Laser Inter-Satellite Link Visibility and Topology Optimization for Mega Constellation
Abstract
1. Introduction
2. Background
Starlink Constellation Configuration Plan
3. Methodology and Analytical Approach
3.1. Numbering and Classification of Inter-LISLs
- 1.
- Co-orbiting and hetero-orbiting LISLs
- Adjacent OP LISLs, which are between satellites in adjacent OPs;
- Neighboring non-adjacent OP LISLs, which are between satellites in nearby instead of adjacent OPs;
- Crossing OP LISLs, which are between satellites in crossing OPs.
- 2.
- Permanent and temporary LISLs
3.2. Initial Phase
3.3. Chain Building Threshold Analysis
- 1.
- Calculation of the distance of LISLs within the same orbit
- 2.
- Distance calculation of LISLs between different orbits
3.4. Optimal Phasing Factor
| Algorithm1 Pseudocode for optimal phasing factor solution algorithm | 
| Input: P | 
| Output: Optimal Phasing Factor | 
| 1: Max ← 0, Min ← 0, BF ← 0 | 
| 2: for F ← 0 To | 
| 3: for M ← 1 To | 
| 4: for N ← 1 To M | 
| 5: ← Calculate the distance of LISLs for and using Equation (12) | 
| 6: if Min == 0 Then | 
| 7: Min ← | 
| 8: else | 
| 9: if Min < hen Min ← End | 
| 10: end | 
| 11: Next N | 
| 12: Next M | 
| 13: if Max < Min Then | 
| 14: Max ← Min | 
| 15: end | 
| 16: Next P | 
| 17: F = P − 1 | 
| 18: Optimal Inter Spacing ← F | 
4. Results and Discussion
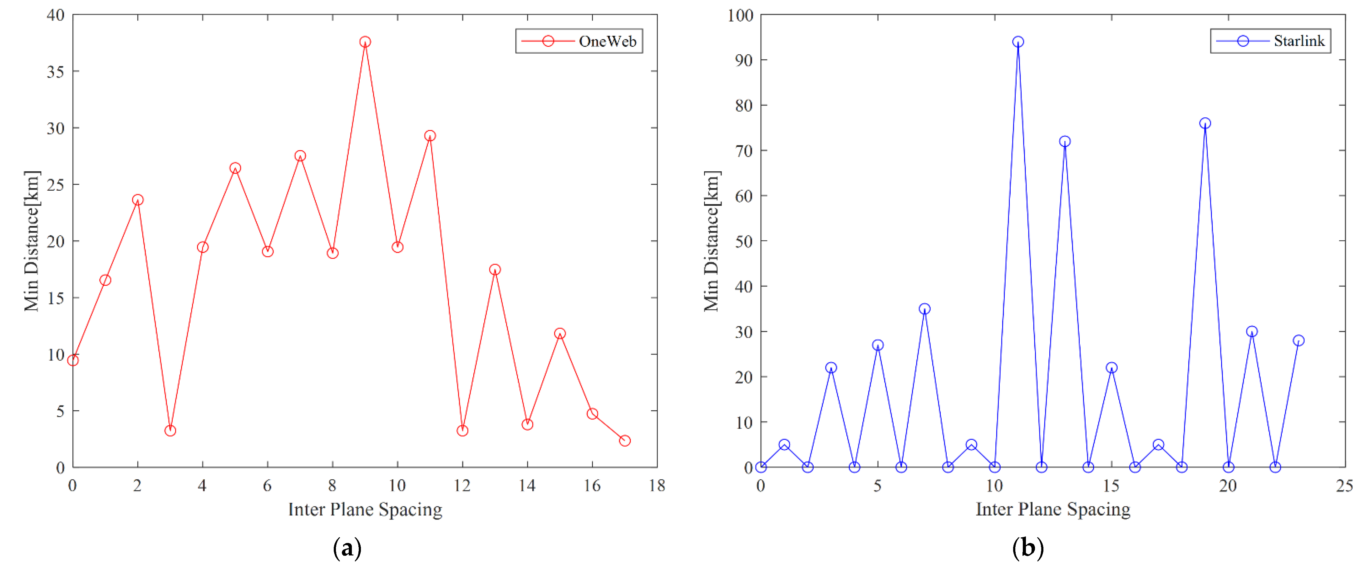
4.1. Solving for the Optimal Phasing Factor
4.2. Simulation Modeling
4.3. Comparison of Coverage Performance
- OneWeb’s constellation of 720 satellites essentially provides global coverage, with polar regions receiving optimal coverage. Between 60° north and south latitude, when F = 1, the constellation N Asset Coverage is up to 85; when F = 9, the constellation N Asset Coverage is up to 90. In polar regions, when F = 1, the constellation N Asset Coverage is up to 110; when F = 9, the constellation N Asset Coverage is up to 130.
- The 1584 satellites in the first phase of Starlink have not yet covered all polar regions; optimal coverage can be achieved between 30°~50° north and south latitude. Between 60° north and south latitudes, when F = 1, the constellation N Asset Coverage is up to 85; when F = 11, the constellation N Asset Coverage is up to 130. The 0-fold coverage in the region above 60° north-south latitude is determined by the orbital inclination, and the coverage will be enhanced by the deployment of an orbital surface with an inclination of 97.5°.
4.4. Visibility Analysis
- 1.
- and the satellites in the same orbit
- 2.
- and the satellites in the adjacent orbit
- 3.
- visibility between and the satellites in the neighboring non-adjacent orbit
- 4.
- and the satellites in more than three orbits apart
4.5. AER Analysis
- 1.
- AER characteristics of the satellite and the co-orbital link
- 2.
- AER characteristics of the satellite and the heterodyne link
4.6. Number of LISLs in Different Distance Ranges
- Permanent LISLs
- Temporary LISLs
4.7. Link Connection Policy
5. Conclusions
Supplementary Materials
Author Contributions
Funding
Data Availability Statement
Acknowledgments
Conflicts of Interest
References
- Boccardi, F.; Heath, R.W.; Lozano, A.; Marzetta, T.L.; Popovski, P. Five Disruptive Technology Directions for 5G. IEEE Commun. Mag. 2014, 52, 74–80. [Google Scholar] [CrossRef]
- Kodheli, O.; Lagunas, E.; Maturo, N.; Sharma, S.K.; Shankar, B.; Montoya, J.F.M.; Duncan, J.C.M.; Spano, D.; Chatzinotas, S.; Kisseleff, S.; et al. Satellite Communications in the New Space Era: A Survey and Future Challenges. IEEE Commun. Surv. Tutor. 2021, 23, 70–109. [Google Scholar] [CrossRef]
- Orabi, M.; Khalife, J.; Kassas, Z.M. Opportunistic Navigation with Doppler Measurements from Iridium Next and Orbcomm LEO Satellites. In Proceedings of the 2021 IEEE Aerospace Conference (50100), Big Sky, MT, USA, 6 March 2021; pp. 1–9. [Google Scholar]
- Osoro, O.B.; Oughton, E.J. A Techno-Economic Framework for Satellite Networks Applied to Low Earth Orbit Constellations: Assessing Starlink, OneWeb and Kuiper. IEEE Access 2021, 9, 141611–141625. [Google Scholar] [CrossRef]
- Brian, D. Weimer Application for Fixed Satellite Service by WorldVu Satellites Limited, Debtor-in-Possession [SAT-MPL-20200526-00062]. Available online: https://fcc.report/IBFS/SAT-MPL-20200526-00062 (accessed on 27 May 2022).
- del Portillo, I.; Cameron, B.G.; Crawley, E.F. A Technical Comparison of Three Low Earth Orbit Satellite Constellation Systems to Provide Global Broadband. Acta Astronaut. 2019, 159, 123–135. [Google Scholar] [CrossRef]
- Yu, Q.; Wang, J.; Bai, L. Architecture and Critical Technologies of Space Information Networks. J. Commun. Inf. Netw. 2016, 1, 1–9. [Google Scholar] [CrossRef]
- Yan, J.; Xing, L.; Wang, P.; Sun, L.; Chen, Y. A Scheduling Strategy to Inter-Satellite Links Assignment in GNSS. Adv. Space Res. 2021, 67, 198–208. [Google Scholar] [CrossRef]
- Zeng, L.; Lu, X.; Bai, Y.; Liu, B.; Yang, G. Topology Design Algorithm for Optical Inter-Satellite Links in Future Navigation Satellite Networks. GPS Solut. 2022, 26, 1–16. [Google Scholar] [CrossRef]
- Chen, Q.; Giambene, G.; Yang, L.; Fan, C.; Chen, X. Analysis of Inter-Satellite Link Paths for LEO Mega-Constellation Networks. IEEE Trans. Veh. Technol. 2021, 70, 2743–2755. [Google Scholar] [CrossRef]
- Guan, M.; Xu, T.; Gao, F.; Nie, W.; Yang, H. Optimal Walker Constellation Design of LEO-Based Global Navigation and Augmentation System. Remote Sens. 2020, 12, 1845. [Google Scholar] [CrossRef]
- Chaudhry, A.U.; Yanikomeroglu, H. Laser Intersatellite Links in a Starlink Constellation: A Classification and Analysis. IEEE Veh. Technol. Mag. 2021, 16, 48–56. [Google Scholar] [CrossRef]
- Liu, S.; Yang, J.; Guo, X.; Sun, L. Inter-Satellite Link Assignment for the Laser/Radio Hybrid Network in Navigation Satellite Systems. GPS Solut 2020, 24, 49. [Google Scholar] [CrossRef]
- Yu, X.; Tong, S.; Zhang, L.; Dong, Y.; Zhao, X.; Qiao, Y. 1023 Mcps Laser Pseudo-Code Ranging System with 033 Mm (1σ) Pseudo-Range Measurement Precision. Appl. Opt. 2017, 56, 5342. [Google Scholar] [CrossRef] [PubMed]
- Long, M.J. Pointing Acquisition and Tracking Design and Analysis for CubeSat Laser Communication. Ph.D. Thesis, Crosslinks, Massachusetts Institute of Technology, Cambridge, MA, USA, 2018. [Google Scholar]
- Boriboon, A.; Pongpadpinit, S. Optimized Routing Protocol for Broadband Hybrid Satellite Constellation Communication IP Network System. J. Wirel. Commun. Netw. 2016, 2016, 120. [Google Scholar] [CrossRef][Green Version]
- McDowell, J.C. The Low Earth Orbit Satellite Population and Impacts of the SpaceX Starlink Constellation. Astrophys. J. Lett. 2020, 892, L36. [Google Scholar] [CrossRef]
- Roth, M.; Brandt, H.; Bischl, H. Implementation of a Geographical Routing Scheme for Low Earth Orbiting Satellite Constellations Using Intersatellite Links. Int. J. Satell. Commun. Netw. 2021, 39, 92–107. [Google Scholar] [CrossRef]
- Chen, Q.; Yang, L.; Liu, X.; Guo, J.; Wu, S.; Chen, X. Multiple Gateway Placement in Large-scale Constellation Networks with Inter-satellite Links. Int. J. Satell. Commun. Netw. 2021, 39, 47–64. [Google Scholar] [CrossRef]
- Lee, Y.; Choi, J.P. Connectivity Analysis of Mega-Constellation Satellite Networks with Optical Intersatellite Links. IEEE Trans. Aerosp. Electron. Syst. 2021, 57, 4213–4226. [Google Scholar] [CrossRef]
- Wang, F.; Jiang, D.; Qi, S. An Adaptive Routing Algorithm for Integrated Information Networks. China Commun. 2019, 16, 195–206. [Google Scholar] [CrossRef]
- Amanor, D.N.; Edmonson, W.W.; Afghah, F. Intersatellite Communication System Based on Visible Light. IEEE Trans. Aerosp. Electron. Syst. 2018, 54, 2888–2899. [Google Scholar] [CrossRef]
- Bhattacherjee, D.; Singla, A. Network Topology Design at 27,000 Km/Hour. In Proceedings of the 15th International Conference on Emerging Networking Experiments and Technologies, Orlando, FL, USA, 9–12 December 2019; pp. 341–354. [Google Scholar]
- Satellite Database. Union of Concerned Scientists. Available online: https://www.ucsusa.org/resources/satellite-database (accessed on 9 July 2022).
- Li, H.; Li, D.; Li, Y. A Multi-Index Assessment Method for Evaluating Coverage Effectiveness of Remote Sensing Satellite. Chin. J. Aeronaut. 2018, 31, 2023–2033. [Google Scholar] [CrossRef]
- Chengzhuo, W.; Suyang, L.; Xiye, G.; Jun, Y. Dynamic Optimization of Laser Inter-Satellite Link Network Topology Based on Genetic Algorithm. In Proceedings of the 2019 14th IEEE International Conference on Electronic Measurement & Instruments (ICEMI), Changsha, China, 1–3 November 2019; pp. 1331–1342. [Google Scholar]


















| Constellation Name | Orbital Altitude | Start Year | Number of Satellites | Orbit Inclination | Frequency Band | 
|---|---|---|---|---|---|
| Globalstar | 1414 km | 2007 | 48 + 8 | 52° | L, S, C | 
| Orbcomm 2 | 825 km | 2012 | 35 | 45° | V | 
| Iridium NEXT | 780 km | 2017 | 66 + 9 | 86.4° | L, Ka | 
| OneWeb | 1200 km | 2019 | 720 | 87° | Ka, Ku, V | 
| Telesat | 1000/1200 km | 2023 | 298 | 99.5°/37.4° | Ka | 
| Starlink * | 340/550/1150 km | 2024 | 42,000 | 53° | Ka, Ku, V | 
| Orbit Type | Orbital Altitude | Orbit Inclination | Number of Orbital Planes | Number of Satellites per Orbital Plane | Total | 
|---|---|---|---|---|---|
| 550 km | 53° | 66 | 24 | 1584 | |
| 540 km | 53.2° | 66 | 24 | 1584 | |
| LEO * | 570 km | 70° | 36 | 20 | 720 | 
| 560 km | 97.5° | 6 | 58 | 348 | |
| 560 km | 97.5° | 4 | 43 | 172 | |
| 345.6 km | 53° | 2547 | |||
| VLEO | 340.8 km | 48° | 2748 | ||
| 335.9 km | 42° | 2493 | 
| LISLs Range (km) | Intra-OP | AOPLs | NOPLs | Total | 
|---|---|---|---|---|
| 659 | 2 | 0 | 0 | 2 | 
| 1317 | 4 | 0 | 0 | 2 | 
| 1972 | 4 | 2 | 0 | 6 | 
| 2622 | 4 | 6 | 0 | 10 | 
| 5016 | 16 | 34 | 44 | 94 | 
| Access | Start Time | Stop Time | Duration (s) | 
|---|---|---|---|
| 1 | 04:06:26.497 | 04:38:02.065 | 1895.568 | 
| 2 | 04:54:14.226 | 05:25:49.799 | 1895.573 | 
| 3 | 05:42:01.955 | 06:13:37.525 | 1895.569 | 
| 4 | 06:29:49.683 | 07:01:25.256 | 1895.573 | 
| 5 | 07:17:37.413 | 07:49:12.985 | 1895.573 | 
| 6 | 08:05:25.139 | 08:37:00.710 | 1895.570 | 
| 7 | 08:53:12.869 | 09:24:48.441 | 1895.572 | 
| 8 | 09:41:00.599 | 10:12:36.171 | 1895.572 | 
| 9 | 10:28:48.324 | 11:00:23.896 | 1895.572 | 
| 10 | 11:16:36.054 | 11:48:11.626 | 1895.572 | 
| 11 | 12:04:23.786 | 12:35:59.355 | 1895.570 | 
| 12 | 12:52:11.510 | 13:23:47.083 | 1895.573 | 
| 13 | 13:39:59.244 | 14:11:34.812 | 1895.568 | 
| 14 | 14:27:46.971 | 14:59:22.543 | 1895.572 | 
| 15 | 15:15:34.697 | 15:47:10.270 | 1895.573 | 
| 16 | 16:03:22.430 | 16:34:57.998 | 1895.568 | 
| 17 | 16:51:10.157 | 17:22:45.728 | 1895.571 | 
| 18 | 17:38:57.883 | 18:10:33.456 | 1895.573 | 
| 19 | 18:26:45.617 | 18:58:21.187 | 1895.570 | 
| 20 | 19:14:33.345 | 19:46:08.916 | 1895.571 | 
| 21 | 20:02:21.073 | 20:33:56.643 | 1895.569 | 
| 22 | 20:50:08.803 | 21:21:44.376 | 1895.573 | 
| 23 | 21:37:56.531 | 22:09:32.102 | 1895.571 | 
| 24 | 22:25:44.261 | 22:57:19.829 | 1895.568 | 
| 25 | 23:13:31.990 | 23:45:07.563 | 1895.573 | 
| 26 | 00:01:19.719 | 00:32:55.288 | 1895.570 | 
| 27 | 00:49:07.447 | 01:20:43.019 | 1895.572 | 
| 28 | 01:36:55.176 | 02:08:30.749 | 1895.573 | 
| 29 | 02:24:42.903 | 02:56:18.474 | 1895.571 | 
| 30 | 03:12:30.632 | 03:44:06.204 | 1895.572 | 
| Publisher’s Note: MDPI stays neutral with regard to jurisdictional claims in published maps and institutional affiliations. | 
© 2022 by the authors. Licensee MDPI, Basel, Switzerland. This article is an open access article distributed under the terms and conditions of the Creative Commons Attribution (CC BY) license (https://creativecommons.org/licenses/by/4.0/).
Share and Cite
Zhu, Q.; Tao, H.; Cao, Y.; Li, X. Laser Inter-Satellite Link Visibility and Topology Optimization for Mega Constellation. Electronics 2022, 11, 2232. https://doi.org/10.3390/electronics11142232
Zhu Q, Tao H, Cao Y, Li X. Laser Inter-Satellite Link Visibility and Topology Optimization for Mega Constellation. Electronics. 2022; 11(14):2232. https://doi.org/10.3390/electronics11142232
Chicago/Turabian StyleZhu, Qinyu, Haicheng Tao, Yanhua Cao, and Xinhong Li. 2022. "Laser Inter-Satellite Link Visibility and Topology Optimization for Mega Constellation" Electronics 11, no. 14: 2232. https://doi.org/10.3390/electronics11142232
APA StyleZhu, Q., Tao, H., Cao, Y., & Li, X. (2022). Laser Inter-Satellite Link Visibility and Topology Optimization for Mega Constellation. Electronics, 11(14), 2232. https://doi.org/10.3390/electronics11142232
 
         
                                                

 
       