Next Article in Journal
Supervisor Design for a Pressurized Reactor Unit in the Presence of Sensor and Actuator Faults
Previous Article in Journal
Uncertainty and Sensitivity of the Feature Selective Validation (FSV) Method
 
 
Font Type:
Arial Georgia Verdana
Font Size:
Aa Aa Aa
Line Spacing:
Column Width:
Background:
Article

Fusion Schemes Based on IRS-Enhanced Cooperative Spectrum Sensing for Cognitive Radio Networks

College of Communication and Information Engineering, Nanjing University of Posts and Telecommunications, Nanjing 210003, China
*
Author to whom correspondence should be addressed.
Electronics 2022, 11(16), 2533; https://doi.org/10.3390/electronics11162533
Submission received: 4 July 2022 / Revised: 29 July 2022 / Accepted: 11 August 2022 / Published: 13 August 2022
(This article belongs to the Section Microwave and Wireless Communications)

Abstract

:
The detection performance of cooperative spectrum sensing (CSS) is poor when there are obstacles blocking. Therefore, fusion schemes based on intelligent reflecting surface (IRS)-enhanced CSS are investigated. Existing fusion schemes can be divided into the soft combination and the hard combination. In the soft combination, each secondary user (SU) uploads the decision statistic to a fusion center (FC). Comparatively, during the hard combination, each SU reports the local 0/1 decision result to FC instead of decision statistic. In this paper, the equal gain combination (EGC) and the selection combination (SC) schemes are studied for the soft combination. The weighted hard combination (WHC) scheme is studied for the hard combination, and an optimal set combination (OSC) scheme is proposed based on signal-to-noise ratio (SNR). By using the definition of the non-centrality chi-square distribution and the moment-matching method, the closed-form expressions for the average probability of detection of all the schemes are derived. Simulation results reveal that the detection performance of IRS-enhanced CSS obviously outperforms the decode and forward (DF) relay case and the no IRS case. In addition, our proposed OSC are superior to the K-rank in terms of the detection performance.

1. Introduction

With the rapid development of wireless devices in recent years, the demand for spectrum resources is increasing. Today, most countries adopt the fixed spectrum assignment policy. Although it ensures the stable development of communication system, the spectrum utilization is poor [1]. Cognitive radio (CR) was proposed to tackle this issue [2]. Without interfering with the primary user (PU), CR can independently recognize and analyze the radio environment, and find and utilize the spectrum holes.
In a CR network (CRN), spectrum sensing is a critical front-end technology. It is utilized to observe the spectrum occupancy status and find the spectrum holes. There are three main ways for a single user to sense the spectrum, namely energy detection, matched filter detection, and cyclostationary feature detection [3]. Energy detection has high study value in the spectrum sensing since it is a type of blind sensing technique and has the lowest complexity. However, one SU cannot sense the PU accurately due to fading, shadowing and other effects. CSS was considered as one of the solutions to these problems.
In the CSS, local sensing information of all SUs are sent to the FC. FC obtains the final decision result by using a certain fusion scheme. The selection of fusion schemes will directly affect the detection performance of the CSS. The existing fusion schemes are mainly divided into the soft combination and the hard combination [4]. In the soft combination, each SU reports the decision statistic to FC. Comparatively, In the hard combination, each SU reports the local 0/1 decision result. The classic soft combination schemes are SC, EGC, and maximum ratio combination (MRC). The performance of the EGC is very close to the MRC, and it is simple to implement [5]. Therefore, this paper will not focus on the MRC scheme. The traditional hard schemes are AND, OR, and K-rank. The K-rank is an extension of the AND and the OR, so it has better applicability and higher research value [6].
In recent years, many works have been completed on the fusion schemes in the CSS. The authors mainly focused on the threshold of the fusion scheme in [7,8,9]. Adaptive threshold or multi-threshold was adopted to alleviate the poor detection performance of single fixed threshold under low SNR, but the cost of these schemes is much greater bandwidth and energy consumption. In [10,11], the authors combined weighting or node filtration with the hard combination to weaken the bad influence of low SNR SUs. In [5,12], the authors summarized the performance of the traditional hard and soft combination. However, the hard combination in their study was too simple, and none of the fusion schemes derived the closed-form expressions for the average probability of detection.
However, when there are obstacles blocking, the receiving SNR of all SUs is low. At this time, any improvements of the fusion scheme are hard to obtain the ideal detection performance. Recently, IRS has been envisioned and drawn significant attention. It can significantly enhance the signal strength for the following reasons: (1) IRS is a planar surface with massive passive reflecting elements. The amplitude and/or phase of the incident signal can be adjusted by controlling different elements [13]; (2) proper deployment of the IRS can help create virtual line-of-sight (LoS) links between the PU and SUs [13]; (3) IRS is able to achieve passive reflection without incurring any noise amplification [14]. Therefore, IRS-assisted can significantly improve the SU’s perception of weak signals.
Currently, the study of IRS in spectrum sensing mainly focuses on the field of single SU system [15,16,17]. The authors in [15] exploited the large aperture and passive beamforming gains of IRS to boost the PU signal strength. The authors in [16] configured the IRS as a primary receiver to improve the detection performance. In [17], the authors have proposed an IRS-enhanced energy detection, but it mainly focuses on the single SU case. To the best of our knowledge, the study on IRS-enhanced CSS is still relatively scarce, and the detection performance of the related systems is unknown, so it is urgent to analyze and provide necessary theoretical guidance for actual design.
Thus, this paper studies fusion schemes based on IRS-enhanced CSS. The main contributions of this paper are summarized as follows.
  • The fusion schemes in IRS-enhanced CSS are analyzed. The EGC and the SC schemes for the soft combination are studied. The WHC scheme and the OSC schemes for the hard combination are investigated;
  • An OSC scheme is proposed, which forms an optimal set based on each SU’s SNR to weaken the bad influence of low SNR SUs. The adjustable threshold makes the OSC have good applicability;
  • Each scheme considers both cases where there are or not direct links between the PU and all SUs. The closed-form expressions for the average probability of detection of all the schemes in both the cases are obtained;
  • Simulation results show that the IRS-enhanced CSS is superior to the benchmark schemes in terms of the detection performance. In addition, the detection performance of the OSC outperforms the K-rank.
The remaining parts are organized as follows. The system model of IRS-enhanced CSS is described in Section 2. Section 3 studies the EGC and the SC schemes for the soft combination. Section 4 studies the WHC and the OSC schemes for the hard combination. The simulation results are provided in Section 5. Finally, the conclusion is presented in Section 6.
Notation 1.
χ α 2 denotes the centrality chi-square distribution with α degree of freedom. χ α 2 ( v ) denotes the non-centrality chi-square distribution with non-centrality parameter v and α degree of freedom. N μ , σ 2 denotes the normal distribution with μ mean and σ 2 variance. R a y l e i g h b denotes the Rayleigh distribution with scale parameter b. G a m m a a , b denotes the Gamma distribution with shape parameter a and scale parameter b. e x p o n e n t i a l c denotes the Exponential distribution with mean waiting time c. p denotes the probability density function (PDF). E denotes the expectation of a random variable. V a r denotes the variance of a random variable.

2. System Model

As shown in Figure 1, an IRS-enhanced CSS is considered in a CRN. The network consists of an IRS with M × L passive reflective elements, a PU, a FC, and L SUs. The elements in the IRS are divided into L groups and each SU is served by M elements. Two cases are considered with or without direct links between the PU and the L SUs.
The channels from the PU to the k-th element in the i-th group, from the k-th element in the i-th group to the i-th SU (SUi) and from the PU to the SUi are denoted by h k , i , g k , i , and v i , respectively, where k { 1 , · · · , M } , i { 1 , · · · , L } . Since the channels between different elements and the PU are almost the same, the channel differences between different groups and the PU can be ignored, i.e., h k , i = h k . Rayleigh fading is used to model the channels. Thus, the corresponding channel-envelope h k R a y l e i g h β h , g k , i R a y l e i g h β g , i , v i R a y l e i g h β v , i , where β h , β g , i and β v , i are the path-loss coefficients.
Energy detection is adopted for each SU. Then, the SUi reports the decision statistic Y i or the 0/1 decision result r i to a FC via the control channel. Assume that all control channels are ideal, i.e., the sensing information obtained by FC for each SU is accurate. Finally, FC implements a specific fusion scheme depending on the sensing information received.
In order to study the IRS-enhanced CSS, we require the distribution information of a single SU energy detector. A binary hypothesis can be used to model the single SU system. Thus, the received signal of the SUi can be described as below
H 0 : y i = n ,
H 1 : { y i = P k = 1 M h k exp ( j φ k ) g k , i x + n ( 1 b ) y i = P k = 1 M h k exp ( j φ k ) g k , i x + P v i x + n ( 1 c )
where x is the primary signal, and y i is the received signal of the S U i . The H 0 denotes the absence of the PU, and n is the additive white Gaussian noise (AWGN) with zero mean and variance σ 2 . The H 1 denotes the presence of the PU, and P is its transmit power. The expression (1b) presents the case where there is not a direct link between the PU and the SUi, and the expression (1c) presents otherwise. The φ k 0 , 2 π denotes the phase adjustment coefficient of the k-th element. The M denotes the number of elements in each group.
The S U i processes the received signal y i by detecting its energy, and then obtains the decision statistic Y i . Figure 2 shows the energy detection process. The decision statistic Y i follows
Y i χ 2 u 2 , H 0 , χ 2 u 2 2 γ i , H 1 ,
where u = B T is the time-bandwidth product, γ i is the instantaneous received SNR of the S U i . According to [13], the optimal phase shift of the k-th element in IRS φ k * is given by φ k * = ω k + ϖ k , i , where k { 1 , · · · , M } , ω k and ϖ k , i are the channel phases of h k and g k , i , respectively. In both the cases, the expressions of maximum received SNR γ i * can be given as
γ i , w i t h d i r e c t l i n k s * = γ 0 W i + v i 2 ,
γ i , w i t h o u t d i r e c t l i n k s * = γ 0 W i 2 ,
where γ 0 = P / σ 2 is the transmit SNR, W i = k = 1 M h k g k , i . Since there are many elements in the IRS [13], using the central limit theorem [18], it can be obtained that W i N μ W , i , σ W , i 2 , where μ W , i = M π β h β g , i / 2 , σ W , i 2 = M β h β g , i 4 π 2 / 4 .
The expressions for the probability of false alarm ( P f , i ), the probability of detection ( P d , i ) and the average probability of detection ( P ¯ d , i ) can be given by
P f , i = P Y > λ i H 0 = Γ ( u , λ i / 2 ) Γ ( u ) ,
P d , i = P Y > λ i H 1 = Q u 2 γ i , λ i ,
P ¯ d , i = 0 Q u 2 γ i , λ i p ( γ i ) d γ i ,
where λ i is the decision threshold of the S U i , Γ ( · ) is Gamma function, Γ ( · , · ) is upper incomplete Gamma function, Q u ( · , · ) is the u-th order Marcum Q-function.

3. IRS-Enhanced Soft Combination

In the soft combination, the SUi reports the decision statistic Y i to the FC via the control channel. For simplicity, Rayleigh channels between the IRS and the SUs, the PU and the SUs are considered to be independent and identically distributed (IID), i.e., β g , i = β g , β v , i = β v . FC obtains the final decision statistic Y by a weighted combination of Y i , and then compares it with an appropriate decision threshold λ . The expression of Y can be written as
Y = i = 0 L w i Y i λ , H 1 , < λ , H 0 ,
where w i 0 is the weight factor of the S U i . Without loss of generality, we suppose i = 0 L w = 1 .

3.1. Equal Gain Combination

In the EGC scheme, the weight factors are evenly distributed, i.e., w i = 1 / M . Thus, the expression of the decision statistic Y E G C can be written as
Y E G C = 1 L i = 0 L Y i λ , H 1 , < λ , H 0 .
Since { Y i | i = 1 , · · · , L } are IID, it can be deduced that Y E G C follows
L Y E G C χ 2 L u 2 , H 0 , χ 2 L u 2 2 i L γ i , H 1 .
According to (4a)–(4c), the probability of false alarm ( P f E G C ) and the average probability of detection ( P ¯ d E G C ) can be obtained similarly. Their expressions can be written as
P f E G C = Γ ( L u , ε / 2 ) Γ ( L u ) ,
P ¯ d E G C = 0 0 · · · 0 Q L u 2 i = 0 L γ i , ε i = 0 L p γ i d γ 1 d γ 2 · · · d γ L ,
where ε = L λ . It is clear that P f E G C is independent of γ i , while P ¯ d E G C is related to γ i . It can be seen from (9) that P ¯ d E G C is the complex multiple integral of the variable i = 0 L γ i . To solve it, it is converted into a definite integral. If γ = i = 0 L γ i is defined, the expression (9) can be rewritten as
P ¯ d E G C = 0 Q L u 2 γ , ε p L ( γ ) d γ ,
where p L ( γ ) is the PDF of γ .

3.1.1. EGC without Direct Links

This subsection analyzes the case where there are not direct links. Since β g , i = β g and β v , i = β v , it can be deduced that W i = W N μ W , σ W 2 , where μ W = M π β h β g / 2 , σ W 2 = M β h β g 4 π 2 / 4 . Thus, it can be seen from (3b) that γ i * = γ 0 W 2 χ 1 2 ( γ 0 μ W 2 ) . Since γ = i = 0 L γ i , according to the definition of the non-central chi-square distribution [19], the distribution of γ can be expressed as γ χ L 2 ( L γ 0 μ W 2 ) . Thus, its PDF can be given as
p L γ = 1 2 γ 0 σ W 2 γ L γ 0 μ W 2 L 2 4 exp γ + L γ 0 μ W 2 2 γ 0 σ W 2 I L 2 1 μ W L γ γ 0 σ W 2 ,
where I k is the first kind kth-order Bessel function. Then, the alternative series representation of Marcum-Q function can be given as [19]
Q L u 2 γ , ε = n = 0 γ n exp γ n ! k = 0 n + L u 1 exp ε 2 k ! ε 2 k .
Substituting (11) and (12) into (10), the expression for the average probability of detection can be written as
P ¯ d , w i t h o u t d i r e c t l i n k s E G C = η n = 0 1 n ! 0 γ n + L 2 4 exp γ γ 2 γ 0 σ W 2 × I L 2 2 μ W L γ 0 σ W 2 γ d γ k = 0 n + L u 1 1 k ! ε 2 k ,
where η = exp L μ W 2 2 σ W 2 ε 2 L γ 0 μ W 2 L 2 4 / 2 γ 0 σ W 2 . First, use the expression [20]
0 x u 1 2 e α x I 2 v 2 β x d x = Γ u + v + 1 2 Γ 2 v + 1 β 1 e β 2 2 α α u M u , v β 2 α ,
where M a , b is the Whittaker function. Then, combine with the relation as follows [20]
M u , v z = z v + 1 2 e z 2 1 F 1 v + u + 1 2 ; 2 v + 1 ; z ,
where 1 F 1 · ; · ; · is the first class Confluent Hypergeometric Function. Finally, the closed-form of P ¯ d , w i t h o u t d i r e c t l i n k s E G C can be given by
P ¯ d , w i t h o u t d i r e c t l i n k s E G C = ς n = 0 1 n ! Γ n + L 2 1 1 2 γ 0 σ W 2 n × 1 F 1 n + L 2 ; L 2 ; L μ W 2 2 σ W 2 2 γ 0 σ W 2 + 1 k = 0 n + L u 1 1 k ! ε 2 k ,
where ς = exp ε 2 + L μ W 2 2 σ W 2 / Γ L 2 1 + 2 γ 0 σ W 2 L 2 .

3.1.2. EGC with Direct Links

This subsection analyzes the case where there are direct links. Since W i = W , the expression (3a) can be rewritten as
γ i * = γ 0 W + v R 2 = γ 0 W 2 a + 2 W v b + v 2 c ,
where R = W + v , a = W 2 , b = 2 W v , c = v 2 . The distribution of R can be given as R G a m m a α R , β R [17], the expressions of α R and β R are α R = β v π + π ι 2 2 / 4 π β v + o 4 , β R = 4 π β v + M π + 4 β h β g 4 / π ι + 2 β v π , where ι = M β h β g , o = M 16 π 2 β h β g . Thus, the PDF of γ i * in this case can be obtained as:
p γ i * x = p R x γ 0 1 2 x γ 0 = β R α R 2 Γ α R γ 0 α R / 2 x α R 2 exp β R x γ 0 .
It is obvious that the PDF of γ i * is not known, hence the solution of p L γ is extremely difficult. Thus, the Gamma distribution (moment-matching method) can be used as the approximate distribution of γ i * .
There are three factors to consider: (1) the Gamma distribution belongs to the Pearson-III distribution. It is widely used to approximate the distribution of unknown positive random variables when combined with the moment-matching method [21]; (2) the PDF of b is related to the Gamma function; (3) the Gamma distribution has additivity [22]. If γ i * is approximated as a Gamma distribution, the γ can also be approximated as a Gamma distribution.
Since W N μ W , σ W 2 , the distribution of a can be expressed as a χ 1 2 ( μ W 2 ) . Thus, E a = σ W 2 + μ W 2 , V a r a = 2 σ W 4 + 4 σ W 2 μ W 2 . Since W and v are independent of each other, and v R a y l e i g h β v ) , it can be obtained that E b = 2 μ W μ v , V a r b = 4 ρ , where ρ = 2 σ W 2 + μ W 2 β v μ W μ v 2 , μ v = β v π / 2 . According to the relation between the Rayleigh distribution and the Exponential distribution [22], the distribution of c can be given by c e x p o n e n t i a l 2 β v . Therefore, E c = 2 β v , V a r c = 4 β v 2 . In summary, it can be deduced that E γ i * = γ 0 E a + E b + E c , V a r γ i * = γ 0 2 V a r ( a ) + V a r ( b ) + V a r ( c ) .
Then, we use the moment-matching method ( G a m m a k , θ ) to approximate the distribution of γ i * , where its k and θ can be written as
k = E γ i * 2 V a r γ * i = σ W 2 + μ W 2 + 2 μ W μ v + 2 β v 2 2 σ W 4 + 4 σ W 2 μ W 2 + 4 ρ + 4 β v 2 ,
θ = V a r γ i * E γ i * = γ 0 2 σ W 4 + 4 σ W 2 μ W 2 + 4 ρ + 4 β v 2 σ W 2 + μ W 2 + 2 μ W μ v + 2 β v .
The accuracy of this approximation is shown in Figure 3.
According to the additivity of the Gamma distribution [22], the distribution of γ can be given by γ G a m m a L k , θ . Thus, the PDF of γ can be written as
p L γ = β α Γ α γ α 1 exp β γ ,
where α = L k , β = θ . Integrating (12), (21) over (10), the average probability of detection can be expressed as
P ¯ d , w i t h d i r e c t l i n k s E G C = β α Γ α n = 0 1 n ! 0 x n + α 1 e β + 1 x d x k = 0 n + Lu - 1 e ε 2 k ! ε 2 k .
Then, by using the expression [20]
0 x q 1 e ψ x d x = 1 ψ q Γ q ,
the closed-form expression of P ¯ d , w i t h d i r e c t l i n k s E G C can be represented as
P ¯ d , w i t h d i r e c t l i n k s E G C = τ n = 0 1 n ! Γ n + α β + 1 n + α k = 0 n + L u 1 1 k ! ε 2 k ,
where τ = exp ε 2 β α Γ α .

3.2. Selection Combination

In the SC scheme, FC selects the SU with the maximum SNR for decision. It is assumed that the j-th SU ( S U j ) has the maximum SNR, where j is an arbitrary constant and j { 1 , · · · , L } . Thus, the weight factors can be given by
w i = 1 , i = j , 0 , i j .
Since the SC is a soft combination, substituting (25) into (5), the expression of decision statistic Y S C can be written as Y S C = i = 0 L w i Y i = Y j . It can be seen that the distribution of Y S C is similar to the IRS-enhanced single-user case. Therefore, similar to (2), the decision statistic Y S C can be expressed as
Y S C χ 2 u 2 , H 0 , χ 2 u 2 2 γ max , H 1 ,
where γ max is the instantaneous received SNR of the S U j .
Similar to (4a) and (4c), the expressions for the probability of false alarm ( P ¯ f S C ) and the average probability of detection ( P ¯ d S C ) can be written as
P f S C = Γ ( u , λ / 2 ) Γ ( u ) ,
P ¯ d S C = 0 Q u 2 γ max , λ p ( γ max ) d γ max .
Since γ max = γ j , the P ¯ d S C also needs to be analyzed for the cases with or without direct links. Compared (28) with (4c), it can be found that the derivation of P ¯ d S C is similar to the IRS-enhanced single-user spectrum sensing. In [17], the closed-form expressions of P ¯ d and P f have been obtained, considering two cases where there is or not a direct link between the PU and the SU. Thus, in the SC scheme, the average probability of detection in both the cases can be, respectively, expressed as
P ¯ d , w i t h o u t d i r e c t l i n k s S C = ϑ n = 0 1 n ! Γ n + 1 2 1 + 1 2 σ 2 n × 1 F 1 n + 1 2 ; 1 2 ; μ W 2 2 σ W 2 2 σ 2 + 1 k = 0 n + u 1 1 k ! λ 2 k ,
P ¯ d , w i t h d i r e c t l i n k s S C = η n = 0 1 n ! 2 γ 0 2 2 n + α R 2 Γ ( 2 n + α R ) exp β R 8 γ 0 × D 2 n + α R β R 2 γ 0 2 k = 0 n + u 1 1 k ! λ 2 k ,
where ϑ = exp λ 2 + μ W 2 2 σ W 2 / Γ 1 2 1 + 2 γ 0 σ W 2 1 2 , η = exp λ 2 β R α R / Γ α R , D · · is the Parabolic Cylinder Function, 1 F 1 · ; · ; · has been explained in (15).

3.3. Verification of the Approximation

Figure 3 shows the comparison of the proposed Gamma distribution (moment-matching) and the empirical PDF of γ i * with direct links, where γ 0 = 1 dB , L = 4 , M = 16 . Their probability density curves are highly coincident, indicating that the approximation is accurate.

4. IRS-Enhanced Hard Combination

In the hard combination, according to the decision rule Y i < H 1 H 0 λ i , the S U i makes the local decision and then obtains local 0/1 decision result r i , where λ i is the pre-determined decision threshold of the SUi. The decision strategy of the r i can be given by
r i = 0 , H 0 , 1 , H 1 ,
where r i = 0 denotes that S U i ’s decision as H 0 , r i = 1 denotes that S U i ’s decision as H 1 . Then, the S U i reports the r i to FC via the control channel. FC makes the final decision according to the certain hard combination scheme and { r i | i = 1 , · · · , L } .

4.1. Weighted Hard Combination

The WHC scheme consists of two steps: (1) FC assigns a weight factor related to the SNR to each SU. The expression of the weight factor p i can be expressed as p i = L γ i / i = 1 L γ i ; (2) FC combines the OR-rule with weight factors.
Thus, in the WHC scheme, the probability of false alarm ( P f W H C ) and the average probability of detection ( P ¯ d W H C ) can be written as
P f W H C = 1 i = 1 L 1 P f , i = 1 i = 1 L 1 Γ ( u , λ i / 2 ) Γ ( u ) ,
P ¯ d W H C = 1 i = 1 L p i 1 P d , i ¯ ,
where λ i is the decision threshold of the S U i . It is clear that P f W H C is independent of γ i and P ¯ d W H C is related to P d , i ¯ . Thus, P ¯ d W H C also needs to be analyzed in both the cases.
Substituting (29) and (30) into (33), respectively. The closed-form expressions for the average probability of detection in two cases can be written as
P ¯ d , w i t h o u t d i r e c t l i n k s W H C = 1 i = 1 L p i 1 ξ i n = 0 1 n ! Γ ( n + 1 2 ) × a i n 1 F 1 n + 1 2 ; 1 2 ; b i k = 0 n + u 1 1 k ! λ i 2 k ,
P ¯ d , w i t h d i r e c t l i n k s W H C = 1 i = 1 L p i 1 ψ i n = 0 1 n ! 2 γ 0 2 2 n + α R , i 2 Γ ( 2 n + α R , i ) × exp β R , i 8 γ 0 D 2 n + α R , i β R , i 2 γ 0 2 k = 0 n + u 1 1 k ! λ i 2 k ,
where ξ i = exp λ i 2 + μ W , i 2 2 σ W , i 2 / Γ 1 2 1 + 2 γ 0 σ W , i 2 1 2 , a i = 2 γ 0 σ w , i 2 + 1 / 2 γ 0 σ w , i 2 , b i = μ W , i 2 / 2 σ w , i 2 2 γ 0 σ w , i 2 + 1 , ψ i = exp λ i 2 β R , i α R , i / Γ α R , i . The expressions of α R , i and β R , i can be given as α R , i = β v , i π + π ι i 2 2 / 4 π β v , i + o i 4 , β R , i = 4 π π ι i + 2 β v , i π × M π + 4 β h β g , i 4 + β v , i , where ι i = M β h β g , i , o i = M 16 π 2 β h β g , i .

4.2. Optimal Set Combination

The OSC scheme also consists of two steps: (1) FC selects W ( W { 1 , · · · , L } ) SUs with higher SNR from all SUs to form a optimal set ϕ , i.e., γ i ϕ γ i ϕ . The W is defined as the threshold of the optimal set; (2) FC combines the 0/1 decision results of SUs in ϕ with the OR-rule.
Therefore, in the OSC scheme, the probability of false alarm ( P f O S C ) and the average probability of detection ( P ¯ d O S C ) can be written as:
P f O S C = 1 i ϕ 1 P f , i = 1 i ϕ 1 Γ ( u , λ i / 2 ) Γ ( u ) ,
P ¯ d O S C = 1 i ϕ 1 P d , i ¯ .
Similar to (34) and (35), the average probability of detection in both the cases can be given by
P ¯ d , w i t h o u t d i r e c t l i n k s O S C = 1 i ϕ 1 ς i n = 0 1 n ! Γ ( n + 1 2 ) × a i n 1 F 1 n + 1 2 ; 1 2 ; b i k = 0 n + u 1 1 k ! λ i 2 k ,
P ¯ d , w i t h d i r e c t l i n k s O S C = 1 i ϕ 1 ζ i n = 0 1 n ! 2 γ 0 2 2 n + α R , i 2 Γ ( 2 n + α R , i ) × exp β R , i 8 γ 0 D 2 n + α R , i β R , i 2 γ 0 2 k = 0 n + u 1 1 k ! λ i 2 k ,
where ξ i , a i , b i , ψ i , α R , i , and β R , i have been explained in (34) and (35).

5. Simulation Results

In this section, simulation results are given to evaluate the detection performance of all the above schemes and compare them with the benchmark schemes. The adopted parameters during the simulation are shown in the Table 1 below for clarity.
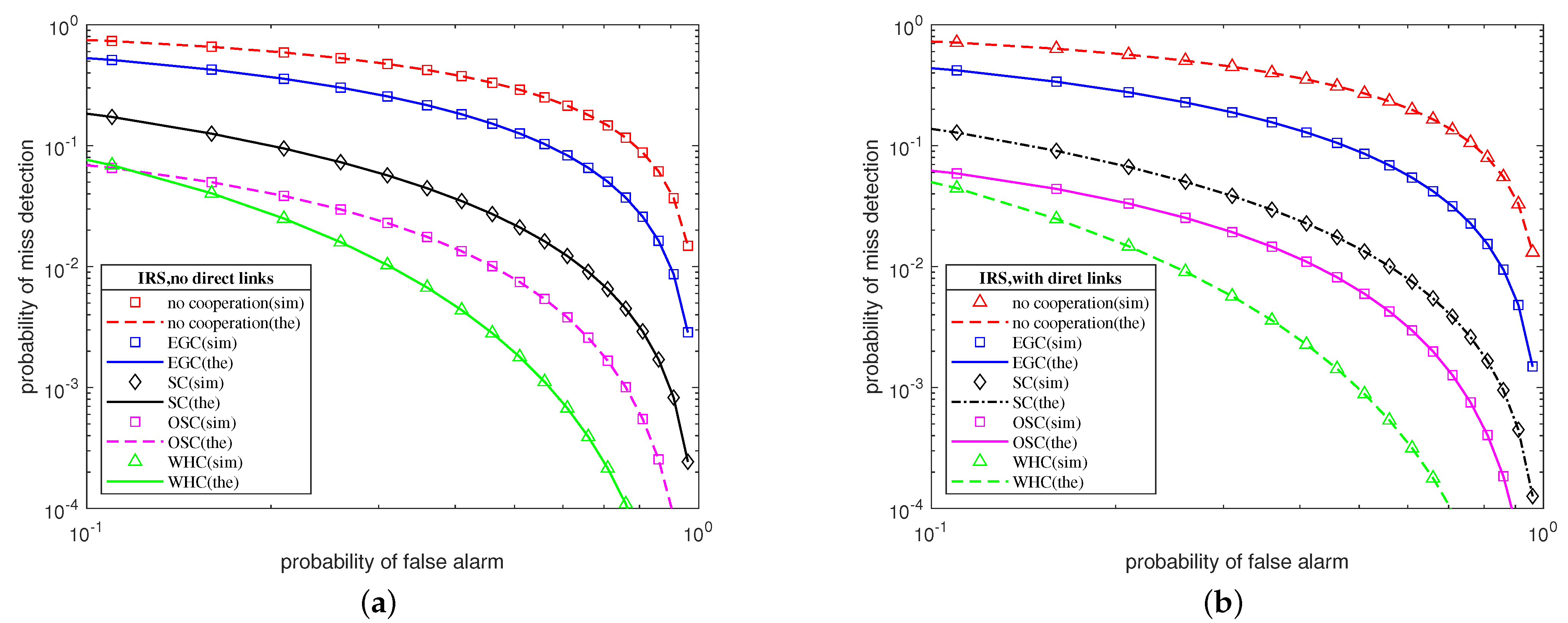
Figure 4 shows the Receiver Operating Characteristics (ROC) curves (the probability of miss detection P m = 1 P d VS the probability of false alarm P f ), which involve the EGC, the SC, the WHC, and the OSC, and compare it to the detection performance of a single SU. The transmit SNR is set as γ 0 = 2 dB . Figure 4a denotes the case without direct links, and Figure 4b denotes otherwise. It shows that in both cases, with the same P f , the detection performance of each scheme from good to bad is WHC, OSC, SC, EGC, and single SU. Both the OSC and the SC are unaffected by SUs with low SNR, so their detection performance is better. Because the WHC is essentially a fusion of the high SNR priority criterion and the OR-rule, it outperforms the OSC. However, its applicability is poorer than that of the OSC.
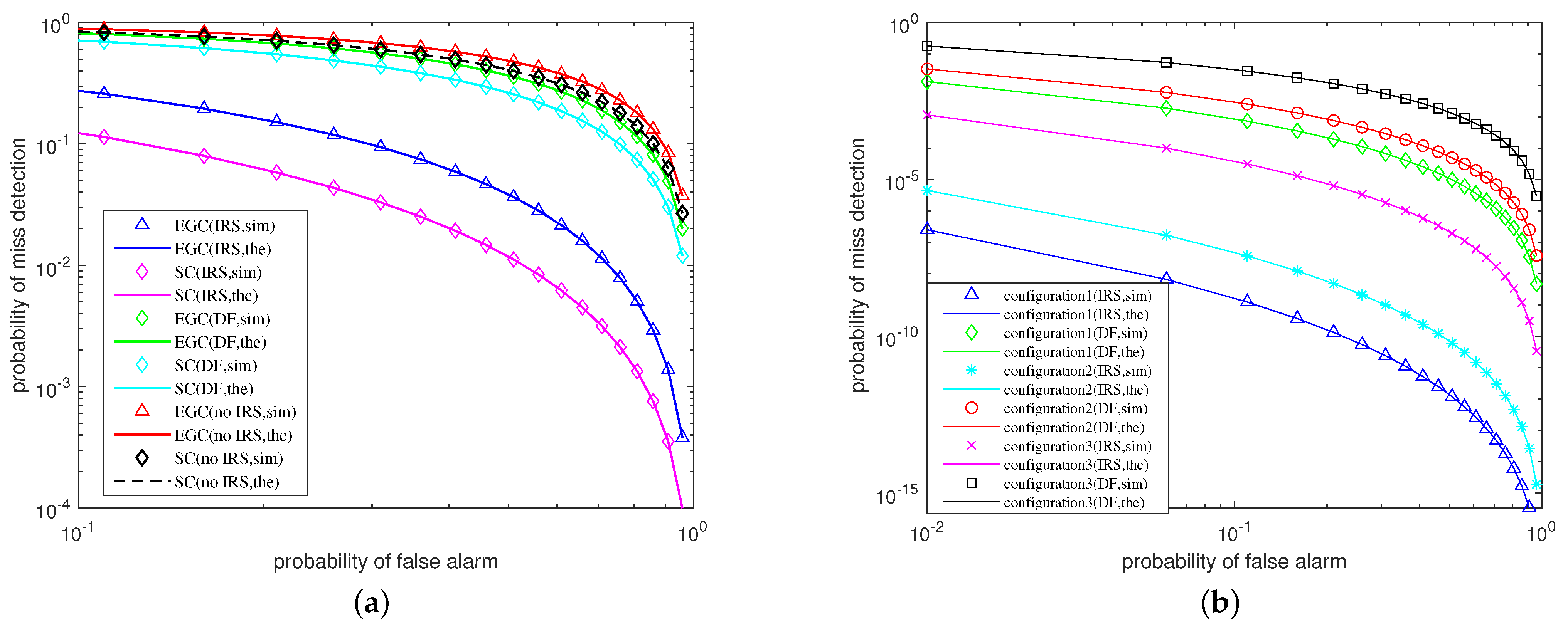
Figure 5a shows three scenarios: (i) there is an IRS between the PU and the SUs; (ii) there is a DF relay between the PU and the SUsl; (iii) there is not an IRS and a relay between the PU and the SUs. The transmit SNR is set as γ 0 = 1 dB . Take soft combination as an example. The detection performance is compared when there are direct links. The P f and P d of the scenario (ii) and the scenario (iii) are given in [23,24], respectively. It shows that the IRS-enhanced CSS outright outperforms the DF relay scenario and the no IRS scenario. This is because the IRS can construct multiple passive auxiliary reflection links, which can overcome signal’s randomness and do not incur any noise amplification.
Figure 5b shows three configurations: (i) the IRS is placed at closer distances, i.e., d h + d g d v (configuration 1, d h = d h = 110 m , d v = 200 m ); (ii) the IRS is placed at moderate distances, i.e., d h + d g > d v (configuration 2, d h = d h = 220 m , d v = 200 m ); (iii) the IRS is placed at far-away distances, i.e., d h + d g d v (configuration 3, d h = d h = 450 m , d v = 200 m ). The transmit SNR is set as γ 0 = 2 dB . Take the EGC as an example. The detection performance is compared when there are direct links. The detection performance of the IRS-enhanced CSS is hindered with increasing distance, mainly due to the large increase in distance-dependent path loss effects. It is also worth noting that the curve order for all three configurations are the same because three ROC curves are plotted by varying the distances and keeping other parameters fixed.
Figure 6a shows ROC curves for the average probability of detection ( P ¯ d ) versus the number of elements in one group (M). The probability of false alarm is set as P f = 0.05. The transmit SNR of PU is set as γ 0 = 7 dB . Take the EGC and the OSC as an example. If the target P ¯ d is given, the minimum M can be obtained through the ROC curves in the Figure 6a. For example, when the target P ¯ d = 0.78, the minimum positive integer M = 20 (OSC, with direct links), M = 32 (OSC, with direct links). When the target P ¯ d = 0.47, the minimum positive integer M = 24 (EGC, with direct links), M = 36 (EGC, no direct links) (upward rounding). It can be seen from the trend of ROC curves that the higher requirement of detection performance ( P ¯ d ) needs the more elements in the IRS when the other parameters are the same. This is because the more elements in the IRS, the more auxiliary reflection links can be constructed, which can better overcome the randomness of the signal.
Figure 6b shows ROC curves for the average probability of detection ( P ¯ d ) versus the number of SUs (L) when given the limitation of the number of elements in the IRS. The probability of false alarm is set as P f = 0.05. The transmit SNR of PU is set as γ 0 = 5 dB . The limitation of the number of elements is set as 64. Additionally, take the EGC and the OSC as an example. If the target P ¯ d is given, the maximum L can be obtained through the ROC curves in the Figure 6b. For example, when the target P ¯ d = 0.4, the maximum positive integer L = 5 (EGC, no direct links), L = 7 (EGC, with direct links), L = 9 (OSC, no direct links), and L = 12 (OSC, with direct links) (downward rounding). It can be seen from the trend of ROC curves that the lower requirement of detection performance ( P ¯ d ) can serve the more SUs when the other parameters are the same. This is because the increase in the number of SUs means a higher detection threshold and a reduction in the number of elements at one group. In addition, it can also be seen from Figure 6a,b that the IRS-enhanced CSS has good scalability. Because it can adapt to different detection requirements by adjusting the number of elements in the IRS and the number of SUs.
Figure 7 shows ROC curves for the average probability of detection ( P ¯ d ) versus the transmit SNR of PU ( γ 0 ) in the IRS-enhanced CSS. The probability of a false alarm is set as P f = 0.05. If the target P ¯ d is given, the required minimum γ 0 can be obtained through the ROC curves in the Figure 7. For example, when the target P ¯ d = 0.61, the required minimum γ 0 = 5.1 dB (EGC, no direct links), γ 0 = 7 dB (OSC, no direct links). When the target P ¯ d = 0.52, the required minimum γ 0 = 6 dB (EGC, with direct links), and γ 0 = 8 dB (OSC, with direct links). It can be seen from the trend of ROC curves that the higher detection performance ( P ¯ d ) requires the higher γ 0 when other parameters are the same. This is because both poor transmission environment and weak transmit power (P) can negatively affect the decision of the presence of PU.
Figure 8 shows the detection performance of the OSC scheme (W = 2, 3, 4) and the K-rank scheme (K = 2). The transmit SNR is set as γ 0 = 3 dB . The result shows that the OSC scheme can further improve the detection performance comparing to the K-rank scheme. The adjustable threshold W makes the OSC similar to the K-rank in terms of the applicability. When W = L , the OSC degenerates into the OR-rule. Furthermore, the detection performance of the OSC is proportionally associated with W. The performance improvement offered by increasing W from 3 to 4 is only 0.167 times the performance improvement achieved by increasing W from 2 to 3, which is cost-ineffective. The reduction in W makes the SUs with low SNR participate in cooperation, so W should not be too large.
Figure 9 shows ROC curves for the probability of detection ( P d ) versus the received SNR ( γ i ). Take the EGC as an example (other schemes have similar analysis procedures and the same result). It can be seen from the monotonicity of the ROC curves in Figure 9 that the larger received SNR of SU means the higher probability of detection. This shows that maximizing the probability of detection is equivalent to maximizing the received SNR of SU. Therefore, the optimal phase shift corresponding to the maximum probability of detection probability can still be given as φ k * = ω k + ϖ k , i , where φ k * is the optimal phase shift of the k-th element in IRS, ω k and ϖ k , i are the channel phases of h k and g k , i , respectively.

6. Conclusions

This paper studied fusion schemes based on IRS-enhanced CSS. The EGC and the SC schemes for the soft combination were investigated. The WHC scheme was studied for the hard combination, and an OSC scheme was proposed based on SNR. Both cases with and without direct links between the PU and all SUs were considered for each scheme. The closed-form expressions for the probability of false alarm and the average probability of detection were derived. Numerical results showed the detection performance of the four schemes ranked from good to bad is WHC, OSC, SC, and EGC. In addition, IRS-enhanced CSS outperforms than the DF relay case and the no IRS case. Finally, the detection performance of the OSC outperforms the K-rank scheme, but its optimal threshold should not be to large.

Author Contributions

Conceptualization, W.W.; methodology, G.P.; software, G.P.; validation, G.P. and W.W.; formal analysis, G.P.; investigation, G.P.; resources, W.W.; data curation, G.P.; writing—original draft preparation, G.P.; writing—review and editing, W.W. and G.P.; visualization, W.W. and G.P.; supervision, W.W.; project administration, W.W.; funding acquisition, W.W. All authors have read and agreed to the published version of the manuscript.

Funding

This work was supported by National Key R&D Program of China under Grant 2020YFB180 7602, the National Natural Science Foundation of China under Grant 61901231, under Grant 62071223, and Grant 62031012, the National Key Scientific Instrument and Equipment Development Project under Grant 61827801, the China Postdoctoral Science Foundation under Grant 2020M671480 and Postdoctoral Science Foundation of Jiangsu Province under Grant 2020Z295.

Institutional Review Board Statement

Not applicable.

Informed Consent Statement

Not applicable.

Data Availability Statement

Not applicable.

Conflicts of Interest

The authors declare no conflict of interest.

Abbreviations

The following abbreviations are used in this manuscript:
CSSCooperative Spectrum Sensing
IRSIntelligent Reflecting Surface
SUSecondary User
PUPrimary User
FCFusion Center
EGCEqual Gain Combination
SCSelection Combination
WHCWeighted Hard Combination
OSCOptimal Set Combination
MRCMaximum Ratio Combination
SNRSignal-to-Noise Ratio
DFDecode and Forward
CRCognitive Radio
CRNCognitive Radio Network
LoSLine-of-Sight
PDFProbability Density Function
AWGNAdditive White Gaussian Noise
IIDIndependent and Identically Distributed
ROCReceiver Operating Characteristics

References

  1. Tehrani, R.H.; Vahid, S.; Triantafyllopoulou, D.; Lee, H.; Moessner, K. Licensed spectrum sharing schemes for mobile operators: A survey and outlook. IEEE Commun. Surv. Tutor. 2016, 18, 2591–2623. [Google Scholar] [CrossRef]
  2. Zhang, W.; Wang, C.-X.; Ge, X.; Chen, Y. Enhanced 5G cognitive radio networks based on spectrum sharing and spectrum aggregation. IEEE Trans. Commun. 2018, 66, 6304–6316. [Google Scholar] [CrossRef]
  3. Cabric, D.; Mishra, S.M.; Brodersen, R.W. Implementation issues in spectrum sensing for cognitive radios. In Proceedings of the Asilomar Conference on Signals, Systems and Computers(ACSSC), Grove, CA, USA, 7–10 November 2004; pp. 772–776. [Google Scholar]
  4. Gupta, V.; Sharan, S.N.; Beniwal, N.S.; Choudhary, S.K. Cooperative Fusion rules in Spectrum Sensing. In Proceedings of the 2021 International Conference on Advance Computing and Innovative Technologies in Engineering(ICACITE), Greater Noida, India, 4–5 March 2021; pp. 432–435. [Google Scholar]
  5. Ma, J.; Li, Y.G. Soft Combination and Detection for Cooperative Spectrum Sensing in Cognitive Radio Networks. IEEE Trans. Wireless Commun. 2008, 7, 4502–4507. [Google Scholar]
  6. Ali, A.; Hamouda, W. Advances on Spectrum Sensing for Cognitive Radio Networks: Theory and Applications. IEEE Commun. Surv. Tutor. 2016, 19, 1277–1304. [Google Scholar] [CrossRef]
  7. Kumar, A.; Saha, S.; Tiwari, K. A Double Threshold-Based Cooperative Spectrum Sensing With Novel Hard-Soft Combining Over Fading Channels. IEEE Wireless Commun. Lett. 2019, 8, 1154–1158. [Google Scholar] [CrossRef]
  8. Chen, C.; Chen, Y.; Qian, J.; Xu, J. Dynamic Adaptive Double-threshold Cooperative Spectrum Sensing with Multi-level Quantization. In Proceedings of the 2019 6th International Conference on Systems and Informatics(ICSAI), Shanghai, China, 2–4 November 2019; pp. 791–795. [Google Scholar]
  9. Al-Jarrah, M.A.; Al-Dweik, A.; Ikki, S.S.; Alsusa, E. Spectrum-Occupancy Aware Cooperative Spectrum Sensing Using Adaptive Detection. IEEE Syst. J. 2020, 14, 2225–2236. [Google Scholar] [CrossRef]
  10. Verma, P. Weighted Fusion Scheme for Cooperative Spectrum Sensing. In Proceedings of the 2020 International Conference on Industry 4.0 Technology(I4Tech), Pune, India, 13–15 February 2020; pp. 186–190. [Google Scholar]
  11. Ye, F.; Zhang, H.; Zhang, X.; Tian, Y. Cooperative Spectrum Sensing Algorithm Based on Node Filtrating in Cognitive Radio Networks. In Proceedings of the 2018 USNC-URSI Radio Science Meeting(USNC-URSI), Boston, MA, USA, 8–13 July 2018; pp. 169–170. [Google Scholar]
  12. Salama, G.M.; Taha, S.A. Cooperative Spectrum Sensing and Hard Decision Rules for Cognitive Radio Network. In Proceedings of the 3rd International Conference on Computer Applications and Information Security(ICCAIS), Riyadh, Saudi Arabia, 19–21 March 2020; pp. 1–6. [Google Scholar]
  13. Wu, Q.; Zhang, S.; Zheng, B.; You, C.; Zhang, R. Intelligent Reflecting Surface-Aided Wireless Communications: A Tutorial. IEEE Trans. Wirel. Commun. 2021, 69, 3313–3351. [Google Scholar] [CrossRef]
  14. Zheng, B.; You, C.; Zhang, R. Double-IRS Assisted Multi-User MIMO: Cooperative Passive Beamforming Design. IEEE Trans. Wirel. Commun. 2021, 20, 4513–4526. [Google Scholar] [CrossRef]
  15. Nasser, A.; Hassan, H.A.H.; Mansour, A.; Yao, K.C.; Nuaymi, L. Intelligent Reflecting Surfaces and Spectrum Sensing for Cognitive Radio Networks. IEEE Trans. Cognit. Commun. Netw. 2022, 1. [Google Scholar] [CrossRef]
  16. Lin, S.; Zheng, B.; Chen, F.; Zhang, R. Intelligent Reflecting Surface-Aided Spectrum Sensing for Cognitive Radio. IEEE Wirel. Commun. Lett. 2022, 11, 928–932. [Google Scholar] [CrossRef]
  17. Wu, W.; Wang, Z.; Yuan, L.; Zhou, F.H.; Lang, F.; Wang, B.Y. IRS-Enhanced Energy Detection for Spectrum Sensing in Cognitive Radio Networks. IEEE Wirel. Commun. Lett. 2021, 10, 2254–2258. [Google Scholar] [CrossRef]
  18. Aidan, L. Why are Normal Distributions Normal? Br. J. Philos. Sci. 2013, 3, 621–649. [Google Scholar]
  19. Simon, M.K.; Alouini, M.S. Digital Communication over Fading Channels, 2nd ed.; Wiley: New York, NY, USA, 2005. [Google Scholar]
  20. Gradshteyn, I.; Ryzhik, I. Table of Integrals, Series, and Products, 7th ed.; Academic Press: New York, NY, USA, 2007. [Google Scholar]
  21. Springer, M.D. The Algebra of Random Variables, 2nd ed.; Wiley: New York, NY, USA, 1984. [Google Scholar]
  22. Krishnamoorthy, K. Handbook of Statistical Distributions with Applications; Taylor and Francis Group: New York, NY, USA, 2006. [Google Scholar]
  23. Digham, F.F.; Alouini, M.S.; Simon, M.K. On the energy detection of unknown signals over fading channels. IEEE Trans. Commun. 2007, 55, 21–24. [Google Scholar] [CrossRef]
  24. Zou, M.; Zhao, C.; Shen, B.; Kwak, K. Cooperative Spectrum Sensing Using DF Cooperative Diversity Protocol in Cognitive Radio. In Proceedings of the 2008 International Symposium on Communications and Information Technologies (ISCIT), Vientiane, Laos, 21–23 October 2008; pp. 604–608. [Google Scholar]
Figure 1. The system model of IRS-enhanced CSS. (a) without direct links; (b) with direct links.
Figure 1. The system model of IRS-enhanced CSS. (a) without direct links; (b) with direct links.
Electronics 11 02533 g001
Figure 2. The energy detection process.
Figure 2. The energy detection process.
Electronics 11 02533 g002
Figure 3. Comparison of the probability density curves.
Figure 3. Comparison of the probability density curves.
Electronics 11 02533 g003
Figure 4. ROC curves for IRS-enhanced CSS and the benchmark scheme without cooperation. (a) no direct links; (b) with direct links.
Figure 4. ROC curves for IRS-enhanced CSS and the benchmark scheme without cooperation. (a) no direct links; (b) with direct links.
Electronics 11 02533 g004
Figure 5. (a) ROC curves for the IRS-enhanced CSS, the DF relay CSS and the no IRS CSS; (b) ROC curves for different system configurations.
Figure 5. (a) ROC curves for the IRS-enhanced CSS, the DF relay CSS and the no IRS CSS; (b) ROC curves for different system configurations.
Electronics 11 02533 g005
Figure 6. (a) Average probability of detection ( P ¯ d ) versus the number of elements in one group (M). (b) Average probability of detection ( P ¯ d ) versus the number of secondary users (L) for fixed elements in the IRS.
Figure 6. (a) Average probability of detection ( P ¯ d ) versus the number of elements in one group (M). (b) Average probability of detection ( P ¯ d ) versus the number of secondary users (L) for fixed elements in the IRS.
Electronics 11 02533 g006
Figure 7. Average probability of detection ( P ¯ d ) versus the transmit SNR ( γ 0 ) for IRS-enhanced CSS.
Figure 7. Average probability of detection ( P ¯ d ) versus the transmit SNR ( γ 0 ) for IRS-enhanced CSS.
Electronics 11 02533 g007
Figure 8. ROC curves for the OSC scheme with different values of threshold (W = 2, 3, 4) and the K-rank scheme (K = 2).
Figure 8. ROC curves for the OSC scheme with different values of threshold (W = 2, 3, 4) and the K-rank scheme (K = 2).
Electronics 11 02533 g008
Figure 9. Probability of detection ( P d ) versus the received SNR ( γ i ).
Figure 9. Probability of detection ( P d ) versus the received SNR ( γ i ).
Electronics 11 02533 g009
Table 1. Simulation parameters.
Table 1. Simulation parameters.
ParametersValues
Path-loss fading δ μ μ h , g , v δ 0 d 0 / d μ k
Reference path loss δ 0 43 dB
Reference distance d 0 1   m
Path-loss exponent k 2.7
Distance between the PU and the IRS d h 110   m
Distance between the IRS and SUs d g 110   m
Distance between the PU and SUs d v 220   m
Number of SUs L4
Number of passive reflective elements M × L 16 × 4
Threshold of the optimal set W2
Time-bandwidth product u5
Publisher’s Note: MDPI stays neutral with regard to jurisdictional claims in published maps and institutional affiliations.

Share and Cite

MDPI and ACS Style

Peng, G.; Wu, W. Fusion Schemes Based on IRS-Enhanced Cooperative Spectrum Sensing for Cognitive Radio Networks. Electronics 2022, 11, 2533. https://doi.org/10.3390/electronics11162533

AMA Style

Peng G, Wu W. Fusion Schemes Based on IRS-Enhanced Cooperative Spectrum Sensing for Cognitive Radio Networks. Electronics. 2022; 11(16):2533. https://doi.org/10.3390/electronics11162533

Chicago/Turabian Style

Peng, Guangqian, and Wei Wu. 2022. "Fusion Schemes Based on IRS-Enhanced Cooperative Spectrum Sensing for Cognitive Radio Networks" Electronics 11, no. 16: 2533. https://doi.org/10.3390/electronics11162533

APA Style

Peng, G., & Wu, W. (2022). Fusion Schemes Based on IRS-Enhanced Cooperative Spectrum Sensing for Cognitive Radio Networks. Electronics, 11(16), 2533. https://doi.org/10.3390/electronics11162533

Note that from the first issue of 2016, this journal uses article numbers instead of page numbers. See further details here.

Article Metrics

Back to TopTop