UWB-Printed Rectangular-Based Monopole Antenna for Biological Tissue Analysis
Abstract
1. Introduction
2. Design and Optimization Process of the Antenna
2.1. Starting Geometry of the Antenna
2.2. Analysis of Two Steps in the Rectangular Patch
2.3. Analysis of Strips in the Microstrip Feeding Line
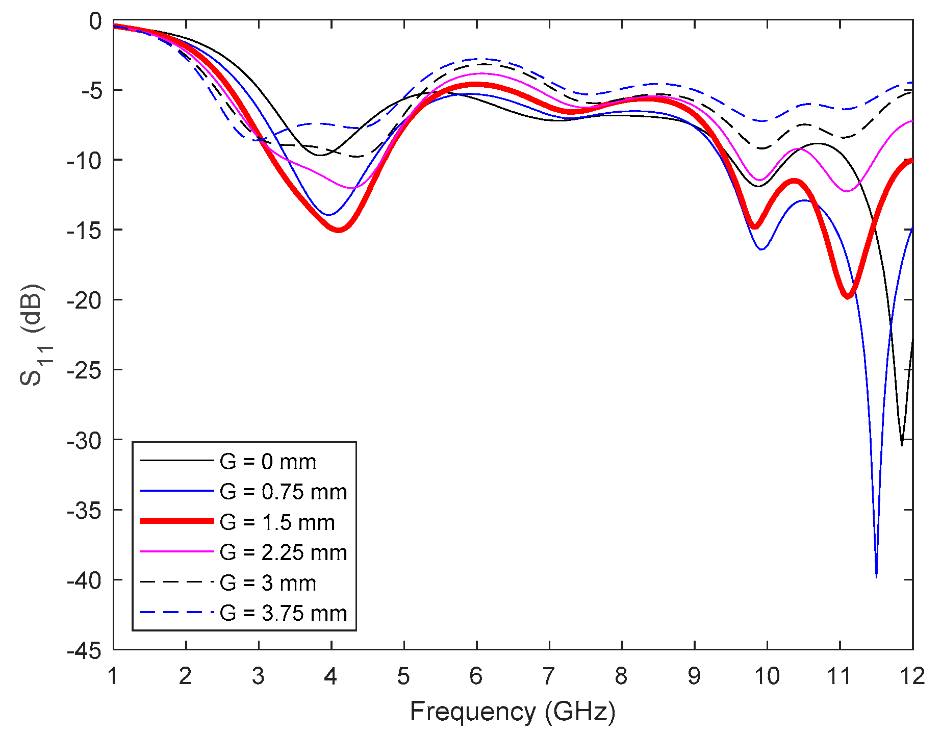
2.4. Analysis of Slots in the Ground Plane
3. Results
Time Domain Analysis
4. Study of the Influence of Biological Tissue
Signal Processing of the Breast Model Results
5. Conclusions
Author Contributions
Funding
Conflicts of Interest
References
- World Health Organization. WHO Report on Cancer: Setting Priorities, Investing Wisely and Providing Care for All. 2020. Available online: https://apps.who.int/iris/handle/10665/330745.License:CCBY-NC-SA3.0IGO (accessed on 22 December 2020).
- Khuda, I.E. Feasibility of the Detection of Breast Cancer Using Ultra-Wide Band (UWB) Technology in Comparison with Other Screening Techniques. In UWB Technology and Its Applications; Kocur, D., Ed.; IntechOpen: London, UK, 2018. [Google Scholar]
- Porter, E.; Coates, M.; Popović, M. An Early Clinical Study of Time-Domain Microwave Radar for Breast Health Monitoring. IEEE Trans. Biomed. Eng. 2016, 63, 530–539. [Google Scholar] [CrossRef]
- Khalesi, B.; Sohani, B.; Ghavami, N.; Ghavami, M.; Dudley, S.; Tiberi, G. A Phantom Investigation to Quantify Huygens Principle Based Microwave Imaging for Bone Lesion Detection. Electronics 2019, 8, 1505. [Google Scholar] [CrossRef]
- Borja, B.; Tirado, J.A.; Jardón, H. An Overview of UWB Antennas for Microwave Imaging Systems for Cancer Detection Purposes. Prog. Electromagn. Res. B 2018, 80, 173–198. [Google Scholar] [CrossRef][Green Version]
- Bourqui, J.; Sill, J.M.; Fear, E.C. A Prototype System for Measuring Microwave Frequency Reflections from the Breast. Int. J. Biomed. Imaging 2012, 2012. [Google Scholar] [CrossRef]
- Islam, M.T.; Islam, M.M.; Samsuzzaman, M.; Faruque, M.R.I.; Misran, N. A Negative Index Metamaterial-Inspired UWB Antenna with an Integration of Complementary SRR and CLS Unit Cells for Microwave Imaging Sensor Applications. Sensors 2015, 15, 11601–11627. [Google Scholar] [CrossRef] [PubMed]
- Bahramiabarghouei, H.; Porter, E.; Santorelli, A.; Gosselin, B.; Popović, M.; Rusch, L.A. Flexible 16 Antenna Array for Microwave Breast Cancer Detection. IEEE Trans. Biomed. Eng. 2015, 62, 2516–2525. [Google Scholar] [CrossRef]
- Federal Communications Commission. First Report and Order, Revision of Part 15 of the Commission’s Rules Regarding Ultra Wide Band Transmission Systems; Federal Communications Commission: Washington, DC, USA, 2002. Available online: https://www.fcc.gov/document/revision-part-15-commissions-rules-regarding-ultra-wideband (accessed on 22 December 2020).
- Samsuzzaman, M.; Islam, M.T.; Islam, M.T.; Shovon, A.A.; Faruque, R.I.; Misran, N. A 16-modified antipodal Vivaldi antenna array for microwave-based breast tumor imaging applications. Microw. Opt. Technol. Lett. 2019, 61, 2110–2118. [Google Scholar] [CrossRef]
- Foroutan, F.; Nikolova, N.K. Active Sensor for Microwave Tissue Imaging with Bias-Switched Arrays. Sensors 2018, 18, 1447. [Google Scholar] [CrossRef]
- Islam, M.M.; Islam, M.T.; Faruque, M.R.I.; Samsuzzaman, M.; Misran, N.; Arshad, H. Microwave Imaging Sensor Using Compact Metamaterial UWB Antenna with a High Correlation Factor. Materials 2015, 8, 4631–4651. [Google Scholar] [CrossRef]
- Saied, I.M.; Arslan, T. Noninvasive Wearable RF Device Towards Monitoring Brain Atrophy and Lateral Ventricle Enlargement. IEEE J. Electromagn. RF Microw. Med. Biol. 2020, 4, 61–68. [Google Scholar] [CrossRef]
- Mahmud, M.Z.; Islam, M.T.; Almutairi, A.F.; Samsuzzaman, M.; Acharjee, U.K.; Islam, M.T. A Parasitic Resonator-Based Diamond-Shaped Microstrip Antenna for Microwave Imaging Applications. Electronics 2019, 8, 434. [Google Scholar] [CrossRef]
- Ullah, S.; Ruan, C.; Sadiq, M.S.; Haq, T.U.; He, W. High Efficient and Ultra Wide Band Monopole Antenna for Microwave Imaging and Communication Applications. Sensors 2020, 20, 115. [Google Scholar] [CrossRef] [PubMed]
- Jose, S.M.; Lethakumary, B. CPW-fed step-shaped microstrip antenna for UWB applications. Microw. Opt. Technol. Lett. 2015, 57, 589–591. [Google Scholar] [CrossRef]
- Hanapi, K.M.; Abdul Rahim, S.K.; Saad, B.M.; Abdul Rani, M.S.; Abd Aziz, M.Z. An elliptically planar UWB monopole antenna with step slots defective ground structure. Microw. Opt. Technol. Lett. 2014, 56, 2084–2088. [Google Scholar] [CrossRef]
- Aissaoui, D.; Abdelghani, L.M.; Boukli-Hacen, N.; Denidni, T.A. CPW-fed UWB hexagonal shaped antenna with additional fractal elements. Microw. Opt. Technol. Lett. 2016, 58, 2370–2374. [Google Scholar] [CrossRef]
- Bithikh, M.; Aksas, R.; Kimouche, H.; Azrar, A. New UWB antenna design for wireless communications. Microw. Opt. Technol. Lett. 2012, 54, 692–697. [Google Scholar] [CrossRef]
- Karli, R.; Ammor, H.; Virdee, B.S. Early detection of breast tumors using UWB microstrip antenna imaging. Microw. Opt. Technol. Lett. 2016, 58, 2101–2106. [Google Scholar] [CrossRef]
- Ojaroudi, N. Compact UWB monopole antenna with enhanced bandwidth using rotated L-shaped slots and parasitic structures. Microw. Opt. Technol. Lett. 2014, 56, 175–178. [Google Scholar] [CrossRef]
- Ojaroudi, N.; Ghadimi, N. Omnidirectional microstrip monopole antenna design for use in microwave imaging systems. Microw. Opt. Technol. Lett. 2015, 57, 395–401. [Google Scholar] [CrossRef]
- Yeboah-Akowuah, B.; Kosmas, P.; Chen, Y. A Q-Slot Monopole for UWB Body-Centric Wireless Communications. IEEE Trans. Antennas Propag. 2017, 65, 5069–5075. [Google Scholar] [CrossRef]
- Boutejdar, A.; Abd Ellatif, W. A novel compact UWB monopole antenna with enhanced bandwidth using triangular defected microstrip structure and stepped cut technique. Microw. Opt. Technol. Lett. 2016, 58, 1514–1519. [Google Scholar] [CrossRef]
- Jalali, M.; Sedghi, T. Very compact UWB CPW-fed fractal antenna using modified ground plane and unit cells. Microw. Opt. Technol. Lett. 2014, 56, 851–854. [Google Scholar] [CrossRef]
- Navarro, E.A.; Sangary, N.T.; Wu, C.; Litva, J. Analysis of a coupled patch antenna with application in personal communications. IEE Proc.-Microw. Antennas Propag. 1995, 142, 495–497. [Google Scholar] [CrossRef]
- Balanis, C.A. Antenna Theory: Analysis and Design, 3rd ed.; John Wiley & Sons, Inc.: Hoboken, NJ, USA, 2005. [Google Scholar]
- Mustaqim, M.; Khawaja, B.A.; Chattha, H.T.; Shafique, K.; Zafar, M.J.; Jamil, M. Ultra-wideband antenna for wearable Internet of Things devices and wireless body area network applications. Int. J. Numer. Model. 2019, 32, e2590. [Google Scholar] [CrossRef]
- Yadav, S.; Gautam, A.K.; Kanaujia, B.K. Design of miniaturized single band-notch micro strip antenna with enhanced UWB performance. Microw. Opt. Technol. Lett. 2016, 58, 1494–1499. [Google Scholar] [CrossRef]
- Moosazadeh, M.; Ghobadi, C.; Esmati, Z. Monopole antenna based on wrench-shaped slot on circular disc patch for UWB application. Microw. Opt. Technol. Lett. 2011, 53, 1927–1931. [Google Scholar] [CrossRef]
- Kimouche, H.; Abed, D.; Atrouz, B.; Aksas, R. Bandwidth enhancement of rectangular monopole antenna using modified semi-elliptical ground plane and slots. Microw. Opt. Technol. Lett. 2010, 52, 54–58. [Google Scholar] [CrossRef]
- Singhal, S.; Singh, A.K. Flower-shaped ultra-wideband fractal antenna. Int. J. RF Microw. Comput. Aided Eng. 2019, 29, e21885. [Google Scholar] [CrossRef]
- Chiang, K.H.; Tam, K.W. Microstrip Monopole Antenna with Enhanced Bandwidth Using Defected Ground Structure. IEEE Antennas Wirel. Propag. Lett. 2008, 7, 532–535. [Google Scholar] [CrossRef]
- Lee, C.H.; Wu, J.H.; Hsu, C.I.G.; Chan, H.L.; Chen, H.H. Balanced Band-Notched UWB Filtering Circular Patch Antenna with Common-Mode Suppression. IEEE Antennas Wirel. Propag. Lett. 2017, 16, 2812–2815. [Google Scholar] [CrossRef]
- Prombutr, N.; Kirawanich, P.; Akkaraekthalin, P. Bandwidth Enhancement of UWB Microstrip Antenna with a Modified Ground Plane. Int. J. Micro. Sci. Tec. 2009, 2009. [Google Scholar] [CrossRef][Green Version]
- Singhal, S.; Singh, A.K. Beveled monopole antenna with slot loaded semicircular like ground plane for UWB applications. Microw. Opt. Technol. Lett. 2015, 57, 1289–1296. [Google Scholar] [CrossRef]
- Jeong, W.; Tak, J.; Choi, J. A Low-Profile IR-UWB Antenna with Ring Patch for WBAN Applications. IEEE Trans. Antennas Propag. 2015, 14, 1447–1450. [Google Scholar] [CrossRef]
- Mighani, M.; Akbari, M. New UWB Monopole Planer Antenna with Dual Band Notched. Prog. Electromagn. Res. C 2014, 52, 153–162. [Google Scholar] [CrossRef][Green Version]
- Quintero, G.; Zurcher, J.-F.; Skrivervik, A.K. System Fidelity Factor: A New Method for Comparing UWB Antennas. IEEE Trans. Antennas Propag. 2011, 59, 2502–2512. [Google Scholar] [CrossRef]
- Lazebnik, M.; Okoniewski, M.; Booske, J.H.; Hagness, S.C. Highly Accurate Debye Models for Normal and Malignant Breast Tissue Dielectric Properties at Microwave Frequencies. IEEE Microw. Wirel. Compon. Lett. 2007, 17, 822–824. [Google Scholar] [CrossRef]
- Li, X.; Hagness, S.C. A confocal microwave imaging algorithm for breast cancer detection. IEEE Microw. Wirel. Compon. Lett. 2001, 11, 130–132. [Google Scholar] [CrossRef]
- Foundation for Research on Information Technologies in Society (IT’IS). Study about Dielectric Properties for Biological Tissues. Available online: https://itis.swiss/virtual-population/tissue-properties/database/dielectric-properties/ (accessed on 22 December 2020).






















| Parameter | Value (mm) | Parameter | Value (mm) |
|---|---|---|---|
| 36.00 | 2.50 | ||
| 40.00 | 2.80 | ||
| 24.00 | 0.30 | ||
| 14.00 | 8.20 | ||
| 2.90 | 8.00 | ||
| 16.00 | 2.50 | ||
| 1.50 | 1.95 | ||
| 17.00 | 10.50 | ||
| 7.00 |
| Configuration | Fidelity Factor (%) |
|---|---|
| Face-to-face | 88 |
| Side-by-side | 93 |
| Reference | Size (mm2) | Bandwidth (GHz) | BW (%) | Gain (dBi) | Fidelity Factor (%) | Feed Topology | Complexity |
|---|---|---|---|---|---|---|---|
| [7] | 19.4 × 27.7 | 3.1–15.0 | 131.5 | 1.2–6.6 | 84–91 | Microstrip | High |
| [8] | 20.0 × 20.0 | 2.0–4.0 | 66.7 | N.R. | 67–94 | CPW | Low |
| [11] | 13.1 × 11.0 | 4.9–7.5 | 41.9 | N.R. | N.R. | CPW | High |
| [14] | 25.0 × 30.0 | 2.7–10.3 | 116.9 | 1.0–4.5 | N.R. | Microstrip | High |
| [16] | 30.0 × 25.0 | 4.4–11.0 | 85.7 | −11–4.8 | N.R. | CPW | Low |
| [18] | 39.0 × 36.5 | 3.1–13.7 | 125.7 | N.R. | N.R. | CPW | Medium |
| [20] | 16.0 × 25.0 | 3.9–11.3 | 97.4 | 2.0–4.5 | N.R. | Microstrip | Medium |
| [32] | 11.4 × 15.7 | 4.6–16.7 | 113.6 | 1.0–3.9 | 75–84 | CPW | High |
| Our proposal | 36.0 × 40.0 | 2.7–11.4 | 123.4 | 1.3–6.6 | 88–93 | Microstrip | Low |
| Material | Thickness (mm) | |||
|---|---|---|---|---|
| Skin | 32.0 | 4.0 | 7.23 | 2 |
| Breast fat | 3.0 | 2.5 | 17.68 | 8 |
| Breast glands | 55.0 | 4.0 | 7.97 | 105 (diameter) |
Publisher’s Note: MDPI stays neutral with regard to jurisdictional claims in published maps and institutional affiliations. |
© 2021 by the authors. Licensee MDPI, Basel, Switzerland. This article is an open access article distributed under the terms and conditions of the Creative Commons Attribution (CC BY) license (http://creativecommons.org/licenses/by/4.0/).
Share and Cite
Martínez-Lozano, A.; Blanco-Angulo, C.; García-Martínez, H.; Gutiérrez-Mazón, R.; Torregrosa-Penalva, G.; Ávila-Navarro, E.; Sabater-Navarro, J.M. UWB-Printed Rectangular-Based Monopole Antenna for Biological Tissue Analysis. Electronics 2021, 10, 304. https://doi.org/10.3390/electronics10030304
Martínez-Lozano A, Blanco-Angulo C, García-Martínez H, Gutiérrez-Mazón R, Torregrosa-Penalva G, Ávila-Navarro E, Sabater-Navarro JM. UWB-Printed Rectangular-Based Monopole Antenna for Biological Tissue Analysis. Electronics. 2021; 10(3):304. https://doi.org/10.3390/electronics10030304
Chicago/Turabian StyleMartínez-Lozano, Andrea, Carolina Blanco-Angulo, Héctor García-Martínez, Roberto Gutiérrez-Mazón, Germán Torregrosa-Penalva, Ernesto Ávila-Navarro, and José María Sabater-Navarro. 2021. "UWB-Printed Rectangular-Based Monopole Antenna for Biological Tissue Analysis" Electronics 10, no. 3: 304. https://doi.org/10.3390/electronics10030304
APA StyleMartínez-Lozano, A., Blanco-Angulo, C., García-Martínez, H., Gutiérrez-Mazón, R., Torregrosa-Penalva, G., Ávila-Navarro, E., & Sabater-Navarro, J. M. (2021). UWB-Printed Rectangular-Based Monopole Antenna for Biological Tissue Analysis. Electronics, 10(3), 304. https://doi.org/10.3390/electronics10030304

