Abstract
In this review, we present a survey on the use of molecular nonlinear crystals in the context of terahertz (THz) photonics. The fundamentals of nonlinear optics for converting optical and infrared radiation into THz radiation with the basic theory of femtosecond optical rectification and difference frequency generation are described. Various types of phase-matching conditions that can be achieved in molecular crystals are discussed. It is shown that one of the unique features of molecular crystals is the ability to generate tunable narrowband terahertz radiation using femtosecond lasers. We also provide a detailed description of the most commonly used and promising molecular crystals such as DAST, DSTMS, OH1, HMQ-TMS, DCMBI, and GUHP. This review also presents a description of recent publications which show the prospects of using molecular nonlinear optical crystals in THz photonics.
1. Introduction
Terahertz (THz) radiation currently has a huge number of applications, among which are: the spectroscopy of a medium whose rotational and vibrational resonances fall into the THz frequency range [1]; 2D and 3D visualization of materials sensitive to terahertz radiation but not to visible (VIS) or infrared (IR) radiation [2,3]; non-invasive medical diagnostics [4], which is possible due to the low energy of a terahertz photon, and several others. Great efforts of various scientific groups have been aimed at creating THz radiation sources that generate single-cycle superintense pulses. Such sources can generate radiation both with a wide spectral band—useful for spectroscopic problems, and with a huge peak pulse field—necessary for nonlinear terahertz applications. In this regard, nonlinear organic crystals with second-order optical nonlinearity seem promising. Due to their high nonlinear optical susceptibility and ultrafast nonlinear response, they are undoubtedly attractive for various applications of THz photonics.
Significantly fewer works have been published on the development of sources of narrowband THz radiation. However, in recent years, such sources have become very popular in various areas of photonics, for example: in the creation of compact and convenient desktop free-electron lasers, where the terahertz frequency range opens the way to higher field strengths for accelerating and decelerating electrons; when a significant excess of the damage threshold depends on the central frequency and pulse duration [5]; the development of narrowband sources to improve the efficiency of frequency-selective terahertz resonant nonlinear spectroscopy [6].
To obtain narrowband radiation in nonlinear optical crystals, complex schemes are used; for example, applying the principle of quasi-phase matching in periodically polarized lithium niobate. An obvious disadvantage of such methods is their high sensitivity to the quality of the structure as well as to the fixed parameters set during manufacture. For the efficient and tunable generation of narrowband terahertz radiation, crystals with Q (oscillator strength) phonon resonances at terahertz frequencies can be used.
The review is mainly focused on molecular crystals due to their higher potential in the field of nonlinear light conversion and crystal design. We first give an overview of the THz optics conversion processes in nonlinear crystals in Section 2 along with the basic theory of femtosecond optical rectification and difference frequency generation. Next, we describe the characteristics of specific crystals in which laser light resonantly excites a nonlinear medium (Section 3). Section 4 and Section 5 contain all the useful information about the crystallographic and optical properties of both the already known molecular crystals and the recently developed ones.
2. Classical Theory of THz Generation through Second-Order Nonlinear Processes in Crystal Sources
2.1. Pulsed THz Generation
To date, femtosecond optical rectification (fsOR) is the most universal mechanism used for generating THz radiation in crystals, with the possibility of setting radiation parameters at a wide range. Originally, optical rectification (OR) as a second-order nonlinear process was described in 1962 by the research group of Peter Franken [7] (a year before, the same group had described, for the first time, the second harmonic generation (SHG) process [8], which paved the way for nonlinear optics). They observed a DC polarization that was accompanying the passage of an intense ruby laser beam through KH2PO4 (KDP) and KD2PO4 (DKDP) crystals. In other words, the difference frequency generation (DFG) between two monochromatic waves resulting in a stationary electric field in nonlinear crystals was discovered. Initially, it was through generation at the difference frequency between two quasi-monochromatic laser beams that radiation at the THz frequency was first obtained. The first successful implementation of far-infrared to THz DFG was carried out in the 1960s with quartz, zinc telluride (ZnTe), and lithium niobate (LiNbO3) [9,10,11]. These pioneering works were completed by Yuen-Ron Shen’s group in 1971 [12,13] and independently by Takeaki Yajima’s group in 1970 [14]. Far-infrared generation by Shen or Yajima was based on the second-order electro-optical effect in lithium niobate and other dielectric crystals and can be considered as DFG between the spectral components of a broadband picosecond laser pulse instead of two monochromatic pumping waves, which is usually called femtosecond optical rectification. With the advent of femtosecond lasers, the one-cycle THz pulse generation with fsOR was first demonstrated by David Auston’s group in 1984 [15].
THz wave generation by fsOR employs an ultrashort single pump pulse. Such a femtosecond laser pulse induces quasi-static polarization in non-centrosymmetric nonlinear optical (NLO) materials through DFG, which acts as a source of a THz field. A short laser pulse is in fact broadband, i.e., a spectrally limited laser pulse of 10 fs or 200 fs has a bandwidth of roughly 40 THz or 2 THz, respectively. Different frequency components of such a pulse can mix together in an NLO material and produce a THz pulse. The generalized expression in the time domain for polarization in the NLO material at position can be expressed as follows:
where is the susceptibility of order n, and “:” denotes the tensorial product. In the case of fsOR, only the second-order process contributes, but we must remove the second-order term that originates from the same nonlinearity. As the material is excited by laser pulses, it is useful to write down the electric field of the laser pulse as a summation of its spectral components that result from a Fourier transform:
Then, the expression for nonlinear polarization in the case of fsOR can be written as follows:
In the far-field, the generated field is proportional to the second derivative of :
In Expression (4), for the sake of simplicity, we forget about the -dependence of the nonlinear polarization. The nonlinear susceptibility tensor depends on the crystal chemical composition and structure, and in the general case, on the frequencies of the pump wave and the resulting THz wave. The complex conjugate makes the resulting polarization independent of the carrier-envelope phase of the exciting optical field, which leads to a stable carrier-envelope phase for the THz pulse.
The total THz signal results from the contribution of the whole illuminated crystal, and thus it depends on the propagation of both the pump and THz beams through the crystal. Therefore, the fsOR process is influenced by the dispersion of the medium and the absorption at both the laser and THz wavelengths. The modeling of the pulsed THz generation through fsOR in a nonlinear dielectric slab has been addressed by several authors [16,17,18,19]. In the simplified case of a 1D plane wave model and of an undepleted pump beam, the expression of the spectral component at frequency of the THz field and at a distance z inside the crystal is as follows:
with
where and are the refractive indices at the THz and center laser frequencies, respectively; is the group index at the center laser frequency; and are the coefficients of absorption (of the energy); is the intensity of the laser field envelope, whose spectral profile is defined at frequencies of , and is the center (carrier) laser pump frequency. The last ratio in (5) expresses the role of propagation, i.e., the phase-matching effect in the presence of absorption. Because of its oscillatory behavior, this ratio can be at a maximum (phase-matching condition) or null. In the latter case, no THz signal is produced. Thus, the phase-matching condition is the most important factor for such a nonlinear process as the generation of THz radiation. It is easy to check that the phase-matching condition is . Here, the are the complex wave vectors defined by (6). When looking for an efficient fsOR generation, crystals should exhibit low loss in both the optical and THz domains. Therefore, we can neglect absorption here. Moreover, we can generalize the phase-matching condition to the non-collinear geometry:
This approximate equality takes place if , which is usually true for THz generation by fsOR. For collinear phase-matching, , where c is the speed of light in a vacuum. Thus, in the case of phase-matched propagation, the phase velocity of the generated THz radiation is equal to the group velocity of the optical pump pulse:
Any part of the pumped crystal generates THz signals that constructively interfere with each other. It thus follows that the generated THz field is proportional to the crystal thickness. Phase-matching is usually achieved in anisotropic crystals by adjusting the orientation of the crystal axes and the laser polarization, which mostly allows for the varying of the refractive index at the laser wavelength. In some cubic crystals such as ZnTe, phase-matching is almost realized in the visible–IR range. At telecommunications wavelength ( µm), molecular crystals such as DAST have a suitable dispersion for the fulfillment of phase-matching conditions.
Non-centrosymmetric single crystals suitable for fsOR are semiconductors [20,21,22] such as ZnTe, CdTe, GaP, GaAs, and GaSe, ferroelectric materials [23] such as lithium niobate (LiNbO3) and lithium tantalate (LiTaO3), and organic materials [24] such as DAST (4-N,N-dimethylamino-4′-N′-methyl-stilbazolium tosylate), DSTMS (4-N,N-dimethylamino-4′-N′-methyl-stilbazolium 2,4,6-trimethylbenzenesulfonate), OH1 (2-(3-(4-hydroxystyryl)-5,5- dimethylcyclohex-2-enylidene)malononitrile), HMQ-TMS (2-(4-hydroxy-3-methoxystyryl)-1-methylquinolinium 2,4,6-trimethylbenzenesulfonate), and BNA (N-benzyl-2-methyl-4- nitroaniline). All mentioned state-of-the-art organic crystals have a molecule as a structural unit, so we can call them both organic and molecular.
Obviously, a large nonlinear susceptibility and low THz and visible absorption coefficient are favorable for high-efficiency THz generation. In a comprehensive model of powerful terahertz sources, “side effects” must be taken into account. It is essential to take into account linear absorption in the THz range. Pump laser light absorption, especially multiphoton absorption, can cause increased carrier density and subsequently absorption in the THz range [25]. In the case of high THz fields, it is important to consider the effect of the generated THz pulse on the optical pump pulse due to their nonlinear interaction (for example, the SFG and DFG between the optical and THz fields) [26,27]. At high pump intensities, additional nonlinear effects, such as photorefraction [28] or the Kerr effect [29], can occur. In non-collinear geometries, the dephasing of the space–time coupling can lead to additional complexity.
Molecular crystals exhibit larger nonlinear coefficients, but they also have higher THz absorption, and their laser breakdown threshold is rather low. The strength of the THz electric field and its spectrum, achieved by THz sources based on molecular crystals, depends on the characteristic properties of the used crystal, which can vary drastically due to emerging phonon resonances, the influence of the orientation of strongly polar structural units, and the low symmetry of crystals. THz pulse generation by fsOR in molecular crystals was first demonstrated using DAST in 1992 [30], which paved the way for a series of works that were at first only devoted to DAST [16,31,32,33], and later extended to other molecular crystals such as DSTMS [34,35,36], OH1 [37], HMQ-TMS [38,39], and many others (e.g., here are a few references only from the last year [40,41,42,43]).
The common Ti:Sapphire lasers with a central wavelength of about 800 nm can only be directly used for yellow molecular crystals in which phase-matching conditions are met at this wavelength, such as BNA [39], COANP (2-cyclooctylamino-5-nitropyridine) [44], and some other newly grown organic crystals [42,45,46,47]. For highly nonlinear red and orange molecular crystals such as DAST and DSTMS, wavelengths greater than 1.2 µm are optimal, which is why a widely tunable optical parametric amplifier (OPA) has to be used for these sources. With such an OPA-based system, THz electric fields up to 8.3 GV/m in DSTMS and OH1 crystals have been reported [48]. An alternative to Ti:Sa-based pumping systems is a high-energy Cr:Forsterite laser with a wavelength of 1250 nm, which also falls within the phase-matching range for the state-of-the-art molecular nonlinear crystals. Using femtosecond pumping from Cr:Forsterite, THz electric fields above 1 GV/m have been generated in DAST, DSTMS, and OH1 crystals [49,50,51].
One disadvantage of broadband systems based on fsOR THz generation in molecular nonlinear crystals is the distortion of the resulting THz spectrum due to the phonon and vibrational modes of the lattice, which affect both linear and nonlinear properties in the THz frequency range. This leads to the emergence of peaks in the THz absorption spectrum, which consequently leads to the absorption of the generated THz waves.
2.2. Quasi-Continuous THz Generation
DFG, as already mentioned, has the same physics as the pulsed generation, which was described in the previous paragraph. The only difference is that the generation is performed in the continuous or quasi-continuous regimes (“quasi-continuous” means that laser pulses may be employed, but with a duration much longer than the THz period) and usually with the use of two pump lasers. To create a nonlinear polarization oscillating at THz frequency based on DFG, the interacting quasi-monochromatic electric fields and should oscillate at close frequencies of and so that the law of energy conservation would be fulfilled. Pump lasers for DFG are usually nanosecond, picosecond, or even continuous wave (CW), as opposed to the broadband femtosecond lasers used in fsOR.
Considering the infinite plane-wave and non-depleted pump approximation, the conversion efficiency for THz DFG process is given by an expression close to the pulsed one (5), namely [52]:
where is the efficient nonlinear coefficient, L is the length of the nonlinear material, is the pump intensity, and and are the absorption coefficients and the refractive indices at the corresponding frequency. There are several factors that limit the overall conversion efficiency. First, there is the Manley–Rowe relation on photon energy conservation, which has a large quantum effect (102∼103) from pump to THz. Secondly, THz has a high absorption coefficient (from a few to tens of cm ) in the most nonlinear materials. Thirdly, the wave vectors mismatch in the three-wave interaction process due to dispersion: , which is similar to fsOR. While other limitations are inherent and have no practical solutions, phase-matching () should be the first thing to be considered in DFG. Taking collinear DFG as an example, the phase-mismatch can be expressed as follows:
The phase-matching condition is often expressed by the so-called coherence length , which determines the maximum length of the nonlinear material over which the generated field increases with thickness. In the absence of loss, Expression (9) varies with the distance L as . The first zero of this sinc function is seen as , and is defined as half this length.
This expression can be further simplified for relatively small differences in the frequencies of the two pump fields (up to several THz) and in the case of a relatively small dispersion of the refractive index. In this case, the dispersion in the optical range can be considered as . This leads to the following coherence length for THz wave generation:
where is the group index of the pump wave.
For an efficient generation of THz waves by DFG, in addition to the high second order susceptibility of the material, the most important parameter is a small refractive index mismatch between the generated THz wave and the optical pump wave. In general, for most crystals with normal dispersion, and the DFG process are not phase-matched. However, when using, for example, beams with different polarizations in birefringent materials or in a non-collinear configuration, phase-matching becomes possible.
For THz generation, the coherence length is generally quite large. For example, it is on the order of 1 mm for GaAs, which makes it possible to generate THz in thin slabs, but it is clear that the power is very limited [53]. To obtain phase-matched THz DFG, the non-collinear mixing of two laser beams can be used. Non-collinear THz DFG schemes started from those based on the mixing of CO2 laser lines at around 10 µm. Pioneering work on non-collinear DFG was performed in the 1970s [54,55,56], where InSb and GaAs were used to emit THz radiation, and a peak power of 20 mW at 3 THz was achieved. Today, GaSe and InxGa1-xSe are among the most promising layered chalcogenide semiconductors for future novel optoelectronic devices. They have an extremely asymmetric layered crystal structure, which leads to relatively high second order nonlinear optical coefficients. Therefore, THz waves can be efficiently generated in GaSe and InxGa1-xSe crystals via DFG [57,58,59]. In birefringent materials, since the different wave vectors can be either o- or e-polarized, phase-matching can sometimes be achieved by choosing different polarization directions for collinear interactions. With the development resulting from the IR domain of nonlinear materials for THz generation, high-quality large-sized GaSe and ZnGeP2 (ZGP) crystals with large effective nonlinear coefficients have been used, which significantly increased the efficiency of DFG [60,61,62,63,64,65,66].
Organic crystals as a special class of nonlinear medium, as already mentioned, have an important additional advantage over standard inorganic nonlinear materials such as LiNbO3 due to the relatively small dispersion of the refractive index between the optical and THz frequency ranges. The achievable range of THz wavelengths is limited by the absorption of the nonlinear material; in particular, it is practically impossible to efficiently generate frequencies above 5 THz in inorganic crystals due to strong optical phonon resonances. The THz sources based on DFG in molecular NLO crystals are characterized by high THz pulse energies beyond 500 nJ [67], a wide tunability range, often beyond 20 THz, and a narrow single-frequency output with linewidths that can be below 5 GHz [68].
The most popular pump source is a dual-wavelength nanosecond (in some cases picosecond) optical parametric oscillator that generates two closely spaced pump wavelengths that are within the phase-matching range of the employed nonlinear crystal. Many published studies have used DAST as the crystal to generate THz waves [68,69,70]. Other molecular nonlinear crystals have also been investigated, such as BNA [38,71], DSTMS [72], and OH1 [67,73,74], with various advantages and differences, particularly in terms of achievable efficiency, THz frequency ranges, and optimum pump wavelengths of a dual-wavelength source.
If the available dual-wavelength source is out of the phase-matching conditions of a particular crystal, the quasi-phase-matching (QPM) technique might be used. QPM is a more flexible method in terms of setting parameters to perform phase-matching, which does not require birefringence but rather a complex technological process for manufacturing structures. It was proposed as early as in 1962 in the seminal paper by Nicolaas Bloembergen’s team [75]. The main feature of the QPM method is the modulation of the nonlinear polarization phase in the crystal structure, usually by changing the nonlinearity of each subsequent layer of the crystal, in view of maintaining a coherent increase in the nonlinear interaction. Thus, the condition of phase-matching can be represented by the following equation:
where is the structure (grating) wave vector, and is a QPM structure period. In the collinear approximation, this expression can be converted to
where we can get the expression of the requested period of a QPM structure for the generation of the frequency :
The term gives another degree of freedom to compensate for phase-mismatch and can be designed into whatever is required. Therefore, QPM enables flexible phase-matching throughout the whole transparent range of the material, which is a great advantage as compared with birefringent and non-collinear phase-matchings. The highest nonlinearity coefficient can be used by choosing the optimal direction of propagation and polarization of the interacting waves, which is favorable in terms of output power and conversion efficiency scaling. Practical methods for achieving QPM by modulating nonlinear polarization include the stacking of crystalline plates with a periodic rotation of 180° [76], periodic poling [77], orientation-patterned epitaxial growth [78], etc.
To our knowledge, the first use of QPM for single-frequency THz generation in organic materials was considered in [74]. The authors described THz generation at 9.4 THz due to DFG in an OH1 molecular crystal. This material was exceptionally highly nonlinear, offering a potentially high DFG efficiency. This THz generator was assembled by stacking 4 OH1 crystal slabs polished along the -plane in various combinations of their orientations, with the c-axis parallel/antiparallel to the input polarization. Each slab was approximately 50 µm thick, matching the coherence length. The resulting THz power was increased by a factor of five as compared to a single OH1 crystal of same thickness.
In a recent publication [79], we presented a new method for the easy fabrication of a nonlinear optical grating for QPM, after which we manufactured and demonstrated a related device. The spatial structure of the grating was formed by an active layer made of a polymethylmethacrylate (PMMA) matrix with DAST nanocrystals and a photopolymer used as the inactive layer. A composition of photo-polymerizable monomers was selected, which provides the desired geometry of the 3D structure, while their absorption in the THz range was small enough. The absorption and refraction THz spectral dependencies of the photopolymerizable composition and the DAST–PMMA nanocomposite allowed us to consider this material as a good candidate for THz photonics.
In general, it is relatively easy to produce narrowband THz waves by generating a difference frequency in nonlinear molecular crystals, which can usually be phase-matched in certain pump wavelength ranges without the need for special crystal cutting. It is more difficult to develop a suitable dual-wavelength laser source with the desired separation in the THz frequency range. These systems are currently mainly based on powerful optical parametric oscillators and are therefore relatively bulky, sensitive, and expensive.
2.3. State-of-the-Art Crystal Materials for THz Generation
We have seen that both fsOR and DFG processes need nonlinear materials with almost similar characteristics: a high nonlinear coefficient, transparency in both visible–IR and THz domains, and the possibility of achieving phase-matching. Furthermore, the presence of phonon lines may reduce the THz generation efficiency even if the nonlinear susceptibility increases near the resonance. Hebling et al. [80] proposed the following figure of merit (FOM) for fsOR THz generation in transparent crystals:
where the nonlinear optical coefficient for optical rectification is [81]. When the crystal shows THz absorption, Expression (16) must be multiplied by (if , where L is the length of the crystal) [82]. Table 1 gives the relevant parameters of the main nonlinear materials (dielectrics, semiconductors, ferro-electrics, and organics) used for fsOR and DFG THz generation. As already pointed out, organics exhibit large nonlinear coefficients and strong FOMTHz, which make them attractive materials for THz generation.
Table 1.
Properties of some materials suitable for THz fsOR and DFG generation.
3. Molecular Crystals as the Sources of Phonon-Based Quasi-Pulsed Narrowband THz Generation
The nonlinear macroscopic properties of a material are governed by Expression (1) of (or in the frequency domain), which includes the response of the matter to the electromagnetic excitation through the different linear and nonlinear susceptibilities. Let us recall that this polarization is defined as the sum per unit volume of the individual dipole moments of each molecule. Thus, this sum is proportional to the molecular dipole moment and should also render for intermolecular interactions and collective effects that will be described below.
Let us first deal with the molecular dipole moment and the specificity of organic molecules. The component of writes as follows:
The tensors and are respectively the polarizability and the first-order hyper-polarizability of the molecule. Higher order terms in (17) are not treated here as they do not contribute to fsOR or DFG. is the ground state dipole moment. Calculating from the knowledge of is a very difficult task because of the intermolecular interactions and the collective resonances. Nevertheless, far from the resonances, the collective motions do not contribute, and the interaction between molecules can be neglected, as proposed in a simple “oriented gas” model of organic crystals by Joseph Zyss and Jean-Louis Oudar [99]. The relation between the nonlinear susceptibility tensor and the first-order hyper-polarizability , adapted here from SHG to fsOR, is the following:
In (18), the dielectric axes of the crystal are oriented along directions , while the molecule is mostly oriented along z. is the angle between the axis i and direction z. The summation is performed over molecules in the unit cell and over the directions. is the number of equivalent positions at which the n molecules in the cell are located, as allowed by the symmetries of the crystal g point group. is a coefficient that depends on the number of molecules per unit cell and on some local field correction factors. We have supposed that the hyper-polarizability tensor exhibits the main contributing element, namely , and that the other elements can be neglected; this corresponds to the realistic case of an elongated organic molecule in which the charge transfer between the two ends of the molecule creates a large dipole.
Such a molecule with a charge transfer between its two ends exhibits large hyper-polarizability [100,101]. This charge transfer is facilitated if one of the ends is a group donor of electrons while the other end is an acceptor group, and if there is a -conjugated system between the molecular bridge (electrons in the orbitals are quite mobile and can easily move from the donor to the acceptor). Common -bond systems are benzene, stilbene, tolane, thiophene, polyene, etc. Donor groups are amino, methoxy, diphenylamino, etc. Acceptor groups are nitro, cyano, dicyanoethenyl, etc. For example, DAST is composed of a stilbene bridge along with a phenolic donor group and a dicyanomethylidene acceptor group.
Recently, the description of nonlinear processes has been carried out under the condition that the interacting waves are considered far from the resonant responses of the medium, which made it possible to assume that the nonlinear susceptibility is frequency-independent. However, under a general phenomenological consideration, the occurrence of a resonant interaction of a medium with an electromagnetic field has a critical effect on the frequency dependence of both linear dispersion characteristics and the nonlinear ones. This plays a crucial role in the nonlinear susceptibility enhancement, which leads particularly to an increase in the spectrally selected near-resonance THz generation.
The original phenomenological description of the linear interaction of light with an ionic lattice was carried out in the early 1950s by Kong Huang [102]. He considered only diatomic ionic crystals with optical isotropy, from which he derived macroscopic equations that describe the behavior of the lattice during polar vibrations, and thus the linear theory of dispersion in ionic crystals. David Kleinman in 1962 [103] initiated a discussion of the possible types of physical mechanisms associated with the effects of nonlinear dielectric polarization in a generalized medium, including a consideration of the possible effect of ion motion. By generalizing Huang’s formalism, he proposed the existence of four mechanisms that could cause second-order polarization: the frequency-dependent anharmonicity, second-order moment, the Raman scattering of the lattice, and frequency-independent electronic processes. The relation of the second-order nonlinear susceptibility to the resonant linear response was first addressed by Bloembergen and his colleagues [75] by adapting the Lorentz’s model of the optical response of dielectrics to nonlinear optics, and then generalized by Robert Miller in 1964 [104]. Miller mostly established the empirical macroscopic relation for SHG, which determined the correlation between resonances in both the fundamental and resulting linear response and the nonlinear response. Miller’s model aroused great interest, followed by a number of works on its improvement and application in real conditions [105,106,107,108].
For THz generation, it is especially important that either the fundamental or the resulting frequencies can fall into resonance, which would lead to an increase in nonlinearity. Indeed, the pump wave usually lies in the VIS∼NIR frequencies, bordering the electronic bandgap, while the far-IR or THz wave falls into the region of a large accumulation of phonon resonances. In 1992 [109], Xi-Cheng Zhang’s group reported the direct observation of a subpicosecond optical rectification from GaAs bulk, where the amplitude of the THz signal varied dramatically and the sign of the rectified field reversed when the pump photon energy was tuned above the bandgap. This behavior was explained by the dispersion of the nonlinear susceptibility upon optical excitation near the resonance. The same effect was observed in InP and CdTe [110,111]. The team of Arunas Krotkus [112] investigated THz generation in InAs, InSb, InN, and GaAs by employing 640–2600 nm wavelength pulses, which resulted in an enhancement of the nonlinear effect near the electronic bandgap edge. Later on, they observed a similar bandgap enhancement in GaSe [113]. Recently, Jean-Louis Coutaz’s group [114] reported on the generation of THz waves through fsOR in the ZnTe of femtosecond laser pulses whose photon energy was tuned from below to above the ZnTe bandgap edge energy. A pronounced peak was observed in the THz signal when the pumping photon energy was of the order of the ZnTe bandgap energy, which was probably due to the resonance of the ZnTe nonlinear susceptibility near the bandgap. The same group also observed an enhancement of the generated THz signal in KTiOPO4 (KTP) when the crystal was pumped at half the bandgap, which certainly originates in a two-photon absorption process [115]. Nevertheless, tuning the pump wavelength to the region of the electronic bandgap is not advantageous, even if the nonlinear response of the material is enhanced. This is due to the following reasons: First, many nonlinear media have a large bandgap, which in this case requires the employment of a source with a wavelength in the UV and VUV range. Only expensive femtosecond OPA pumped by amplified laser systems deliver such UV pump beams. In addition, many effective nonlinear materials, particularly the molecular ones, can be easily destroyed by UV and VUV wavelengths. Finally, and maybe most importantly, when pumping the crystal near its bandgap, the pump beam is strongly absorbed. Thus, phase-matching cannot occur over a long distance, and the so-created free carriers strongly absorb the generated THz signal. Both effects strongly limit the efficiency of THz generation.
Transferring our attention to the consideration of the resonant response of the medium in the THz frequency region makes it possible to control both the amplification of the nonlinear response and its spectral tuning. The resonant response of the medium in the far-IR and THz ranges can be Raman and/or IR in nature, depending on the crystal symmetry. The generation of coherent phonons (usually at THz frequencies) using femtosecond optical excitation is a common technique [116,117], especially for Raman-active modes (probed by coherent oscillations of the interband permittivity), mainly in conventional semiconductors and semimetals [118], but also for more complex crystals [119]. For comparison, there are much fewer studies of phonon emission [120,121,122].
In 1966, Charles Garrett’s group [105] proposed a phenomenological model extending Miller’s work [104] to treat both electronic and ionic contributions to the nonlinear susceptibility. This work was followed by the paper of Gary Boyd’s group [123], where a microwave nonlinear susceptibility with an ionic origin was investigated in a number of acentric ferroelectric and semiconductor crystals such as BaTiO3, LiNbO3, CdSe, GaAs, etc. At the same time, in 1966 [124,125], W. Faust and C. Henry observed the difference frequency mixing of visible laser light in GaP, with a number of IR laser frequencies near the reststrahlen band. This work clarified the separate contributions to electro-optical mixing arising from the dependence of nonlinear susceptibility on lattice displacement (Raman effect) and the electric field (pure electronic effect). The nonlinear interaction of visible light with a resonant medium involves both the lattice response and the THz electromagnetic field. The nonlinear tensor that couples phonons and visible light is thus composed of two parts: the Raman tensor , which couples visible light to the phonon mode with an ionic displacement amplitude Q, and the second-order nonlinear susceptibility , which couples visible electric fields to infrared electric fields. Counting both contributions, the total nonlinear polarization is as follows:
where is the frequency of the generated light. With the help of the classical lattice equation of motion ( is the effective charge and M is the reduced mass of the lattice mode), the electronic and ionic Raman contributions can be included in an effective nonlinear susceptibility , each tensor element of which is of the following form:
where the Faust–Henry coefficient gives the ratio of the Raman (often termed ionic) to electronic contribution.
It was also shown that at THz frequencies, Miller’s rule is able to describe the nonlinear response of crystals (e.g., LiNbO3 and LiTaO3), but that it does not work in the case of crystals (e.g., ZnTe, GaAs, GaP). This is due to the fact that the ionic displacement and the driving electric field are out of phase at frequencies below the lattice resonance and are in phase above it, such that the dispersion of does not follow the linear susceptibility dispersion. This statement overcomes the limitation of the Miller rule, so it does not make any implicit assumption in relating the nonlinear susceptibility and the linear susceptibility. Instead, the dispersion is described by a frequency-independent term and Lorentz oscillators whose parameters are chosen by theoretical calculations or fitted to experimental measurements. A more complex formalism relying on the Faust–Henry model was implemented, for example, in [126,127,128,129].
The narrowband generation of THz radiation in simple crystals based on the resonant phonon response in the far-IR is a relatively new generation method with specified spectral radiation parameters determined by the crystal medium itself. In such sources, taking into account the often low symmetry of the crystal and the sensitivity of phonons to temperature, it is possible to finely tune the spectral band of generation by setting external conditions for the source. There are few works, starting from the early 2010s, which describe such sources. In [130], THz emission from lithium ternary chalcopyrite crystals LiInSe2, LiGaSe2, LiInS2, and LiGaS2 that were illuminated by 1560 nm femtosecond pump laser pulses was studied. All crystals exhibited monocyclic THz wave emission, which was originally due to conventional fsOR, but in addition, coherent phonons at frequencies of 2.87 THz in a LiInSe2 crystal and 3.45 THz in a LiGaSe2 crystal were observed under illumination at 1560 nm, with decay times of 7.5 and 19 ps, respectively. It was suggested that these coherent phonons were based on “impulsive stimulated Raman scattering”. In fact, the moniker “stimulated Raman scattering” (SRS) encompasses a collection of optical techniques that have in common a light–matter interaction, in which two light fields induce a Raman-active transition in the material. Impulsive SRS (ISRS) is a modification of this method using broadband femtosecond pulses and initially has a third-order nonlinearity. Given the Faust–Henry model, in which the second-order nonlinearity includes both electronic and ionic Raman contributions, the use of this term in some articles is partially justified.
Strong coherent phonon-polariton generation was also observed in a ZnTe crystal [131] excited by femtosecond laser pulses. THz pulses with long, damped oscillation tails were generated through optical rectification, with a duration of tens of ps, as compared to conventional fsOR THz generation in ZnTe with pulses a couple of ps long. THz radiation induced by an optical rectification process in a non-centrosymmetric and insulating oxide, eulytite Bi4Ge3O12, at room temperature was reported by Hiroshi Okamoto’s group [132]. The radiated THz pulse consisted mainly of a temporal oscillation component with a frequency of 2.01 THz, which was ascribed to an increase in the effective generation length of up to 2 mm at 2.01 THz for the THz radiation. Thus, the ISRS process as a source of the observed narrowband THz wave was excluded, while the phase-matching in a narrow frequency range, which arises due to the sharp dispersion of associated with the IR-active phonon mode, was chosen as the main factor of multicycle THz pulse generation.
In [133], the same group reported on the observation of THz radiation in a non-centrosymmetric insulating oxide, the paratellurite (-TeO2) crystal. A temporal oscillation component appeared in the radiated THz wave with a frequency of ∼3.71 THz, which was in good agreement with the center frequency of the Raman-active LO E-mode. On the basis of comprehensive polarized optical and Raman spectroscopic studies, the generation mechanism of the temporal oscillation component was explained in terms of the coherent phonon generation via ISRS.
The crystal of barium -borate (-BaB2O4, known as BBO), commonly used for SHG, has also been studied [134] from the point of view of phonon-coupled THz generation. Narrowband emission, with the oscillator strength of , was explained by the large dispersion caused by optical phonons in the vicinity of the emission energy, where phase-matching occurred over a small frequency range. In [135] the conventional nonlinear crystal LiNbO3 showed the same effect of phonon-based THz generation. Multicycle narrowband THz radiation at 14.6 THz originates from a narrow phase-matching condition that is naturally satisfied in between two phonon resonance frequencies in LiNbO3. Both the effects of narrowband phase-matching and second-order nonlinear susceptibility enhancement were observed.
When intense laser beams excite the nonlinear optical crystal, the transverse fields of the photon and phonon waves can become coupled and form a mixed phonon-photon state called polariton. The polariton dispersion curve , where is the polariton frequency, resembles the photon one at low frequencies and exhibits an asymptotic behavior when approaching the transverse optical phonon frequency . Resonant parametric generation could occur when involving the generation of a polariton of frequency , such as when the pumping photon of frequency gives rise to a polariton and an idler photon (frequency ); energy conservation thus imposes . When is within the photon-like regime of the polariton dispersion curve, this nonlinear phenomenon corresponds to parametric generation, i.e., the generated THz frequency is equal to , while it describes Raman scattering when a phonon-like polariton is involved in the process. In THz parametric oscillators (TPO) [136], the crystal is located in an optical cavity, which is adjusted to be resonant at . The weak initial idler luminescence couples to the cavity and becomes stronger and stronger, leading to an efficient THz generation. In injection-seeded THz parametric generators (IS-TPG), both pump and idler laser beams excite the crystal (the idler wave is generally produced by Raman scattering). In both TPO and IS-TPG, the generated THz frequency is adjusted by varying either the angle between the pumping beam and the TPO resonator axis, or that between the idler wavelength and direction in the case of IS-TPGs, such that the phase-matching condition is fulfilled , where subscripts i and p are respectively for the idler and the polariton. THz parametric generation in LiNbO3 was proposed and modeled at the end of the 1960s by Henry and Garrett [137] and then by the team of Richard Harris Pantell [138]. The first experimental demonstration of THz generation, still with LiNbO3, was performed in 1996 by Kodo Kawase and Hiromasa Ito at the RIKEN center in Sendaï, Japan [139]. Today, LiNbO3-based IS-TPG are powerful sources of THz radiation, whose brightness competes with that of the free-electron laser (FEL) [136]. Apart from LiNbO3, parametric generation was successfully reported in KTP [140,141], KTA (KTiOAsO4) [142], and so on. However, to the best of our knowledge, TPO or IS-TPG have not yet been realized with organic crystals.
Abdulhakem Elezzabi’s group in [143,144] also experimentally investigated fsOR in a biaxial BaGa4Se7 crystal for various combinations of NIR excitation polarizations and crystal orientations. The dense phonon mode distribution of the BaGa4Se7 crystal caused narrow transmission bands in the THz frequency range with enhanced nonlinear susceptibility, thus permitting strong narrowband THz radiation generation at the frequencies of 1.97 THz and 2.34 THz. In comparison to THz radiation generated by the ZnTe crystal, the narrowband THz radiation produced by the BaGa4Se7 crystal was 4.5 times higher at 1.97 THz and 63% higher at 2.34 THz.
Recently [145], a new class of semiorganic molecular crystals from the perspective of phonon-based narrowband THz generation was suggested. The recently grown guanylurea hydrogen phosphite (NH2)2CNHCO(NH2)H2PO3 crystal (acronym GUHP) combines the advantages of organic and inorganic crystalline media in the sense of large nonlinearity and high optical damage threshold. With the crystal temperature and orientation manipulation, the central frequency can be tuned from 1.03 THz to 1.68 THz, with a minimum bandwidth of 6.2 GHz. The energy of the THz pulses has reached 700 pJ at low temperatures, which corresponds to an energy conversion efficiency of 8·10−7. The nature of narrowband THz generation is associated with an increase in nonlinear susceptibility as well as non-critical phase-matching in the spectral region of the phonon peak, which are independent of the central wavelength of the femtosecond pump pulse in the NIR wavelength range. In the constant and plane wave approximation, the equation for the THz field spectrum can be defined as follows:
where we supposed that all waves propagate along the direction, and ( is the extinction coefficient). Thus, the THz field amplitude expression is now:
In general, is a complex second-order nonlinear susceptibility that includes an electronic non-resonant and an ionic Raman resonant contribution (20) [125,129].
Simple molecular crystals are promising sources of narrowband THz radiation because of the large number of intermolecular bonds, particularly hydrogen bonds. Thus, there are many high-quality resonances at THz frequencies in the Raman and absorption spectra of such crystals. Thanks to the numerous possibilities for designing semiorganic and organic simple crystals, it is possible to control the properties of potential quasi-pulsed narrowband THz sources. Such sources could serve as an alternative to various DFG and QPM sources based on dielectric crystals, or to semiconductor sources such as quantum-cascade lasers.
4. Crystallography Aspects of THz Crystal Sources
In inorganic crystals, atoms (ions) connected by covalent or ionic bonds form one giant “hypermolecule”. In contrast, the structural units of organic crystals are molecules of finite size that are connected by weaker intermolecular (supramolecular) bonds; some examples are the Van-der-Waals forces, dipole–dipole interactions (including hydrogen bonds), and - interactions.
As the main type of such an interaction should be considered as always-existing Van-der-Waals forces, which are non-directional, they thereby generate a tendency toward the dense packing of organic molecules in the crystal. Therefore, in the vast majority of cases, organic crystals have a layered structure. The molecules in the layers can be placed not only in parallel rows, but also in antiparallel rows or as “herringbone”. At the same time, they are arranged in such a way that the protrusions of some molecules are inserted into the recesses of neighboring molecules or into the gaps between other molecules. This contributes to the appearance of symmetry elements with translational components in molecular structures—sliding planes of symmetry or screw axes of symmetry. At the same time, the planes of symmetry in organic crystals are rare, since in this case, the protrusions of one molecule should be opposite the protrusions of another.
The close-packing of molecules is disturbed when directed hydrogen bonds and – interactions occur in the crystal. Their energy is higher than the energy of the Van-der-Waals bonds, and they form another order for packing molecules. For example, due to the formation of the hydrogen-bond networks, stable molecular configurations arise and the principle of close-packing fades into the background.
The main requirements for nonlinear optical crystals are the following: high optical quality, high laser damage threshold, and good thermal and photochemical stability. To obtain crystals with the desired characteristics, it is necessary to correlate the conditions for the existence of optical nonlinearities with the ability of the luminophore organic molecules to form a non-centrosymmetric packing in a single crystal.
In general, there are certain interrelations between the symmetry of the molecule and the symmetry of the positions they occupy [146]. On the one hand, the symmetry of the crystal does not exceed the symmetry of the molecule. On the other hand, a molecule with a center of symmetry will occupy a centrosymmetric position in the crystal and so will keep a center of symmetry. For these reasons, most organic compounds crystallize in monoclinic syngony, and the existence of nonlinear optical properties (the sufficient condition is the absence of a center of symmetry in the crystal) is substantially determined by the symmetry of the molecule itself.
Weak directed interactions of two types ( interactions (stacking interactions) in the case of 1–4 and C-H interactions in the case of 5, 6) are responsible for the formation of crystal packages (Figure 1) in conjugated unsaturated systems.
Figure 1.
Canonical types of crystal packages of planar conjugate unsaturated molecules; the segments represent lateral projections of planar conjugate unsaturated molecules, while the brackets show parallel dimer pairs. Reprinted from [147], with permission from Springer Nature.
The first of the interactions requires a parallel or parallel-shifted arrangement of molecules, while the second one needs a T-shaped or a parallel-shifted arrangement in the absence of the mutual projection of planar conjugate unsaturated molecules (Figure 2).
Figure 2.
Geometry of weak directional stacking interactions (a) and the C-H⋯π system (b). Reprinted from [147], with permission from Springer Nature.
If the crystal lattice is formed by molecules with a predominance of stacking interactions, a stack architecture is formed; in the case of molecules with a predominance of C–H -system interactions, herringbone and staircase architectures are formed. The energetic proximity of these interactions can lead to a change in the crystal packaging when even small changes are made to the molecular structure. When the energies of the two interactions are equal, stacking-dimer architectures can arise [147].
Thus, nonlinear optical properties of organic crystals occur due to the formation of non-centrosymmetric packing, which can be caused by various reasons. For DAST, DSTMS, and HMQ-TMS crystals, the nonlinear optical properties are most likely due to the mutual arrangement of the cationic D--A part of the molecule and the conjugated organic anion. The properties of the electroneutral molecules of BNA and DCMBI are determined by the mutual arrangement of their conjugate fragments in the crystal. It is possible that the non-planar angle between two conjugate fragments inside the molecule plays the main role in making a non-centrosymmetric packaging in the BNA crystal. In the case of DCMBI, the formation of a parquet-stacking (that is, parallel-shifted) intermolecular packaging makes DCMBI non-centrosymmetric. For the OH1 molecule with a cyclohexene fragment (cyclic architecture in the “half-chair” conformation), the cause is the occurrence of stereoisomerism on the C atom of the C(CH3)2 group. In the absence of aryl or hetaryl fragments in the composition of molecules (GUHP), the hydrogen bonds arising between the cationic fragments of the molecules play a leading role in the formation of a non-centrosymmetric packaging order.
The asymmetrically induced polarization in the crystal leads to the nonlinear optical effects of the second order. To increase the efficiency of nonlinear optical transformation, materials with high hyperpolarizability are needed.
It is known that the extended generalized -orbitals, which form a system of conjugated multiple bonds, play a crucial role in organic molecular crystals. Electrons in such orbitals are delocalized throughout the system. Hence, they belong to all atoms and form a “molecular wire”; as a result, the molecule becomes easily polarized. However, anharmonic polarization, which shows the greatest deviation from the linear contribution at a high degree of distortion of the electron cloud, is necessary for high hyperpolarizability. High intrinsic anharmonicity occurs in molecules with electron-donor and electron-acceptor parts. At the same time, the longer the “molecular wire” is of alternating single and double bonds, the higher the hyperpolarizability of the molecule will be [148], especially if the coordinated interaction of electron-donor (NH2, NR2, OH, OR) and electron-acceptor (NO2, CN) substituents in molecules of structure D (donor)--A (acceptor) exists. The hyperpolarizability of molecules can manifest itself as a decrease or disappearance of the vibrational structure in the absorption spectra of the chromophore, as well as a bathochromic shift of its long-wave absorption band. The magnitude of the shift is proportional to the “force” of the joint action of substituents and the polarizability of the molecule [149].
The compounds in question generally correspond to these patterns. DAST and DSTMS crystals have the highest values of nonlinear optical coefficients; both have 11 atoms in the coupling system (the length of the “molecular wire”) and effective donors and acceptors. “Molecular wire” OH1 consists of 13 atoms in the coupling system, but its nonlinear optical coefficient is two times smaller. Perhaps the decrease in the NLO coefficient is due to the electroneutrality of this molecule. The GUHP crystal has the shortest “molecular wire” and the smallest nonlinear optical coefficient.
Crystal structure
In this review, some nonlinear organic and semi-organic crystals (Table 2) that are of interest for applications in the field of terahertz photonics will be considered.
Table 2.
Crystals under consideration.
There are many works devoted to the study of the crystal structure: DAST [155,156,157,158,159], DSTMS [160], OH1 [161,162], HMQ-TMS [163], BNA [153,164,165,166], DCMBI [167], GUHP [145,168,169]. Table 3 shows some structural parameters. Data are at room temperature unless otherwise noted. For a detailed familiarization with the crystallographic nomenclature, we recommend, for example, the Bilbao crystallographic server [170,171,172].
Table 3.
Structural data.
Synthesis
In terms of preparation, molecular structures with nonlinear optical properties can be divided into several types. A large group (DAST, DSTMS, OH1, HMQ-TMS) are dyes containing a styryl fragment. In the case of DAST, DSTMS, and HMQ-TMS, the dye molecule consists of an organic cation with an extended chromophore system and an organic anion. Both the cation and anion are almost planar. The cation part of the dye has a D--A structure, while the anion is a substituted benzene ring. The electrically neutral OH1 molecule is also planar, except for the C(CH3)2 group in the cyclohexene fragment (Table 4).
Table 4.
Basic components for synthesis.
The most accessible method for the synthesis of such compounds is the condensation reaction of the corresponding heterocyclic salt or neutral compound with an aromatic aldehyde in EtOH (abs.) media, in the presence of an organic base (piperidine) as a catalyst [173,174].
The chromophore of the BNA molecule contains two aryl fragments deployed almost perpendicularly to each other along the C-NH bond (Figure 3). The BNA dye is obtained by the alkylation of 2-methyl-4-nitroaniline with benzyl chloride in an inert environment. Hexamethylphosphorotriamide is added to preliminarily purified 2-methyl-4-nitroaniline, after which benzyl chloride and sodium bicarbonate as a catalysts are added dropwise [153].
Figure 3.
Schematic diagram of BNA synthesis.
The DCMBI dye can be obtained through the cyclization of 4,5-dichloro-1,2-phenylenediamine with ethyliminoacetate hydrochloride [175].
The GUHP dye can be synthesized by the reaction of dicyandiamide with phosphorous acid in water [169].
Crystal growth
All the crystals under consideration have sufficient solubility in alcohols or water for them to be grown by various methods of crystal growth from a solution (Figure 4). The growth techniques were mainly experimented with on DAST crystals. Table 5 shows the main methods and results obtained for DAST as well as for some other crystals.
Figure 4.
Comparison of solubility of some crystals in water (GUHP [169]), ethanol (BNA [153]), and methanol (DAST [93,150], DSTMS [151,160], OH1 [152], HMQ-TMS [163]).
Table 5.
Parameters of crystal growth.
DAST crystals were grown via the cooling of a solution or the evaporation of a solvent. Various DAST concentrations in solution affects the crystal habit. When the crystals were grown by spontaneous deposition, it was difficult to obtain individual crystals due to their coalescence. Hence, the slope nucleation method (SNM) was suggested [186]. SNM makes it possible to obtain individual crystals of a plate shape. The key element is an inclined Teflon plate with grooves inserted into the growth vessel. These grooves prevent the spontaneously dropped crystals from sticking together. The SNM can be used in combination with the slow cooling (SC) of the solution or the evaporation of the solvent (uncontrolled (SE) or slow (SSE), which requires the use of special equipment). In [177], the two-zone growth technique (TZGT) was described. In [187], the nuclear reduction method (NRM), which allows for the reduction of undesirable nucleation, was suggested.
In [188], the activated carbon was added to the methanol solution in order to purify it. That allowed for the production of the more perfect crystals of DAST. The addition of diethylenetriaminepentaacetic acid (DTPA) and ethylenediaminetetraacetic acid (EDTA) [189] led to changes in the hardness of crystals. Several works describe DAST crystals that have been grown from solutions with additives [159,190,191,192].
Growing OH1 crystals from an MeOH solution [152,162,184,193,194,195,196] and from an MeOH solution with additives of H3PO4 [197] and Cd(OAc)2 and Ni(OAc)2 [198] have been described. Rather large crystals were obtained in [184] from an MeOH solution by the rapid cooling of the solution.
At first, the BNA crystal was grown from a methanol solution by solvent evaporation [185]. However, the structural perfection of the crystals was not estimated. Later, BNA crystals were grown by the vertical Bridgman method [164,199]. The obtained crystals had sufficient optical transparency for spectroscopic use. Afterwards, the BNA crystals were again grown from a solution, and ethanol was chosen as the solvent [166]. The rocking-curve linewidth for BNA crystals grown in an ethanol solution was 30 arcsec (the X-ray diffraction results of an -2 measurement on the (040) plane made with an X-ray wavelength of 1.540 Å), which was significantly reduced by one-third as compared with that for Bridgman-grown BNA crystals (Figure 5). This result is a convincing proof that the quality of BNA crystals has been improved by using the ethanol solution growth method as compared to the Bridgman growth method. Consequently, the growth of BNA crystals for further investigation of their properties was carried out with the use of an ethanol solution [153].
Figure 5.
Comparison of rocking curve of BNA grown from the Bridgman and ethanol solution methods [166].
Unlike other crystals, GUHP is highly soluble in water, and it was grown from aqueous solutions by reducing the temperature of the solution [154,169] or by the evaporation of the solvent [145,169].
Comparison of some properties of crystals under consideration
The study of phase transitions in combination with the thermal stability of crystals is important for the selection of a crystal-growing method. For the crystals under consideration (except for BNA), the correlation between the melting and decomposition temperatures does not allow for the use of crystallization from melt (Table 6).
Since crystals must be mechanically treated to make optical elements, microhardness is an important characteristic of the material. Microhardness measurements were carried out on the (001) plane of DAST [156,177,187,188,189,200] and on the (100) and (111) planes of the OH1 [184,194] crystals. The average microhardness values for a load of 25 g were ∼250 MPa and ∼670 MPa [184]. The microhardness values for other crystals used as various optical elements are given below for comparison. The nickel sulfate hexahydrate NiSO4 6H2O (NSH) crystal that was used as a UV radiation filter has a similar microhardness: ∼760 MPa [201]. For the semiorganic nonlinear crystal of potassium hydrogen phthalate KC8H5O4 (KAP), it is ∼1600 MPa [202]. The widely known inorganic nonlinear optical crystal KH2PO4 (KDP) has a microhardness of ∼2250 MPa [203]. In [189], it was shown that DAST crystals doped with DTPA (diethylenetriaminepentaacetic acid) have a higher microhardness than pure DAST (Figure 6). Young’s modulus E was measured: GPa [200]; GPa, GPa [184].
Figure 6.
Variation of microhardness with the different loads for pure, DTPA, and EDTA-added DAST crystals. Reprinted from [189], with permission from Elsevier.
Table 6.
Melting point and decomposition temperature.
Table 6.
Melting point and decomposition temperature.
| Crystal | Melting Point, °C | Weight Loss Temperature, °C | Heating Rate, K/min | Ref. |
|---|---|---|---|---|
| DAST | 256 | No weight loss up to 290 | not specified | [204] |
| 256 ± 1 | not specified | [93] | ||
| 257 | 140.81—first decomposition; 324—rapid decomposition | not specified | [187] | |
| 260.32 | no weight loss up to 300; 320—complete breakage of the stilbazolium ion | not specified | [179] | |
| 258.94 | 300—decomposition begins; 320—complete breakage of the stilbazolium ion | not specified | [156] | |
| DSTMS | 258 ± 1 | 250—decomposition | not specified | [160] |
| 257.8 | 290—dehydration of DSTMS hydrate; 350—decomposition | 10 | [151] | |
| OH1 | 212 | 325—sublimation and/or decomposition | 10 | [162] |
| HMQ-TMS | 274 | No thermal phase transition and weight loss were observed at 280 | [163] | |
| BNA | 102.01 | 20 | [153] | |
| GUHP | 180 | not specified | [168] | |
| 182.5 | 198.5—decomposition | 5 | [169] |
5. Optical Properties of THz Crystal Sources
This section provides useful information about the optical properties of some molecular crystals: DAST, DSTMS, OH1, HMQ-TMS, BNA, DCMBI, GUHP.
5.1. DAST
The lattice structure of DAST is shown in Figure 7. Its linear and nonlinear optical properties in the visible-NIR spectral range are presented in Figure 8 and Figure 9 and in Table 7, Table 8 and Table 9. All the available information about the optical THz properties can be found in Figure 10 and in Table 10 and Table 11.
Figure 7.
(a) Assignment of crystallographic and principal dielectric axes of the monoclinic formation of DAST; (b) Crystal structure of DAST (the .cif files taken from the CCDC database can be found in the Supplementary Materials).
Figure 8.
Refractive indices (), (), and () of DAST. Reprinted from [93], with the permission of AIP Publishing. Absorption coefficients (), (), and () of DAST. Reprinted from [173], with the permission of John Wiley and Sons.
Figure 9.
Dispersion of electro-optic coefficients of DAST. Reprinted from [93], with the permission of AIP Publishing.
Figure 10.
Optimum crystal length for the generation of THz waves as a function of the pump optical wavelength and the frequency of the generated THz wave for DAST, for both pump and THz waves polarized along the polar axis. Used with permission from the Royal Society of Chemistry, from [195]; permission conveyed through Copyright Clearance Center, Inc.
Assignment of dielectric and crystallographic axes:
DAST belongs to the non-centrosymmetric monoclinic space group (point group m, No.9) [173]. The crystallographic b-axis and the dielectric y-axis are normal for the mirror plane. The angles between the principal dielectric axes x and z and the crystallographic axes a and c are 5.4° and 3.2°, respectively [205].
Linear and nonlinear optical properties:
The absorption edge for light polarized along the dielectric x-, y-, and z-directions (defined here for absorption coefficients of 5 cm−1) are at 700 nm, 650 nm, and 590 nm, respectively (orange color) [173]. Weak absorption bands are observed at 1700, 1400, and 1100 nm. The dispersion of the refractive indices can be described with a Sellmeier equation:
Table 7.
Sellmeier parameters for the refractive index dispersion of Equation (23) [93].
Table 7.
Sellmeier parameters for the refractive index dispersion of Equation (23) [93].
| q | 1.645 | 0.469 | 0.234 |
| 2.078 | 1.585 | 1.565 | |
| (nm) | 533 ± 5 | 504 ± 5 | 501 ± 5 |
Table 8.
NLO coefficients of DAST [206].
Table 8.
NLO coefficients of DAST [206].
| (nm) | (pm/V) | (pm/V) | (pm/V) |
|---|---|---|---|
| 1318 | 1010 ± 110 | 96 ± 9 | 53 ± 12 |
| 1542 | 290 ± 15 | 41 ± 3 | 39 ± 2 |
| 1907 | 210 ± 55 | 32 ± 4 | 25 ± 3 |
Table 9.
Linear electro-optic coefficients of DAST [93].
Table 9.
Linear electro-optic coefficients of DAST [93].
| (nm) | (pm/V) | (pm/V) | (pm/V) | (pm/V) | (pm/V) | (pm/V) |
|---|---|---|---|---|---|---|
| 720 | 92 ± 9 | 60 ± 6 | 16 ± 2 | 0.8 ± 0.2 | 0.7 ± 0.2 | <0.1 |
| 800 | 77 ± 8 | 42 ± 4 | 15 ± 2 | <0.1 | <0.1 | <0.1 |
| 1313 | 53 ± 6 | 25 ± 3 | 6.2 ± 0.6 | <0.1 | <0.1 | <0.1 |
| 1535 | 47 ± 8 | 21 ± 4 | 5 ± 1 | <0.1 | <0.1 | <0.1 |
Laser-induced threshold:
The laser damage threshold was calculated by applying the relation [207], where E and are respectively the energy (mJ) and duration (ns) of the laser pulses, and r is the radius of the circular laser spot size (mm). For the configuration with a Q-switched Nd:YAG laser (1064 nm wavelength), a repetition rate of 10 Hz, and a pulse duration of 6 ns, which is focused on a (001) DAST crystal using a convex lens with a 15 cm focal length, the calculated laser damage threshold of DAST is 2.71 GW/cm2 [208]. For the configuration with a dual-wavelength optical parametric oscillator (wavelength 1550 nm), a repetition rate of 10 Hz, and a pulse width of 10 ns, which is focused on a (010) DAST crystal using a lens with a 50 mm focal length (0.1 mm-diameter spot), the calculated laser damage threshold is 2.8 GW/cm2 [209]. For 68 fs pulses (FWHM) at 800 nm, a damage threshold of 300 GW/cm2 (20 mJ/cm2) was measured [210].
THz linear and nonlinear properties:
The small nonzero angle between the crystallographic a and the dielectric x axes as well as between the c and the z axes may be neglected [16].
Table 10.
Phonon resonances of DAST [94].
Table 10.
Phonon resonances of DAST [94].
| DAST a-Axis | |
|---|---|
| Oscillator Frequency (THz) | Line Width (THz) |
| 1.1 | 0.39 |
| 3.1 | 4.2 |
| 5.2 | 1.9 |
| 7.1 | 11 |
| 8.4 | 0.85 |
| 11 | 1.3 |
| 12.3 | 2.1 |
| DAST b-Axis | |
| Oscillator Frequency (THz) | Line Width (THz) |
| 1.1 | 0.31 |
| 1.3 | 0.84 |
| 1.6 | 0.2 |
| 2.2 | 1.3 |
| 3 | 1.6 |
| 5.2 | 1.1 |
| 7.2 | 3.4 |
| 9.6 | 1.7 |
| 11.7 | 5.2 |
Table 11.
Main optical-THz characteristics of DAST.
Table 11.
Main optical-THz characteristics of DAST.
| (nm) | (pm/V) | (pm/V) | FOMTHz (pm/V)2 | |||
|---|---|---|---|---|---|---|
| 1535 | 2.13 | 2.26 | ∼2.4 | 47 | 242 | 5370 |
THz generation conversion efficiency:
The efficiency of conversion from IR radiation into the THz range in the DAST crystal was determined to be 6% at 1.95 µm and 1.5% at 3.9 µm [211], 2.1% at 1.25 µm [49], and 2.2% at 1.5 µm [33]. The ranges achieved for THz generation were 0.3–19.6 THz in [70] and 2–31.5 THz in [212].
5.2. DSTMS
DSTMS lattice structure is shown in Figure 11. The optical properties in the visible-NIR spectral range are presented in Table 12 and Table 13. And all the available information about the optical THz properties can be found in Figure 12 and in Table 14.
Figure 11.
(a) Assignment of crystallographic and principal dielectric axes of the monoclinic formation of DSTMS; (b) Crystal structure of DSTMS (the .cif files taken from the CCDC database can be found in the Supplementary Materials).
Table 12.
Sellmeier parameters for the refractive index dispersion of Equation (24). Adapted with permission from [95]. © The Optical Society.
Table 13.
NLO coefficients of DSTMS [95].
Figure 12.
Optimum crystal length for the generation of THz waves as a function of the pump optical wavelength and the frequency of the generated THz wave for DSTMS, for both pump and THz waves polarized along the polar axis. Used with permission form the Royal Society of Chemistry, from [195]; permission conveyed through Copyright Clearance Center, Inc.
Table 14.
Main optical-THz characteristics of DSTMS.
Assignment of dielectric and crystallographic axes:
DSTMS belongs to the non-centrosymmetric monoclinic space group (point group m, No.9) [95]. The dielectric y-axis lies parallel to the crystallographic b-axis, whereas the dielectric x-axis has an inclination angle of 3.6 ± 0.3° with the crystallographic a-axis [95].
Linear and nonlinear optical properties:
The cutoff wavelength, which is defined for an absorption of 12 cm−1, is at 685 nm for , 655 nm for , and 575 nm for (orange color). Small absorption bands are seen at 1700, 1400, and 1150 nm [95]. The dispersion of the refractive indices can be described with a Sellmeier equation:
Linear electro-optic coefficients of DSTMS: = 37 ± 3 pm/V at 1900 nm [95]
Laser-induced threshold:
For 68 fs pulses at 800 nm, a damage threshold of 300 GW/cm2 (20 mJ/cm2) was measured for DAST, and a slightly lower value was found for DSTMS [210]. Additionally, by using a Nd:YAG laser (1064 nm) with a pulse duration of 10 ns, the laser optical damage threshold of the DSTMS crystal was calculated to be at 3.57 GW/cm2 [213].
THz linear and nonlinear properties:
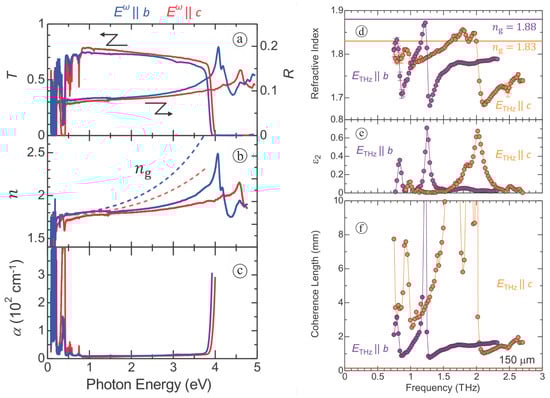
Absorption features are at 0.648, 1.024, 2.702 THz [34], and 5.1, 6, 6.8, 8.3 THz [214]. The strongest THz phonon absorption peak in DSTMS is at about 1 THz, which is only about half of that in DAST.
In a broader THz frequency range of up to about 10 THz (for which the THz refractive index data is available), DSTMS shows similar THz velocity–phase-matching properties as compared to DAST.
THz generation conversion efficiency:
The efficiency of THz generation in the DSTMS crystal was reported as 3% at 1.25 µm [50] and 3.6% at 1.35 µm [72]. The THz frequency tunable range was detected as 0.88–19.27 THz in [72], 0.5–26 THz in [35], and 4–18 THz in [72] under various experimental conditions.
5.3. OH1
The lattice structure of OH1 crystal is presented in Figure 13. The linear and nonlinear optical properties in the visible-NIR spectral range are presented in Figure 14 and in Table 15, Table 16 and Table 17. And all the available information about the optical THz properties can be found in Figure 15 and in Table 18 and Table 19.
Figure 13.
Crystal structure of OH1 (the .cif files taken from the CCDC database can be found in the Supplementary Materials).
Figure 14.
Dispersion of electro-optic coefficients of OH1. Reprinted with permission from [96]. © The Optical Society.
Table 15.
Sellmeier parameters for the refractive index dispersion of Equation (25) [96].
Table 16.
NLO coefficients of OH1 [96].
Table 17.
Linear electro-optic coefficients of OH1 [96].
Figure 15.
Optimum crystal length for the generation of THz waves as a function of the pump optical wavelength, and the frequency of the generated THz wave for OH1 for both pump and THz waves polarized along the polar axis. Used with permission from the Royal Society of Chemistry, from [195]; permission conveyed through Copyright Clearance Center, Inc.
Table 18.
Phonon resonances of OH1.
Table 19.
Main optical-THz characteristics of OH1.
Assignment of dielectric and crystallographic axes:
OH1 belongs to the non-centrosymmetric orthorhombic space group (point group , No.33) [96]. Due to the orthorhombic symmetry of the crystal, the dielectric axes coincide with the crystallographic axes.
Linear and nonlinear optical properties:
The cutoff wavelength, which was defined for an absorption of 10 cm−1, is at 639 and 601 nm for light polarized along and perpendicular to the polar axis z, respectively (orange color) [96]. The dispersion of the refractive indices can be described with a Sellmeier equation:
Laser-induced threshold:
For single-shot laser damage threshold measurements using a Q-switched Nd:YAG laser (wavelength 1064 nm, pulse width 10 ns, and repetition rate 10 Hz), the laser-induced damage threshold value of OH1 was calculated to be about 2.21 GW/cm2 [196].
THz linear and nonlinear properties:
The OH1 crystal is a non-ionic crystal and has an even higher figure of merit for THz wave generation as compared to the stilbazolium salts DAST and DSTMS. OH1 has an optimum velocity-matching value between 1200 nm and 1460 nm for 0.3–2.5 THz; it has no absorption at about 1 THz, but has at about 3 THz [37].
THz generation conversion efficiency:
The efficiency of IR–THz conversion in the OH1 crystal was measured in [49] as 3.2% at 1.25 µm and as 2.9% at 1.35 µm, within a range of 0.02–20 THz in [67].
5.4. HMQ-TMS
The lattice structure is shown in Figure 16. The linear optical properties in the visible-NIR spectral range are shown in Table 20. And all the available information about the optical THz properties can be found in Figure 17 and in Table 21.
Figure 16.
(a) Assignment of the crystallographic and principal dielectric axes of the monoclinic formation of HMQ-TMS; (b) Crystal structure of DSTMS (the .cif files taken from the CCDC database can be found in the Supplementary Materials).
Table 20.
Sellmeier parameters for the refractive index dispersion of Equation (26) [216].
Figure 17.
Optimum crystal length for the generation of THz waves as a function of the pump optical wavelength, and the frequency of the generated THz wave for HMQ-TMS for both pump and THz waves polarized along the polar axis. Used with permission from the Royal Society of Chemistry, from [195]; permission conveyed through Copyright Clearance Center, Inc.
Table 21.
Main optical-THz characteristics of HMQ-TMS.
Assignment of dielectric and crystallographic axes:
HMQ-TMS belongs to the non-centrosymmetric monoclinic (or ) space group (point group m, No.7) [163]. The crystallographic b-axis and the dielectric y-axis are normal for the mirror plane. The angles between the principal dielectric axes x and z and the crystallographic axes a and c are 5° and 21°, respectively [163].
Linear and nonlinear optical properties: The cutoff wavelength, which was defined for an absorption coefficient of 10 cm−1, is 577 nm for light polarized along the axis z (orange color) [216]. The dispersion of the refractive indices can be described with a Sellmeier equation:
Linear electro-optic coefficients of HMQ-TMS: (633 nm) [217].
Laser-induced threshold:
The damage threshold of HMQ-TMS for configuration with a Yb:fiber laser (1035 nm wavelength, 30 fs pulse width, 10 MHz repetition rate) lies within a peak intensity of 52–107 GW/cm2 or a fluence range of 1.8–3.6 mJ/cm2, with a 1/e2 spot diameter of 100–70 µm (the dominant damage mechanism becomes thermal at a lower fluence rather than being driven by the high peak intensities of low-repetition-rate ultrashort pulse sources) [218].
THz absorption and phase-matching properties:
Strong phonon resonance at 1.7 THz [217], and at 3, 3.9, 5.7 THz [219].
For the quinolinium salt HMQ-TMS, the best phase-matching range for THz generation is shifted towards shorter wavelengths as compared to DAST and DSTMS, which is an advantage of using well-developed pump laser sources emitting at around 1000 nm [216,219].
THz generation conversion efficiency:
Efficiency of IR-THz conversion in HMQ-TMS crystal was measured in [220] as 0.26% at 1.03 . THz frequency tunable range was detected as 0.1–15 THz in [219].
5.5. BNA (MNA-3)
The lattice structure of BNA crystal is presented in Figure 18. The linear and nonlinear optical properties in the visible-NIR spectral range are presented in Table 22, Table 23 and Table 24. All the available information about the optical THz properties can be found in Figure 19 and in Table 25.
Figure 18.
Crystal structure of orthorhombic BNA (the .cif files taken from the CCDC database can be found in the Supplementary Materials).
Table 22.
Sellmeier parameters for the refractive index dispersion of Equation (27) [97].
Figure 19.
THz absorption coefficient and coherence length distribution of BNA-DFG, with a type-0 phase-matching configuration [38].
Assignment of dielectric and crystallographic axes:
The first BNA polymorph (MNA-3) — non-centrosymmetric orthorhombic space group (point group , No.33) [185]. The second BNA polymorph—centrosymmetric monoclinic space group (point group , No.14) [165]. Due to the orthorhombic symmetry of the crystal, the dielectric axes coincide with the crystallographic axes.
Linear and nonlinear optical properties:
The absorption edge (defined for 99% transmittance) is at 460 nm (yellow color) [185]. The dispersion of the refractive indices can be described with a Sellmeier equation:
Another Sellmeier equation is proposed [221]:
Table 23.
NLO coefficients of BNA.
Table 23.
NLO coefficients of BNA.
| (nm) | (pm/V) | (pm/V) | (pm/V) | / (pm/V) | / (pm/V) |
|---|---|---|---|---|---|
| 1064 | 234 ± 31 [97] 231 ± 5 [222] | negligible [97] | 15.6 ± 0.9 [97] 78.1 ± 1.6 [222] | 41.4 ± 0.8 [222] | 77.6 ± 1.6 [222] |
| 1349 | 4.5 ± 0.2 [221] |
Table 24.
Linear electro-optic coefficients of BNA.
Table 24.
Linear electro-optic coefficients of BNA.
| (nm) | |
|---|---|
| 1064 | 45 ± 6 pm/V [98] |
| 1538 | 24 pm/V [223] |
Laser-induced threshold:
For the configuration with an Nd:YAG laser (1.064 µm), a pulse duration of 5 ns and a repetition rate of 10 Hz, focused using a 150 mm focal lens (30 µm radius beam waist) at the BNA slab input surface, the surface damage was observed at the peak power of 0.96 GW/cm2 [221]. For 800 nm Ti:Sapphire laser pulses (repetition rate of 100 Hz, pulse duration of 50 fs), the damage threshold of BNA is around 6 mJ/cm2 [39]. For the ∼100 fs 800 nm Ti:Sapphire laser, the damage threshold at 1 kHz is about half of that at 500 Hz (∼2 mJ/cm2 compared to ∼4 mJ/cm2), suggesting that the damage mechanism is thermal [41].
THz linear and nonlinear properties:
Absorption features at 1.566, 2.181, 2.703, 3.267 THz [41]. Or extended at 2, 2.75, 3.25, 5, 5.75, 7, 7.75, 9.5, 10, 11.25, 12, 13, 14.5, 16.5, 17.75, 18.5, 18.75, 19.25, 19.5, 20.25 THz [38].
For polarized selective measurements, there are resonances at 1.64 and 3.17 THz in the ⟨100⟩ direction and at 1.29, 2.19, and 3.60 THz in the ⟨001⟩ direction [199].
Table 25.
Main optical-THz characteristics of BNA.
Table 25.
Main optical-THz characteristics of BNA.
| (nm) | (pm/V) | (pm/V) | FOMTHz (pm/V)2 | |||
|---|---|---|---|---|---|---|
| 1064 | 1.80 | 1.88 | ∼ 2 | 45 | 118 | 2150 |
THz generation conversion efficiency:
Different scientific groups achieved the maximum efficiency of THz generation at the level of 0.2% at 800 nm [224], 0.8% at 1150 nm, 1200 nm, and 1250 nm [225], and 0.25% at 800 nm [39]. At the same time, the spectral range of generated radiation was determined to be at the level of 0.1–6 THz [41], 0.1–7 THz [225], 0.1–15 THz [226], and 0.1–20 THz [38] for various experimental conditions.
5.6. DCMBI
The lattice structure is shown in Figure 20. The linear optical properties in the visible-NIR spectral range are presented in Figure 21a–c. All the available information about the optical THz properties can be found in Figure 21d–f and Figure 22 and in Table 26.
Figure 20.
Crystal structure of DCMBI (the .cif files taken from the CCDC database can be found in the Supplementary Materials).
Figure 21.
(a) Polarized transmittance T and reflectivity R, (b) refractive index n, and (c) absorption coefficient versus photon energy for (blue (gray) lines) and (red (light gray) lines). The group refractive index spectra are also shown by the dotted lines in (b). (d) Refractive index and (e) imaginary part of the dielectric constant versus THz frequency along the b and c axes. (f) Calculated coherence length along the b and c axes, which exceeds the sample thickness (150 µm, indicated by the horizontal red (gray) line) used in the THz radiation experiments. Reprinted with permission from [227]. Copyright 2022 by the American Physical Society.
Figure 22.
X-axis component of THz waveforms for (a) and (b) . (c) Intensity spectra of THz radiation for and . (d) Raman scattering spectrum in the configuration, which can be fitted by assuming five Raman modes (shaded area and dotted line). (e) Real and imaginary parts of the dielectric constant spectrum along the c axis, which can be reproduced by three Lorentz oscillators (shaded area). (f) Evaluated spectrum of the second-order nonlinear susceptibility due to the impulsive stimulated Raman scattering. Reprinted with permission from [227]. Copyright 2022 by the American Physical Society.
Table 26.
Phonon resonances of DCMBI [227].
Assignment of dielectric and crystallographic axes:
DCMBI belongs to the non-centrosymmetric space group (point group , No.29) [167]. Due to the orthorhombic symmetry of the crystal, the dielectric axes coincide with the crystallographic axes.
Linear optical properties:
Strong decrease in transmittance T above 3.8 eV (326 nm) for and [227]. Refractive index is nearly constant (1.8), no optical anisotropy is observed, and at 1.55 eV (800 nm) for and is 1.88 and 1.83, respectively (Figure 21a–c).
THz linear and nonlinear properties:
Resonance features appear in the spectra of the THz refractive index and the dielectric constant at 0.99, 1.84, and 2.02 THz for the c axis, and at 0.86, 1.25, and 1.8 THz for the b axis (Figure 21d,e). An increase of in narrowband frequency regions occurs due to the fulfillment of the phase-matching condition (∼), which results from the presence of a sharp dispersion of phonon modes in the THz range (Figure 21f).
However, in both configurations (i.e., along the b and c axes), at frequencies of 0.5–3 THz is much longer than the thickness of a sample under study (150 µm), indicating the good phase-matching condition in these reported THz experiments. This result also excludes the explanation of the narrowband THz generation in DCMBI by a resonant enhancement of .
Figure 22a,b show the THz electric field for the incident laser pulse , parallel to the c and b axes ( and , respectively) [227]. For , a nearly single-cycle electric field around 0 ps is observed, followed by an oscillatory component at least up to 8 ps. In contrast, for , a modulated oscillation signal is observed, which seems to consist of several oscillatory components with different frequencies. Indeed, for , the spectra exhibit three peak structures at 0.97, 1.8, and 1.98 THz, while for , a peak at 0.97 THz is dominant (Figure 22c).
A possible origin of the THz oscillatory features is the ISRS process. The DCMBI crystal has no space inversion symmetry, such that Raman-active modes (Figure 22d) can be infrared-active and thus contribute to the THz emission. is resonantly enhanced by three Raman- and IR-active phonon modes (blue arrows in Figure 22d,e) and reaches a maximum of ∼0.06 pm/V (Figure 22f).
5.7. GUHP
The lattice structure of GUHP crystal is presented in Figure 23. The linear and nonlinear optical properties in the visible-NIR spectral range are presented in Figure 24 and in Table 27, Table 28 and Table 29. And all the available information about the optical THz properties can be found in Figure 25, Figure 26 and Figure 27.
Figure 23.
(a) Assignment of the crystallographic and principal dielectric axes of monoclinic GUHP; (b) Crystal structure of GUHP (the .cif files taken from the CCDC database can be found in the Supplementary Materials).
Figure 24.
Transmission spectrum of GUHP crystal in the VIS-NIR spectral range [145].
Table 27.
The refractive index of GUHP [228].
Table 28.
Sellmeier parameters for the refractive index dispersion of Equation (29). Adapted with permission from [154]. © John Wiley and Sons.
Table 29.
Nonlinear coefficients of GUHP.
Figure 25.
Spectra of the refraction and absorption coeffcients of the GUHP crystal along the three principal dielectric axes at room temperature. The absorption coefficient corresponds to the absorption of the field [145].
Figure 26.
THz field spectra for Z (a) and X (b) mode orientation at different temperatures. The pump wavelength is 1325 nm. Solid lines represent experimental data; dashed lines represent simulation using Equation (22). The insets compare the THz radiation spectra generated at 293 K in the case of two pump laser wavelengths, 1325 nm and 797 nm [145].
Assignment of dielectric and crystallographic axes:
Non-centrosymmetric monoclinic space group (point group m, No.9) [169]. In the visible range, the dielectric axis z differs from the crystallographic axis c by 62° ± 0.5°. In the THz frequency range, this angle is 78° ± 1° [145].
In the other work [228] performed at 533 and 1064 nm, it was determined that the axes are tilted by about 28 from the ⟨001⟩ direction. In [154], the orientation angle between the dielectric axis z and the crystallographic c-axis is 35°.
Figure 27.
Spectrochronographic image of the time-frequency distribution of a THz pulse generated in a GUHP crystal at T = 10 K. The insets show the time profiles of the electric field of these THz pulses together with, for comparison, the time profile of the THz pulse from a 300 thick ZnTe (110) crystal at room temperature. © 2022 IEEE. Reprinted with permission from [229].
Linear and nonlinear optical properties:
The cutoff wavelength is 300 nm (determined at 40% transmission level for 500 µm sample thickness). A feature at 1530 nm may be defined as a vibronic line [145].
Another version of the dispersion of the refractive indices can be described with a Sellmeier equation:
Laser-induced threshold:
The damage threshold peak power density is 4.8·1012 W/cm2 (center wavelength 800 nm, pulse repetition rate 1 kHz, pulse duration 40 fs, pulse energy 3 mJ) [229].
THz linear and nonlinear properties:
For the X axis, taking into account the significant absorption, it is assumed that the peak is located at 1.45 THz, with a width of no more than 0.2 THz [145]. For the z- and y-axes, the absorption peaks are located at 1.02 and 0.93 THz, with a line width of 0.057 and 0.036 THz, respectively. The corresponding Q-factors are , and , which significantly exceed the known absorption Q-factor along the a-axis of the DAST crystal at 1.1 THz () [94].
Figure 26a shows the spectra of THz radiation in the case when the IR pump and the THz electric field are polarized along the z-axis. Figure 26b shows the spectra of THz radiation in the case when the IR pump and the THz electric field are polarized along the x-axis. When the temperature is varied from room to cryogenic values, the damping of the electric field oscillations weakens, which is clearly expressed in the spectral representation as the emphasizing and narrowing of the generation frequency peak. The energy of THz pulses exceeded 700 pJ at 10 K, which corresponds to the efficiency of 8 × 10−7. The conversion coefficient of broadband THz radiation sources, for example, based on a ZnTe crystal can reach ∼10−5 [230], which makes the GUHP crystal relatively weak in this integral parameter. However, the THz spectral density in the main generated frequency bands of GUHP is higher than that for broadband THz sources, such as ZnTe, GaP, or LiNbO3 crystals. More importantly, compared with other known crystals with a narrow emitting band (BaGa4Se7 crystal’s efficiency is 10−8 [144]), the GUHP crystal has a higher conversion efficiency. The phase-matching in GUHP thus turns out to be noncritical: the nonlinear conversion process is comparable at wavelengths of 1325 nm and 797 nm and therefore does not depend on frequency (insets in Figure 26).
The temporal dynamics of the electric field of the THz pulse generated in the crystal by the femtosecond NIR pump is driven by the relaxation dynamics inside the crystal. It is convenient to use the spectrochronography method [231] to study the temporal evolution of the THz pulse spectrum. Figure 27 shows time-frequency representations of terahertz pulses generated at 10 K in the GUHP crystal [229]. On the spectrochronographic image, along the orientation of the z-axis, two characteristic regions are visible: the first one starts from the beginning of the pulse and ends at about 20 ps—this is broadband THz radiation typical for most nonlinear crystals, and it does not depend on temperature; the second extends to hundreds of ps—this is a narrowband pulsed THz generation, which strongly depends on temperature. When oriented along the x-axis, the terahertz spectrum does not have a pronounced broadband feature. In the general case, the generation of a broadband THz pulse with a characteristic duration of 10−12–10−11 s is determined by the electronic nonlinearity. We also estimated the efficiency of SHG along each of the z- and x-axes. As a result, we found that when oriented along the z-axis, the SHG efficiency is much higher than when oriented along the x-axis. As a rule, nonlinear optical processes in the visible and IR frequency ranges are also determined by the electronic nonlinearity. Thus, the results obtained on the SH generation are in good agreement with the above-described features of the broadband part of the terahertz spectrum generated along each of the axes. At the same time, the narrowband part of the THz pulse, which has a time constant of 10−10 s, can no longer be due to fast electronic processes and is explained by the Raman response described in the first section.
6. Conclusions and Outlook
A review is given of various types of molecular crystals developed for THz photonics. Molecular crystals are suitable both for generating THz waves with a large field and an ultra-wideband spectrum, and with a tunable quasi-continuous spectral generation line. We have presented an overview of optics-to-THz conversion processes in nonlinear crystals and presented the basic theory of femtosecond optical rectification and difference frequency generation. The theory of specific crystals in which laser light resonantly excites a nonlinear medium is described. Particular attention was paid to crystals with Q-phonon resonances at THz frequencies. It is shown that this type of crystal, due to the high Q-factor, is the key medium to efficient and tunable narrow-band THz generation. We also provided information on the crystallographic and optical properties of both already known molecular crystals and recently developed ones. Much attention was paid to the solubility of crystals in alcohols or water and various methods of growing crystals from solution. In addition, we have provided all useful information about the crystallographic and optical properties of modern and promising DAST, DSTMS, OH1, HMQ-TMS, DCMBI and GUHP molecular crystals. Molecular crystals are of great interest in the rapidly developing field of THz photonics. They can be implemented in various THz applications in fundamental research as well as industrial research applications and demonstrate their great potential. In the near future, we should expect further noticeable progress in the research of new and the development of existing molecular crystals for the development of THz photonics.
Supplementary Materials
The following supporting information can be downloaded at: https://www.mdpi.com/article/10.3390/electronics11172731/s1, the .cif files for every crystal described in Section 5 are taken from the CCDC database https://www.ccdc.cam.ac.uk/structures/ (accessed on 16 May 2022).
Author Contributions
Conceptualization, A.S. (Anton Sinko) and A.S. (Alexander Shkurinov); writing—original draft preparation, A.S. (Anton Sinko), J.-L.C., E.R. and N.L.; writing—review and editing, A.S. (Anton Sinko), A.S. (Alexander Shkurinov), J.-L.C., I.O., V.M. and N.K.; visualization, A.S. (Anton Sinko) and E.R.; supervision, A.S. (Alexander Shkurinov) and A.V. All authors have read and agreed to the published version of the manuscript.
Funding
This work was supported in part by the Russian Foundation for Basic Research, for the characterization of molecular crystals (Project No. 20-32-90234); in part by the Ministry of Science and Higher Education of the Russian Federation, for wideband THz generation (Project No. 0748-2020-0012); in part by the Ministry of Science and Higher Education of the Russian Federation, for tunable narrowband THz generation (Grant No. 075-15-2021-1353); in part by the Interdisciplinary Scientific and Educational School of Lomonosov Moscow State University “Photonic and Quantum Technologies: Digital Medicine”, for the selection of the different mechanisms of THz generation, and in part by the Ministry of Science and Higher Education within the State assignment FSRC “Crystallography and Photonics” RAS, for the prospects of THz photonics.
Acknowledgments
The authors are also grateful to Nazar Nikolaev for his help in preparing this review.
Conflicts of Interest
The authors declare no conflict of interest.
References
- Dexheimer, S.L. Terahertz Spectroscopy: Principles and Applications; CRC Press: Boca Raton, FL, USA, 2017. [Google Scholar]
- Jansen, C.; Wietzke, S.; Peters, O.; Scheller, M.; Vieweg, N.; Salhi, M.; Krumbholz, N.; Jördens, C.; Hochrein, T.; Koch, M. Terahertz imaging: Applications and perspectives. Appl. Opt. 2010, 49, E48–E57. [Google Scholar] [CrossRef] [PubMed]
- Fukunaga, K. THz Technology Applied to Cultural Heritage in Practice; Springer: Berlin/Heidelberg, Germany, 2016. [Google Scholar]
- Smolyanskaya, O.; Chernomyrdin, N.; Konovko, A.; Zaytsev, K.; Ozheredov, I.; Cherkasova, O.; Nazarov, M.; Guillet, J.P.; Kozlov, S.; Kistenev, Y.V.; et al. Terahertz biophotonics as a tool for studies of dielectric and spectral properties of biological tissues and liquids. Prog. Quant. Electron. 2018, 62, 1–77. [Google Scholar] [CrossRef]
- Nanni, E.A.; Huang, W.R.; Hong, K.H.; Ravi, K.; Fallahi, A.; Moriena, G.; Dwayne Miller, R.; Kärtner, F.X. Terahertz-driven linear electron acceleration. Nat. Commun. 2015, 6, 8486. [Google Scholar] [CrossRef] [PubMed]
- Udina, M.; Cea, T.; Benfatto, L. Theory of coherent-oscillations generation in terahertz pump-probe spectroscopy: From phonons to electronic collective modes. Phys. Rev. B 2019, 100, 165131. [Google Scholar] [CrossRef]
- Bass, M.; Franken, P.; Ward, J.; Weinreich, G. Optical rectification. Phys. Rev. Lett. 1962, 9, 446. [Google Scholar] [CrossRef]
- Franken, P.; Hill, A.E.; Peters, C.E.; Weinreich, G. Generation of optical harmonics. Phys. Rev. Lett. 1961, 7, 118. [Google Scholar] [CrossRef]
- Zernike Jr, F.; Berman, P.R. Generation of far infrared as a difference frequency. Phys. Rev. Lett. 1965, 15, 999. [Google Scholar] [CrossRef]
- Yajima, T.; Inoue, K. Submillimeter-wave generation by optical difference-frequency mixing of ruby R1 and R2 laser lines. Phys. Lett. A 1968, 26, 281–282. [Google Scholar] [CrossRef]
- Faries, D.; Gehring, K.; Richards, P.; Shen, Y. Tunable far-infrared radiation generated from the difference frequency between two ruby lasers. Phys. Rev. 1969, 180, 363. [Google Scholar] [CrossRef]
- Morris, J.; Shen, Y. Far-infrared generation by picosecond pulses in electro-optical materials. Opt. Commun. 1971, 3, 81–84. [Google Scholar] [CrossRef]
- Yang, K.; Richards, P.; Shen, Y. Generation of far-infrared radiation by picosecond light pulses in LiNbO3. Appl. Phys. Lett. 1971, 19, 320–323. [Google Scholar] [CrossRef]
- Yajima, T.; Takeuchi, N. Far-infrared difference-frequency generation by picosecond laser pulses. Jpn. J. Appl. Phys. 1970, 9, 1361. [Google Scholar] [CrossRef]
- Auston, D.H.; Cheung, K.; Valdmanis, J.; Kleinman, D. Cherenkov radiation from femtosecond optical pulses in electro-optic media. Phys. Rev. Lett. 1984, 53, 1555. [Google Scholar] [CrossRef]
- Schneider, A.; Neis, M.; Stillhart, M.; Ruiz, B.; Khan, R.U.; Günter, P. Generation of terahertz pulses through optical rectification in organic DAST crystals: Theory and experiment. J. Opt. Soc. Am. B Opt. Phys. 2006, 23, 1822–1835. [Google Scholar] [CrossRef]
- Zinov’ev, N.; Nikoghosyan, A.; Dudley, R.; Chamberlain, J. Conversion of short optical pulses to terahertz radiation in a nonlinear medium: Experiment and theory. Phys. Rev. B 2007, 76, 235114. [Google Scholar] [CrossRef]
- Zinov’ev, N.; Nikoghosyan, A.; Chamberlain, J. Terahertz radiation from a nonlinear slab traversed by an optical pulse. Phys. Rev. Lett. 2007, 98, 044801. [Google Scholar] [CrossRef]
- Schneider, A. Theory of terahertz pulse generation through optical rectification in a nonlinear optical material with a finite size. Phys. Rev. A 2010, 82, 033825. [Google Scholar] [CrossRef]
- Wu, Q.; Zhang, X.C. Ultrafast electro-optic field sensors. Appl. Phys. Lett. 1996, 68, 1604–1606. [Google Scholar] [CrossRef]
- Grischkowsky, D.; Keiding, S.; Van Exter, M.; Fattinger, C. Far-infrared time-domain spectroscopy with terahertz beams of dielectrics and semiconductors. J. Opt. Soc. Am. B Opt. Phys. 1990, 7, 2006–2015. [Google Scholar] [CrossRef]
- Huber, R.; Brodschelm, A.; Tauser, F.; Leitenstorfer, A. Generation and field-resolved detection of femtosecond electromagnetic pulses tunable up to 41 THz. Appl. Phys. Lett. 2000, 76, 3191–3193. [Google Scholar] [CrossRef]
- Carrig, T.J.; Rodriguez, G.; Clement, T.S.; Taylor, A.; Stewart, K.R. Scaling of terahertz radiation via optical rectification in electro-optic crystals. Appl. Phys. Lett. 1995, 66, 121–123. [Google Scholar] [CrossRef]
- Jazbinsek, M.; Puc, U.; Abina, A.; Zidansek, A. Organic crystals for THz photonics. Appl. Sci. 2019, 9, 882. [Google Scholar] [CrossRef]
- Vidal, S.; Degert, J.; Tondusson, M.; Oberlé, J.; Freysz, E. Impact of dispersion, free carriers, and two-photon absorption on the generation of intense terahertz pulses in ZnTe crystals. Appl. Phys. Lett. 2011, 98, 191103. [Google Scholar] [CrossRef]
- Jewariya, M.; Nagai, M.; Tanaka, K. Enhancement of terahertz wave generation by cascaded χ(2) processes in LiNbO3. J. Opt. Soc. Am. B Opt. Phys. 2009, 26, A101–A106. [Google Scholar] [CrossRef]
- Ravi, K.; Huang, W.R.; Carbajo, S.; Wu, X.; Kärtner, F. Limitations to THz generation by optical rectification using tilted pulse fronts. Opt. Express 2014, 22, 20239–20251. [Google Scholar] [CrossRef]
- Pálfalvi, L.; Hebling, J.; Almási, G.; Péter, Á.; Polgár, K.; Lengyel, K.; Szipöcs, R. Nonlinear refraction and absorption of Mg doped stoichiometric and congruent LiNbO3. J. Appl. Phys. 2004, 95, 902–908. [Google Scholar] [CrossRef]
- Tian, Z.; Wang, C.; Xing, Q.; Gu, J.; Li, Y.; He, M.; Chai, L.; Wang, Q.; Zhang, W. Quantitative analysis of Kerr nonlinearity and Kerr-like nonlinearity induced via terahertz generation in ZnTe. Appl. Phys. Lett. 2008, 92, 041106. [Google Scholar] [CrossRef]
- Zhang, X.C.; Ma, X.; Jin, Y.; Lu, T.M.; Boden, E.; Phelps, P.; Stewart, K.; Yakymyshyn, C. Terahertz optical rectification from a nonlinear organic crystal. Appl. Phys. Lett. 1992, 61, 3080–3082. [Google Scholar] [CrossRef]
- Han, P.; Tani, M.; Pan, F.; Zhang, X.C. Use of the organic crystal DAST for terahertz beam applications. Opt. Lett. 2000, 25, 675–677. [Google Scholar] [CrossRef]
- Walther, M.; Jensby, K.; Keiding, S.R.; Takahashi, H.; Ito, H. Far-infrared properties of DAST. Opt. Lett. 2000, 25, 911–913. [Google Scholar] [CrossRef]
- Hauri, C.P.; Ruchert, C.; Vicario, C.; Ardana, F. Strong-field single-cycle THz pulses generated in an organic crystal. Appl. Phys. Lett. 2011, 99, 161116. [Google Scholar] [CrossRef]
- Stillhart, M.; Schneider, A.; Günter, P. Optical properties of 4-N,N-dimethylamino-4′-N′-methyl-stilbazolium 2,4,6-trimethylbenzenesulfonate crystals at terahertz frequencies. J. Opt. Soc. Am. B Opt. Phys. 2008, 25, 1914–1919. [Google Scholar] [CrossRef]
- Somma, C.; Folpini, G.; Gupta, J.; Reimann, K.; Woerner, M.; Elsaesser, T. Ultra-broadband terahertz pulses generated in the organic crystal DSTMS. Opt. Lett. 2015, 40, 3404–3407. [Google Scholar] [CrossRef] [PubMed]
- Vicario, C.; Monoszlai, B.; Hauri, C.P. GV/m single-cycle terahertz fields from a laser-driven large-size partitioned organic crystal. Phys. Rev. Lett. 2014, 112, 213901. [Google Scholar] [CrossRef]
- Brunner, F.D.; Kwon, O.P.; Kwon, S.J.; Jazbinšek, M.; Schneider, A.; Günter, P. A hydrogen-bonded organic nonlinear optical crystal for high-efficiency terahertz generation and detection. Opt. Express 2008, 16, 16496–16508. [Google Scholar] [CrossRef]
- Miyamoto, K.; Ohno, S.; Fujiwara, M.; Minamide, H.; Hashimoto, H.; Ito, H. Optimized terahertz-wave generation using BNA-DFG. Opt. Express 2009, 17, 14832–14838. [Google Scholar] [CrossRef]
- Shalaby, M.; Vicario, C.; Thirupugalmani, K.; Brahadeeswaran, S.; Hauri, C.P. Intense THz source based on BNA organic crystal pumped at Ti: Sapphire wavelength. Opt. Lett. 2016, 41, 1777–1780. [Google Scholar] [CrossRef]
- Sanjuan, F.; Gaborit, G.; Coutaz, J.L. Terahertz generation by optical rectification in sugar crystal. J. Infrared Millimeter Terahertz Waves 2021, 42, 525–536. [Google Scholar] [CrossRef]
- Tangen, I.C.; Valdivia-Berroeta, G.A.; Heki, L.K.; Zaccardi, Z.B.; Jackson, E.W.; Bahr, C.B.; Ho, S.-H.; Michaelis, D.J.; Johnson, J.A. Comprehensive characterization of terahertz generation with the organic crystal BNA. J. Opt. Soc. Am. B Opt. Phys. 2021, 38, 2780–2785. [Google Scholar] [CrossRef]
- Valdivia-Berroeta, G.A.; Kenney, K.C.; Jackson, E.W.; Zaccardi, Z.; Tangen, I.C.; Bahr, C.B.; Ho, S.H.; Rader, C.; Smith, S.J.; Michaelis, D.J.; et al. Terahertz generation of two methoxy stilbazolium crystals: MBST and MBSC. Opt. Mater. 2021, 117, 111119. [Google Scholar] [CrossRef]
- Valdivia-Berroeta, G.A.; Tangen, I.C.; Bahr, C.B.; Kenney, K.C.; Jackson, E.W.; DeLagange, J.; Michaelis, D.J.; Johnson, J.A. Crystal Growth, Tetrahertz Generation, and Optical Characterization of EHPSI-4NBS. J. Phys. Chem. C 2021, 125, 16097–16102. [Google Scholar] [CrossRef]
- Brunner, F.D.; Schneider, A.; Günter, P. Velocity-matched terahertz generation by optical rectification in an organic nonlinear optical crystal using a Ti: Sapphire laser. Appl. Phys. Lett. 2009, 94, 061119. [Google Scholar] [CrossRef]
- Lee, S.C.; Kang, B.J.; Koo, M.J.; Lee, S.H.; Han, J.H.; Choi, J.Y.; Kim, W.T.; Jazbinsek, M.; Yun, H.; Kim, D.; et al. New electro-optic salt crystals for efficient terahertz wave generation by direct pumping at Ti: Sapphire wavelength. Adv. Opt. Mater. 2017, 5, 1600758. [Google Scholar] [CrossRef]
- Jeong, C.U.; Kang, B.J.; Lee, S.H.; Lee, S.C.; Kim, W.T.; Jazbinsek, M.; Yoon, W.; Yun, H.; Kim, D.; Rotermund, F.; et al. Yellow-Colored Electro-Optic Crystals as Intense Terahertz Wave Sources. Adv. Funct. Mater. 2018, 28, 1801143. [Google Scholar] [CrossRef]
- Kim, D.; Kim, W.T.; Han, J.H.; Lee, J.A.; Lee, S.H.; Kang, B.J.; Jazbinsek, M.; Yoon, W.; Yun, H.; Kim, D.; et al. Wide-bandgap organic crystals: Enhanced optical-to-terahertz nonlinear frequency conversion at near-infrared pumping. Adv. Opt. Mater. 2020, 8, 1902099. [Google Scholar] [CrossRef]
- Shalaby, M.; Hauri, C.P. Demonstration of a low-frequency three-dimensional terahertz bullet with extreme brightness. Nat. Commun. 2015, 6, 5976. [Google Scholar] [CrossRef]
- Vicario, C.; Jazbinsek, M.; Ovchinnikov, A.; Chefonov, O.; Ashitkov, S.; Agranat, M.; Hauri, C. High efficiency THz generation in DSTMS, DAST and OH1 pumped by Cr: Forsterite laser. Opt. Express 2015, 23, 4573–4580. [Google Scholar] [CrossRef]
- Vicario, C.; Ovchinnikov, A.; Ashitkov, S.; Agranat, M.; Fortov, V.; Hauri, C. Generation of 0.9-mJ THz pulses in DSTMS pumped by a Cr:Mg2SiO4 laser. Opt. Lett. 2014, 39, 6632–6635. [Google Scholar] [CrossRef]
- Agranat, M.; Chefonov, O.; Ovchinnikov, A.; Ashitkov, S.; Fortov, V.; Kondratenko, P. Damage in a thin metal film by high-power terahertz radiation. Phys. Rev. Lett. 2018, 120, 085704. [Google Scholar] [CrossRef]
- Sutherland, R.L. Handbook of Nonlinear Optics; CRC Press: Boca Raton, FL, USA, 2003. [Google Scholar]
- Bridges, T.; Strnad, A. Submillimeter Wave Generation by Difference-Frequency Mixing in GaAs. Appl. Phys. Lett. 1972, 20, 382–384. [Google Scholar] [CrossRef]
- Zernike, F. Temperature-dependent phase matching for far-infrared difference-frequency generation in InSb. Phys. Rev. Lett. 1969, 22, 931. [Google Scholar] [CrossRef]
- Aggarwal, R.; Lax, B.; Favrot, G. Noncollinear phase matching in GaAs. Appl. Phys. Lett. 1973, 22, 329–330. [Google Scholar] [CrossRef]
- Lax, B.; Aggarwal, R.; Favrot, G. Far-infrared step-tunable coherent radiation source: 70 µm to 2 mm. Appl. Phys. Lett. 1973, 23, 679–681. [Google Scholar] [CrossRef]
- Mei, J.; Zhong, K.; Wang, M.; Liu, Y.; Xu, D.; Shi, W.; Wang, Y.; Yao, J.; Norwood, R.A.; Peyghambarian, N. Widely-tunable high-repetition-rate terahertz generation in GaSe with a compact dual-wavelength KTP OPO around 2 µm. Opt. Express 2016, 24, 23368–23375. [Google Scholar] [CrossRef] [PubMed]
- Sato, Y.; Nakajima, M.; Tang, C.; Watanabe, K.; Tanabe, T.; Oyama, Y. Phase-matching condition for THz wave generation via difference frequency generation using InxGa 1-xSe mixed crystals. Opt. Express 2020, 28, 20888–20897. [Google Scholar] [CrossRef]
- Sato, Y.; Tang, C.; Watanabe, K.; Ohsaki, J.; Yamamoto, T.; Tezuka, N.; Tanabe, T.; Oyama, Y. Terahertz wave generation via difference frequency generation using 2D InxGa 1-xSe crystal grown from indium flux. Opt. Express 2020, 28, 472–477. [Google Scholar] [CrossRef]
- Shi, W.; Ding, Y.J.; Fernelius, N.; Vodopyanov, K. Efficient, tunable, and coherent 0.18–5.27-THz source based on GaSe crystal. Opt. Lett. 2002, 27, 1454–1456. [Google Scholar] [CrossRef]
- Shi, W.; Ding, Y.J. A monochromatic and high-power terahertz source tunable in the ranges of 2.7–38.4 and 58.2–3540 µm for variety of potential applications. Appl. Phys. Lett. 2004, 84, 1635–1637. [Google Scholar] [CrossRef]
- Shi, W.; Ding, Y.J. Generation of backward terahertz waves in GaSe crystals. Opt. Lett. 2005, 30, 1861–1863. [Google Scholar] [CrossRef]
- Yan, D.; Wang, Y.; Xu, D.; Liu, P.; Yan, C.; Shi, J.; Liu, H.; He, Y.; Tang, L.; Feng, J.; et al. High-average-power, high-repetition-rate tunable terahertz difference frequency generation with GaSe crystal pumped by 2 µm dual-wavelength intracavity KTP optical parametric oscillator. Photonics Res. 2017, 5, 82–87. [Google Scholar] [CrossRef]
- Jiang, Y.; Ding, Y.J. Efficient terahertz generation from two collinearly propagating CO2 laser pulses. Appl. Phys. Lett. 2007, 91, 091108. [Google Scholar] [CrossRef]
- Creeden, D.; McCarthy, J.C.; Ketteridge, P.A.; Southward, T.; Schunemann, P.G.; Komiak, J.J.; Dove, W.; Chicklis, E.P. Compact fiber-pumped terahertz source based on difference frequency mixing in ZGP. IEEE J. Sel. Top. Quant. Electron. 2007, 13, 732–737. [Google Scholar] [CrossRef]
- Gribenyukov, A.; Demin, V.; Polovtsev, I.; Yudin, N. Principles of creation of a tunable terahertz laser with lasing at a difference frequency in a nonlinear ZnGeP2 optical crystal. J. Opt. Technol. 2018, 85, 322–325. [Google Scholar] [CrossRef]
- Liu, P.; Zhang, X.; Yan, C.; Xu, D.; Li, Y.; Shi, W.; Zhang, G.; Zhang, X.; Yao, J.; Wu, Y. Widely tunable and monochromatic terahertz difference frequency generation with organic crystal 2-(3-(4-hydroxystyryl)-5,5-dime-thylcyclohex-2-enylidene) malononitrile. Appl. Phys. Lett. 2016, 108, 011104. [Google Scholar]
- Dolasinski, B.; Powers, P.E.; Haus, J.W.; Cooney, A. Tunable narrow band difference frequency THz wave generation in DAST via dual seed PPLN OPG. Opt. Express 2015, 23, 3669–3680. [Google Scholar] [CrossRef]
- Koichi, M.; Miyamoto, K.; Ujita, S.; Saito, T.; Ito, H.; Omatsu, T. Dual-frequency picosecond optical parametric generator pumped by a Nd-doped vanadate bounce laser. Opt. Express 2011, 19, 18523–18528. [Google Scholar] [CrossRef]
- He, Y.; Wang, Y.; Xu, D.; Nie, M.; Yan, C.; Tang, L.; Shi, J.; Feng, J.; Yan, D.; Liu, H.; et al. High-energy and ultra-wideband tunable terahertz source with DAST crystal via difference frequency generation. Appl. Phys. B 2018, 124, 16. [Google Scholar] [CrossRef]
- Notake, T.; Nawata, K.; Kawamata, H.; Matsukawa, T.; Qi, F.; Minamide, H. Development of an ultra-widely tunable DFG-THz source with switching between organic nonlinear crystals pumped with a dual-wavelength BBO optical parametric oscillator. Opt. Express 2012, 20, 25850–25857. [Google Scholar] [CrossRef]
- Liu, P.; Xu, D.; Li, Y.; Zhang, X.; Wang, Y.; Yao, J.; Wu, Y. Widely tunable and monochromatic terahertz difference frequency generation with organic crystal DSTMS. Europhys. Lett. 2014, 106, 60001. [Google Scholar] [CrossRef]
- Brenier, A. Two-frequency pulsed YLiF4: Nd lasing out of the principal axes and THz generation. Opt. Lett. 2015, 40, 4496–4499. [Google Scholar] [CrossRef]
- Majkić, A.; Zgonik, M.; Petelin, A.; Jazbinšek, M.; Ruiz, B.; Medrano, C.; Günter, P. Terahertz source at 9.4 THz based on a dual-wavelength infrared laser and quasi-phase matching in organic crystals OH1. Appl. Phys. Lett. 2014, 105, 141115. [Google Scholar] [CrossRef]
- Armstrong, J.; Bloembergen, N.; Ducuing, J.; Pershan, P.S. Interactions between light waves in a nonlinear dielectric. Phys. Rev. 1962, 127, 1918. [Google Scholar] [CrossRef]
- Tomita, I.; Suzuki, H.; Ito, H.; Takenouchi, H.; Ajito, K.; Rungsawang, R.; Ueno, Y. Terahertz-wave generation from quasi-phase-matched GaP for 1.55 μm pumping. Appl. Phys. Lett. 2006, 88, 071118. [Google Scholar] [CrossRef]
- Schaar, J.E.; Vodopyanov, K.L.; Kuo, P.S.; Fejer, M.M.; Yu, X.; Lin, A.; Harris, J.S.; Bliss, D.; Lynch, C.; Kozlov, V.G.; et al. Terahertz sources based on intracavity parametric down-conversion in quasi-phase-matched gallium arsenide. IEEE J. Sel. Top. Quant. Electron. 2008, 14, 354–362. [Google Scholar] [CrossRef]
- Vodopyanov, K.; Fejer, M.; Yu, X.; Harris, J.; Lee, Y.S.; Hurlbut, W.C.; Kozlov, V.; Bliss, D.; Lynch, C. Terahertz-wave generation in quasi-phase-matched GaAs. Appl. Phys. Lett. 2006, 89, 141119. [Google Scholar] [CrossRef]
- Denisyuk, I.; Ozheredov, I.; Fokina, M.; Ignateva, I.; Sinko, A. Terahertz proprieties of polymers for 2D nonlinear grating formation. J. Infrared Millimeter Terahertz Waves 2022, accepted. [Google Scholar]
- Hebling, J.; Stepanov, A.; Almási, G.; Bartal, B.; Kuhl, J. Tunable THz pulse generation by optical rectification of ultrashort laser pulses with tilted pulse fronts. Appl. Phys. B 2004, 78, 593–599. [Google Scholar] [CrossRef]
- Johnston, W.D.J.; Kaminow, I.P. Contributions to optical nonlinearity in GaAs as determined from Raman scattering efficiencies. Phys. Rev. 1969, 188, 1209. [Google Scholar] [CrossRef]
- Hebling, J.; Yeh, K.L.; Hoffmann, M.C.; Bartal, B.; Nelson, K.A. Generation of high-power terahertz pulses by tilted-pulse-front excitation and their application possibilities. J. Opt. Soc. Am. B Opt. Phys. 2008, 25, B6–B19. [Google Scholar] [CrossRef]
- Sato, K.; Adachi, S. Optical properties of ZnTe. J. Appl. Phys. 1993, 73, 926–931. [Google Scholar] [CrossRef]
- Schall, M.; Walther, M.; Jepsen, P.U. Fundamental and second-order phonon processes in CdTe and ZnTe. Phys. Rev. B 2001, 64, 094301. [Google Scholar] [CrossRef]
- Vodopyanov, K.; Kulevskii, L. New dispersion relationships for GaSe in the 0.65–18 µm spectral region. Opt. Commun. 1995, 118, 375–378. [Google Scholar] [CrossRef]
- Piccioli, N.; Le Toullec, R.; Mejatty, M.; Balkanski, M. Refractive index of GaSe between 0.45 µm and 330 µm. Appl. Opt. 1977, 16, 1236–1238. [Google Scholar] [CrossRef] [PubMed]
- Sokolov, V.; Subashiev, V. Linear electro-optical effect in GaSe. Sov. Phys. Solid State 1972, 14, 178–183. [Google Scholar]
- Palik, E.D. Handbook of Optical Constants of Solids; Academic Press: Cambridge, MA, USA, 1998; Volume 3. [Google Scholar]
- Nelson, D.; Turner, E. Electro-optic and piezoelectric coefficients and refractive index of Gallium Phosphide. J. Appl. Phys. 1968, 39, 3337–3343. [Google Scholar] [CrossRef]
- Jundt, D.H.; Fejer, M.M.; Byer, R.L. Optical properties of lithium-rich lithium niobate fabricated by vapor transport equilibration. IEEE J. Quant. Electron. 1990, 26, 135–138. [Google Scholar] [CrossRef]
- Schall, M.; Helm, H.; Keiding, S. Far infrared properties of electro-optic crystals measured by THz time-domain spectroscopy. Int. J. Infrared Millim. Waves 1999, 20, 595–604. [Google Scholar] [CrossRef]
- Bruner, A.; Eger, D.; Oron, M.B.; Blau, P.; Katz, M.; Ruschin, S. Temperature-dependent Sellmeier equation for the refractive index of stoichiometric lithium tantalate. Opt. Lett. 2003, 28, 194–196. [Google Scholar] [CrossRef] [PubMed]
- Pan, F.; Knöpfle, G.; Bosshard, C.; Follonier, S.; Spreiter, R.; Wong, M.; Günter, P. Electro-optic properties of the organic salt 4-N, N-dimethylamino-4′-N′-methyl-stilbazolium tosylate. Appl. Phys. Lett. 1996, 69, 13–15. [Google Scholar] [CrossRef]
- Cunningham, P.D.; Hayden, L.M. Optical properties of DAST in the THz range. Opt. Express 2010, 18, 23620–23625. [Google Scholar] [CrossRef] [PubMed]
- Mutter, L.; Brunner, F.D.; Yang, Z.; Jazbinšek, M.; Günter, P. Linear and nonlinear optical properties of the organic crystal DSTMS. J. Opt. Soc. Am. B Opt. Phys. 2007, 24, 2556–2561. [Google Scholar] [CrossRef]
- Hunziker, C.; Kwon, S.J.; Figi, H.; Juvalta, F.; Kwon, O.P.; Jazbinsek, M.; Günter, P. Configurationally locked, phenolic polyene organic crystal 2-{3-(4-hydroxystyryl)-5, 5-dimethylcyclohex-2-enylidene} malononitrile: Linear and nonlinear optical properties. J. Opt. Soc. Am. B Opt. Phys. 2008, 25, 1678–1683. [Google Scholar] [CrossRef]
- Fujiwara, M.; Maruyama, M.; Sugisaki, M.; Takahashi, H.; Aoshima, S.I.; Cogdell, R.J.; Hashimoto, H. Determination of the d-tensor components of a single crystal of N-benzyl-2-methyl-4-nitroaniline. Jpn. J. Appl. Phys. 2007, 46, 1528. [Google Scholar] [CrossRef]
- Wang, Z.; Sun, W.; Chen, A.; Kosilkin, I.; Bale, D.; Dalton, L.R. Organic electro-optic thin films by simultaneous vacuum deposition and laser-assisted poling. Opt. Lett. 2011, 36, 2853–2855. [Google Scholar] [CrossRef] [PubMed]
- Zyss, J.; Oudar, J. Relations between microscopic and macroscopic lowest-order optical nonlinearities of molecular crystals with one-or two-dimensional units. Phys. Rev. A 1982, 26, 2028. [Google Scholar] [CrossRef]
- Chemla, D.S.; Zyss, J. Nonlinear Optical Properties of Organic Molecules and Crystals; Elsevier: Amsterdam, The Netherlands, 2012. [Google Scholar]
- Günter, P. Nonlinear Optical Effects and Materials; Springer: Berlin/Heidelberg, Germany, 2012; Volume 72. [Google Scholar]
- Huang, K. On the interaction between the radiation field and ionic crystals. Proc. R. Soc. Lond. Ser. A Math. Phys. Sci. 1951, 208, 352–365. [Google Scholar]
- Kleinman, D. Nonlinear dielectric polarization in optical media. Phys. Rev. 1962, 126, 1977. [Google Scholar] [CrossRef]
- Miller, R.C. Optical second harmonic generation in piezoelectric crystals. Appl. Phys. Lett. 1964, 5, 17–19. [Google Scholar] [CrossRef]
- Garrett, C.; Robinson, F. Miller’s phenomenological rule for computing nonlinear susceptibilities. IEEE J. Quant. Electron. 1966, 2, 328–329. [Google Scholar] [CrossRef]
- Bell, M. Frequency dependence of Miller’s Rule for nonlinear susceptibilities. Phys. Rev. B 1972, 6, 516. [Google Scholar] [CrossRef]
- Fong, C.; Shen, Y. Theoretical studies on the dispersion of the nonlinear optical susceptibilities in GaAs, InAs, and InSb. Phys. Rev. B 1975, 12, 2325. [Google Scholar] [CrossRef]
- Ettoumi, W.; Petit, Y.; Kasparian, J.; Wolf, J.P. Generalized miller formulæ. Opt. Express 2010, 18, 6613–6620. [Google Scholar] [CrossRef] [PubMed]
- Zhang, X.C.; Jin, Y.; Yang, K.; Schowalter, L. Resonant nonlinear susceptibility near the GaAs band gap. Phys. Rev. Lett. 1992, 69, 2303. [Google Scholar] [CrossRef]
- Zhang, X.C.; Jin, Y.; Ware, K.; Ma, X.; Rice, A.; Bliss, D.; Larkin, J.; Alexander, M. Difference-frequency generation and sum-frequency generation near the band gap of zincblende crystals. Appl. Phys. Lett. 1994, 64, 622–624. [Google Scholar] [CrossRef]
- Xie, X.; Xu, J.; Zhang, X.C. Terahertz wave generation and detection from a CdTe crystal characterized by different excitation wavelengths. Opt. Lett. 2006, 31, 978–980. [Google Scholar] [CrossRef]
- Arlauskas, A.; Krotkus, A. THz excitation spectra of AIIIBV semiconductors. Semicond. Sci. Technol. 2012, 27, 115015. [Google Scholar] [CrossRef]
- Norkus, R.; Nevinskas, I.; Krotkus, A. Terahertz emission from a bulk GaSe crystal excited by above bandgap photons. J. Appl. Phys. 2020, 128, 225701. [Google Scholar] [CrossRef]
- Zhai, D.; Hérault, E.; Garet, F.; Coutaz, J.L. Terahertz generation from ZnTe optically pumped above and below the bandgap. Opt. Express 2021, 29, 17491–17498. [Google Scholar] [CrossRef] [PubMed]
- Zhai, D.; Hérault, E.; Garet, F.; Pasiskevicius, V.; Laurell, F.; Coutaz, J.L. Two-photon-absorption enhanced terahertz generation from KTP optically pumped in the visible-to-UV range. Opt. Express 2021, 29, 37683–37694. [Google Scholar] [CrossRef] [PubMed]
- Zeiger, H.; Vidal, J.; Cheng, T.; Ippen, E.; Dresselhaus, G.; Dresselhaus, M. Theory for displacive excitation of coherent phonons. Phys. Rev. B 1992, 45, 768. [Google Scholar] [CrossRef]
- Merlin, R. Generating coherent THz phonons with light pulses. Solid State Commun. 1997, 102, 207–220. [Google Scholar] [CrossRef]
- Cheng, T.; Vidal, J.; Zeiger, H.; Dresselhaus, G.; Dresselhaus, M.; Ippen, E. Mechanism for displacive excitation of coherent phonons in Sb, Bi, Te, and Ti2O3. Appl. Phys. Lett. 1991, 59, 1923–1925. [Google Scholar] [CrossRef]
- Thouin, F.; Valverde-Chávez, D.A.; Quarti, C.; Cortecchia, D.; Bargigia, I.; Beljonne, D.; Petrozza, A.; Silva, C.; Srimath Kandada, A.R. Phonon coherences reveal the polaronic character of excitons in two-dimensional lead halide perovskites. Nat. Mater. 2019, 18, 349–356. [Google Scholar] [CrossRef] [PubMed]
- Tani, M.; Fukasawa, R.; Abe, H.; Matsuura, S.; Sakai, K.; Nakashima, S. Terahertz radiation from coherent phonons excited in semiconductors. J. Appl. Phys. 1998, 83, 2473–2477. [Google Scholar] [CrossRef]
- Gu, P.; Tani, M.; Sakai, K.; Yang, T.R. Detection of terahertz radiation from longitudinal optical phonon–plasmon coupling modes in InSb film using an ultrabroadband photoconductive antenna. Appl. Phys. Lett. 2000, 77, 1798–1800. [Google Scholar] [CrossRef]
- Hasselbeck, M.P.; Schlie, L.; Stalnaker, D. Emission of electromagnetic radiation by coherent vibrational wavesin stimulated Raman scattering. Appl. Phys. Lett. 2004, 85, 173–175. [Google Scholar] [CrossRef]
- Boyd, G.; Bridges, T.; Pollack, M.; Turner, E. Microwave nonlinear susceptibilities due to electronic and ionic anharmonicities in acentric crystals. Phys. Rev. Lett. 1971, 26, 387. [Google Scholar] [CrossRef]
- Faust, W.; Henry, C.H. Mixing of visible and near-resonance infrared light in GaP. Phys. Rev. Lett. 1966, 17, 1265. [Google Scholar] [CrossRef]
- Faust, W.; Henry, C.; Eick, R. Dispersion in the nonlinear susceptibility of GaP near the reststrahl band. Phys. Rev. 1968, 173, 781. [Google Scholar] [CrossRef]
- Casalbuoni, S.; Schlarb, H.; Schmidt, B.; Schmüser, P.; Steffen, B.; Winter, A. Numerical studies on the electro-optic detection of femtosecond electron bunches. Phys. Rev. Accel. Beams 2008, 11, 072802. [Google Scholar] [CrossRef]
- Ding, Y.J. Efficient generation of high-frequency terahertz waves from highly lossy second-order nonlinear medium at polariton resonance under transverse-pumping geometry. Opt. Lett. 2010, 35, 262–264. [Google Scholar] [CrossRef] [PubMed]
- Cherchi, M.; Taormina, A.; Busacca, A.C.; Oliveri, R.L.; Bivona, S.; Cino, A.C.; Stivala, S.; Sanseverino, S.R.; Leone, C. Exploiting the optical quadratic nonlinearity of zinc-blende semiconductors for guided-wave terahertz generation: A material comparison. IEEE J. Quant. Electron. 2010, 46, 368–376. [Google Scholar]
- Carnio, B.; Elezzabi, A. An extensive finite-difference time-domain formalism for second-order nonlinearities based on the Faust-Henry dispersion model: Application to terahertz generation. J. Infrared Millimeter Terahertz Waves 2020, 41, 291–298. [Google Scholar] [CrossRef]
- Takeya, K.; Takemoto, Y.; Kawayama, I.; Murakami, H.; Matsukawa, T.; Yoshimura, M.; Mori, Y.; Tonouchi, M. Terahertz emission from coherent phonons in lithium ternary chalcopyrite crystals illuminated by 1560 nm femtosecond laser pulses. EPL Europhys. Lett. 2010, 91, 20004. [Google Scholar] [CrossRef]
- Tu, C.M.; Ku, S.A.; Chu, W.C.; Luo, C.W.; Chen, J.C.; Chi, C.C. Pulsed terahertz radiation due to coherent phonon-polariton excitation in < 110> ZnTe crystal. J. Appl. Phys. 2012, 112, 093110. [Google Scholar]
- Takeda, R.; Kida, N.; Sotome, M.; Matsui, Y.; Okamoto, H. Circularly polarized narrowband terahertz radiation from a eulytite oxide by a pair of femtosecond laser pulses. Phys. Rev. A 2014, 89, 033832. [Google Scholar] [CrossRef]
- Sotome, M.; Kida, N.; Takeda, R.; Okamoto, H. Terahertz radiation induced by coherent phonon generation via impulsive stimulated Raman scattering in paratellurite. Phys. Rev. A 2014, 90, 033842. [Google Scholar] [CrossRef]
- Valverde-Chávez, D.A.; Cooke, D.G. Multi-cycle terahertz emission from β-barium borate. J. Infrared Millimeter Terahertz Waves 2017, 38, 96–103. [Google Scholar]
- Jang, D.; Kim, K.Y. Multicycle terahertz pulse generation by optical rectification in LiNbO3, LiTaO3, and BBO crystals. Opt. Express 2020, 28, 21220–21235. [Google Scholar]
- Hayashi, S.; Nawata, K.; Kawase, K.; Minamide, H. High-Brightness and Continuously Tunable Terahertz-Wave Generation. In High Power Laser Systems; IntechOpen: London, UK, 2018. [Google Scholar]
- Henry, C.; Garrett, C. Theory of parametric gain near a lattice resonance. Phys. Rev. 1968, 171, 1058. [Google Scholar]
- Piestrup, M.; Fleming, R.; Pantell, R. Continuously tunable submillimeter wave source. Appl. Phys. Lett. 1975, 26, 418–421. [Google Scholar]
- Kawase, K.; Sato, M.; Taniuchi, T.; Ito, H. Coherent tunable THz-wave generation from LiNbO3 with monolithic grating coupler. Appl. Phys. Lett. 1996, 68, 2483–2485. [Google Scholar]
- Wang, W.; Cong, Z.; Chen, X.; Zhang, X.; Qin, Z.; Tang, G.; Li, N.; Wang, C.; Lu, Q. Terahertz parametric oscillator based on KTiOPO4 crystal. Opt. Lett. 2014, 39, 3706–3709. [Google Scholar]
- Ortega, T.A.; Pask, H.M.; Spence, D.J.; Lee, A.J. Stimulated polariton scattering in an intracavity RbTiOPO4 crystal generating frequency-tunable THz output. Opt. Express 2016, 24, 10254–10264. [Google Scholar] [PubMed]
- Wang, W.; Cong, Z.; Liu, Z.; Zhang, X.; Qin, Z.; Tang, G.; Li, N.; Zhang, Y.; Lu, Q. THz-wave generation via stimulated polariton scattering in KTiOAsO4 crystal. Opt. Express 2014, 22, 17092–17098. [Google Scholar]
- Carnio, B.; Hopmann, E.; Zawilski, K.; Schunemann, P.; Elezzabi, A. Dependence on excitation polarization and crystal orientation for terahertz radiation generation in a BaGa4Se7 crystal. Opt. Express 2020, 28, 15016–15022. [Google Scholar]
- Carnio, B.; Zawilski, K.; Schunemann, P.; Elezzabi, A. Generation of narrowband terahertz radiation via phonon mode enhanced nonlinearities in a BaGa4Se7 crystal. Opt. Lett. 2020, 45, 4722–4725. [Google Scholar]
- Sinko, A.; Solyankin, P.; Kargovsky, A.; Manomenova, V.; Rudneva, E.; Kozlova, N.; Sorokina, N.; Minakov, F.; Kuznetsov, S.; Nikolaev, N.; et al. A monoclinic semiorganic molecular crystal GUHP for terahertz photonics and optoelectronics. Sci. Rep. 2021, 11, 23433. [Google Scholar]
- Vainshtein, B.K.; Fridkin, V.M.; Indenbom, V.L. Modern Crystallography II: Structure of Crystals; Springer: Berlin/Heidelberg, Germany, 1982; Volume 21. [Google Scholar]
- Kuz’mina, L.; Vedernikov, A.; Gromov, S.; Alfimov, M. Crystallographic Approach to the [2 + 2] Photocycloaddition Topochemical Reactions of Unsaturated Compounds with Single Crystal Retention. Crystallogr. Rep. 2019, 64, 691–712. [Google Scholar]
- Atwood, J.L.; Steed, J.W. Supramolecular Chemistry; John Wiley & Sons: Hoboken, NJ, USA, 2009. [Google Scholar]
- Bernstein, J. Polymorphism in Molecular Crystals; Clarendon Press: Oxford, UK, 2007. [Google Scholar]
- Ruiz, B.; Jazbinsek, M.; Günter, P. Crystal growth of DAST. Cryst. Growth Des. 2008, 8, 4173–4184. [Google Scholar]
- Li, Y.; Zhang, J.; Zhang, G.; Wu, L.; Fu, P.; Wu, Y. Growth and characterization of DSTMS crystals. J. Cryst. Growth 2011, 327, 127–132. [Google Scholar]
- Kwon, S.J.; Jazbinsek, M.; Kwon, O.P.; Günter, P. Crystal growth and morphology control of OH1 organic electrooptic crystals. Cryst. Growth Des. 2010, 10, 1552–1558. [Google Scholar]
- Kalaivanan, R.; Srinivasan, K. Synthesis, growth and characterization of organic nonlinear optical material: N-benzyl-2-methyl-4-nitroaniline (BNA). Opt. Laser Technol. 2017, 90, 27–32. [Google Scholar]
- Kaminskii, A.; Becker, P.; Rhee, H.; Lux, O.; Kaltenbach, A.; Eichler, H.; Shirakawa, A.; Yoneda, H.; Němec, I.; Fridrichová, M.; et al. Stimulated Raman scattering in monoclinic non-centrosymmetric guanylurea (1+) hydrogen phosphite (GUHP). Phys. Status Solidi 2013, 250, 1837–1856. [Google Scholar]
- Marder, S.R.; Perry, J.W.; Schaefer, W.P. Synthesis of organic salts with large second-order optical nonlinearities. Science 1989, 245, 626–628. [Google Scholar]
- Vijay, R.J.; Melikechi, N.; Thomas, T.; Gunaseelan, R.; Arockiaraj, M.A.; Sagayaraj, P. Investigation on the growth of DAST crystals of large surface area for THz applications. Mater. Chem. Phys. 2012, 132, 610–617. [Google Scholar]
- Bing, T.; Shu-hua, W.; Ke, F.; Li-feng, C.; De-gao, Z.; Fei, Y.; Xue-jun, J.; Lun, H.; Qing, S. Crystal growth, quality characterization and THz properties of DAST crystals. Cryst. Res. Technol. 2014, 49, 943–947. [Google Scholar]
- Matsukawa, T.; Hoshina, H.; Hoshikawa, A.; Otani, C.; Ishigaki, T. Temperature dependence of crystal structure and THz absorption spectra of organic nonlinear optical stilbazolium material for high-output THz-wave generation. J. Infrared Millimeter Terahertz Waves 2016, 37, 540–550. [Google Scholar]
- Sivakumar, T.; Anbarasan, R.; Kalyana Sundar, J.; Anna Lakshmi, M. Enhancing the SHG effect of zinc chloride-doped DAST single crystals: New potential materials for nonlinear optical device applications. J. Mater. Sci. Mater. Electron. 2020, 31, 12943–12954. [Google Scholar]
- Yang, Z.; Mutter, L.; Stillhart, M.; Ruiz, B.; Aravazhi, S.; Jazbinsek, M.; Schneider, A.; Gramlich, V.; Günter, P. Large-size bulk and thin-film stilbazolium-salt single crystals for nonlinear optics and THz generation. Adv. Funct. Mater. 2007, 17, 2018–2023. [Google Scholar]
- Kolev, T.; Glavcheva, Z.; Yancheva, D.; SchuÈrmann, M.; Kleb, D.C.; Preut, H.; Bleckmann, P. 2-{3-[2-(4-Hydroxyphenyl) vinyl]-5, 5-dimethylcyclohex-2-en-1-ylidene} malononitrile. Acta Crystallogr. Sect. E Struct. Rep. Online 2001, 57, o561–o562. [Google Scholar]
- Kwon, O.P.; Kwon, S.J.; Jazbinsek, M.; Brunner, F.D.; Seo, J.I.; Hunziker, C.; Schneider, A.; Yun, H.; Lee, Y.S.; Günter, P. Organic Phenolic Configurationally Locked Polyene Single Crystals for Electro-optic and Terahertz Wave Applications. Adv. Funct. Mater. 2008, 18, 3242–3250. [Google Scholar]
- Jeong, J.H.; Kang, B.J.; Kim, J.S.; Jazbinsek, M.; Lee, S.H.; Lee, S.C.; Baek, I.H.; Yun, H.; Kim, J.; Lee, Y.S.; et al. High-power broadband organic THz generator. Sci. Rep. 2013, 3, 3200. [Google Scholar]
- Fujiwara, M.; Yanagi, K.; Maruyama, M.; Sugisaki, M.; Kuroyanagi, K.; Takahashi, H.; Aoshima, S.i.; Tsuchiya, Y.; Gall, A.; Hashimoto, H. Second order nonlinear optical properties of the single crystal of N-Benzyl 2-methyl-4-nitroaniline: Anomalous enhancement of the d333 component and its possible origin. Jpn. J. Appl. Phys. 2006, 45, 8676. [Google Scholar]
- Piela, K.; Turowska-Tyrk, I.; Drozd, M.; Szostak, M.M. Polymorphism and cold crystallization in optically nonlinear N-benzyl-2-methyl-4-nitroaniline crystal studied by X-ray diffraction, calorimetry and Raman spectroscopy. J. Mol. Struct. 2011, 991, 42–49. [Google Scholar]
- Notake, T.; Nawata, K.; Kawamata, H.; Matsukawa, T.; Minamide, H. Solution growth of high-quality organic N-benzyl-2-methyl-4-nitroaniline crystal for ultra-wideband tunable DFG-THz source. Opt. Mater. Express 2012, 2, 119–125. [Google Scholar]
- Horiuchi, S.; Kagawa, F.; Hatahara, K.; Kobayashi, K.; Kumai, R.; Murakami, Y.; Tokura, Y. Above-room-temperature ferroelectricity and antiferroelectricity in benzimidazoles. Nat. Commun. 2012, 3, 1308. [Google Scholar]
- Fridrichová, M.; Němec, I.; Císařová, I.; Němec, P. Guanylurea (1+) hydrogen phosphite: A novel promising phase-matchable material for second harmonic generation. CrystEngComm 2010, 12, 2054–2056. [Google Scholar]
- Kaminskii, A.; Manomenova, V.; Rudneva, E.; Sorokina, N.; Grebenev, V.; Kozlova, N.; Angeluts, A.; Ozheredov, I.; Solyankin, P.; Denisyuk, I.Y.; et al. The growth and properties of guanylurea hydrogen phosphite crystal. Crystallogr. Rep. 2019, 64, 669–677. [Google Scholar]
- Aroyo, M.I.; Perez-Mato, J.M.; Orobengoa, D.; Tasci, E.; de la Flor, G.; Kirov, A. Crystallography online: Bilbao crystallographic server. Bulg. Chem. Commun. 2011, 43, 183–197. [Google Scholar]
- Aroyo, M.I.; Perez-Mato, J.M.; Capillas, C.; Kroumova, E.; Ivantchev, S.; Madariaga, G.; Kirov, A.; Wondratschek, H. Bilbao Crystallographic Server: I. Databases and crystallographic computing programs. Z. Krist.-Cryst. Mater. 2006, 221, 15–27. [Google Scholar] [CrossRef]
- Aroyo, M.I.; Kirov, A.; Capillas, C.; Perez-Mato, J.; Wondratschek, H. Bilbao Crystallographic Server. II. Representations of crystallographic point groups and space groups. Acta Crystallogr. Sect. A Found. Crystallogr. 2006, 62, 115–128. [Google Scholar] [CrossRef] [PubMed]
- Pan, F.; Wong, M.S.; Bosshard, C.; Günter, P. Crystal growth and characterization of the organic salt 4-N, N-dimethylamino-4’-N-methyl-stilbazolium tosylate (dast). Adv. Mater. 1996, 8, 592–595. [Google Scholar] [CrossRef]
- Kosilkin, I.V.; Hillenbrand, E.A.; Tongwa, P.; Fonari, A.; Zazueta, J.; Fonari, M.S.; Antipin, M.; Dalton, L.R.; Timofeeva, T. Synthesis, structure, thermal and nonlinear optical properties of a series of novel D–π–A chromophores with varying alkoxy substituents. J. Mol. Struct. 2011, 1006, 356–365. [Google Scholar] [CrossRef]
- Menteşe, E.; Emirik, M.; Sökmen, B.B. Design, molecular docking and synthesis of novel 5, 6-dichloro-2-methyl-1H-benzimidazole derivatives as potential urease enzyme inhibitors. Bioorg. Chem. 2019, 86, 151–158. [Google Scholar] [CrossRef]
- Manetta, S.; Ehrensperger, M.; Bosshard, C.; Günter, P. Organic thin film crystal growth for nonlinear optics: Present methods and exploratory developments. Comptes Rendus Phys. 2002, 3, 449–462. [Google Scholar] [CrossRef]
- Hameed, A.H.; Yu, W.; Chen, Z.; Tai, C.; Lan, C. An investigation on the growth and characterization of DAST crystals grown by two zone growth technique. J. Cryst. Growth 2005, 282, 117–124. [Google Scholar] [CrossRef]
- Brahadeeswaran, S.; Onduka, S.; Takagi, M.; Takahashi, Y.; Adachi, H.; Kamimura, T.; Yoshimura, M.; Mori, Y.; Yoshida, K.; Sasaki, T. Twin-free and high-quality DAST crystals- effected through solutions of lower supersaturation coupled with isothermal solvent evaporation. Cryst. Growth Des. 2006, 6, 2463–2468. [Google Scholar] [CrossRef]
- Gunaseelan, R.; Raj, A.A.; Selvakumar, S.; Sagayaraj, P. Growth and characterization of 4-N, N-dimethylamino-4′N′-methylstilbazolium p-toluenesulphonate (DAST) crystal—A potential THz emitter. Sci. Acta Xaver. 2012, 3, 27–44. [Google Scholar]
- Cao, L.; Teng, B.; Feng, K.; Zhong, D.; Hao, L.; Sun, Q. Growth and defects of DAST crystal in high concentration solution. J. Cryst. Growth 2015, 412, 20–24. [Google Scholar] [CrossRef]
- Cao, L.; Teng, B.; Zhong, D.; Hao, L.; Sun, Q. Growth and characterization of DAST crystal with large-thickness. J. Cryst. Growth 2016, 451, 188–193. [Google Scholar] [CrossRef]
- Sun, Q.; Teng, B.; Cao, L.; Ji, S.; Zhong, D.; Hao, L.; Xu, H.; Zhao, Y. SEM, Chemical Etching and THz Wave Generation of 4-Dimethylamino-N-methyl-4-stilbazolium Tosylate (DAST) Single Crystals. Crystallogr. Rep. 2017, 62, 1182–1186. [Google Scholar] [CrossRef]
- You, F.; Wang, T.; Wang, Q.; Cao, L.; Zhong, D.; Ji, S.; Hao, L.; Teng, B.; Tang, J. Stable growth of large-size organic 4-N, N-dimethylamino-4′-N′-methyl-stilbazolium tosylate crystal and its optical, dielectric and THz properties. J. Mol. Struct. 2021, 1236, 130360. [Google Scholar] [CrossRef]
- Li, Y.; Wu, Z.; Zhang, X.; Wang, L.; Zhang, J.; Wu, Y. Crystal growth and terahertz wave generation of organic NLO crystals: OH1. J. Cryst. Growth 2014, 402, 53–59. [Google Scholar] [CrossRef]
- Hashimoto, H.; Okada, Y.; Fujimura, H.; Morioka, M.; Sugihara, O.; Okamoto, N.; Matsushima, R.M.R. Second-harmonic generation from single crystals of N-substituted 4-nitroanilines. Jpn. J. Appl. Phys. 1997, 36, 6754. [Google Scholar] [CrossRef]
- Mori, Y.; Takahashi, Y.; Iwai, T.; Yoshimura, M.; Yap, Y.K.; Sasaki, T. Slope nucleation method for the growth of high-quality 4-dimethylamino-methyl-4-stilbazolium-tosylate (DAST) crystals. Jpn. J. Appl. Phys. 2000, 39, L1006. [Google Scholar] [CrossRef]
- Jagannathan, K.; Kalainathan, S. Growth and characterization of 4-dimethylamino-N-methyl 4-stilbazolium tosylate (DAST) single crystals grown by nucleation reduction method. Mater. Res. Bull. 2007, 42, 1881–1887. [Google Scholar] [CrossRef]
- Sun, Z.; Chen, T.; Luo, J.; Hong, M. Nucleation kinetics and growth of high-quality DAST crystals with the aid of activated carbon as the adsorbent to micro-crystals in solutions. J. Cryst. Growth 2011, 328, 89–94. [Google Scholar] [CrossRef]
- Hameed, A.H.; Rohani, S.; Yu, W.; Tai, C.; Lan, C. Growth and characterization of a new chelating agent added 4-dimethylamino-N-methyl-4-stilbazolium tosylate (DAST) single crystals. Mater. Chem. Phys. 2007, 102, 60–66. [Google Scholar] [CrossRef]
- Hameed, A.H.; Yu, W.; Tai, C.; Lan, C. Effect of sodium toluene sulfonate on the nucleation, growth and characterization of DAST single crystals. J. Cryst. Growth 2006, 292, 510–514. [Google Scholar] [CrossRef]
- Matsukawa, T.; Yoshimura, M.; Takahashi, Y.; Takemoto, Y.; Takeya, K.; Kawayama, I.; Okada, S.; Tonouchi, M.; Kitaoka, Y.; Mori, Y.; et al. Bulk crystal growth of stilbazolium derivatives for terahertz waves generation. Jpn. J. Appl. Phys. 2010, 49, 075502. [Google Scholar] [CrossRef]
- Thomas, T.; Ramaclus, J.V.; Mena, F.P.; Mosquera, E.; Sagayaraj, P.; Michael, E.A. Influence of oleic acid on the nucleation and growth of 4-N, N-dimethylamino-4-N-methyl-stilbazoliumtosylate (DAST) crystals. CrystEngComm 2015, 17, 1989–1996. [Google Scholar] [CrossRef]
- Kwon, S.J.; Hunziker, C.; Kwon, O.P.; Jazbinsek, M.; Günter, P. Large-area organic electro-optic single crystalline thin films grown by evaporation-induced local supersaturation with surface interactions. Cryst. Growth Des. 2009, 9, 2512–2516. [Google Scholar] [CrossRef]
- Bharath, D.; Kalainathan, S. Dielectric, optical and mechanical studies of phenolic polyene OH1 organic electrooptic crystal. Opt. Laser Technol. 2014, 63, 90–97. [Google Scholar]
- Lee, S.H.; Jazbinsek, M.; Hauri, C.P.; Kwon, O.P. Recent progress in acentric core structures for highly efficient nonlinear optical crystals and their supramolecular interactions and terahertz applications. CrystEngComm 2016, 18, 7180–7203. [Google Scholar] [CrossRef]
- Karthick, S.; Santha, A.; Ganesh, D.; Thirupugalmani, K.; Ganesamoorthy, S.; Chaudhary, A.; Brahadeeswaran, S. Growth, spectral, laser damage and hirshfeld surface studies on configurationally locked 2-(3-(4-hydroxystyryl)-5, 5-dimethylcyclohex-2-enylidene) malononitrile (OH1) single crystal-A potential terahertz emitter. J. Mol. Struct. 2021, 1224, 129065. [Google Scholar] [CrossRef]
- Choi, E.Y.; Jazbinsek, M.; Kwon, O.P. Control of Nucleation of Organic Electrooptic Phenolic Polyene Crystals by Highly Polar Liquid Additive. Cryst. Growth Des. 2012, 12, 495–498. [Google Scholar] [CrossRef]
- Choi, E.Y.; Seo, J.Y.; Jazbinsek, M.; Kwon, O.P. Thickness control of highly efficient organic electro-optic phenolic polyene crystals by metal acetates. Cryst. Growth Des. 2009, 9, 4269–4272. [Google Scholar]
- Kuroyanagi, K.; Fujiwara, M.; Hashimoto, H.; Takahashi, H.; Aoshima, S.i.; Tsuchiya, Y. Determination of refractive indices and absorption coefficients of highly purified n-benzyl-2-methyl-4-nitroaniline crystal in terahertz frequency regime. Jpn. J. Appl. Phys. 2006, 45, L761. [Google Scholar] [CrossRef]
- Jagannathan, K.; Kalainathan, S.; Gnanasekaran, T. Microhardness studies on 4-dimethylamino-N-methyl 4-stilbazolium tosylate (DAST). Mater. Lett. 2007, 61, 4485–4488. [Google Scholar]
- Choudhury, R.; Chitra, R.; Makarova, I.; Manomenova, V.; Rudneva, E.; Voloshin, A.; Koldaeva, M. α-Nickel sulfate hexahydrate crystals: Relationship of growth conditions, crystal structure and properties. J. Appl. Crystallogr. 2019, 52, 1371–1377. [Google Scholar] [CrossRef]
- Koldaeva, M.; Turskaya, T.; Darinskaya, E. Magnetostimulated changes of microhardness in potassium acid phthalate crystals. Crystallogr. Rep. 2005, 50, 278–283. [Google Scholar] [CrossRef][Green Version]
- Darinskaya, E.V.; Koldaeva, M.V.; Alshits, V.I.; Pritula, I.; Voloshin, A. Relaxation kinetics of the microhardness of KDP crystals after their exposure to a magnetic field. JETP Lett. 2018, 108, 231–236. [Google Scholar] [CrossRef]
- Perry, J.W.; Marder, S.R.; Perry, K.J.; Sleva, E.T.; Yakymyshyn, C.P.; Stewart, K.R.; Boden, E.P. Organic salts with large electro-optic coefficients. In Proceedings of the Nonlinear Optical Properties of Organic Materials IV, San Diego, CA, USA, 21 July 1991; Volume 1560, pp. 302–309. [Google Scholar]
- Knöpfle, G.; Schlesser, R.; Ducrte, R.; Günter, P. Optical and nonlinear optical properties of 4’-dimethylamino-N-methyl-4-stilbazolium tosylate (DAST) crystals. Nonlinear Opt. 1995, 9, 143–149. [Google Scholar]
- Meier, U.; Bösch, M.; Bosshard, C.; Pan, F.; Günter, P. Parametric interactions in the organic salt 4-N, N-dimethylamino-4′-N′-methyl-stilbazolium tosylate at telecommunication wavelengths. J. Appl. Phys. 1998, 83, 3486–3489. [Google Scholar] [CrossRef]
- Arunkumar, K.; Kalainathan, S. Synthesis, growth and characterization of organic nonlinear optical single crystal 1, 3-bis (4-methoxyphenyl) prop-2-en-1-one (BMP) by vertical Bridgman technique. Opt. Laser Technol. 2017, 89, 143–150. [Google Scholar] [CrossRef]
- Manivannan, M.; Dhas, S.; Balakrishnan, M.; Jose, M. Study of optical and laser damage threshold in EDTA and DTPA-doped DAST single crystals. Appl. Phys. B 2018, 124, 166. [Google Scholar] [CrossRef]
- Takahashi, Y.; Onduka, S.; Brahadeeswaran, S.; Yoshimura, M.; Mori, Y.; Sasaki, T. Development of DAST crystals with high damage tolerance. Opt. Mater. 2007, 30, 116–118. [Google Scholar] [CrossRef]
- Monoszlai, B.; Vicario, C.; Jazbinsek, M.; Hauri, C. High-energy terahertz pulses from organic crystals: DAST and DSTMS pumped at Ti: Sapphire wavelength. Opt. Lett. 2013, 38, 5106–5109. [Google Scholar] [CrossRef]
- Gollner, C.; Shalaby, M.; Brodeur, C.; Astrauskas, I.; Jutas, R.; Constable, E.; Bergen, L.; Baltuška, A.; Pugžlys, A. Highly efficient THz generation by optical rectification of mid-IR pulses in DAST. APL Photonics 2021, 6, 046105. [Google Scholar] [CrossRef]
- Takahashi, Y.; Adachi, H.; Taniuchi, T.; Takagi, M.; Hosokawa, Y.; Onzuka, S.; Brahadeeswaran, S.; Yoshimura, M.; Mori, Y.; Masuhara, H.; et al. Organic nonlinear optical DAST crystals for electro-optic measurement and terahertz wave generation. J. Photochem. Photobiol. A Chem. 2006, 183, 247–252. [Google Scholar]
- Bharath, D.; Kalainathan, S.; Anbuselvi, D. Studies on linear and nonlinear optical properties of 4-N, N-dimethylamino-4′-N′-methyl-stilbazolium 2, 4, 6-trimethylbenzenesulfonate crystal. J. Mater. Sci. Mater. Electron. 2018, 29, 12813–12823. [Google Scholar]
- Montemezzani, G.; Alonzo, M.; Coda, V.; Jazbinsek, M.; Günter, P. Running electric field gratings for detection of coherent radiation. J. Opt. Soc. Am. B Opt. Phys. 2015, 32, 1078–1083. [Google Scholar] [CrossRef]
- Stepanov, A.G.; Ruchert, C.; Levallois, J.; Erny, C.; Hauri, C.P. Generation of broadband THz pulses in organic crystal OH1 at room temperature and 10 K. Opt. Mater. Express 2014, 4, 870–875. [Google Scholar]
- Brunner, F.D.; Lee, S.H.; Kwon, O.P.; Feurer, T. THz generation by optical rectification of near-infrared laser pulses in the organic nonlinear optical crystal HMQ-TMS. Opt. Mater. Express 2014, 4, 1586–1592. [Google Scholar] [CrossRef]
- Kang, B.J.; Lee, S.H.; Kim, W.T.; Lee, S.C.; Lee, K.; Benacchio, G.; Montemezzani, G.; Jazbinsek, M.; Kwon, O.P.; Rotermund, F. New class of efficient terahertz generators: Effective terahertz spectral filling by complementary tandem configuration of nonlinear organic crystals. Adv. Funct. Mater. 2018, 28, 1707195. [Google Scholar] [CrossRef]
- Buchmann, T.O.; Kelleher, E.J.; Kaltenecker, K.J.; Zhou, B.; Lee, S.H.; Kwon, O.P.; Jazbinsek, M.; Rotermund, F.; Jepsen, P.U. MHz-repetition-rate, sub-mW, multi-octave THz wave generation in HMQ-TMS. Opt. Express 2020, 28, 9631–9641. [Google Scholar] [CrossRef]
- Vicario, C.; Monoszlai, B.; Jazbinsek, M.; Lee, S.H.; Kwon, O.P.; Hauri, C. Intense, carrier frequency and bandwidth tunable quasi single-cycle pulses from an organic emitter covering the Terahertz frequency gap. Sci. Rep. 2015, 5, 14394. [Google Scholar]
- Rovere, A.; Jeong, Y.G.; Piccoli, R.; Lee, S.H.; Lee, S.C.; Kwon, O.P.; Jazbinsek, M.; Morandotti, R.; Razzari, L. Generation of high-field terahertz pulses in an HMQ-TMS organic crystal pumped by an ytterbium laser at 1030 nm. Opt. Express 2018, 26, 2509–2516. [Google Scholar]
- Bernerd, C.; Segonds, P.; Debray, J.; Notake, T.; Koyama, M.; Minamide, H.; Ito, H.; Boulanger, B. Quadratic nonlinear optical properties of the organic N-benzyl-2-methyl-4-nitroaniline (BNA) biaxial crystal. Opt. Lett. 2018, 43, 1818–1821. [Google Scholar]
- Notake, T.; Takeda, M.; Okada, S.; Hosobata, T.; Yamagata, Y.; Minamide, H. Characterization of all second-order nonlinear-optical coefficients of organic N-benzyl-2-methyl-4-nitroaniline crystal. Sci. Rep. 2019, 9, 14853. [Google Scholar] [CrossRef] [PubMed]
- Korn, D.; Jazbinsek, M.; Palmer, R.; Baier, M.; Alloatti, L.; Yu, H.; Bogaerts, W.; Lepage, G.; Verheyen, P.; Absil, P.; et al. Electro-optic organic crystal silicon high-speed modulator. IEEE Photonics J. 2014, 6, 2700109. [Google Scholar] [CrossRef]
- Roeder, F.; Shalaby, M.; Beleites, B.; Ronneberger, F.; Gopal, A. THz generation by optical rectification of intense near-infrared pulses in organic crystal BNA. Opt. Express 2020, 28, 36274–36285. [Google Scholar] [CrossRef] [PubMed]
- Zhao, H.; Tan, Y.; Wu, T.; Steinfeld, G.; Zhang, Y.; Zhang, C.; Zhang, L.; Shalaby, M. Efficient broadband terahertz generation from organic crystal BNA using near infrared pump. Appl. Phys. Lett. 2019, 114, 241101. [Google Scholar] [CrossRef]
- Miyamoto, K.; Minamide, H.; Fujiwara, M.; Hashimoto, H.; Ito, H. Widely tunable terahertz-wave generation using an N-benzyl-2-methyl-4-nitroaniline crystal. Opt. Lett. 2008, 33, 252–254. [Google Scholar] [CrossRef]
- Sotome, M.; Kida, N.; Horiuchi, S.; Okamoto, H. Narrowband terahertz radiation by impulsive stimulated Raman scattering in an above-room-temperature organic ferroelectric benzimidazole. Phys. Rev. A 2018, 98, 013843. [Google Scholar] [CrossRef]
- Fridrichová, M.; Kroupa, J.; Němec, I.; Císařová, I.; Chvostová, D. Guanylurea (1+) hydrogen phosphite: Study of linear and nonlinear optical properties. Phase Transitions 2010, 83, 761–767. [Google Scholar] [CrossRef]
- Sinko, A.S.; Ozheredov, I.A.; Solyankin, P.M.; Manomenova, V.L.; Rudneva, E.B.; Kozlova, N.N.; Voloshin, A.E.; Shkurinov, A.P. Molecular crystal (GUHP) for narrow-band pulsed THz generation with NIR femtosecond laser. In Proceedings of the 2021 46th International Conference on Infrared, Millimeter and Terahertz Waves (IRMMW-THz), Chengdu, China, 29 August–3 September 2021; pp. 1–2. [Google Scholar]
- Vidal, S.; Degert, J.; Tondusson, M.; Freysz, E.; Oberlé, J. Optimized terahertz generation via optical rectification in ZnTe crystals. J. Opt. Soc. Am. B Opt. Phys. 2014, 31, 149–153. [Google Scholar] [CrossRef]
- Nazarov, M.; Mukina, L.; Shuvaev, A.; Sapozhnikov, D.; Shkurinov, A.; Trofimov, V. Excitation and propagation of surface electromagnetic waves studied by terahertz spectrochronography. Laser Phys. Lett. 2005, 2, 471. [Google Scholar] [CrossRef]
Publisher’s Note: MDPI stays neutral with regard to jurisdictional claims in published maps and institutional affiliations. |
© 2022 by the authors. Licensee MDPI, Basel, Switzerland. This article is an open access article distributed under the terms and conditions of the Creative Commons Attribution (CC BY) license (https://creativecommons.org/licenses/by/4.0/).



















