Next Article in Journal
Battery Charger Based on a Resonant Converter for High-Power LiFePO4 Batteries
Previous Article in Journal
Wideband Rectangular Waveguide to Substrate Integrated Waveguide (SIW) E-Plane T-Junction
 
 
Font Type:
Arial Georgia Verdana
Font Size:
Aa Aa Aa
Line Spacing:
Column Width:
Background:
Article

Sensorless Control of Bearingless Permanent Magnet Synchronous Motor Based on LS-SVM Inverse System

School of Electrical and Information Engineering, Jiangsu University, Zhenjiang 212013, China
*
Author to whom correspondence should be addressed.
Electronics 2021, 10(3), 265; https://doi.org/10.3390/electronics10030265
Submission received: 9 December 2020 / Revised: 18 January 2021 / Accepted: 20 January 2021 / Published: 23 January 2021
(This article belongs to the Section Systems & Control Engineering)

Abstract

In order to solve the problems of low integration, low reliability, and high cost caused by mechanical sensors used in bearingless permanent magnet synchronous motor (BPMSM) control systems, a novel speed and displacement sensorless control method using a least-squares support vector machine (LS-SVM) left inverse system is proposed in this paper. Firstly, the suspension force generation principle of the BPMSM is introduced, and the mathematical model of the BPMSM is derived. Secondly, the observation principle of the left inverse system is explained, and the left reversibility of the established speed and displacement subsystem is proved. Thirdly, the left inverse systems of the speed and displacement subsystems are constructed by using the LS-SVM, and the complete speed and displacement sensorless control system is constructed. Finally, the simulations and experiments of the proposed method are performed. The research results demonstrate that the proposed observation method can identify the speed and displacement quickly and accurately, and the sensorless control method can realize the stable operation of the BPMSM without speed and displacement sensors.

1. Introduction

As a successful application of magnetic suspension technology in the field of motor drives, bearingless motor technology achieves the integration of rotor rotation and magnetic suspension simultaneously [1,2,3,4,5]. This not only facilitates the high-speed operation of the motor but also solves the problem that conventional bearings are difficult to maintain in extremely high- and low-temperature, toxic, and harmful situations [6,7,8]. Bearingless motors can be divided into different types, such as the bearingless permanent magnet synchronous motor (BPMSM) [1], bearingless synchronous reluctance motor [2], bearingless induction motor [3], and bearingless flux-switching permanent magnet motor [4,5]. Among the various bearingless motors, the BPMSM has the advantages of high efficiency and high torque density and therefore has application value in semiconductors, the chemical industry, biomedicine, aerospace, and so on [9,10,11,12]. Accurate rotor speed and radial displacement sensing is the basis for the stable rotation and suspension of the BPMSM. Generally, photoelectric encoders and Hall displacement sensors are applied to measure the speed and radial displacement of the rotor. However, these sensors increase the weight, volume, and cost of the whole system, and the detection results are easily affected by environmental factors and are not suitable for extreme environments [13,14,15,16]. Therefore, the research on the self-sensing technology of the speed and radial displacement of the BPMSM is expected to enhance the integrated level and reliability of the system, reduce the axial length of the motor, and provide more application fields for the BPMSM [17,18,19,20].
In the past decade, the self-sensing technology of bearingless motors has become one of the research focuses on bearingless motor technology. In [13], a model-based rotor angle observer at zero and low BPMSM speeds is proposed. The radial displacements and suspension force model are used to observe the angular position. In [14], in order to realize the speed sensorless control of the BPMSM pump, a method is proposed, which calculates the physical angle from the freewheeling current of a driving phase to synchronize with the estimated angle. The methods proposed in [13,14] require the radial displacement obtained by the displacement sensors to determine the rotor angular position, and the sensorless control of the displacement and speed cannot be realized simultaneously. In [15], a BPMSM speed sensorless control method using a neural network inverse system is proposed. However, the neural network itself has some problems, such as slow convergence and being easy to fall into local optimal solutions. In [16], a BPMSM speed sensorless control method based on an improved high-frequency signal injection method with a finite impulse-response filter is proposed. In [17], a displacement self-sensing method of the bearingless induction motor using the mutual inductances affected by the displacement is proposed. In [18], the displacement self-sensing of the BPMSM is realized by using the high-frequency signal injection method. References [16,17,18] use high-frequency signal injection methods, where signal processing circuits are inevitably added and the complexity of the control system is increased. In [19], four search coils of a bearingless induction motor are added and connected to a high-frequency voltage source. The rotor radial displacements are then obtained by processing the middle-point voltages between two search coils. The introduction of search coils takes up the space of the stator slots and reduces the performance of the motor. In [20], a rotor displacement self-sensing method using the difference of symmetric-windings flux linkages based on the symmetrical structure of a six-phase single-winding bearingless flux-switching permanent magnet machine is proposed. This method is only applicable to the proposed motor.
Much of the research on the sensorless control methods of the bearingless motors listed in the previous paragraph only focus on one aspect; that is, either the speed sensorless control or the displacement sensorless control. However, both the photoelectric encoder and the probes of the eddy current displacement sensors are installed on the motor, increasing the volume and reducing reliability. Moreover, using different methods to realize the speed and displacement self-sensing of the BPMSM will greatly increase the complexity of the control system. For example, if the adaptive method and the high-frequency signal injection method are used to realize the speed and displacement self-sensing, respectively, the self-sensing program and the filter circuit for signal processing should be included in the control system, which will increase the complexity and reduce the reliability of the control system. According to the inverse system theory, by cascading the left inverse system with the original system, the composite system can be used as an input observer, meaning that the original input signal can be obtained from the output signal of the inverse system. Thus, the left inverse system theory can be utilized to realize the speed and displacement self-sensing of the BPMSM. As we know, the BPMSM is a nonlinear time-varying system, and its models of the speed subsystem and the displacement subsystem are different. To overcome the difficulty of obtaining accurate models, a least-squares support vector machine (LS-SVM) is used to construct the inverse systems of the speed and displacement subsystems. The proposed method can not only reduce the system cost and increase reliability but also does not require additional hardware circuits.
The structure of this paper is as follows. The operating principle and the mathematical model of the BPMSM are introduced in Section 2. In Section 3, the self-sensing principle of the left inverse system is explained, and the left reversibility of the speed and displacement subsystems is verified. In Section 4, the LS-SVM is used to identify the speed and displacement left inverse systems. In Section 5, a speed and displacement sensorless control system of the BPMSM is designed. The simulation and experiment results are given in Section 6. Finally, the conclusion is drawn in Section 7.

2. Operation Principle and Mathematics Model

In the BPMSM, the pole-pair numbers of torque windings PM and suspension force windings PB are different by ±1, and two sets of windings are arranged in the same stator slots to produce the torque and suspension force synchronously [21]. Figure 1 shows the generation principle of the suspension force. The subscript B is relative to suspension force windings, and M is relative to torque windings.
The model established by finite-element analysis software is shown in Figure 1. The stator slots are divided into two-pole suspension force windings in the inner layer and four-pole torque windings in the outer layer. It can be seen from Figure 1a,b that the torque magnetic field is a uniformly distributed four-pole magnetic field, and the suspension force magnetic field is a uniformly distributed two-pole magnetic field. Since the magnetic flux density is directional, the composite magnetic field generated by the two magnetic fields is not uniformly distributed. As shown in Figure 1c, the suspension force magnetic field and the torque magnetic field are of the same polarity in the positive direction of the y-axis, thus the magnetic field in this area is enhanced. In the negative direction of the y-axis, the suspension force magnetic field and the torque magnetic field have opposite polarities, thus the magnetic field in this area is decreased. Therefore, a magnetic-field-strengthening zone and a magnetic-field-weakening zone are formed in the air gap. According to the Maxwell force principle, the total force on the rotor at this time points to the positive y-axis. A suspension force in the opposite direction can be produced by adding a negative current in the suspension force windings. The suspension force in the x-direction can be produced similarly.
The expression of the radial suspension force can be obtained by the virtual displacement method. The flux linkages of the torque windings and the suspension force windings in the α-β coordinate can be written as [21]
[ Ψ B α Ψ B β Ψ M α Ψ M β ] = [ L B 0 M x M y 0 L B M y M x M x M y L M 0 M y M x 0 L M ] [ i B α i B β i M α i M β ]
where ΨMα, ΨMβ, ΨBα, and ΨBβ are the flux linkages of torque windings and suspension force windings in the α-β coordinate, LM and LB are the self-inductances of torque windings and suspension force windings, iMα, iMβ, iBα, and iBβ are the currents of torque windings and suspension force windings in the α-β coordinate, M is the derivative of mutual inductance with respect to the rotor radial displacement, and x and y are the radial displacements in the α-β coordinate.
The stored magnetic energy Wm is then given by
W m = 1 2 [ i B α i B β i M α i M β ] [ Ψ B α Ψ B β Ψ M α Ψ M β ]
The radial forces Fx and Fy can be derived from the partial derivatives of the stored magnetic energy Wm, which is given as
[ F x F y ] = [ W m x W m y ] = M [ i B α i M α + i B β i M β i B α i M β + i B β i M α ] = M [ i M α i M β i M β i M α ] [ i B α i B β ]

3. Observer Design

3.1. Left Inverse System Theory

The left inverse system is the basic concept in the inverse system theory. However, unlike the right inverse system, the left inverse system focuses on the reappearance of the input signal of the system, and its basic concept is similar to “observability” in control theory. Therefore, the left inverse system theory can be utilized to realize the speed and displacement estimation of the BPMSM [22,23].
The principle of the left inverse system is given below. For a nonlinear system
x ˙ = f ( x , u )
where x = [ x 1 , x 2 , , x n ] T is the n-dimensional state variable, x m = [ x 1 , x 2 , , x m ] T is the m-dimensional unobservable variable, and x l = [ x m + 1 , x m + 2 , , x n ] T is the nm-dimensional observable variable.
It can be assumed that an “inner sensor subsystem” exists in the nonlinear system. The input variables of the inner sensor subsystem are nonobservable variables and the input variables of the original system, and the output variables are the observable variables of the original system. The inner sensor subsystem can then be written as
x l = f ( x m , x ˙ l , x ¨ l , , u )
For such a subsystem, if the left inverse system of the system exists, the expression of the left inverse system can be written as follows
x m = f ( x l , x ˙ l , x ¨ l , u , u ˙ , u ¨ , )
The general definition of the left inverse system is as follows. Assume that a nonlinear system Σ has the following mapping relationship uy. For this system, there is such a system Σ1. Its mapping relationship is vw, and it satisfies the initial conditions of the system Σ. Meanwhile, if v(t) = y(t), then w(t) = u(t). Therefore the system Σ1 is the left inverse system of the original system, thus the original system is left invertible. On the basis of proving that the subsystem is left invertible, the left inverse system of the inner sensor subsystem is connected to the right side of the nonlinear system. As shown in Figure 2, a left inverse system observer is constructed, which can realize the observation of unobservable variables in the nonlinear system [15,23].

3.2. Speed Observer

When ignoring magnetic saturation and eddy current loss, the mathematical model of the speed subsystem of the BPMSM can be given as follows
{ i ˙ M d = R M L M i M d + u M d L M + P M ω i M q i ˙ M q = R M L M i M q + u M q L M P M ω i M d 1 L M P M ω ψ f ω ˙ = 1 J ( T e T L ) = 1 J ( 3 2 P M ψ f i M q T L )
where uMd, uMq, iMd, and iMq are the voltage components and current components of torque windings in the d-q coordinate, PM is the pole-pair number of the torque windings, LM and RM are the inductance and resistance of the torque windings, ω is the rotor speed, Te and TL are the electromagnetic torque, and load torque J is the moment of inertia of the rotor.
State variables are chosen as X = [x1, x2, x3]T = [iMd, iMq, ω]T. Input variables are chosen as U = [u1, u2]T = [uMd, uMq]T. The state variables xm = [x1, x2]T = [iMd, iMq]T can be measured directly, and state variable xum = x3 = ω is the variable to be observed.
The auxiliary algorithm can be used to analyze the left reversibility of the speed subsystem. The derivatives of x1 and x2 can be given as
{ x ˙ 1 = i ˙ M d = R M L M d x 1 + u 1 L M d + P M x 2 x 3 x ˙ 2 = i ˙ M q = R M L M q x 2 + u 2 L M q P M x 3 x 1 1 L M q P M ψ f x 3
The Jacobin matrix can be calculated as
A = [ ( x m , x ˙ m ) x u m ] = [ x 1 x 3 x 2 x 3 x ˙ 1 x 3 x ˙ 2 x 3 ] = [ 0 0 P M i M q P M i M d 1 L M P M ψ f ]
According to Equation (9), rank (A) = 1 can be obtained. Because the rank of Jacobi matrix A is equal to the number of the variable to be observed, the auxiliary algorithm ends. In the next step, the modeling algorithm is needed to establish the left inverse model of the speed subsystem.
To estimate xum, Z is established as follows
Z = [ x ˙ 1 ]
Because
det ( Z x u m ) = P M i M q 0
The speed inner sensor model is left invertible. Theoretically, the left inverse system can be expressed as follows
x u m = Φ ( x m , Z , u ) = Φ ( i M d , i M q , i ˙ M d , u M d , u M q )
The left inverse speed observation system for the BPMSM is shown in Figure 3.

3.3. Displacement Observer

The radial displacement of the rotor is mainly affected by the suspension force and further affected by the suspension force flux linkage. Therefore, when considering the self-sensing of the rotor radial displacement of the BPMSM, we use the suspension force flux linkage to establish the displacement inner sensor system. The displacement inner sensor system can be established by rewriting the voltage equation of suspension force windings, which is given as
[ ψ ˙ B α ψ ˙ B β ] = [ R B L B f B f B R B L B ] [ k m x k m y L B 0 k m y k m x 0 L B ] [ i M α + i f i M β i B α i B β ] + [ u B α u B β ]
where fB is the current frequency of the suspension force windings, and u, u are the components of the suspension force windings voltage.
The state variables are chosen as X = [x1, x2, x3, x4]T = [ΨBα, ΨBβ, x, y]T. The input variables are chosen as U = [u1, u2]T = [uBα, uBβ]T. The state variables xm = [x1, x2]T = [ΨBα, ΨBβ]T can be calculated by the flux observer, and state variable xum = [x3, x4]T = [x, y]T is the variable to be observed.
The state equation is then shown as
{ [ Ψ ˙ B α Ψ ˙ B β ] = [ u B α u B β ] + C [ M x M y L B 0 M y M x 0 L B ] [ i M α + i f i M β i B α i B β ] C = [ R B L B f B f B R B L B ]
Thus, the Jacobi matrix can be calculated as
A ( x ) = [ Ψ ˙ B α x Ψ ˙ B α y Ψ ˙ B β x Ψ ˙ B β y ] = [ R B L B f B f B R B L B ] [ ( i M α + i f ) M i M β M i M β M ( i M α + i f ) M ]
det(A) is then calculated as
det ( A ) = ( R B 2 L B 2 + f B 2 ) [ ( i M α + i f ) 2 M 2 + i M β 2 M 2 ]
Obviously, det(A) ≠ 0. Therefore, the system is left invertible, and the expression of the left inverse system is given as
( x , y ) = ξ ( Ψ B α , Ψ ˙ B α , Ψ B β , Ψ ˙ B β , u B α , u B β )
The left inverse displacement observation system for the BPMSM is shown in Figure 4.

4. LS-SVM Left Inverse System

According to Equations (12) and (17), the left inverse speed observer and the left inverse displacement observer can be constructed. However, the direct construction of the left inverse system is not only complex but also difficult to guarantee stability and robustness. Therefore, the LS-SVM is used to identify the speed left inverse system and the displacement left inverse system.
The support vector machine (SVM) has been successfully developed in control and signal processing in recent years to solve nonlinear problems. The basic theory is introduced in [24]. SVM has the advantages of good generalization, strong robustness, and simple structure. LS-SVM is a reformulation of standard SVM. It uses the square term in the optimization index and only equality constraints.
The linear regression function in high dimensional space is given as
f ( x ) = w T φ ( x ) + b
where w is the weight vector in high dimensional space, b is the threshold, and φ(x) is a nonlinear function that maps the input vector xk to the high-dimensional space.
The estimation of φ(x) can be turned into solving the following constrained optimization problem
min J ( w , e ) = 1 2 w T w + 1 2 γ k = 1 N e k 2 s . t .   y k = w T φ ( x k ) + b + e k
where γ is the regularization parameter, and ek is the fitting error of the loss function.
The optimization problem is solved by the Lagrange method. The following Lagrange functions are introduced
L ( w , b , e , α ) = J ( w , e ) k N α k ( w T φ ( x k ) + b + e k y k )
where αk, k = 1, 2,..., l are the Lagrange multipliers, and α = [α1,α2,...αl,]TRl.
According to the Karush-Kuhn-Tucker (KKT) conditions, the analytical solution of the optimization problem can be obtained as
[ b α ] = [ 0 1 l × 1 1 l × 1 Ω + γ 1 I ] 1 [ 0 y ]
where 1l×1 = [1, 1,..., 1]T, y = [y1, y2,..., yl]T, I is the identity matrix, and Ω = {Ωij}l×l = K(xi,xj) = φ(xi)T·φ(xj), i, j = 1, 2,..., l. K(xi,xj) is the kernel function, which satisfies the Mercer conditions.
The Gaussian radial basis function is selected as the kernel function, which is given as
K ( x , x k ) = exp ( x x k 2 2 σ 2 )
where σ is the width of the kernel.
The final result of the LS-SVM model for function estimation is given as
y ( x ) = k = 1 d a k K ( x , x k ) + b
For the displacement subsystem, the suspension force windings flux linkages and their derivatives x l = [ ψ B α ψ ˙ B α ψ B β ψ ˙ B β ] T are determined as the input variables and the output variables are the rotor displacements {x, y}. Because the LS-SVM used here can only deal with the single output problem, two models are established to estimate the rotor displacements x and y, respectively.
For the torque subsystem, the torque windings currents and their derivatives x l = [ i M d i ˙ M d i M q i ˙ M q ] T are determined as the input variables and the output variable is the rotor speed x m = [ ω ] T .
To obtain the training sample of the LS-SVM inverse system, the closed-loop control system of the BPMSM is constructed. The random signal in the working range is used as the excitation of the closed-loop control system, and the response is used as the training and test sample of the LS-SVM inverse system.
The data are normalized by the following formula
D ¯ = 2 D D max D min D max D min
where D is the original sample data, D ¯ is the normalized sample data, Dmax is the maximum value of the sample data, and Dmin is the minimum value of the sample data. One thousand sets of data are selected as the training sample from the processed sample data at medium intervals, and 500 sets of data are selected as the test sample to test the identification accuracy and generalization ability of the LS-SVM inverse system.
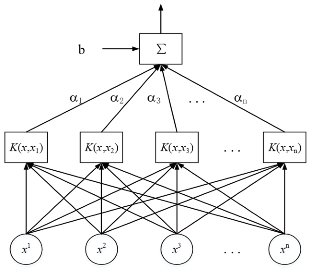
The training process of LS-SVM comes down to the solving process of linear equations. Therefore, it is not necessary to solve a constrained convex quadratic programming such as SVM so that LS-SVM has less computational complexity than a standard SVM. Its topological structure is shown in Figure 5.

5. Construction of Control System for BPMSM

The electromagnetic torque expression of the BPMSM can be given as
T e = 3 P M ( ψ M d i M q ψ M q i M d ) / 2
Decoupling control of electromagnetic torque can be realized when using the rotor magnetic field orientation control method; that is, under iMd = 0, Equation (25) can be reduced to
T e = 3 P M ψ f i M q / 2
As for the suspension force control, the radial suspension forces Fx and Fy in the d-q coordinate can be expressed as
{ F x = ( k M k L ) ( i B d ψ M d + i B q ψ M q ) + k e c c x F y = ( k M k L ) ( i B q ψ M d i B d ψ M q ) + k e c c y
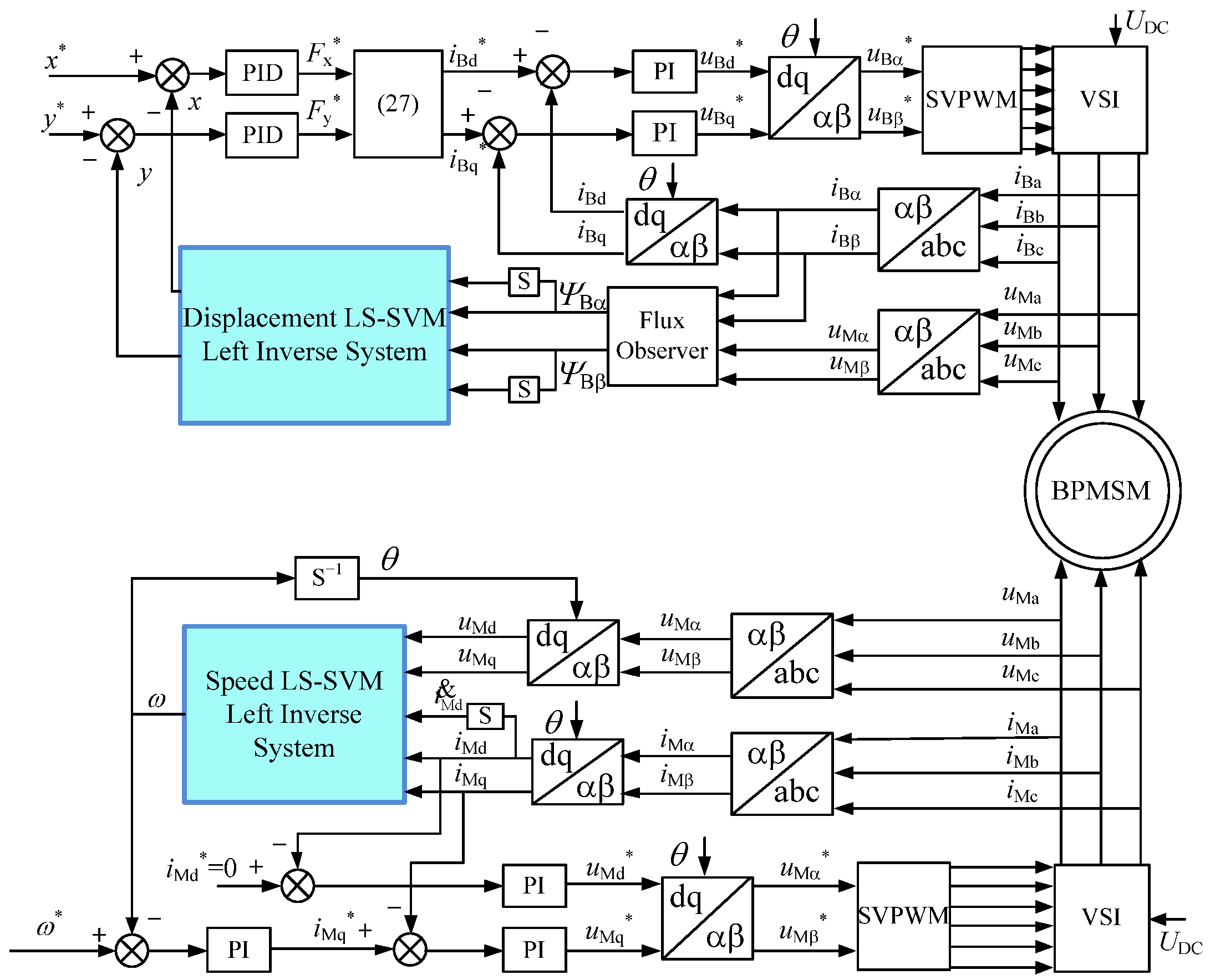
The design idea of the suspension force control subsystem is as follows. The rotor displacement signal x, y obtained by the displacement self-sensing algorithm are compared with the displacement given signal x*, y*, respectively. The resulting error signals are converted to suspension force given signals Fx*, Fy* by PID controllers. After the force/current conversion (Equation (27)), the given current signals iBd*, iBq* of the suspension force windings are obtained. Comparing the given signals with the current feedback values iBd and iBq of the suspension force windings and obtaining the input instruction uBa*, uBb* of the SVPWM module after the obtained error signal is transformed by the PI controller and the coordinate transformation.
The BPMSM speed sensorless control system is constructed by combining the BPMSM rotor-flux-oriented control method with the speed self-sensing method based on the LS-SVM left inverse system. The BPMSM displacement sensorless control system is constructed by combining the suspension force control method mentioned above with the proposed displacement self-sensing method. The complete sensorless control block diagram is depicted in Figure 6.

6. Simulation and Experimental Research

6.1. Simulation Result

For verifying the effectiveness of the speed and displacement sensorless control method based on the LS-SVM left inverse system proposed in this paper, the relative simulation was carried out based on MATLAB/Simulink. In the simulation, the rated rotational speed was 3000 r/min, the auxiliary mechanical bearing clearance value was δl = 0.3 mm, the moment of inertia was 0.0056 kg·m2, and the initial position of the rotor was x = 0 mm and y = −0.3 mm. The regularization parameter γ and the width of kernel σ2 of the LS-SVM were 400 and 0.25, respectively.
To verify the performance of the proposed speed sensorless control method, the traditional rotor field-oriented control method with a speed sensor was used as a comparison in the simulation. Figure 7a depicts the simulation results of the BPMSM under no-load starting condition in the traditional control system with a sensor. The given speed was 2500 r/min at the beginning and changed to 3000 r/min at 0.2 s. As shown in Figure 7a, the speed can be smoothly increased from zero to 2500 r/min in 0.04 s, and the overshoot and steady-state error are both very small. The given speed was then increased to 3000 r/min at 0.2 s. The speed can also follow this change very quickly and become stable in 0.04 s. Figure 7b depicts the simulation results of the BPMSM under no-load starting condition in the proposed speed sensorless control system. It can be seen that the rise in time is the same as the control method with a sensor. However, it takes about 0.06 s extra for the speed to become stable at 2500 r/min and 3000 r/min. This extra time is caused by the speed self-sensing error, which is shown in Figure 7c. At the same time, the speed increase process is not as smooth as the traditional method. As can be seen in Figure 7c, most of the time, the speed error is maintained within 2 r/min, and its maximum value is only 10 r/min. As can be seen in Figure 7e, the torque windings’ current iMq is zero when the system is steadily operating because there is no load. As shown in the simulation results of Figure 7, the proposed speed sensorless control method based on the LS-SVM left inverse system can accurately realize the observation of the BPMSM rotation speed between 0 and 3000 r/min and can achieve the BPMSM stable operation under no-load starting conditions.
Torque load disturbance simulations under low-speed (50 r/min) and rated-speed (3000 r/min) conditions were carried out, and the results are shown in Figure 8. It can be seen from Figure 8 that the speed self-sensing error is less than 0.5 r/min at rated speed, and the speed self-sensing error is less than 0.2 r/min at low speed; that is, the self-sensing algorithm has good sensing accuracy and is robust in both low-speed and rated-speed conditions.
Figure 9 and Figure 10 show the simulation results using the displacement control strategy with sensors and the proposed displacement sensorless control system. Figure 9a,b depicts the displacement response curves in the case of changing the given value of the displacement in the y-direction. In the simulation, the given value of the displacement in the y-direction changed from 0 mm to −0.1 mm at 0.2 s. As can be seen in Figure 9a, when the displacement control method with sensors is applied, the displacement in the y-direction can stabilize at the new given value in about 0.06 s. When the displacement sensorless control method proposed in this paper is applied-that is, the displacement self-sensing signal is used as the feedback signal-the simulation result is depicted in Figure 9b. It takes 0.08 s for the displacement in the y-direction to reach the new balance position. This extra 0.02 s adjustment time is caused by the displacement self-sensing error, which is given in Figure 9c. As can be seen, in the entire simulation process, the displacement self-sensing error is no more than 5 mm and remains at about 2 mm in a steady state.
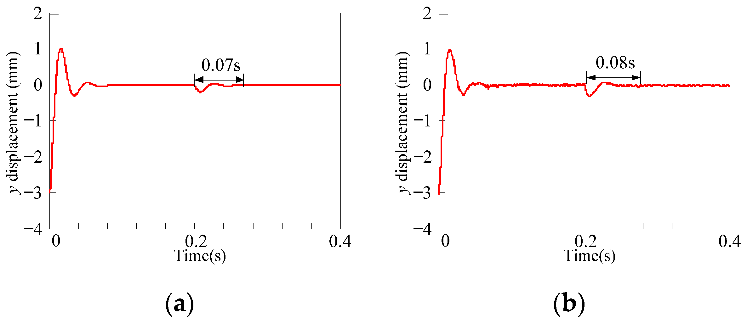
Figure 10 depicts the simulation results with the external disturbance force. In the simulation, the 10 N disturbance force was added in the y-direction at 0.2 s. The simulation result of the traditional displacement control strategy with sensors is illustrated in Figure 10a. When the disturbance force is applied, the rotor is suddenly pulled to −0.02 mm in the y-direction, and it takes 0.07 s for the displacement to return to the balance position. As depicted in Figure 10b, when the proposed displacement sensorless control method is applied, it takes 0.08 s for the displacement in the y-direction to return to the balance position. The extra displacement adjustment time is only 0.01 s. Therefore, according to the simulation results in Figure 8 and Figure 9, the displacement sensorless control of the BPMSM based on the LS-SVM left inverse system can realize the identification of rotor radial displacement and can achieve the BPMSM stable suspension under force disturbance.

6.2. Experiment Result

In order to verify the correctness of the above simulation results, experiments were carried out. The experiment platform is depicted in Figure 11. The parameters of the prototype BPMSM are shown in Table 1. The structure diagram of the BPMSM is shown in Figure 12. Two bearings were installed in the motor. At the back end, the shaft of the BPMSM was supported by a self-aligning ball bearing that fixes the shaft in the axial and radial directions at the back end. In order to avoid a mechanical collision between the rotor and the stator when the rotor is unstable or stationary, an auxiliary bearing was installed on the front end, and there was a 0.3 mm auxiliary mechanical bearing clearance between the auxiliary bearing and the shaft. Therefore, the stable suspension of the rotor with two degrees of freedom in the radial direction was realized.
A comparative experiment was designed using the traditional rotor-field-oriented control method with a photoelectric encoder. In the experiment, the BPMSM was running at no load. The given speed changed from 1500 r/min to 3000 r/min, and the speed was detected by the photoelectric encoder. The speed waveform and angular position waveform are shown in Figure 13. It can be seen from the green waveform that the motor quickly responds to the change of the given speed, and the speed stabilizes at 3000 r/min after 0.28 s. The sensorless control experiment was carried out using the speed sensorless control method proposed in Section 5, and the speed feedback signal was obtained by the speed LS-SVM left inverse system. The other parts of the control system were the same as the comparison experiment. As shown in Figure 13, the speed response curve and the angular position curve detected by the photoelectric encoder are basically the same as the comparison experiment. Therefore, the performance of the speed sensorless control method proposed in Section 5 is almost the same as the traditional control strategy with sensors, which verifies the feasibility and effectiveness of the proposed method.
In order to verify the proposed displacement sensorless control method, the radial displacement observation experiment was carried out when the BPMSM was running at 3000 r/min. When the rotor was stably suspended, the given displacement in the x-direction changed from 0 to 0.03 mm, and the displacement waveforms in the x-direction obtained by the eddy current displacement sensor and displacement LS-SVM left inverse system are shown in Figure 14. As depicted in Figure 14, the estimated displacement can follow the actual displacement very well.
In order to further verify the performance of the displacement sensorless control algorithm, a force disturbance experiment was carried out. The traditional displacement control method with displacement sensors was used as a comparison, and the displacements were detected by the eddy current displacement sensors. A 1 kg weight was vertically hung on the shaft to simulate a sudden 10 N force load when the rotor was stably suspended. The displacement variation waveforms are shown in Figure 15a. It can be seen that after the 10 N force disturbance is applied, the displacement in the y-direction suddenly changes from the balance position to −0.04 mm and returns to the balance position after 125 ms. Due to the coupling, the displacement in the x-direction also has slight fluctuation near the balance position. Using the displacement control method mentioned in Section 5, the displacement feedback signal was obtained by the displacement left inverse system, and the force disturbance experiment was carried out in the same way. The experimental results are shown in Figure 15b. After the external disturbance force was applied, the rotor could also restore to the balance position after fluctuation. However, compared with the traditional control method with sensors, the adjustment time increased to 135 ms, which is mainly caused by observation error and delay. The adjustment time only increased by 8%, which is acceptable.

7. Conclusions

The mechanical sensors used in the BPMSM have some limitations, such as increasing the size, cost, and complexity of the motor, and the detection results are easily affected by environmental factors. For solving these problems, a speed and displacement sensorless control method based on the LS-SVM left inverse system is proposed. According to the simulation and experimental analysis results, the following conclusions can be drawn. The LS-SVM left inverse system observation method proposed in this paper can realize the detection of rotation speed and rotor radial displacement, which proves the feasibility and effectiveness of this method. In the case of variable speed, it maintains good speed estimation performance. In the case of force disturbance and change of the given displacement, it has good displacement estimation ability and robustness. Furthermore, because the LS-SVM left inverse system observation algorithm can be implemented by software, the cost of the system is reduced, and the reliability of the system is increased.

Author Contributions

Conceptualization, Y.H. and H.Z.; data curation, Y.H.; formal analysis, Y.H.; funding acquisition, H.Z.; investigation, Y.H.; methodology, Y.H.; project administration, H.Z.; resources, Y.H.; supervision, H.Z.; validation, Y.H.; visualization, Y.H.; writing—original draft, Y.H.; writing—review and editing, Y.H. and H.Z. Both authors have read and agreed to the published version of the manuscript.

Funding

This research was funded in part by the National Natural Science Foundation of China, grant number 61973144, and in part by the Priority Academic Program Development of Jiangsu Higher Education Institutions, grant number PAPD-2018-87, and in part by the Postgraduate Research & Practice Innovation Program of Jiangsu Province (KYCX18_2249).

Data Availability Statement

Data sharing not applicable. No new data were created or analyzed in this study. Data sharing is not applicable to this article.

Conflicts of Interest

The authors declare no conflict of interest.

References

  1. Oshima, M.; Miyazawa, S.; Deido, T.; Chiba, A.; Nakamura, F.; Fukao, T. Characteristics of a permanent magnet type bearingless motor. IEEE Trans. Ind. Appl. 1996, 32, 363–370. [Google Scholar] [CrossRef]
  2. Chiba, A.; Rahman, M.A.; Fukao, T. Radial force in a bearingless reluctance motor. IEEE Trans. Magn. 1991, 27, 786–790. [Google Scholar] [CrossRef]
  3. Chiba, A.; Power, D.T.; Rahman, M.A. Characteristics of a bearingless induction motor. IEEE Trans. Magn. 1991, 27, 5199–5201. [Google Scholar] [CrossRef]
  4. Zhao, C.; Zhu, H. Design and analysis of a novel bearingless flux-switching permanent magnet motor. IEEE Trans. Ind. Electron. 2017, 64, 6127–6136. [Google Scholar] [CrossRef]
  5. Zhu, H.; Xu, Y. Permanent magnet parameter design and performance analysis of bearingless flux switching permanent magnet motor. IEEE Trans. Ind. Electron. 2020. [Google Scholar] [CrossRef]
  6. Severson, E.L. Bearingless motor technology for industrial and transportation applications. In Proceedings of the 2018 IEEE Transportation Electrification Conference and Expo, Long Beach, CA, USA, 13–15 June 2018; pp. 266–273. [Google Scholar] [CrossRef]
  7. Liu, B. Survey of bearingless motor technologies and applications. In Proceedings of the 2015 IEEE International Conference on Mechatronics and Automation, Beijing, China, 2–5 August 2015; pp. 1983–1988. [Google Scholar] [CrossRef]
  8. Chen, J.; Zhu, J.; Severson, E.L. Review of bearingless motor technology for significant power applications. IEEE Trans. Ind. Appl. 2020, 56, 1377–1388. [Google Scholar] [CrossRef]
  9. Sun, X.; Chen, L.; Yang, Z. Overview of bearingless permanent-magnet synchronous motors. IEEE Trans. Ind. Electron. 2013, 60, 5528–5538. [Google Scholar] [CrossRef]
  10. Ooshima, M. Analyses of rotational torque and suspension force in a permanent magnet synchronous bearingless motor with short-pitch winding. In Proceedings of the 2007 IEEE Power Engineering Society General Meeting, Tampa, FL, USA, 24–28 June 2007; pp. 1–7. [Google Scholar] [CrossRef]
  11. Qiu, Z.; Dai, J.; Yang, J.; Zhou, X.; Zhang, Y. Research on rotor eccentricity compensation control for bearingless surface-mounted permanent-magnet motors based on an exact analytical method. IEEE Trans. Magn. 2015, 51, 1–4. [Google Scholar] [CrossRef]
  12. Matsuzaki, T.; Takemoto, M.; Ogasawara, S.; Ota, S.; Oi, K.; Matsuhashi, D. Operational characteristics of an IPM-type bearingless motor with 2-Pole motor windings and 4-Pole suspension windings. IEEE Trans. Ind. Appl. 2017, 53, 5383–5392. [Google Scholar] [CrossRef]
  13. Wellerdieck, T.; Nussbaumer, T.; Kolar, J.W. Angle-sensorless zero- and low-speed control of bearingless machines. IEEE Trans. Magn. 2016, 52, 1–4. [Google Scholar] [CrossRef]
  14. Raggl, K.; Warberger, B.; Nussbaumer, T.; Burger, S.; Kolar, J.W. Robust Angle-sensorless control of a PMSM bearingless pump. IEEE Trans. Ind. Electron. 2009, 56, 2076–2085. [Google Scholar] [CrossRef]
  15. Sun, X.; Chen, L.; Yang, Z.; Zhu, H. Speed-sensorless vector control of a bearingless induction motor with artificial neural network inverse speed observer. IEEE/ASME Trans. Mechatron. 2013, 18, 1357–1366. [Google Scholar] [CrossRef]
  16. Ji, W.; Shi, G.; Xu, B.; Xu, J. An improved rotating HF signal injection method based on FIR filters for state estimation of BPMSM sensorless control. Adv. Mech. Eng. 2017, 9, 1–10. [Google Scholar] [CrossRef]
  17. Tera, T.; Yamauchi, Y.; Chiba, A.; Fukao, T.; Rahman, M.A. Performances of bearingless and sensorless induction motor drive based on mutual inductances and rotor displacements estimation. IEEE Trans. Ind. Electron. 2006, 53, 187–194. [Google Scholar] [CrossRef]
  18. Nian, H.; Quan, Y.; Li, J. Rotor displacement sensorless control strategy for PM type bearingless motor based on the parameter identification. In Proceedings of the 2009 International Conference on Electrical Machines and Systems, Tokyo, Japan, 15–18 November 2009; pp. 1–5. [Google Scholar] [CrossRef]
  19. Chiba, A.; Santisteban, J.A. A PWM harmonics elimination method in simultaneous estimation of magnetic field and displacements in bearingless induction motors. IEEE Trans. Ind. Appl. 2012, 48, 124–131. [Google Scholar] [CrossRef]
  20. Chen, Y.; Zhou, Y. Radial displacement sensorless control of bearingless flux-switching permanent magnet machines based on difference of symmetric-winding flux linkages. IEEE Trans. Ind. Electron. 2020. [Google Scholar] [CrossRef]
  21. Chiba, A.; Fukao, T.; Ichikawa, O.; Oshima, M.; Takemoto, M.; Dorrell, D.G. Magnetic Bearings and Bearingless Drives, 1st ed.; Newnes Elsevier: Amsterdam, The Netherlands, 2005; pp. 154–196. [Google Scholar]
  22. Dai, X.; He, D.; Zhang, X.; Zhang, T. MIMO system invertibility and decoupling control strategies based on ANN/spl alpha/th-order inversion. Inst. Elect. Eng. Control Theory Appl. 2001, 148, 125–136. [Google Scholar] [CrossRef]
  23. Dai, X.; Yin, M.; Wang, Q.; Wang, W. Artificial neural networks inversion based dynamic compensator of sensors. In Proceedings of the 2004 International Conference on Information Acquisition, Hefei, China, 21–25 June 2004; pp. 258–261. [Google Scholar] [CrossRef]
  24. Vapnik, V.N. An overview of statistical learning theory. IEEE Trans. Neural Netw. 1999, 10, 988–999. [Google Scholar] [CrossRef] [PubMed]
Figure 1. Principle of the radial suspension force generation. (a) Torque magnetic field; (b) suspension force magnetic field; (c) combined magnetic field.
Figure 1. Principle of the radial suspension force generation. (a) Torque magnetic field; (b) suspension force magnetic field; (c) combined magnetic field.
Electronics 10 00265 g001
Figure 2. Observation principle of the left inverse system.
Figure 2. Observation principle of the left inverse system.
Electronics 10 00265 g002
Figure 3. Speed observer.
Figure 3. Speed observer.
Electronics 10 00265 g003
Figure 4. Radial displacement observer.
Figure 4. Radial displacement observer.
Electronics 10 00265 g004
Figure 5. Identification structure of the least-squares support vector machine (LS-SVM) inverse model.
Figure 5. Identification structure of the least-squares support vector machine (LS-SVM) inverse model.
Electronics 10 00265 g005
Figure 6. Complete sensorless control block diagram.
Figure 6. Complete sensorless control block diagram.
Electronics 10 00265 g006
Figure 7. Simulation results of the speed control system. (a) With sensors; (b) sensorless control; (c) speed self-sensing error; (d) iMd; (e) iMq.
Figure 7. Simulation results of the speed control system. (a) With sensors; (b) sensorless control; (c) speed self-sensing error; (d) iMd; (e) iMq.
Electronics 10 00265 g007
Figure 8. Simulation results of torque load disturbance. (a) Speed curve with sensors, 3000 r/min; (b) speed curve without sensors, 3000 r/min; (c) speed error, 3000 r/min; (d) speed curve with sensors, 50 r/min; (e) speed curve without sensors, 50 r/min; (f) speed error, 50 r/min.
Figure 8. Simulation results of torque load disturbance. (a) Speed curve with sensors, 3000 r/min; (b) speed curve without sensors, 3000 r/min; (c) speed error, 3000 r/min; (d) speed curve with sensors, 50 r/min; (e) speed curve without sensors, 50 r/min; (f) speed error, 50 r/min.
Electronics 10 00265 g008
Figure 9. Simulation results of the displacement control system. (a) With sensors; (b) sensorless control; (c) displacement self-sensing error; (d) iBd; (e) iBq.
Figure 9. Simulation results of the displacement control system. (a) With sensors; (b) sensorless control; (c) displacement self-sensing error; (d) iBd; (e) iBq.
Electronics 10 00265 g009
Figure 10. Simulation results of the displacement sensorless control system with disturbance force. (a) With sensors; (b) sensorless control.
Figure 10. Simulation results of the displacement sensorless control system with disturbance force. (a) With sensors; (b) sensorless control.
Electronics 10 00265 g010
Figure 11. Experimental platform of the bearingless permanent magnet synchronous motor (BPMSM).
Figure 11. Experimental platform of the bearingless permanent magnet synchronous motor (BPMSM).
Electronics 10 00265 g011
Figure 12. Structure diagram of the BPMSM.
Figure 12. Structure diagram of the BPMSM.
Electronics 10 00265 g012
Figure 13. Speed and angle position response diagram of speed regulating experiment. (a) Speed; (b) angle position.
Figure 13. Speed and angle position response diagram of speed regulating experiment. (a) Speed; (b) angle position.
Electronics 10 00265 g013
Figure 14. Displacement response waveforms of the displacement-regulating experiment.
Figure 14. Displacement response waveforms of the displacement-regulating experiment.
Electronics 10 00265 g014
Figure 15. Displacement response waveforms of disturbance force experiment. (a) With sensors; (b) sensorless control.
Figure 15. Displacement response waveforms of disturbance force experiment. (a) With sensors; (b) sensorless control.
Electronics 10 00265 g015
Table 1. Prototype parameters.
Table 1. Prototype parameters.
SymbolQuantityValueSymbolQuantityValue
UNRated voltage220 VPMPole-pair number of the torque windings2
PNRated power1.1 kWPBPole-pair number of the suspension windings1
nRated speed3000 r/minlAxial length of the rotor85 mm
DSOOuter diameter of the stator120 mmDROuter diameter of the rotor63 mm
gAir gap length2 mmg0Auxiliary bearing air gap length0.3 mm
Publisher’s Note: MDPI stays neutral with regard to jurisdictional claims in published maps and institutional affiliations.

Share and Cite

MDPI and ACS Style

Hua, Y.; Zhu, H. Sensorless Control of Bearingless Permanent Magnet Synchronous Motor Based on LS-SVM Inverse System. Electronics 2021, 10, 265. https://doi.org/10.3390/electronics10030265

AMA Style

Hua Y, Zhu H. Sensorless Control of Bearingless Permanent Magnet Synchronous Motor Based on LS-SVM Inverse System. Electronics. 2021; 10(3):265. https://doi.org/10.3390/electronics10030265

Chicago/Turabian Style

Hua, Yizhou, and Huangqiu Zhu. 2021. "Sensorless Control of Bearingless Permanent Magnet Synchronous Motor Based on LS-SVM Inverse System" Electronics 10, no. 3: 265. https://doi.org/10.3390/electronics10030265

APA Style

Hua, Y., & Zhu, H. (2021). Sensorless Control of Bearingless Permanent Magnet Synchronous Motor Based on LS-SVM Inverse System. Electronics, 10(3), 265. https://doi.org/10.3390/electronics10030265

Note that from the first issue of 2016, this journal uses article numbers instead of page numbers. See further details here.

Article Metrics

Back to TopTop