Memory-Based LT Codes for Efficient 5G Networks and Beyond
Abstract
:1. Introduction
2. Preliminaries and Related Work
2.1. LT Encoding Process
| Algorithm 1: Encoding Process of LT Codes |
![]() |
2.2. LT Decoding Process
| Algorithm 2: BP Decoding Process of LT Codes |
![]() |
2.3. Degree Distributions of LT Codes
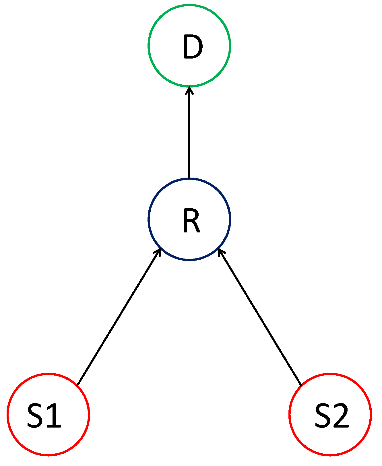
3. Y-Network Using MBLT Algorithm
3.1. Encoding Process of the MBLT on the Y-Network
| Algorithm 3: MBLT encoding process at the Y-network. |
![]() |
3.2. Decoding Process of MBLT Algorithm
4. Performance Analysis
4.1. Decoding Success Probability
4.2. Optimization of LT Code Parameters
5. Numerical Results
5.1. LT Parameters
5.2. DSP and BER
6. Conclusions
Funding
Conflicts of Interest
References
- Hale, J. More than 500 Hours of Content Are Now Being Uploaded to YouTube Every Minute. Available online: https://www.tubefilter.com/2019/05/07/number-hours-video-uploaded-to-youtube-per-minute/ (accessed on 25 October 2021).
- Hsieh, P.J.; Lin, W.S.; Lin, K.H.; Wei, H.Y. Dual-Connectivity Prevenient Handover Scheme in Control/User-Plane Split Networks. IEEE Trans. Veh. Technol. 2018, 67, 3545–3560. [Google Scholar] [CrossRef]
- Demarchou, E.; Psomas, C.; Krikidis, I. Mobility management in ultra-dense networks: Handover skipping techniques. IEEE Access 2018, 6, 11921–11930. [Google Scholar] [CrossRef]
- Mumtaz, T.; Muhammad, S.; Aslam, M.I.; Mohammad, N. Dual connectivity-based mobility management and data split mechanism in 4G/5G cellular networks. IEEE Access 2020, 8, 86495–86509. [Google Scholar] [CrossRef]
- Gures, E.; Shayea, I.; Alhammadi, A.; Ergen, M.; Mohamad, H. A comprehensive survey on mobility management in 5G heterogeneous networks: Architectures, challenges and solutions. IEEE Access 2020, 8, 195883–195913. [Google Scholar] [CrossRef]
- Shayea, I.; Ergen, M.; Azmi, M.H.; Çolak, S.A.; Nordin, R.; Daradkeh, Y.I. Key challenges, drivers and solutions for mobility management in 5G networks: A survey. IEEE Access 2020, 8, 172534–172552. [Google Scholar] [CrossRef]
- Liau, A.; Yousefi, S.; Kim, I.M. Binary soliton-like rateless coding for the Y-network. IEEE Trans. Commun. 2011, 59, 3217–3222. [Google Scholar] [CrossRef]
- Byers, J.W.; Luby, M.; Mitzenmacher, M.; Rege, A. A digital fountain approach to reliable distribution of bulk data. ACM SIGCOMM Comput. Commun. Rev. 1998, 28, 56–67. [Google Scholar] [CrossRef]
- Luby, M. LT codes. In Proceedings of the 43rd Annual IEEE Symposium on Foundations of Computer Science, Vancouver, BC, Canada, 16–19 November 2002; pp. 271–280. [Google Scholar]
- Etesami, O.; Shokrollahi, A. Raptor codes on binary memoryless symmetric channels. IEEE Trans. Inf. Theory 2006, 52, 2033–2051. [Google Scholar] [CrossRef]
- Hayajneh, K.F.; Yousefi, S.; Valipour, M. Left degree distribution shaping for LT codes over the binary erasure channel. In Proceedings of the 27th Biennial Symposium on Communications (QBSC), Kingston, ON, Canada, 1–3 June 2014; pp. 198–202. [Google Scholar]
- Hayajneh, K.F.; Yousefi, S. Robust LT designs in binary erasures. In Proceedings of the 15th Canadian Workshop on Information Theory (CWIT), Quebec City, QC, Canada, 11–14 June 2017; pp. 1–5. [Google Scholar]
- Xu, S.; Xu, D. Optimization design and asymptotic analysis of systematic Luby transform codes over BIAWGN channels. IEEE Trans. Commun. 2016, 64, 3160–3168. [Google Scholar] [CrossRef]
- Song, X.; Cheng, N.; Liao, Y.; Ni, S.; Lei, T. Design and Analysis of LT Codes with a Reverse Coding Framework. IEEE Access 2021, 9, 116552–116563. [Google Scholar] [CrossRef]
- Hayajneh, K.F.; Yousefi, S. Improved systematic fountain codes in AWGN channel. In Proceedings of the 13th Canadian Workshop on Information Theory, Toronto, ON, Canada, 18–21 June 2013; pp. 148–152. [Google Scholar]
- Castura, J.; Mao, Y. Rateless coding over fading channels. IEEE Commun. Lett. 2006, 10, 46–48. [Google Scholar] [CrossRef]
- Liu, X.; Lim, T.J. Fountain codes over fading relay channels. IEEE Trans. Wirel. Commun. 2009, 8, 3278–3287. [Google Scholar] [CrossRef]
- Shokrollahi, A. Raptor codes. IEEE Trans. Inf. Theory 2006, 52, 2551–2567. [Google Scholar] [CrossRef]
- Hayajneh, K.F.; Yousefi, S.; Valipour, M. Improved finite-length Luby-transform codes in the binary erasure channel. IET Commun. 2015, 9, 1122–1130. [Google Scholar] [CrossRef]
- Puducheri, S.; Kliewer, J.; Fuja, T.E. Distributed LT codes. In Proceedings of the 2006 IEEE International Symposium on Information Theory, Seattle, WA, USA, 9–14 July 2006; pp. 987–991. [Google Scholar]
- Puducheri, S.; Kliewer, J.; Fuja, T.E. The design and performance of distributed LT codes. IEEE Trans. Inf. Theory 2007, 53, 3740–3754. [Google Scholar] [CrossRef] [Green Version]
- Sejdinovic, D.; Piechocki, R.J.; Doufexi, A. AND-OR tree analysis of distributed LT codes. In Proceedings of the 2009 IEEE Information Theory Workshop on Networking and Information Theory, Volos, Greece, 10–12 June 2009; pp. 261–265. [Google Scholar]
- Liau, A.; Kim, I.M.; Yousefi, S. Improved low-complexity soliton-like network coding for a resource-limited relay. IEEE Trans. Commun. 2013, 61, 3327–3335. [Google Scholar] [CrossRef]
- Zhang, L.; Su, L. Goal-oriented design of optimal degree distribution for LT codes. IET Commun. 2020, 14, 2658–2665. [Google Scholar] [CrossRef]
- Hussain, I.; Xiao, M.; Rasmussen, L.K. Buffer-based distributed LT codes. IEEE Trans. Commun. 2014, 62, 3725–3739. [Google Scholar] [CrossRef]
- Cheng, X.; Cao, R.; Yang, L. Stochastic Polynomial Decomposition-Based Energy-Efficient Hybrid DLT Codes. IEEE Trans. Commun. 2016, 64, 4897–4909. [Google Scholar] [CrossRef]
- He, J.; Hussain, I.; Li, Y.; Juntti, M.; Matsumoto, T. Distributed LT codes with improved error floor performance. IEEE Access 2019, 7, 8102–8110. [Google Scholar] [CrossRef]
- Luby, M.G.; Mitzenmacher, M.; Shokrollahi, M.A.; Spielman, D.A. Efficient erasure correcting codes. IEEE Trans. Inf. Theory 2001, 47, 569–584. [Google Scholar] [CrossRef] [Green Version]
- Lu, H.; Lu, F.; Cai, J.; Foh, C.H. LT-W: Improving LT decoding with Wiedemann solver. IEEE Trans. Inf. Theory 2013, 59, 7887–7897. [Google Scholar] [CrossRef]
- Karp, R.; Luby, M.; Shokrollahi, A. Finite length analysis of LT codes. In Proceedings of the International Symposium onInformation Theory (ISIT 2004), Chicago, IL, USA, 27 June–2 July 2004; p. 39. [Google Scholar]
- Sorensen, J.H.; Popovski, P.; Ostergaard, J. Design and Analysis of LT Codes with Decreasing Ripple Size. IEEE Trans. Commun. 2012, 60, 3191–3197. [Google Scholar] [CrossRef]
- Abbas, R.; Shirvanimoghaddam, M.; Huang, T.; Li, Y.; Vucetic, B. Novel design for short analog fountain codes. IEEE Commun. Lett. 2019, 23, 1306–1309. [Google Scholar] [CrossRef]













Publisher’s Note: MDPI stays neutral with regard to jurisdictional claims in published maps and institutional affiliations. |
© 2021 by the author. Licensee MDPI, Basel, Switzerland. This article is an open access article distributed under the terms and conditions of the Creative Commons Attribution (CC BY) license (https://creativecommons.org/licenses/by/4.0/).
Share and Cite
Hayajneh, K.F. Memory-Based LT Codes for Efficient 5G Networks and Beyond. Electronics 2021, 10, 3169. https://doi.org/10.3390/electronics10243169
Hayajneh KF. Memory-Based LT Codes for Efficient 5G Networks and Beyond. Electronics. 2021; 10(24):3169. https://doi.org/10.3390/electronics10243169
Chicago/Turabian StyleHayajneh, Khaled F. 2021. "Memory-Based LT Codes for Efficient 5G Networks and Beyond" Electronics 10, no. 24: 3169. https://doi.org/10.3390/electronics10243169
APA StyleHayajneh, K. F. (2021). Memory-Based LT Codes for Efficient 5G Networks and Beyond. Electronics, 10(24), 3169. https://doi.org/10.3390/electronics10243169




