A New Compact Dual-Polarized MIMO Antenna Using Slot and Parasitic Element Decoupling for 5G and WLAN Applications
Abstract
:1. Introduction
- High isolation between the ports using simple and low-cost decoupling techniques such as diagonal slot and parasitic element (above 18 dB for the first proposed antenna and above 19.8 and 16.75 dB for the first and second operating band, respectively, for the second proposed antenna);
- Overall dimensions of 24 mm × 24 mm for the first proposed antenna and 25 mm × 25 mm for the second proposed antenna, which are compact sizes when compared to the other works available in the literature and cited in this article;
- Simple, low-cost, ease of manufacturing, dual-band, and dual-polarized performance for 5G and WLAN applications using slots as resonators;
- New geometries with double L-shaped stub parasitic element decoupling and diagonal slot inserted in the ground plane to improve isolation between the radiating elements.
2. Compact MIMO Antenna Design for 5G Applications
2.1. Slots Design to Achieve the Desired Resonant Frequency
2.2. Decoupling Technique Design
2.3. Ground Plane Design
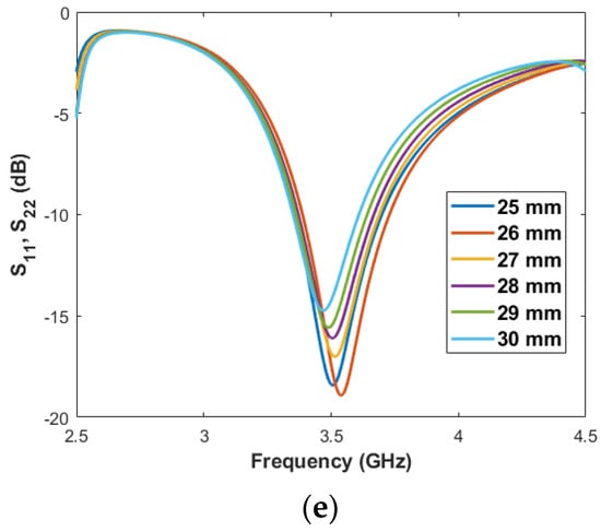
2.4. Antenna Performance
3. Compact MIMO Antenna Design for 5G/WLAN Applications
3.1. Antenna Performance
3.2. Comparison
4. Conclusions
Author Contributions
Funding
Acknowledgments
Conflicts of Interest
References
- Ren, A.; Liu, Y.; Yu, H.W.; Jia, Y.; Sim, C.Y.D.; Xu, Y. A High-Isolation Building Block Using Stable Current Nulls for 5G Smartphone Applications. IEEE Access 2019, 60, 170419–170429. [Google Scholar] [CrossRef]
- Hu, W.; Qian, L.; Gao, S.; Wen, L.H.; Luo, Q.; Xu, H.; Liu, X.; Liu, Y.; Wang, W. Dual-Band Eight-Element MIMO Array Using Multi-Slot Decoupling Technique for 5G Terminals. IEEE Access 2019, 60, 153910–153920. [Google Scholar] [CrossRef]
- Mak, K.M.; Lai, H.W.; Luk, K.M.; Chan, C.H. Circularly Polarized Patch Antenna for Future 5G Mobile Phones. IEEE Access 2014, 2, 1521–1529. [Google Scholar]
- Ren, A.; Liu, Y.; Sim, C.Y.D. A Compact Building Block with Two Shared-Aperture Antennas for Eight-Antenna MIMO Array in Metal-Rimmed Smartphone. IEEE Trans. Antennas Propag. 2019, 60, 6430–6438. [Google Scholar] [CrossRef]
- WRC-15 Press Release—World Radiocommunication Conference Allocates Spectrum for Future Innovation. Available online: http://www.itu.int/net/pressoffice/press_releases/2015/56.aspx#.XrAwCKhKjIU (accessed on 11 April 2021).
- Zou, H.; Li, Y.; Xu, B.; Chen, Y.; Jin, H.; Yang, G.; Luo, Y. Dual-Functional MIMO Antenna Array with High Isolation for 5G/WLAN Applications in Smartphones. IEEE Access 2019, 7, 167470–167480. [Google Scholar] [CrossRef]
- Hong, W. Solving the 5G Mobile Antenna Puzzle: Assessing Future Directions for the 5G Mobile Antenna Paradigm Shift. IEEE Microw. Mag. 2017, 18, 86–102. [Google Scholar] [CrossRef]
- Parchin, N.O.; Al-Yasir, Y.I.A.; Ali, A.H.; Elfergani, I.; Noras, J.M.; Rodriguez, J.; Abd-Alhameed, R.A. Eight-Element Dual-Polarized MIMO Slot Antenna System for 5G Smartphone Applications. IEEE Access 2019, 7, 15612–15622. [Google Scholar] [CrossRef]
- Cui, L.; Guo, J.; Liu, Y.; Sim, C.Y.D. An 8-Element Dual-Band MIMO Antenna with Decoupling Stub for 5G Smartphone Applications. IEEE Antennas Wirel. Propag. Lett. 2019, 18, 2095–2099. [Google Scholar] [CrossRef]
- Li, Y.; Sim, C.Y.D.; Luo, Y.; Yang, G. High-Isolation 3.5 GHz Eight-Antenna MIMO Array Using Balanced Open-Slot Antenna Element for 5G Smartphones. IEEE Trans. Antennas Propag. 2019, 60, 3820–3830. [Google Scholar] [CrossRef]
- Xu, S.; Li, Y.; Gao, Y.; Gacanin, H. Opportunistic Coexistence of LTE and WiFi for Future 5G System: Experimental Performance Evaluation and Analysis. IEEE Access 2018, 6, 8725–8741. [Google Scholar] [CrossRef]
- Zhang, R.; Wang, M.; Cai, L.X.; Zheng, Z.; Shen, X.; Xie, L. LTE-Unlicensed: The Future of Spectrum Aggregation for Cellular Networks. IEEE Wirel. Commun. 2015, 22, 151–159. [Google Scholar] [CrossRef]
- Oliveira, J.G.D.; D’Assunção Junior, A.G.; Silva Neto, V.P.; D’Assunção, A.G. New compact MIMO antenna for 5G, WiMAX and WLAN technologies with dual polarisation and element diversity. IET Microw. Antennas Propag. 2021, 15, 415–426. [Google Scholar] [CrossRef]
- Khan, A.A.; Jamaluddin, M.H.; Aqeel, S.; Nasir, J.; Kazim, J.u.R.; Owais, O. Dual-band MIMO dielectric resonator antenna for WiMAX/WLAN applications. IET Microw. Antennas Propag. 2017, 11, 113–120. [Google Scholar] [CrossRef]
- Jehangir, S.S.; Mohammad, S.S.; Shamim, A. Highly miniaturised semi-loop meandered dual-band MIMO antenna system. IET Microw. Antennas Propag. 2018, 12, 864–871. [Google Scholar] [CrossRef]
- Kwon, D.; Khang, S.T.; Yeo, T.D.; Hwang, I.J.; Lee, D.J.; Yu, J.W.; Lee, W.S. Dual-Band Half-Elliptic Hoof Antenna With Mathieu Function for a Femto-Cell Network. IEEE Trans. Antennas Propag. 2017, 65, 1047–1054. [Google Scholar] [CrossRef]
- Li, Z.; Yin, C.; Zhu, X. Compact UWB MIMO Vivaldi Antenna with Dual Band-Notched Characteristics. IEEE Access 2019, 7, 38696–38701. [Google Scholar] [CrossRef]
- Zhao, X.; Riaz, S.; Geng, S. A Reconfigurable MIMO/UWB MIMO Antenna for Cognitive Radio Applications. IEEE Access 2019, 7, 46739–46747. [Google Scholar] [CrossRef]
- Ameen, M.; Ahmad, O.; Chaudhary, R.K. Single split-ring resonator loaded self-decoupled dual-polarized MIMO antenna for mid-band 5G and C-band applications. AEU Int. J. Electron. Commun. 2020, 124, 153336. [Google Scholar] [CrossRef]
- Sohi, A.K.; Kaur, A. Sextuple band rejection functionality from a compact Koch anti-snowflake fractal UWB-MIMO antenna integrated with split-ring resonators and slots. AEU Int. J. Electron. Commun. 2021, 138, 153898. [Google Scholar] [CrossRef]
- Soltani, S.; Lotfi, P.; Murch, R.D. A Dual-Band Multiport MIMO Slot Antenna for WLAN Applications. IEEE Antennas Wirel. Propag. Lett. 2017, 16, 529–532. [Google Scholar] [CrossRef]
- Peng, H.; Zhi, R.; Yang, Q.; Cai, J.; Wan, Y.; Liu, G. Design of a MIMO Antenna with High Gain and Enhanced Isolation for WLAN Applications. Electronics 2021, 10, 1659. [Google Scholar] [CrossRef]
- Desai, A.; Palandoken, M.; Elfergani, I.; Akdag, I.; Zebiri, C.; Bastos, J.; Rodriguez, J.; Abd-Alhameed, R.A. Transparent 2-Element 5G MIMO Antenna for Sub-6 GHz Applications. Electronics 2022, 11, 251. [Google Scholar] [CrossRef]
- Yang, R.; Xi, S.; Cai, Q.; Chen, Z.; Wang, X.; Liu, G. A Compact Planar Dual-Band Multiple-Input and Multiple-Output Antenna with High Isolation for 5G and 4G Applications. Micromachines 2021, 12, 544. [Google Scholar] [CrossRef] [PubMed]
- Wu, S.; Chi, L.; Li, F.; Paulis, F.; Qi, Y. A Compact High-Isolation Wideband Three-Sector Linear Array. IEEE Trans. Antennas Propag. 2022, 70, 3094–3099. [Google Scholar] [CrossRef]
- Gao, D.; Cao, Z.X.; Fu, S.D.; Quan, X.; Chen, P. A Novel Slot-Array Defected Ground Structure for Decoupling Microstrip Antenna Array. IEEE Trans. Antennas Propag. 2020, 68, 7027–7038. [Google Scholar] [CrossRef]
- Huang, J.; Dong, G.; Cai, Q.; Chen, Z.; Li, L.; Liu, G. Dual-Band MIMO Antenna for 5G/WLAN Mobile Terminals. Micromachines 2021, 12, 489. [Google Scholar] [CrossRef]
- Al-Gburi, A.J.A.; Ibrahim, I.M.; Zakaria, Z.; Abdulhameed, M.K.; Saeidi, T. Enhancing Gain for UWB Antennas Using FSS: A Systematic Review. Mathematics 2021, 9, 3301. [Google Scholar] [CrossRef]
- Souza, E.A.M.; Oliveira, P.S.; D’Assunção, A.G.; Mendonça, L.M.; Peixeiro, C. Miniaturization of a Microstrip Patch Antenna with a Koch Fractal Countour Using a Social Spider Algorithm to Optimize Shorting Post Position and Inset Feeding. Int. J. Antennas Propag. 2019, 2019, 6284830. [Google Scholar] [CrossRef]
- Rahman, M.; Park, J.-D. The Smallest Form Factor UWB Antenna with Quintuple Rejection Bands for IoT Applications Utilizing RSRR and RCSRR. Sensors 2018, 18, 911. [Google Scholar] [CrossRef] [Green Version]






















| Reference | Band (GHz) | Size (mm2) | Isolation (dB) | Polarization | DG (dB) | ECC |
|---|---|---|---|---|---|---|
| [13] | 3.1–5.2 | 35 × 35 | >10 | Dual | >9.9 | <0.1 |
| [14] | 3.4–3.7 5.15–5.35 | 50 × 50 | >13 >16 | NA | >9.956 >9.963 | <0.131 <0.002 |
| [15] | 1.27–1.43 1.8–2.133 | 50 × 120 | >15 | NA | >9.6 | <0.0785 |
| [16] | 0.88–0.96 1.71–2.17 | 219.9 × NA | >10 >NA | NA | NA | NA |
| [17] | 2.9–11.6 | 26 × 26 | >16 | NA | NA | 0.02 |
| [18] | 1–4.5 | 120 × 60 | >12.5 | NA | NA | <0.19 |
| [19] | 3.4–3.6 4–8 | 46 × 21 | >12 >15 | Linear (first band) Circular (second band) | 10 | <0.003 |
| [20] | 2.48–15.42 | 29.5 × 43.5 | >17 | NA | >9.773 | <0.019 |
| [21] 1 | 2.4–2.5 4.9–5.8 | 46 × 20 | >14 >12 | NA | NA | <0.001 <0.27 |
| [22] | 2.12–2.8 4.95–6.65 | 50 × 40 | >14 >21 | Linear | NA | <0.01 <0.024 |
| [23] | 4.65–4.97 (case 1) 4.67–4.94 (case 2) | 50 × 35 | >15 | NA | >9.96 >9.94 | <0.02 |
| [24] | 2.5–2.57 3.17–3.77 | 32 × 32 | >15 | NA | NA | <0.02 |
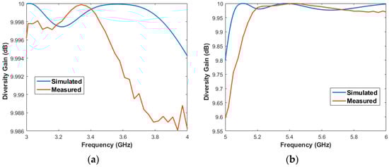
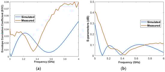
| This work | 3.4–3.6 5.15–5.85 | 25 × 25 | >19.8 >16.75 | Dual | >9.994 >9.971 | <0.06 <0.11 |
Publisher’s Note: MDPI stays neutral with regard to jurisdictional claims in published maps and institutional affiliations. |
© 2022 by the authors. Licensee MDPI, Basel, Switzerland. This article is an open access article distributed under the terms and conditions of the Creative Commons Attribution (CC BY) license (https://creativecommons.org/licenses/by/4.0/).
Share and Cite
Paiva, S.B.; Junior, A.G.D.; Neto, V.P.S.; D’Assunção, A.G. A New Compact Dual-Polarized MIMO Antenna Using Slot and Parasitic Element Decoupling for 5G and WLAN Applications. Electronics 2022, 11, 1943. https://doi.org/10.3390/electronics11131943
Paiva SB, Junior AGD, Neto VPS, D’Assunção AG. A New Compact Dual-Polarized MIMO Antenna Using Slot and Parasitic Element Decoupling for 5G and WLAN Applications. Electronics. 2022; 11(13):1943. https://doi.org/10.3390/electronics11131943
Chicago/Turabian StylePaiva, Samuel B., Adaildo G. D’Assunção Junior, Valdemir P. Silva Neto, and Adaildo Gomes D’Assunção. 2022. "A New Compact Dual-Polarized MIMO Antenna Using Slot and Parasitic Element Decoupling for 5G and WLAN Applications" Electronics 11, no. 13: 1943. https://doi.org/10.3390/electronics11131943
APA StylePaiva, S. B., Junior, A. G. D., Neto, V. P. S., & D’Assunção, A. G. (2022). A New Compact Dual-Polarized MIMO Antenna Using Slot and Parasitic Element Decoupling for 5G and WLAN Applications. Electronics, 11(13), 1943. https://doi.org/10.3390/electronics11131943

