 1.
Noting (15), it is shown that if e c 1 t 0 t 1 2 c 1 z 2 2 e c 1 τ d τ is bounded, we can conclude that the signals including V 1 ( t ) and z 1 are bounded with the help of the Lyapunov theorem [29]. From the boundness of z 1 , y d and y ˙ d , it is deduced that x 1 and α 1 in (12) are bounded.
From the inequality
e c 1 t 0 t 1 2 c 1 z 2 2 e c 1 τ d τ 1 2 c 1 e c 1 t sup τ [ 0 , t ] [ z 2 2 ( τ ) ] 0 t e c 1 τ d τ 1 2 c 1 2 sup τ [ 0 , t ] [ z 2 2 ( τ ) ]
we conclude that if z 2 is bounded by default, then e c 1 t 0 t 1 2 c 1 z 2 2 e c 1 τ d τ is bounded. In the next step, we will analyze the condition required for z 2 to be bounded.
Step i : ( 2 i n 1 ): Similarly, considering (1) and (8), the derivative of z i is calculated as
z ˙ i = x i + 1 α ˙ i 1 = z i + 1 + α i k = 1 i 1 α i 1 x k x k + 1 α i 1 x ¯ d i T x ¯ ˙ d i
Define a quadratic function as follows:
V i = 1 2 z i 2 ,
For i = 2 , , n 1 and with (17), the time derivative of V i is given by
V ˙ i = z i ( z i + 1 + α i k = 1 i 1 α i 1 x k x k + 1 α i 1 x ¯ d i T x ¯ ˙ d i ) .
Considering the virtual control law as follows for i = 2 , , n 1
α i = c i z i + α ˙ i 1 = c i z i + k = 1 i 1 α i 1 x k x k + 1 + α i 1 x ¯ d i T x ¯ ˙ d i
where c i > 0 is design parameter and substituting (20) into (19), we obtain
V ˙ i = z i ( z i + 1 c i z i ) = z i z i + 1 c i z i 2 .
Using the mean inequality in (21), we have
V ˙ i = z i z i + 1 c i z i 2 1 2 c i z i + 1 2 + c i 2 z i 2 c i z i 2 = c i V i + 1 2 c i z i + 1 2 .
According to Gronwall Lemma in [27,28], we have
V i ( t ) V i ( 0 ) e c i t + e c i t 0 t 1 2 c i z i + 1 2 e c i τ d τ V i ( 0 ) + e c i t 0 t 1 2 c i z i + 1 2 e c i τ d τ
Remark 2.
Similar as Remark 1. If z i + 1 is bounded by default, then we can a draw conclusion that the extra term e c i t 0 t 1 2 c i z i + 1 2 e c i τ d τ is bounded, which further implies that V i , z i , x i and α i in (20) are bounded. The regulation of z i + 1 will be investigated in the next step.
Step n : This step is crucial because we can stabilize the whole system by guaranteeing the boundness of z n .
In view of (1) and (8), the derivative of z n is computed as
z ˙ n = x ˙ n α ˙ n 1 = u + ψ ( x ) + θ T φ ( x ) k = 1 n 1 α n 1 x k x k + 1 α n 1 x ¯ d n T x ¯ ˙ d n .
Considering the Lyapunov function
V n = 1 2 z n 2 + 1 2 γ ε ˜ T ε ˜
where ε ˜ = ε ε ^ , among which ε l + 1 is a vector of unknown positive parameters, given above (43), ε ^ is the estimation of ε , γ is a positive design parameter.
From (25), along with (24), the time derivative of V n is given with a blow by:
V ˙ n = z n ( u + ψ ( x ) + θ T φ ( x ) α ˙ n 1 ) 1 γ ε ˜ T ε ^ ˙ .
Similarly, choosing the virtual control α n as follows:
α n = c n z n + α ˙ n 1 = c n z n + k = 1 n 1 α n 1 x k x k + 1 + α n 1 x ¯ d n T x ¯ ˙ d n
where c n is a positive design parameter.
According to (12), (20) and (27), we are proving that α i x k , i = 1 , , n , k = 1 , , i is constant with respect to c 1 , , c i . The proof by induction is following.
The induction base is for i = 1 , 2 when we have by previous:
α 1 x 1 = α 1 z 1 z 1 x 1 = c 1
[ α 2 x 1 , α 2 x 2 ] = [ c 2 z 2 x 1 , c 2 z 2 x 2 + α 1 x 1 ] = [ c 2 c 1 , c 2 c 1 ] .
For the induction step where α i = c i ( x i α i 1 ) + k = 1 i 1 α i 1 x k x k + 1 + α i 1 x ¯ d i T x ¯ ˙ d i with i = 3 , , n , we suppose that α i 1 x k for k = 1 , , i 1 a is constant with respect to c 1 , , c i 1 . Then, the following recursive formulas hold:
α i x 1 = c i α i 1 x 1 α i x k = c i α i 1 x k + α i 1 x k 1 ,   k = 2 , , i 1 α i x i = c i + α i 1 x i 1 .
Apparently, α i x k , k = 1 , , i is constant with respect to c 1 , , c i .
The above virtual controllers are designed on the premise that all states of the system are available. Considering that the states ( x 1 , x 2 , , x n ) are unmeasurable in this paper, it is quite difficult to use the error z n and the virtual control law α n directly in actual controller design. Instead of unmeasurable states, we are quantizing them to design a practical controller, as follows:
z ¯ 1 = q ( x 1 ) y d
z ¯ i = q ( x i ) α ¯ i 1 , f o r i = 2 , , n
α ¯ 1 = c 1 z ¯ 1 + y ˙ d
α ¯ i = c i z ¯ i + k = 1 i 1 α i 1 x k q ( x k + 1 ) + α i 1 x ¯ d i T x ¯ ˙ d i , f o r i = 2 , , n .
Lemma 2.
For the quantization error signals
e z i = z i z ¯ i e α i = α i α ¯ i
where i = 1 , 2 , , n , there exist positive constants L z i and L α i satisfying | e z i | L z i and | e α i | L α i .
Proof. 
See Appendix A. □
Remark 3.
Lemma 2 establishes the relationships between transmitted signals and quantized transmitted signals by proving the boundedness of quantization errors. This avoids the problem that the quantization signal is not differentiable in stability analysis and the non-quantization state is not available in practical controller design. It is worth mentioning that the proof of Lemma 2 also gives a recursive formula for solving  L z i and  L α i . Let  L = L z n , which will contribute to controller design.
Using (27) and (34), it follows that
V ˙ n = z n ( u α n + α n + ψ ( x ) + θ T φ ( x ) α ˙ n 1 ) 1 γ ε ˜ T ε ^ ˙ = z n ( u α n c n z n + α ˙ n 1 + ψ ( x ) + θ T φ ( x ) α ˙ n 1 ) 1 γ ε ˜ T ε ^ ˙ = c n z n 2 + z n ( u α ¯ n + α ¯ n α n + ψ ( x ) + θ T φ ( x ) ) 1 γ ε ˜ T ε ^ ˙ = c n z n 2 + z n ( u α ¯ n + ψ ( x ) + θ T φ ( x ) ) 1 γ ε ˜ T ε ^ ˙ + z n ( α ¯ n α n ) .
As ψ ( x ) is an unknown nonlinear function of x , while x is not available, it is not easy to construct the actual controller directly. To overcome the obstacle caused by the unknown nonlinearity with state quantization, we construct a relationship between unknown nonlinear function ψ ( x ) and quantized states x q . Specifically, we make the variable substitution for the boundary function ψ M ( x ) as follows:
ψ M ( x ) = ψ M ( x 1 , , x n ) = ψ M [ ( x 1 q ( x 1 ) ) + q ( x 1 ) , , ( x n q ( x n ) ) + q ( x n ) ] = f [ q ( x 1 ) , , q ( x n ) , x 1 q ( x 1 ) , , x n q ( x n ) ] = f ( x q , x x q )
where f ( x q , x x q ) is the transition function of ψ M ( x ) under the new independent variables x q and x x q . From the continuity of ψ M ( ) , it follows that f ( x q , x x q ) is also continuous. Additionally, by Lemma 1, it is deduced that there exist two smooth functions r ψ ( x q ) 1 and b ψ ( x x q ) 1 satisfying
f ( x q , x x q ) r ψ ( x q ) b ψ ( x x q ) .
By means of (4), which implies the boundedness of x x q , we can obtain the inequality as follows:
| ψ ( x ) | ψ M ( x ) = f ( x q , x x q ) ξ r ψ ( x q )
where ξ = sup [ b ψ ( x x q ) ] . Obviously, ξ is a positive constant parameter since | x i q ( x i ) | δ 2 , i = 1 , , n .
Remark 4.
Since the designed boundary function b ψ ( ) is known and smooth, we can obtain ξ by solving the extremum of b ψ ( ) or by some other mathematical methods. When the form of the function b ψ ( ) is complicated, the actual solving process will be extremely difficult. In this paper, we do not need to know the exact value of ξ , instead of it, we are using adaptive estimation to simplify the controller design process.
Referring to the process (37)–(39), we apply the following transformation to φ i ( x )   for   i = 1 , , l ,
φ i ( x ) = φ i ( x 1 , , x n ) = φ i [ ( x 1 q ( x 1 ) ) + q ( x 1 ) , , ( x n q ( x n ) ) + q ( x n ) ] = g i [ q ( x 1 ) , , q ( x n ) , x 1 q ( x 1 ) , , x n q ( x n ) ] = g i ( x q , x x q )
where g i ( x q , x x q ) is the transition function of φ i ( x ) under the new independent variables x q and x x q . Furthermore, by Lemma 1, there exist two smooth functions r φ i ( x q ) 1 and b φ i ( x x q ) 1 satisfying
| g i ( x q , x x q ) | r φ i ( x q ) b φ i ( x x q ) .
By means of (4) which implies the boundedness of x x q , we can obtain the inequality as follows:
| φ i ( x ) | = | g i ( x q , x x q ) | β i r φ i ( x q )
where β i = sup [ b φ i ( x x q ) ] . Obviously, β i is a positive constant parameter since | x i q ( x i ) | δ 2 , i = 1 , , n .
By (37)–(42), defining ε = [ ε 1 , , ε l , ε l + 1 ] T = [ β 1 | θ 1 | , , β l | θ l | , ξ ] T l + 1 , it holds that
| ψ ( x ) + θ T φ ( x ) | | ψ ( x ) | + | θ T φ ( x ) | i = 1 l θ i φ i ( x ) + | ψ ( x ) | i = 1 l | θ i | | φ i ( x ) | + | ψ ( x ) | i = 1 l | θ i | β i r φ i ( x q ) + ξ r ψ ( x q ) = ε T r ( x q )
where r ( x q ) = [ r 1 ( x q ) , , r l ( x q ) , r l + 1 ( x q ) ] T = [ r φ 1 ( x q ) , , r φ l ( x q ) , r ψ ( x q ) ] T l + 1 .
A quantized feedback adaptive practical control law is presented as
u = κ 1 z ¯ n κ L ( κ 1 z ¯ n 2 + L ) ε ^ T r ( x q ) + α ¯ n
ε ^ ˙ = γ [ ( κ 1 z ¯ n 2 + L ) r ( x q ) σ ε ^ ] , ε ^ ( 0 ) = [ 0 , , 0 ] T
where L has been defined in remark 3, σ is a positive design parameter and κ is a design parameter satisfying κ > L > 0 .
Remark 5.
In [20], an adaptive recursive control scheme is proposed for uncertain nonlinear system with state quantization for the first time. However, the system nonlinearities in [20]are required to be known and to meet the global Lipschitz condition (see (4) and (5) in [20]) which is a strong constraint for many nonlinear systems. For further analysis, the quantized feedback controller proposed in [20] is given as follows:
u = α ¯ n ψ ( x q ) θ ^ T φ ( x q ) .
Because ψ ( x ) and φ ( x ) satisfy the Lipschitz condition in [20], the effects of state quantization can be classified as bounded as bounded with the values that following
| ψ ( x ) ψ ( x q ) | L ψ
φ ( x ) φ ( x q ) L φ
where L ψ and L φ are positive constants. However, if we remove the Lipschitz condition, the bounded conditions (47) and (48) may not be guaranteed and thus the control law (46) cannot applied to systems with nonlinearities that do not satisfy the Lipschitz condition, let alone the case when the function ψ ( x ) is unknown. In contrast, by the strategy consisting of (37)–(43) the system uncertainties ψ ( x ) + θ T φ ( x ) can be transformed into a nonlinear function of quantized state with only uncertain parameters which is available for the controller design. With this technology, we can handle the quantized control problems with uncertain nonlinearities very well even if the Lipschitz condition is not satisfied.
Theorem 1.
Consider the nonlinear system (1) with state quantization satisfying bounded property (4), the adaptive controller (44) and parameter adaptive law (45). Then, all the closed-loop signals are globally ultimately bounded and the tracking errors satisfy converge towards the neighborhood of the origin.
Proof of Theorem 1.
Since κ > L > 0 and r i ( x q ) 1 , we have that γ ( κ 1 z ¯ n 2 + L ) r i ( x q ) ,   i = 1 , , l + 1 satisfy γ ( κ 1 z ¯ n 2 + L ) r i ( x q ) γ L r i ( x q ) γ L . Furthermore, it can be obtained from (45) that
ε ^ ˙ i γ L γ σ ε ^ i
According to Gronwall Lemma in [27,28], we have
ε ^ i ( t ) ε ^ i ( 0 ) e γ σ t + L σ ( 1 e γ σ t ) ε ^ i ( 0 ) + L σ ( 1 e γ σ t ) ε ^ i ( 0 ) .
Letting ε ^ i ( 0 ) = 0 , it holds that ε ^ i ( t ) 0 ,   t 0 .
The system stability is discussed in two cases.
Case 1: | z ¯ n | κ , which means | z n | κ + L according to Lemma 2, guaranteeing the boundedness of z n . Next, we will focus on the analysis of whether the boundedness of z n is established under Case 2.
Case 2: | z ¯ n | > κ > L . In this case, we have
| z n | = | z ¯ n + e z n | | z ¯ n | + | e z n | | z ¯ n | κ | z ¯ n | + L = κ 1 z ¯ n 2 + L
and
| z n | = | z ¯ n + e z n | | z ¯ n | | e z n | κ L
with the further conclusion that
κ L | z n | κ 1 z ¯ n 2 + L ,
where | e z n | L has been confirmed in Lemma 2.
Using (43), we concluded that
z n ( ψ ( x ) + θ T φ ( x ) ) | z n | | ψ ( x ) + θ T φ ( x ) | ( κ 1 z ¯ n 2 + L ) ε T r ( x q ) = ( κ 1 z ¯ n 2 + L ) ( ε ^ T + ε ˜ T ) r ( x q )
By means of (54), we rewrite (36) as
V ˙ n c n z n 2 + ( κ 1 z ¯ n 2 + L ) ε ^ T r ( x q ) + ( κ 1 z ¯ n 2 + L ) ε ˜ T r ( x q ) + z n ( u α ¯ n ) 1 γ ε ˜ T ε ^ ˙ + z n ( α ¯ n α n ) = c n z n 2 + ( κ 1 z ¯ n 2 + L ) ε ^ T r ( x q ) + z n ( u α ¯ n ) + ε ˜ T [ ( κ 1 z ¯ n 2 + L ) r ( x q ) 1 γ ε ^ ˙ ] + z n ( α ¯ n α n ) .
Substituting the adaptive control law (44) and parameter adaptive law (45) into (55), we obtain
V ˙ n c n z n 2 + ( κ 1 z ¯ n 2 + L ) ε ^ T r ( x q ) + z n [ κ 1 z ¯ n κ L ( κ 1 z ¯ n 2 + L ) ε ^ T r ( x q ) + α ¯ n α ¯ n ] + ε ˜ T [ ( κ 1 z ¯ n 2 + L ) r ( x q ) 1 γ γ ( ( κ 1 z ¯ n 2 + L ) r ( x q ) σ ε ^ ) ] + z n ( α ¯ n α n ) c n z n 2 + ( 1 κ 1 z ¯ n z n κ L ) ( κ 1 z ¯ n 2 + L ) ε ^ T r ( x q ) + σ ε ˜ T ε ^ + z n ( α ¯ n α n ) .
Using | z ¯ n | > κ > L and | e z n | L , we can obtain
z ¯ n z n = z ¯ n ( z ¯ n + e z n ) = z ¯ n 2 + z ¯ n e z n | z ¯ n | 2 | z ¯ n | | e z n | κ 2 κ L .
Appling an appropriate transformation to (57), it is deduced that
1 κ 1 z ¯ n z n κ L 0 .
Combining with ( κ 1 z ¯ n 2 + L ) L and ε ^ T r ( x q ) 0 , it follows that
( 1 κ 1 z ¯ n z n κ L ) ( κ 1 z ¯ n 2 + L ) ε ^ T r ( x q ) 0 .
With the help of (59), we can rewrite (56) as
V ˙ n c n z n 2 + σ ε ˜ T ε ^ + z n ( α ¯ n α n ) .
Using the mean inequality, we have
z n ( α ¯ n α n ) | z n | | e α n | c n 2 z n 2 + L α n 2 2 c n
σ ε ˜ T ε ^ = σ ε ˜ T ( ε ε ˜ ) σ 2 2 ε ˜ 2 + σ 2 2 ε 2 .
Substituting (61) and (62) into (39) yields
V ˙ n c n 2 z n 2 σ 2 2 ε ˜ 2 + Δ α 2 2 c n + σ 2 2 ε 2 C 1 V n + C 2
where C 1 = min { c n , γ σ 2 } and C 2 = Δ α 2 2 c n + σ 2 2 ε 2 .
According to Gronwall Lemma in [27,28], we have
V n ( t ) V n ( 0 ) e C 1 t + C 2 C 1 ( 1 e C 1 t ) V n ( 0 ) + C 2 C 1
which implies that V n is bounded, and by hence, z n is bounded too.
From the boundedness of z n , combined with the boundedness analysis of the previous n-1 steps, it can be concluded that x n and α n are bounded. Furthermore, according to (4) and Lemma 2, we obtain the boundedness of q ( x i ) , z ¯ i and α ¯ i for i = 1 , , n . Based on the boundedness of z ¯ n and q ( x i ) ,it is induced that ε ^ is bounded owing to the adaptive law (45). Then, from the boundedness of ε ^ , α ¯ n , z ¯ n and q ( x i ) , we can conclude that the control input u is bounded which means that the close-system is stability and all the signals of the close-system are bounded.
It follows from the boundedness of all close-system signals that the non-linear term 1 2 c 1 z 2 2 is upper bounded by a certain constant β . Noting (15), we have
V 1 ( t ) V 1 ( 0 ) e c 1 t + e c 1 t 0 t β e c 1 τ d τ V 1 ( 0 ) + e c 1 t 0 t β e c 1 τ d τ
which implies that for given α > 2 β / c 1 ,there exists a positive constant T such that for all t > T , the tracking error satisfies
| y y d | = | x 1 y d | 2 V 1 α
where α can be minimized by adjusting the design parameters. This completes the proof. □

4. Simulation Results

In this section, two simulation examples are presented to demonstrate the efficiency of our method.
Example 1.
Considera simplified one-dimensional model describing the movement of a robot along the x -axis which is given by reference [21] and a virtual dynamic system is set up in the computer. The system is detailed as follows:
{ x ˙ 1 = x 2 x ˙ 2 = u + ψ ( x 1 , x 2 ) y = x 1
where x 1 , x 2 and u represent the position, linear velocity and control torque of the robot, respectively. ψ ( x 1 , x 2 ) = 0.1 x 2 2 , satisfying the non-Lipschitz condition. We assume that only the function ψ M ( x 1 , x 2 ) following Assumption 1 is known, setting as ψ M ( x 1 , x 2 ) = 0.3 x 2 2 . The control objective is to drive the output y = x 1 to track the reference signal y d = sin ( t ) . Based on Theorem 1, we design the actual quantized adaptive control law as
u = κ 1 z ¯ 2 κ L ( κ 1 z ¯ 2 2 + L ) ξ ^ r ψ ( q ( x 2 ) ) + α ¯ 2
ξ ^ ˙ = γ [ ( κ 1 z ¯ 2 2 + L ) r ψ ( q ( x 2 ) ) σ ξ ^ ]
where L = L z 2 = ( c 1 + 1 ) δ 2 and κ = 6 + L , according to Lemma 2. Accordingly, the Lyapunov functions are chosen as V 1 = 1 2 z 1 2 . and V 2 = 1 2 z 2 2 + 1 2 γ ξ ˜ 2 . From Lemma 1, we obtain
ψ M ( x 1 , x 2 ) = 0.3 x 2 2 = 0.3 ( q ( x 2 ) + x 2 q ( x 2 ) ) 2 0.6 q ( x 2 ) 2 + 0.6 ( x 2 q ( x 2 ) ) 2 ( 0.6 q ( x 2 ) 2 + 1 ) ( 0.6 ( x 2 q ( x 2 ) ) 2 + 1 ) ( 0.15 δ 2 + 1 ) ( 0.6 q ( x 2 ) 2 + 1 ) ξ r ψ ( q ( x 2 ) )
where ξ = ( 0.15 δ 2 + 1 ) and r ψ ( q ( x 2 ) ) = ( 0.6 q ( x 2 ) 2 + 1 ) . For simulation, the initial conditions of the system state variables and the estimated parameter are chosen as x 1 ( 0 ) = 0.8 , x 2 ( 0 ) = 1.5 and ξ ^ ( 0 ) = 0 . The length of the quantization interval is set to δ = 0.1 . The design parameters are selected as c 1 = 2 , c 2 = 2 , γ = 0.75 , σ = 0.5 . Then, the simulation results are depicted as Figure 1, Figure 2, Figure 3 and Figure 4.
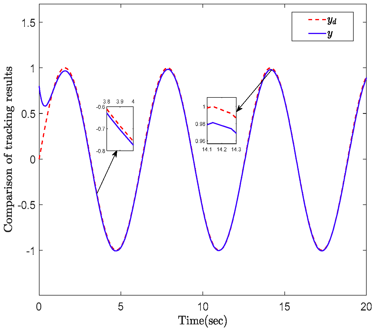
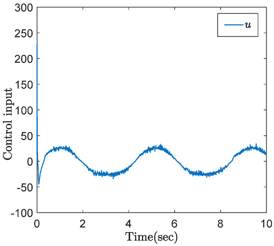
Figure 1 shows the system output y and the reference signal y d . Figure 2 shows the tracking error. It can be clearly seen from Figure 1 and Figure 2 that the tracking error converges to a small neighborhood of zero within a short time, which means that the proposed adaptive control method has good tracking performance for uncertain nonlinear systems with quantized states. The estimated parameter relating to quantization errors and control input are illustrated in Figure 3 and Figure 4, respectively, where the estimated parameter and the control input are bounded.
It demonstrates that even in the case of uncertain nonlinearity satisfying the non-global Lipschitz condition, global regulation with quantized states can still be achieved via the new control scheme.
Example 2.
For a practical example, the described control algorithm with quantized states is applied for the mechanical system proposed in [30] on behalf of an uncertain robot-like system with one link. Consider the single-rod connection system model as follows:
{ x ˙ 1 = x 2 x ˙ 2 = θ T φ ( x 1 , x 2 ) + u ( t ) y = x 1
where x 1 represents the angular displacement and x 2 represents its time derivative, φ ( x 1 , x 2 ) = [ x 2 , x 2 2 cos ( x 1 ) , sin ( x 1 ) ] T , θ = [ θ 1 , θ 2 , θ 3 ] T are uncertain parameters whose nominal values are, respectively, given by θ ^ 1 = 1 / T , θ ^ 2 = m ¯ d , θ ^ 3 = m ¯ g d , with m ¯ being the load mass, T the motor time constant, a the length, and g the gravitational constant. According to [30], the preceding system parameters are set to T = 1   s , m ¯ = 1   kg , d = 3.5   m and g = 9.8   m / s 2 . It is worth noting that φ ( x 1 , x 2 ) do not satisfy the Lipschitz condition because of the x 2 2 cos ( x 1 ) term.
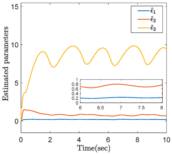
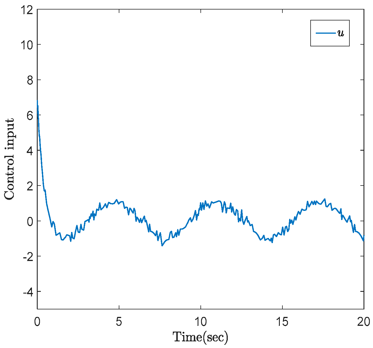
The control objective is to drive the output y to track the reference signal y d = sin ( 1.5 t ) . For simulation, the initial conditions of the system state variables and the estimated parameters are chosen as x 1 ( 0 ) = 0.3 , x 2 ( 0 ) = 0.3 and ε ^ 1 ( 0 ) = ε ^ 2 ( 0 ) = ε ^ 3 ( 0 ) = 0 , respectively. The design parameters are selected as δ = 0.01 , c 1 = 4 , c 2 = 3 , γ = 1 , σ = 1 and κ = 1.1 + L with L = L z 2 = ( c 1 + 1 ) δ 2 = 0.025 according to Lemma 2. Then, the simulation results are shown in Figure 5, Figure 6, Figure 7 and Figure 8.
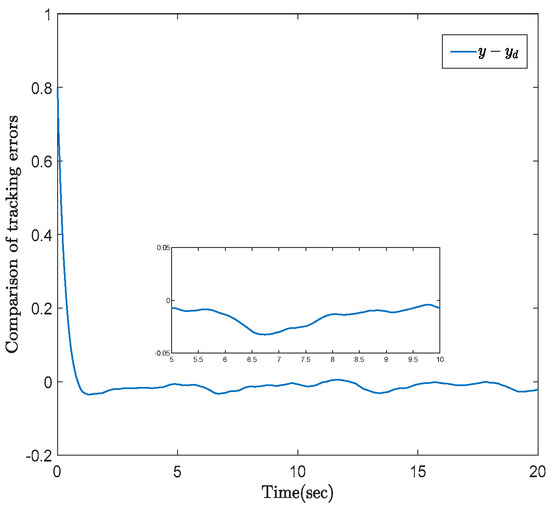
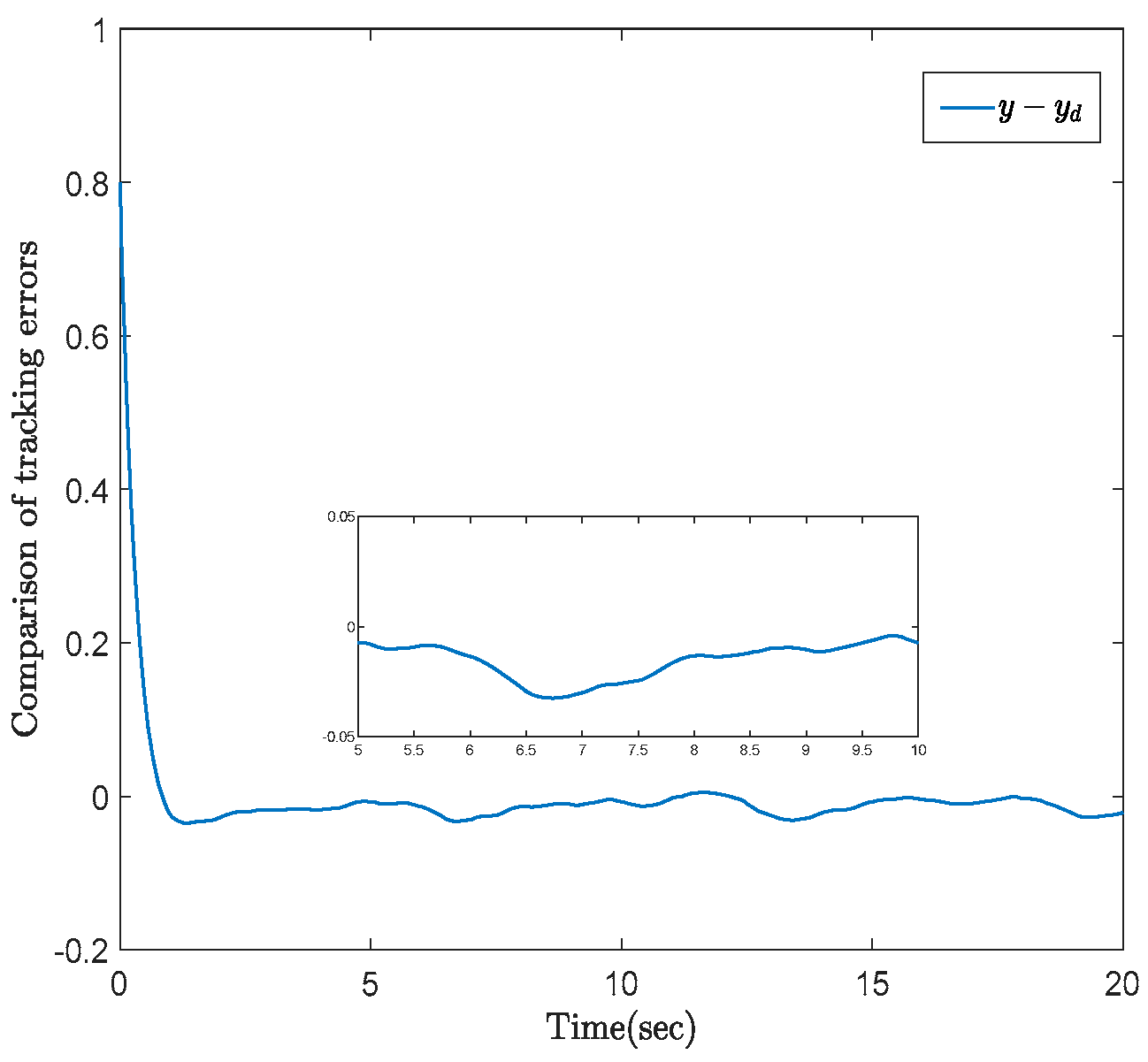
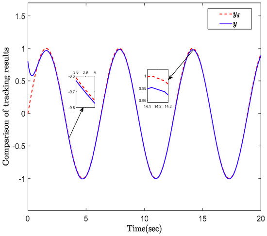
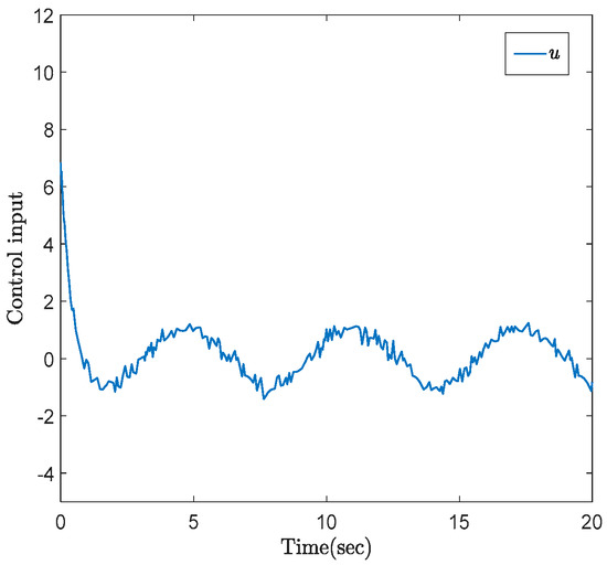
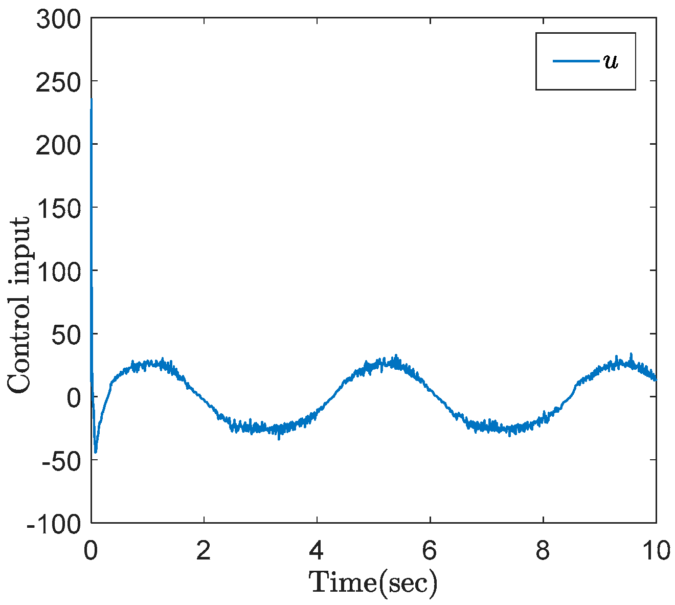
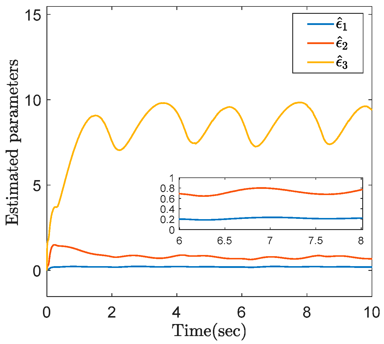
The comparisons of tracking results and tracking errors are shown in Figure 5 and Figure 6. Figure 5 and Figure 6 illustrate that the method mentioned in [20] has poor tracking performance, mainly because it cannot fully compensate the influence of non-Lipschitz function. In contrast, our proposed quantized adaptive strategy shows good tracking performance even in the presence of non-Lipschitz function and quantized states. The estimated parameters relating to quantization errors and control input are illustrated in Figure 7 and Figure 8, respectively. It is demonstrated by Figure 7 and Figure 8 that the estimated parameters and control input are bounded, while the angular displacement realizes the tracking of the desired trajectory y d . Furthermore, the effectiveness of our proposed method can also be evaluated from the perspective of error rate. The error rate function is defined as
E ( ω ) = i = 0 M 1 F ( ω , i ) M ,   F ( ω , i ) = { 1 ,   | z 1 ( i T M 1 ) | > ω 0 ,   | z 1 ( i T M 1 ) | ω  
where M , T and ω represent the number of samples, simulation duration and error threshold, respectively. z 1 = y y d , which have been mentioned in (7). For simulation, the above statistics parameters are set to M = 1302 , T = 10 . Then, the error rate of our proposed method and the method in [20] are given in Table 1 above. It can be clearly seen from Table 1 that the error rate of our proposed method is much smaller than that of the approach in [20] under the same ω . Thus, our proposed quantized feedback adaptive controller can achieve more accurate tracking.

5. Conclusions

This paper has presented a global adaptive recursive control strategy for the uncertain nonlinear systems with quantized states. Compared with the existing result in the literature [20], the system nonlinearities removing the Lipschitz condition have been considered. Furthermore, separation theorem combining with a new coordinate transformation method has been adopted to construct the adaptive law, attenuating the effects of system uncertainties. Simulation results illustrate the good tracking performance and prove the effectiveness of the proposed scheme.

Author Contributions

Conceptualization, C.S. and Z.L.; methodology, C.S.; software, Q.Q.; validation, Y.C., Y.Z. and Q.Q.; formal analysis, C.S., Y.C. and Y.Z.; investigation, C.S. and Z.L.; resources, Q.Q.; data curation, C.S.; writing—original draft preparation, C.S. and Z.L.; writing—review and editing, Z.L., Y.C. and Y.Z.; supervision, Z.L.; project administration, Z.L.; funding acquisition, Z.L. All authors have read and agreed to the published version of the manuscript.

Funding

This research was funded by National Natural Science Foundation of China under grant 62106284 and also in partly funded by Nature Science Foundation of Shaanxi Province of China under grant 2021JQ-370 and also in partly funded by Xi’an Youth Talent Promotion Plan under grant 095920201309.

Conflicts of Interest

The authors declare no conflict of interest.

Appendix A. Proof of Lemma 2

Proof. 
By comparing (7) and (12) with (31) and (33), it can be easily derived that
| e z 1 | = | z 1 z ¯ 1 | = | x 1 q ( x 1 ) | δ 2 L z 1
| e α 1 | = | α 1 α ¯ 1 | = c 1 | z 1 z ¯ 1 | c 1 δ 2 L α 1
For the quantization error signals e z i and e α i , i = 2 , , n , by definitions, we have
| e z i | = | ( x i α i 1 ) ( q ( x i ) α ¯ i 1 ) | = | ( x i q ( x i ) ) ( α i 1 α ¯ i 1 ) | | x i q ( x i ) | + | α i 1 α ¯ i 1 | δ 2 + L α i 1 L z i
| e α i | = | c i ( z i z ¯ i ) + k = 1 i 1 α i 1 x k ( x k + 1 q ( x k + 1 ) ) | c i | z i z ¯ i | + k = 1 i 1 | α i 1 x k | | x k + 1 q ( x k + 1 ) | c i L z i + k = 1 i 1 | α i 1 x k |   δ 2 L α i .
where k = 1 i 1 | α i 1 x k |   is a constant given in the previous section.
Using (A1)–(A4), we can recursively solve for L = L z n , which is directly used in controller design. The Lemma 2 is proved. □

References

  1. Liu, Z.; Dong, X.; Xie, W.; Chen, Y.; Li, H. Adaptive fuzzy control for pure-feedback nonlinear systems with nonaffine functions being semibounded and indifferentiable. IEEE Trans. Fuzzy Syst. 2018, 26, 395–408. [Google Scholar] [CrossRef]
  2. Liu, Z.; Dong, X.; Xue, J.; Li, H.; Chen, Y. Adaptive neural control for a class of pure-feedback nonlinear systems via dynamic surface technique. IEEE Trans. Neural Netw. Learn. Syst. 2016, 27, 1969–1975. [Google Scholar] [CrossRef]
  3. Liu, Z.; Huang, J.; Wen, C.; Su, X. Distributed control of nonlinear systems with unknown time-varying control coefficients: A novel nussbaum function approach. IEEE Trans. Autom. Control 2022, 2022, 1–13. [Google Scholar] [CrossRef]
  4. Cai, J.; Wen, C.; Su, H.; Liu, Z.; Xing, L. Adaptive backstepping control for a class of nonlinear systems with non-triangular structural uncertainties. IEEE Trans. Autom. Control 2017, 62, 5220–5226. [Google Scholar] [CrossRef]
  5. Chen, L. Asymmetric prescribed performance-barrier lyapunov function for the adaptive dynamic surface control of unknown pure-feedback nonlinear switched systems with output constraints. Int. J. Adapt. Control Signal Process. 2018, 32, 1417–1439. [Google Scholar] [CrossRef]
  6. Huang, J.; Wang, W.; Wen, C.; Zhou, J. Adaptive control of a class of strict-feedback time-varying nonlinear systems with unknown control coefficients. Automatica 2018, 93, 98–105. [Google Scholar] [CrossRef]
  7. Jiang, Z.-P.; Liu, T.-F. Quantized nonlinear control—A survey. Acta Autom. Sin. 2013, 39, 1820–1830. [Google Scholar] [CrossRef]
  8. Hayakawa, T.; Ishii, H.; Tsumura, K. Adaptive quantized control for nonlinear uncertain systems. Syst. Control Lett. 2009, 58, 625–632. [Google Scholar] [CrossRef]
  9. Zhou, J.; Wen, C.; Yang, G. Adaptive backstepping stabilization of nonlinear uncertain systems with quantized input signal. IEEE Trans. Autom. Control 2014, 59, 460–464. [Google Scholar] [CrossRef]
  10. Xing, L.; Wen, C.; Su, H.; Cai, J.; Wang, L. A new adaptive control scheme for uncertain nonlinear systems with quantized input signal. J. Frankl. Inst. 2015, 352, 5599–5610. [Google Scholar] [CrossRef]
  11. Zhou, J.; Wen, C.; Wang, W. Adaptive control of uncertain nonlinear systems with quantized input signal. Automatica 2018, 95, 152–162. [Google Scholar] [CrossRef]
  12. Li, Y.-X.; Yang, G.-H. Adaptive asymptotic tracking control of uncertain nonlinear systems with input quantization and actuator faults. Automatica 2016, 72, 177–185. [Google Scholar] [CrossRef]
  13. Jing, Y.H.; Yang, G.H. Fuzzy adaptive quantized fault-tolerant control of strict-feedback nonlinear systems with mismatched external disturbances. IEEE Trans. Syst. Man Cybern. Syst. 2020, 50, 3424–3434. [Google Scholar] [CrossRef]
  14. Ma, H.; Zhou, Q.; Bai, L.; Liang, H. Observer-based adaptive fuzzy fault-tolerant control for stochastic nonstrict-feedback nonlinear systems with input quantization. IEEE Trans. Syst. Man Cybern. Syst. 2019, 49, 287–298. [Google Scholar] [CrossRef]
  15. Liberzon, D. Hybrid feedback stabilization of systems with quantized signals. Automatica 2003, 39, 1543–1554. [Google Scholar] [CrossRef]
  16. Liu, K.; Fridman, E.; Johansson, K.H. Dynamic quantization of uncertain linear networked control systems. Automatica 2015, 59, 248–255. [Google Scholar] [CrossRef]
  17. Vu, L.; Liberzon, D. Supervisory control of uncertain systems with quantized information. Int. J. Adapt. Control Signal Process. 2012, 26, 739–756. [Google Scholar] [CrossRef]
  18. Liu, T.; Jiang, Z.P. Event-triggered control of nonlinear systems with state quantization. IEEE Trans. Autom. Control 2019, 64, 797–803. [Google Scholar] [CrossRef]
  19. Liu, T.; Jiang, Z.-P.; Hill, D.J. A sector bound approach to feedback control of nonlinear systems with state quantization. Automatica 2012, 48, 145–152. [Google Scholar] [CrossRef]
  20. Zhou, J.; Wen, C.; Wang, W.; Yang, F. Adaptive backstepping control of nonlinear uncertain systems with quantized states. IEEE Trans. Autom. Control 2019, 64, 4756–4763. [Google Scholar] [CrossRef]
  21. Wang, W.; Zhou, J.; Wen, C.; Long, J. Adaptive backstepping control of uncertain nonlinear systems with input and state quantization. IEEE Trans. Autom. Control 2021, 2021, 1. [Google Scholar] [CrossRef]
  22. Choi, Y.H.; Yoo, S.J. Neural-networks-based adaptive quantized feedback tracking of uncertain nonlinear strict-feedback systems with unknown time delays. J. Frankl. Inst. 2020, 357, 10691–10715. [Google Scholar] [CrossRef]
  23. Choi, Y.H.; Yoo, S.J. Quantized-feedback-based adaptive event-triggered control of a class of uncertain nonlinear systems. Mathematics 2020, 8, 1603. [Google Scholar] [CrossRef]
  24. Zeng, D.; Liu, Z.; Chen, C.L.P.; Zhang, Y. Adaptive neural tracking control for switched nonlinear systems with state quantization. Neurocomputing 2021, 454, 392–404. [Google Scholar] [CrossRef]
  25. Choi, Y.H.; Yoo, S.J. Quantized feedback adaptive command filtered backstepping control for a class of uncertain nonlinear strict-feedback systems. Nonlinear Dyn. 2020, 99, 2907–2918. [Google Scholar] [CrossRef]
  26. Wei, L.; Chunjiang, Q. Adaptive control of nonlinearly parameterized systems: The smooth feedback case. IEEE Trans. Autom. Control 2002, 47, 1249–1266. [Google Scholar] [CrossRef]
  27. Amann, H. Ordinary Differential Equations: An Introduction to Nonlinear Analysis; Walter de Gruyter: Berlin, Germany, 2011; Volume 13. [Google Scholar]
  28. Salem, H.A.H.; Väth, M. An abstract gronwall lemma and applications to global existence results for functional differential and integral equations of fractional order. J. Integral Equ. Appl. 2004, 16, 411–439. [Google Scholar] [CrossRef]
  29. Olech, C. The lyapunov theorem: Its extensions and applications. In Methods of Nonconvex Analysis; Springer: Berlin/Heidelberg, Germany, 1990; pp. 84–103. [Google Scholar]
  30. Corradini, M.L.; Orlando, G. Robust stabilization of nonlinear uncertain plants with backlash or dead zone in the actuator. IEEE Trans. Control Syst. Technol. 2002, 10, 158–166. [Google Scholar] [CrossRef]
Figure 1. Output y and y d .
Figure 1. Output y and y d .
Electronics 11 03160 g001
Figure 2. Tracking error y y d .
Figure 2. Tracking error y y d .
Electronics 11 03160 g002
Figure 3. Estimated parameter ξ ^ .
Figure 3. Estimated parameter ξ ^ .
Electronics 11 03160 g003
Figure 4. Control input considering quantized states.
Figure 4. Control input considering quantized states.
Electronics 11 03160 g004
Figure 5. Output y of our control scheme and method in [20] and y d .
Figure 5. Output y of our control scheme and method in [20] and y d .
Electronics 11 03160 g005
Figure 6. Tracking error y y d of our control scheme and method in [20].
Figure 6. Tracking error y y d of our control scheme and method in [20].
Electronics 11 03160 g006
Figure 7. Estimated parameters ε ^ i   for   i = 1 , 2 , 3 .
Figure 7. Estimated parameters ε ^ i   for   i = 1 , 2 , 3 .
Electronics 11 03160 g007
Figure 8. Control input considering state quantization.
Figure 8. Control input considering state quantization.
Electronics 11 03160 g008
Table 1. Error rate of two control schemes.
Table 1. Error rate of two control schemes.
ω = 0.100 ω = 0.125 ω = 0.150 ω = 0.175 ω = 0.200
Our proposed method 0.0253 0.0223 0.0200 0.0177 0.0161
Method in [25] 0.9570 0.9339 0.9132 0.8925 0.8679
Publisher’s Note: MDPI stays neutral with regard to jurisdictional claims in published maps and institutional affiliations.

Share and Cite

MDPI and ACS Style

Sun, C.; Liu, Z.; Chen, Y.; Zhou, Y.; Qu, Q. Global Adaptive Control for Uncertain Nonlinear Systems under Non-Lipschitz Condition with Quantized States. Electronics 2022, 11, 3160. https://doi.org/10.3390/electronics11193160

AMA Style

Sun C, Liu Z, Chen Y, Zhou Y, Qu Q. Global Adaptive Control for Uncertain Nonlinear Systems under Non-Lipschitz Condition with Quantized States. Electronics. 2022; 11(19):3160. https://doi.org/10.3390/electronics11193160

Chicago/Turabian Style

Sun, Caihao, Zongcheng Liu, Yong Chen, Yang Zhou, and Qingyang Qu. 2022. "Global Adaptive Control for Uncertain Nonlinear Systems under Non-Lipschitz Condition with Quantized States" Electronics 11, no. 19: 3160. https://doi.org/10.3390/electronics11193160

APA Style

Sun, C., Liu, Z., Chen, Y., Zhou, Y., & Qu, Q. (2022). Global Adaptive Control for Uncertain Nonlinear Systems under Non-Lipschitz Condition with Quantized States. Electronics, 11(19), 3160. https://doi.org/10.3390/electronics11193160

Note that from the first issue of 2016, this journal uses article numbers instead of page numbers. See further details here.

Article Metrics

Back to TopTop