Outage Probability and BER Estimation for FSO Links with Truncated Normal Time Jitter and Longitudinal Gaussian Pulse Propagation in Dispersive Media
Abstract
1. Introduction
2. System Model
2.1. Chromatic Dispersion Effect
2.2. Time Jitter Effect
2.3. Expected Irradiance Estimation
3. Performance of the Optical Wireless Link
3.1. Outage Probability Estimation
3.2. Average Bit Error Rate Estimation
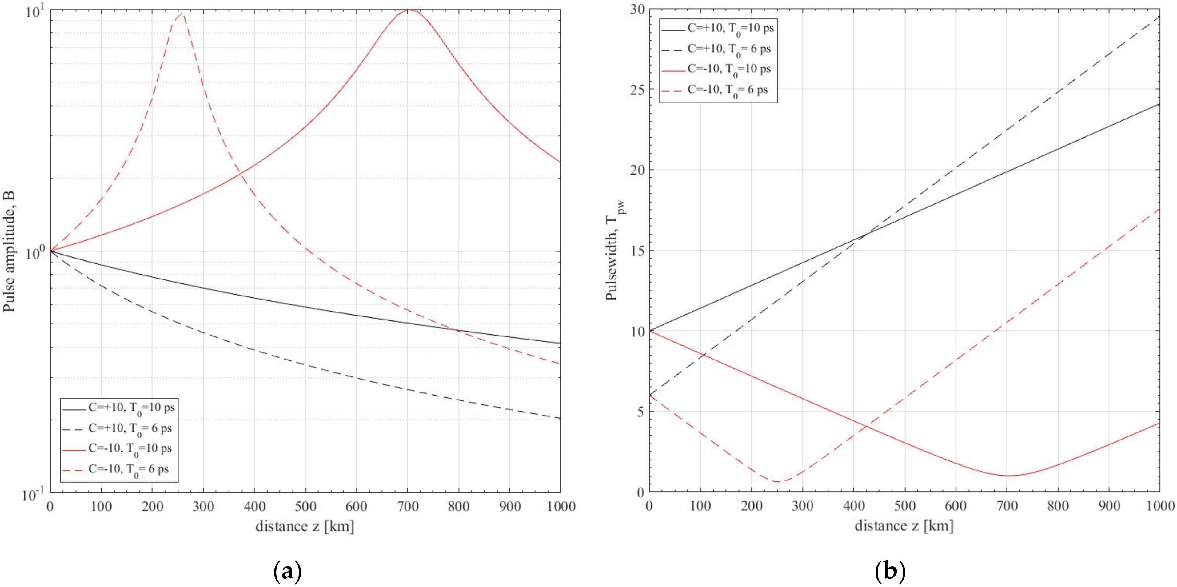
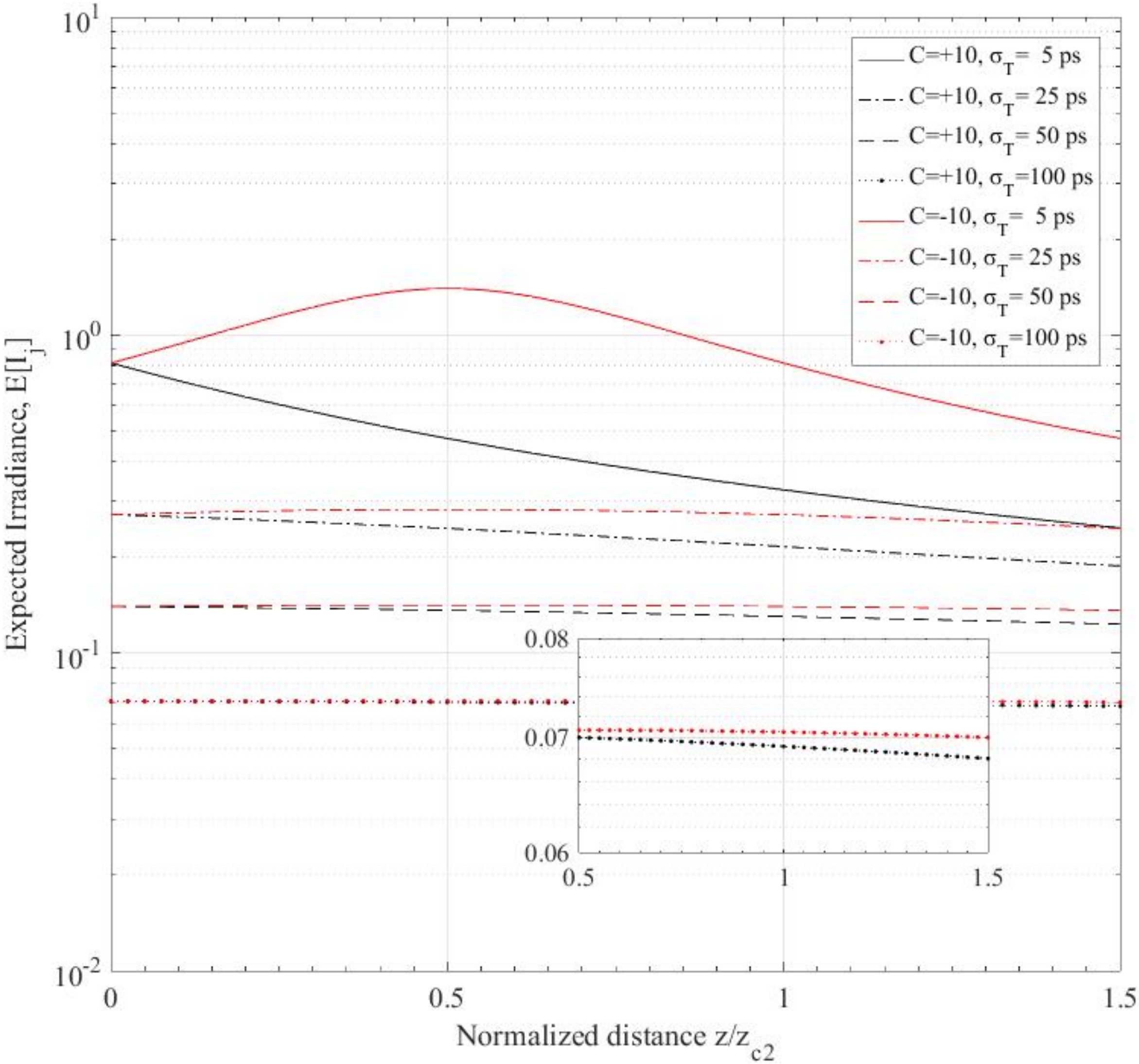
4. Numerical Results
5. Conclusions
Author Contributions
Funding
Data Availability Statement
Conflicts of Interest
References
- Arnon, S. Optical Wireless Communications; Marcel Dekker Inc.: New York, NY, USA, 2003. [Google Scholar]
- Kedar, D.; Arnon, S. Urban optical wireless communication networks: The main challenges and possible solutions. IEEE Commun. Mag. 2004, 42, S2–S7. [Google Scholar] [CrossRef]
- Henniger, H.; Wilfert, O. An introduction to free-space optical communications. Radioengineering 2010, 19, 203–212. [Google Scholar]
- Ghassemlooy, Z.; Popoola, W.O. Terrestrial free-space optical communications. In Mobile and Wireless Communications Network Layer and Circuit Level Design; InTechOpen: London, UK, 2010. [Google Scholar]
- Erdogan, E.; Altunbas, I.; Kurt, G.K.; Yanikomeroglu, H. The Secrecy Comparison of RF and FSO Eavesdropping Attacks in Mixed RF-FSO Relay Networks. IEEE Photonics J. 2022, 14, 7901508. [Google Scholar] [CrossRef]
- Kaushal, H.; Kaddoum, G. Underwater Optical Wireless Communication. IEEE Access 2016, 4, 1518–1547. [Google Scholar] [CrossRef]
- Chi, Y.-C.; Hsieh, D.-H.; Tsai, C.-T.; Chen, H.-Y.; Kuo, H.-C.; Lin, G.-R. 450-nm GaN laser diode enables high-speed visible light communication with 9-Gbps QAM-OFDM. Opt. Express 2015, 23, 13051–13059. [Google Scholar] [CrossRef]
- Khajwal, T.N.; Mushtaq, A.; Kaur, S. Performance Analysis of FSO-SISO and FSO-WDM Systems under Different Atmospheric Conditions. In Proceedings of the 7th International Conference on Signal Processing and Integrated Networks (SPIN), Noida, India, 27–28 February 2020; pp. 312–316. [Google Scholar] [CrossRef]
- Ninos, M.P.; Nistazakis, H.E.; Tombras, G.S. On the BER performance of FSO links with multiple receivers and spatial jitter over gamma-gamma or exponential turbulence channels. Optik 2017, 138, 269–279. [Google Scholar] [CrossRef]
- Sandalidis, H.G.; Tsiftsis, T.A.; Karagiannidis, G.K.; Uysal, M. BER Performance of FSO Links over Strong Atmospheric Turbulence Channels with Pointing Errors. IEEE Commun. Lett. 2008, 12, 44–46. [Google Scholar] [CrossRef]
- Gappmair, W.; Hranilovic, S.; Leitgeb, E. Performance of PPM on terrestrial FSO links with turbulence and pointing errors. IEEE Commun. Lett. 2010, 14, 468–470. [Google Scholar] [CrossRef]
- Gappmair, W.; Muhammad, S.S. Error performance of PPM/Poisson channels in turbulent atmosphere with gamma-gamma distribution. Electron. Lett. 2007, 43, 880–882. [Google Scholar] [CrossRef]
- Tsiftsis, T.A.; Sandalidis, H.G.; Karagiannidis, G.K.; Uysal, M. Optical wireless links with spatial diversity over strong atmospheric turbulence channels. IEEE Trans. Wirel. Commun. 2009, 8, 951–957. [Google Scholar] [CrossRef]
- Kamalakis, T.; Sphicopoulos, T.; Muhammad, S.S.; Leitgeb, E. Estimation of the power scintillation probability density function in free-space optical links by use of multicanonical Monte Carlo sampling. Opt. Lett. 2006, 31, 3077–3079. [Google Scholar] [CrossRef]
- Bag, B.; Das, A.; Ansari, I.S.; Prokeš, A.; Bose, C.; Chandra, A. Performance Analysis of Hybrid FSO Systems Using FSO/RF-FSO Link Adaptation. IEEE Photonics J. 2018, 10, 7904417. [Google Scholar] [CrossRef]
- Esmail, M.A.; Ragheb, A.M.; Fathallah, H.A.; Altamimi, M.; Alshebeili, S.A. 5G-28 GHz Signal Transmission Over Hybrid All-Optical FSO/RF Link in Dusty Weather Conditions. IEEE Access 2019, 7, 24404–24410. [Google Scholar] [CrossRef]
- Wang, Z.; de Zhong, W.; Fu, S.; Lin, C. Performance comparison of different modulation formats over free-space optical (FSO) turbulence links with space diversity reception technique. IEEE Photonics J. 2009, 1, 277–285. [Google Scholar] [CrossRef]
- Majumdar, A.K. Advanced Free Space Optics (FSO)—A System Approach; Springer: Berlin/Heidelberg, Germany, 2015; Volume 140. [Google Scholar]
- Ahmed, M.S.; Gucluoglu, T. Performance of generalized frequency division multiplexing over gamma gamma free space optical link. Opt. Commun. 2020, 466, 125683. [Google Scholar] [CrossRef]
- Sandalidis, H.G.; Tsiftsis, T.A. Outage probability and ergodic capacity of free-space optical links over strong turbulence. Electron. Lett. 2008, 44, 46–47. [Google Scholar] [CrossRef]
- Lu, H.; Zhao, W.; Xie, X. Analysis of temporal broadening of optical pulses by atmospheric dispersion in laser communication system. Opt. Commun. 2012, 285, 3169–3173. [Google Scholar] [CrossRef]
- Agrawal, G. Nonlinear Fiber Optics; Elsevier: Amsterdam, The Netherlands, 2006. [Google Scholar]
- Lee, S.; Kavehrad, M. Free-Space Optical Communications with Channel Shortening Filter and Viterbi Equalizer. Int. J. Wirel. Inf. Netw. 2009, 16, 185–196. [Google Scholar] [CrossRef]
- Gupta, A.; Shaina, N. Modelling of 10 Gbps Free Space Optics Communication Link Using Array of Receivers in Moderate and Harsh Weather Conditions. J. Opt. Commun. 2017, 38, 293–296. [Google Scholar] [CrossRef]
- Zhang, D.; Hao, S.; Zhao, Q.; Wan, X.; Xu, C. Differential phase-shift keying and channel equalization in free space optical communication system. Opt. Eng. 2018, 57, 1. [Google Scholar] [CrossRef]
- Agrawal, G.P. Fiber-Optic Communication Systems, 4th ed.; Wiley: Hoboken, NJ, USA, 2011. [Google Scholar]
- Ghassemlooy, Z.; Arnon, S.; Uysal, M.; Xu, Z.; Cheng, J. Emerging Optical Wireless Communications—Advances and Challenges. IEEE J. Sel. Areas Commun. 2015, 33, 1738–1749. [Google Scholar] [CrossRef]
- Gonem, O.F.A.; Giddings, R.P.; Tang, J. Timing Jitter Analysis and Mitigation in Hybrid OFDM-DFMA PONs. IEEE Photonics J. 2021, 13, 7200313. [Google Scholar] [CrossRef]
- Mecozzi, A.; Clausen, C.B.; Shtaif, M.; Park, S.-G.; Gnauck, A.H. Cancellation of timing and amplitude jitter in symmetric links using highly dispersed pulses. IEEE Photonics Technol. Lett. 2001, 13, 445–447. [Google Scholar] [CrossRef]
- Hamming, R.W. Error Detecting and Error Correcting Codes. Bell Syst. Tech. J. 1950, 29, 147–160. [Google Scholar] [CrossRef]
- Roumelas, G.D.; Nistazakis, H.E.; Leitgeb, E.; Stassinakis, A.N.; Tombras, G.S. On the performance of optical wireless communication links impaired by time jitter, M-turbulence and pointing errors. Opt. Commun. 2020, 472, 126033. [Google Scholar] [CrossRef]
- Gappmair, W. Novel results on pulse-position modulation performance for terrestrial free-space optical links impaired by turbulent atmosphere and pointing errors. IET Commun. 2012, 6, 1300–1305. [Google Scholar] [CrossRef]
- Dimitrov, S.; Sinanovic, S.; Haas, H. Signal Shaping and Modulation for Optical Wireless Communication. J. Light. Technol. 2012, 30, 1319–1328. [Google Scholar] [CrossRef]
- Roumelas, G.D.; Nistazakis, H.E.; Stassinakis, A.N.; Varotsos, G.K.; Tsigopoulos, A.D.; Tombras, G.S. Time Jitter, Turbulence and Chromatic Dispersion in Underwater Optical Wireless Links. Technologies 2019, 8, 3. [Google Scholar] [CrossRef]
- Marcuse, D. Pulse distortion in single-mode fibers 3: Chirped pulses. Appl. Opt. 1981, 20, 3573–3579. [Google Scholar] [CrossRef]
- Santhanam, J.; Agrawal, G.P. Raman-Induced timing jitter in dispersion-managed optical communication systems. IEEE J. Sel. Top. Quantum Electron. 2002, 8, 632–639. [Google Scholar] [CrossRef]
- Stassinakis, A.N.; Nistazakis, H.E.; Peppas, K.P.; Tombras, G.S. Improving the availability of terrestrial FSO links over log normal atmospheric turbulence channels using dispersive chirped Gaussian pulses. Opt. Laser Technol. 2013, 54, 329–334. [Google Scholar] [CrossRef]
- Marcuse, D. Pulse distortion in single-mode fibers. Appl. Opt. 1980, 19, 1653–1660. [Google Scholar] [CrossRef]
- Varotsos, G.K.; Nistazakis, H.E.; Tombras, G.S. OFDM RoFSO Links with Relays Over Turbulence Channels and Nonzero Boresight Pointing Errors. J. Commun. 2017, 12, 644–660. [Google Scholar] [CrossRef]
- Zhu, X.; Kahn, J.M. Free-space optical communication through atmospheric turbulence channels. IEEE Trans. Commun. 2002, 50, 1293–1300. [Google Scholar] [CrossRef]
- Upadhya, A.; Dwivedi, V.K.; Karagiannidis, G.K. On the Effect of Interference and Misalignment Error in Mixed RF/FSO Systems Over Generalized Fading Channels. IEEE Trans. Commun. 2020, 68, 3681–3695. [Google Scholar] [CrossRef]
- Stassinakis, A.N.; Nistazakis, H.E.; Tombras, G.S. Comparative performance study of one or multiple receivers schemes for FSO links over gamma–gamma turbulence channels. J. Mod. Opt. 2012, 59, 1023–1031. [Google Scholar] [CrossRef]
- Khalid, H.; Muhammad, S.S.; Nistazakis, H.E.; Tombras, G.S. Performance Analysis of Hard-Switching Based Hybrid FSO/RF System over Turbulence Channels. Computation 2019, 7, 28. [Google Scholar] [CrossRef]
- Sandalidis, H.G. Optimization Models for Misalignment Fading Mitigation in Optical Wireless Links. IEEE Commun. Lett. 2008, 12, 395–397. [Google Scholar] [CrossRef]
- Roumelas, G.D.; Nistazakis, H.E.; Gappmair, W.; Gripeos, P.J.; Christofilakis, V. Time jitter influence on the performance of gamma–gamma turbulence FSO links with various modulation schemes. J. Mod. Opt. 2020, 67, 721–729. [Google Scholar] [CrossRef]
- Abramowitz, M.; Stegun, I.A.; Romer, R.H. Handbook of Mathematical Functions with Formulas, Graphs, and Mathematical Tables. Am. J. Phys. 1988, 56, 958. [Google Scholar] [CrossRef]
- Chiani, M.; Dardari, D.; Simon, M.K. New exponential bounds and approximations for the computation of error probability in fading channels. IEEE Trans. Wirel. Commun. 2003, 24, 840–845. [Google Scholar] [CrossRef]







Publisher’s Note: MDPI stays neutral with regard to jurisdictional claims in published maps and institutional affiliations. |
© 2022 by the authors. Licensee MDPI, Basel, Switzerland. This article is an open access article distributed under the terms and conditions of the Creative Commons Attribution (CC BY) license (https://creativecommons.org/licenses/by/4.0/).
Share and Cite
Gripeos, P.J.; Kriempardis, D.; Aidinis, K.; Nistazakis, H.E. Outage Probability and BER Estimation for FSO Links with Truncated Normal Time Jitter and Longitudinal Gaussian Pulse Propagation in Dispersive Media. Electronics 2022, 11, 2981. https://doi.org/10.3390/electronics11192981
Gripeos PJ, Kriempardis D, Aidinis K, Nistazakis HE. Outage Probability and BER Estimation for FSO Links with Truncated Normal Time Jitter and Longitudinal Gaussian Pulse Propagation in Dispersive Media. Electronics. 2022; 11(19):2981. https://doi.org/10.3390/electronics11192981
Chicago/Turabian StyleGripeos, Panagiotis J., Dimitrios Kriempardis, Konstantinos Aidinis, and Hector E. Nistazakis. 2022. "Outage Probability and BER Estimation for FSO Links with Truncated Normal Time Jitter and Longitudinal Gaussian Pulse Propagation in Dispersive Media" Electronics 11, no. 19: 2981. https://doi.org/10.3390/electronics11192981
APA StyleGripeos, P. J., Kriempardis, D., Aidinis, K., & Nistazakis, H. E. (2022). Outage Probability and BER Estimation for FSO Links with Truncated Normal Time Jitter and Longitudinal Gaussian Pulse Propagation in Dispersive Media. Electronics, 11(19), 2981. https://doi.org/10.3390/electronics11192981

