Imbalanced Mach-Zehnder Modulator for Fading Suppression in Dispersion-Uncompensated Direct Detection System
Abstract
:1. Introduction
2. Principle
2.1. Power Fading with Differential Driven Mode
2.2. Bias Deviation with Single-Arm Driven Mode
2.3. Amplitude Mismatch in Differential Driven Mode
2.4. Time Skew in Differential Driven Mode
2.5. Perspective of Chirp
3. Numerical Visualization
3.1. Bias Deviation with Single-Arm Driven Mode
3.2. Amplitude Mismatch with Differential Driven Mode
3.3. Time Skew with Differential Driven Mode
4. Experimental Setup and DSP Stack
4.1. Experimental Setup
4.2. DSP Stack
5. Experimental Results and Discussion
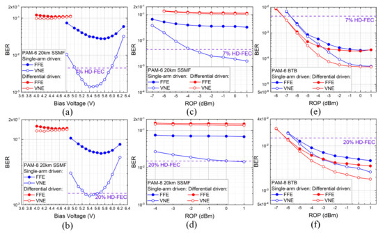
5.1. Transmission Performance with Single-Arm Driven Mode
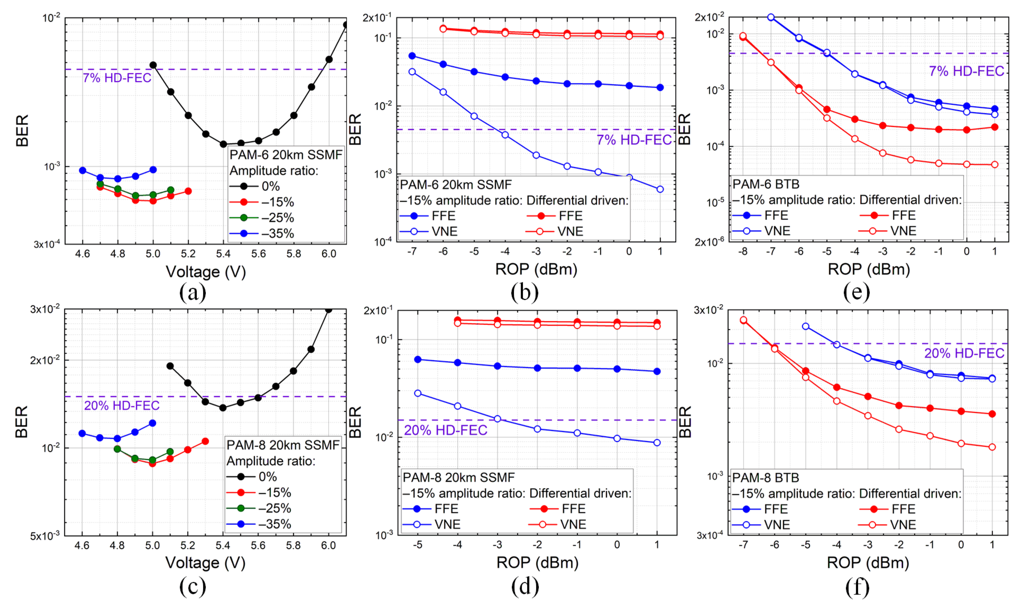
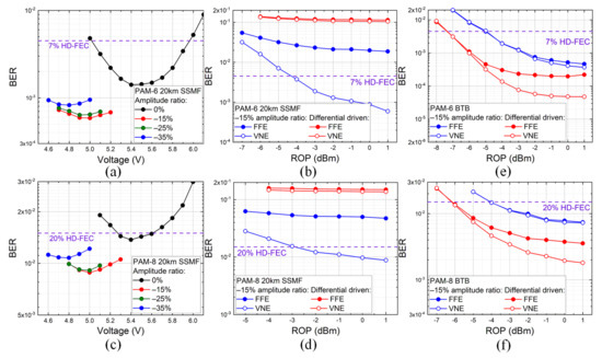
5.2. Amplitude Mismatch with Differential Driven Mode
5.3. Time Skew with Differential Driven Mode
5.4. Eye-Diagrams
5.5. Impact of Transmission Distance
5.6. Comparison of Preivous Work
6. Conclusions
Author Contributions
Funding
Data Availability Statement
Conflicts of Interest
References
- Zhong, K.; Zhou, X.; Huo, J.; Yu, C.; Lu, C.; Lau, A.P.T. Digital Signal Processing for Short-Reach Optical Communications: A Review of Current Technologies and Future Trends. IEEE/OSA J. Light. Technol. 2018, 36, 377–400. [Google Scholar] [CrossRef]
- Liu, G.N.; Zhang, L.; Zuo, T.; Zhang, Q. IM/DD Transmission Techniques for Emerging 5G Fronthaul, DCI, and Metro Applications. IEEE/OSA J. Light. Technol. 2018, 36, 560–567. [Google Scholar] [CrossRef]
- Chagnon, M. Optical Communications for Short Reach. IEEE/OSA J. Light. Technol. 2019, 37, 1779–1797. [Google Scholar] [CrossRef]
- IEEE P802.3bs 200 Gb/s and 400 Gb/s Ethernet Task Force. 2018. Available online: http://www.ieee802.org/3/bs/ (accessed on 9 October 2018).
- Agrawal, G. Fiber-Optic Communication Systems, 4th ed.; Wiley: Hoboken, NJ, USA, 2010. [Google Scholar]
- Savory, S.J. Digital Coherent Optical Receivers: Algorithms and Subsystems. IEEE J. Sel. Top. Quantum Electron. 2010, 16, 1164–1179. [Google Scholar] [CrossRef]
- Kikuchi, K. Fundamentals of Coherent Optical Fiber Communications. IEEE/OSA J. Light. Technol. 2016, 34, 157–179. [Google Scholar] [CrossRef]
- Che, D.; Hu, Q.; Shieh, W. Linearization of Direct Detection Optical Channels Using Self-Coherent Subsystems. IEEE/OSA J. Light. Technol. 2016, 34, 516–524. [Google Scholar] [CrossRef]
- Wey, J.S.; Zhang, J. Passive Optical Networks for 5G Transport: Technology and Standards. IEEE/OSA J. Light. Technol. 2019, 37, 2830–2837. [Google Scholar] [CrossRef]
- Zhang, J.; Yu, J.; Wey, J.S.; Li, X.; Zhao, L.; Wang, K.; Kong, M.; Zhou, W.; Xiao, J.; Xin, X.; et al. SOA Pre-Amplified 100 Gb/s/λ PAM-4 TDM-PON Downstream Transmission Using 10 Gbps O-Band Transmitters. IEEE/OSA J. Light. Technol. 2020, 38, 185–193. [Google Scholar] [CrossRef]
- Eiselt, N.; Wei, J.; Griesser, H.; Dochhan, A.; Eiselt, M.; Elbers, J.-P.; Olmos, J.J.V.; Monroy, I.T. First real-time 400G PAM-4 demonstration for inter-data center transmission over 100 km of SSMF at 1550 nm. In Proceedings of the 2016 Optical Fiber Communication Conference (OFC), Anaheim, CA, USA, 20–24 March 2016; pp. 1–3. [Google Scholar]
- Ilgaz, M.; Baliz, K.; Batagelj, B. A Flexible Approach to Combating Chromatic Dispersion in a Centralized 5G Network. Opto-Electron. Rev. 2020, 38, 35–42. [Google Scholar]
- Zhang, J.; Yu, J.; Li, X.; Wei, Y.; Wang, K.; Zhao, L.; Zhou, W.; Kong, M.; Pan, X.; Liu, B.; et al. 100 Gbit/s VSB-PAM-n IM/DD transmission system based on 10 GHz DML with optical filtering and joint nonlinear equalization. Opt. Express 2019, 27, 6098–6105. [Google Scholar] [CrossRef]
- Loayssa, A.; Benito, D.; Garde, M. Single-sideband suppressed-carrier modulation using a single-electrode electrooptic modulator. IEEE Photon. Technol. Lett. 2001, 13, 869–871. [Google Scholar] [CrossRef]
- Li, Z.; Erkılınç, M.S.; Shi, K.; Sillekens, E.; Galdino, L.; Thomsen, B.C.; Bayvel, P.; Killey, R.I. SSBI Mitigation and the Kramers–Kronig Scheme in Single-Sideband Direct-Detection Transmission with Receiver-Based Electronic Dispersion Compensation. IEEE/OSA J. Light. Technol. 2017, 35, 1887–1893. [Google Scholar] [CrossRef] [Green Version]
- Zhang, L.; Zuo, T.; Mao, Y.; Zhang, Q.; Zhou, E.; Liu, G.N.; Xu, X. Beyond 100-Gb/s Transmission Over 80-km SMF Using Direct-Detection SSB-DMT at C-Band. IEEE/OSA J. Light. Technol. 2016, 34, 723–729. [Google Scholar] [CrossRef]
- Li, X.; Xing, Z.; Alam, M.; Pasandi, M.; O’Sullivan, M.; Plant, D.V. Demonstration of C-Band Amplifier-Free 100 Gb/s/λ Direct-Detection Links Beyond 40-km SMF Using a High-Power SSB Transmitter. IEEE/OSA J. Light. Technol. 2020, 38, 6170–6177. [Google Scholar] [CrossRef]
- Le, S.T.; Schuh, K.; Chagnon, M.; Buchali, F.; Dischler, R.; Aref, V.; Buelow, H.; Engenhardt, K.M. 1.72Tb/s virtual-carrier assisted direct-detection transmission over 200km. IEEE/OSA J. Light. Technol. 2018, 36, 1347–1353. [Google Scholar] [CrossRef]
- Zhu, Y.; Zou, K.; Chen, Z.; Zhang, F. 224 Gb/s Optical Carrier-Assisted Nyquist 16-QAM Half-Cycle Single-Sideband Direct Detection Transmission over 160 km SSMF. IEEE/OSA J. Light. Technol. 2017, 35, 1557–1565. [Google Scholar] [CrossRef]
- Rath, R.; Clausen, D.; Ohlendorf, S.; Pachnicke, S.; Rosenkranz, W. Tomlinson–Harashima Precoding for Dispersion Uncompensated PAM-4 Transmission with Direct-Detection. IEEE/OSA J. Light. Technol. 2017, 35, 3909–3917. [Google Scholar] [CrossRef]
- Hu, Q.; Schuh, K.; Chagnon, M.; Buchali, F.; Le, S.T.; Bülow, H. 50 Gb/s PAM-4 Transmission over 80-km SSMF without dispersion compensation. In Proceedings of the 2018 European Conference on Optical Communication (ECOC), Roma, Italy, 23–27 September 2018; pp. 1–3. [Google Scholar]
- Wang, H.; Zhou, J.; Guo, D.; Feng, Y.; Liu, W.; Yu, C.; Li, Z. Adaptive Channel-Matched Detection for C-Band 64-Gbit/s Optical OOK System Over 100-km Dispersion-Uncompensated Link. IEEE/OSA J. Light. Technol. 2020, 38, 5048–5055. [Google Scholar] [CrossRef]
- Tang, X.; Qiao, Y.; Chen, Y.-W.; Lu, Y.; Chang, G.-K. Digital Pre- and Post-Equalization for C-Band 112-Gb/s PAM4 Short-Reach Transport Systems. IEEE/OSA J. Light. Technol. 2020, 38, 4683–4690. [Google Scholar] [CrossRef]
- Lebedev, A.; Vegas Olmos, J.J.; Iglesias, M.; Forchhammer, S.; Monroy, I.T. A novel method for combating dispersion induced power fading in dispersion compensating fiber. Opt. Express 2013, 21, 13617–13625. [Google Scholar] [CrossRef] [Green Version]
- Zhang, Q.; Stojanovic, N.; Xie, C.; Prodaniuc, C.; Laskowski, P. Transmission of single lane 128 Gbit/s PAM-4 signals over an 80 km SSMF link, enabled by DDMZM aided dispersion pre-compensation. Opt. Express 2016, 24, 24580–24591. [Google Scholar] [CrossRef] [PubMed]
- Ishimura, S.; Bekkali, A.; Tanaka, K.; Nishimura, K.; Suzuki, M. 1.032-Tb/s CPRI-Equivalent Rate IF-Over-Fiber Transmission Using a Parallel IM/PM Transmitter for High-Capacity Mobile Fronthaul Links. IEEE/OSA J. Light. Technol. 2018, 36, 1478–1484. [Google Scholar] [CrossRef]
- Bekkali, A.; Ishimura, S.; Tanaka, K.; Nishimura, K.; Suzuki, M. Multi-IF-Over-Fiber System with Adaptive Frequency Transmit Diversity for High Capacity Mobile Fronthaul. IEEE/OSA J. Light. Technol. 2019, 37, 4957–4966. [Google Scholar] [CrossRef]
- Liu, S.; Peng, P.-C.; Huang, L.; Hsu, C.-W.; Tian, H.; Chang, G.-K. Bandwidth-Enhanced PAM-4 Transmissions Using Polarization Modulation and Direct Detection with a Tunable Frequency Range. IEEE/OSA J. Light. Technol. 2019, 37, 1014–1022. [Google Scholar] [CrossRef]
- Zou, D.; Li, F.; Li, Z.; Wang, W.; Sui, Q.; Cao, Z.; Li, Z. 100G PAM-6 and PAM-8 Signal Transmission Enabled by Pre-Chirping for 10-km Intra-DCI Utilizing MZM in C-band. IEEE/OSA J. Light. Technol. 2020, 38, 3445–3453. [Google Scholar] [CrossRef]
- Zhu, Y.; Li, L.; Miao, X.; Hu, W. Time skew enabled vestigial sideband modulation for dispersion-tolerant direct–detection transmission. Opt. Lett. 2020, 45, 6138–6141. [Google Scholar] [CrossRef]
- Zhu, Y.; Li, L.; Miao, X.; Wu, Q.; Yin, L.; Hu, W. 100G PAM-8 transmission with direct detection utilizing imbalanced mach-Zehnder modulator for power fading suppression. In Proceedings of the 2021 19th International Conference on Optical Communications and Networks (ICOCN), Qufu, China, 23–27 August 2021; pp. 1–3. [Google Scholar]
- Zhang, L.M.; Kschischang, F.R. Staircase codes with 6% to 33% overhead. IEEE/OSA J. Light. Technol. 2014, 32, 1999–2002. [Google Scholar] [CrossRef] [Green Version]
- Smith, G.H.; Novak, D.; Ahmed, Z. Overcoming Chromatic-Dispersion Effects in Fiber-Wireless Systems Incorporating External Modulators. IEEE Trans. Microwave Theory Tech. 1997, 45, 1410–1415. [Google Scholar] [CrossRef]













| Year | Transmitter | Wavelength | Bitrate (Gb/s) | Format | Distance (km) | Additional Device | Algorithm |
|---|---|---|---|---|---|---|---|
| 2016 [16] | DDMZM + DAC × 2 | C-band | 105 | DMT | 80 | - | VNE + TCM |
| 2016 [25] | DDMZM + DAC × 2 | C-band | 128 | PAM-4 | 80 | - | Pre-CDC |
| 2017 [15] | IQM+ DAC × 2 | C-band | 4 λ × 112 | 16-QAM | 320 | - | Hilbert + KK |
| 2018 [21] | MZM + DAC × 1 | C-band | 56 | PAM-4 | 80 | - | THP |
| 2018 [26] | IM + PM + DAC × 2 | C-band | 108 | OFDM 64-QAM | 20 | - | Subcarrier allocation |
| 2019 [11] | MZM + DAC × 1 | C-band | 8 λ × 50 | PAM-4 | 100 | DCF | FFE |
| 2019 [13] | DML + DAC × 1 | C-band | 100 | PAM-4 | 45 | OBPF | VNE |
| 2019 [27] | IQM + DAC × 2 | C-band | 129.6 | OFDM 64-QAM | 20 | - | Subcarrier allocation |
| 2019 [28] | PolM + DAC × 1 | C-band | 100 | PAM-4 | 5 | - | VNE |
| 2020 [10] | DML + DAC × 1 | O-band | 100 | PAM-4 | 50 | - | VNE |
| 2020 [22] | MZM + DAC × 1 | C-band | 64 | OOK | 100 | - | VNE + DFE + MLSD |
| 2020 [23] | MZM + DAC × 1 | C-band | 112 | PAM-4 | 20 | - | Pre-Equ. + FFE-DFE |
| 2020 [29] | MZM + DAC × 1 | C-band | 120 | PAM-8 | 10 | - | VNE |
| 2020 [30] | MZM + DAC × 1 | C-band | 96 | PAM-8 | 80 | - | VNE |
| This work | MZM + DAC × 1 | C-band | 104 | PAM-8 | 20 | - | VNE |
Publisher’s Note: MDPI stays neutral with regard to jurisdictional claims in published maps and institutional affiliations. |
© 2021 by the authors. Licensee MDPI, Basel, Switzerland. This article is an open access article distributed under the terms and conditions of the Creative Commons Attribution (CC BY) license (https://creativecommons.org/licenses/by/4.0/).
Share and Cite
Zhu, Y.; Miao, X.; Wu, Q.; Yin, L.; Hu, W. Imbalanced Mach-Zehnder Modulator for Fading Suppression in Dispersion-Uncompensated Direct Detection System. Electronics 2021, 10, 2866. https://doi.org/10.3390/electronics10222866
Zhu Y, Miao X, Wu Q, Yin L, Hu W. Imbalanced Mach-Zehnder Modulator for Fading Suppression in Dispersion-Uncompensated Direct Detection System. Electronics. 2021; 10(22):2866. https://doi.org/10.3390/electronics10222866
Chicago/Turabian StyleZhu, Yixiao, Xin Miao, Qi Wu, Longjie Yin, and Weisheng Hu. 2021. "Imbalanced Mach-Zehnder Modulator for Fading Suppression in Dispersion-Uncompensated Direct Detection System" Electronics 10, no. 22: 2866. https://doi.org/10.3390/electronics10222866
APA StyleZhu, Y., Miao, X., Wu, Q., Yin, L., & Hu, W. (2021). Imbalanced Mach-Zehnder Modulator for Fading Suppression in Dispersion-Uncompensated Direct Detection System. Electronics, 10(22), 2866. https://doi.org/10.3390/electronics10222866

