Abstract
In the present paper, a novel meta-heuristic algorithm, namely quasi-oppositional search-based political optimizer (QOPO), is proposed to solve a non-convex single and bi-objective economic and emission load dispatch problem (EELDP). In the proposed QOPO technique, an opposite estimate candidate solution is performed simultaneously on each candidate solution of the political optimizer to find a better solution of EELDP. In the bi-objective EELDP, QOPSO is applied to simultaneously minimize fuel costs and emissions by considering various constraints such as the valve-point loading effect (VPLE) and generator limits for a generation. The effectiveness of the proposed QOPO technique has been applied on three units, six units, 10-units, 11-units, 13-units, and 40-unit systems by considering the VPLE, transmission line losses, and generator limits. The results obtained using the proposed QOPO are compared with those obtained by other techniques reported in the literature. The relative results divulge that the proposed QOPO technique has a good exploration and exploitation capability to determine the optimal global solution compared to the other methods provided in the literature without violation of any constraints and bounded limits.
1. Introduction
With the growing demand for power day by day, the cost incurred in generating power, particularly in fossil fuel plants, is very high. Therefore, it is becoming mandatory to dispatch the power economically to decrease the fuel cost and maintain the stable operation of the power system [1,2]. Thus, the objective of the economic load dispatch problem (ELDP) is to schedule the committed power generating units output to meet the required load demand at minimum fuel cost and satisfy all the system and generating unit constraints. In literature, several conventional techniques such as Newton−Raphson, lambda iteration, dynamic programming, and gradient methods have been recommended to solve this problem. However, as mentioned in [3], the gradient technique has a sluggish convergence rate and has difficulties dealing with inequality restrictions.
Further, the convergence properties of Newton’s technique are sensitive to the initial estimate and may fail to produce an optimal solution owing to incorrect initialization. Inaccuracy and piece-wise linear cost approximation plague the linear programming approach. Furthermore, as mentioned in [3], quadratic programming is inefficient in dealing with the piece-wise quadratic cost approximation. Even though the interior point approach is said to be more efficient computationally, in the case of non-linear objective functions, it may offer an infeasible solution due to improper selection of the step size [4]. Moreover, these conventional techniques require incremental fuel cost curves, which are monotonously increasing/piece-wise linear in nature. However, the input−output characteristics of ELDP are non-convex, non-linear, and nonsmooth in nature [5]. To overcome the drawbacks of conventional techniques, various soft computing methods have been suggested in the literature.
In [5], a fuzzy particle swarm optimization (PSO) is discussed by providing a new mechanism that adjusts the inertia weights of PSO to avoid the premature convergence problem of conventional PSO. An improved firefly algorithm (FA) that prevents the premature convergence problem of standard FA and to enhance the exploration capability is suggested in [6]. A modified flower pollination technique has been suggested by improving the search direction utilizing the user-controlled mutation strategy in the local pollination phase and by carrying an exhaustive exploitation phase to solve ELDP by considering the valve-point effect [7]. In [8], a Q-learning-based PSO is suggested to overcome the drawback of conventional PSO by finding the best policy for exploiting the expected values. A multi-objective PSO is presented in [9] to solve the ELDP problem by minimizing the generation cost and transmission loss as two objective functions. A modified PSO technique has been suggested by making the best use of adaptive acceleration constant in [10]. Here, the acceleration constant best value is selected based on the optimum number of fitness evaluations. In [11], a hybrid bacteria foraging (BFA) and PSO is suggested to solve ELDP by considering the valve-point effect. In this hybrid technique, the best particle’s biased velocity vector is added by BFA random velocity to decrease the randomness during the search process and to increase the swarming. An invasive weed optimization technique is discussed to solve ELDP by considering prohibited operating zones and valve-point effects in [12]. A grey wolf optimizer (GWO)-based ELDP is discussed by application for small to large systems in [13].
Similarly, an ant lion optimization is suggested to solve ELDP by applying it to four small test systems and considering valve-point loading [14]. In [15], a new hybrid method that combines the PSO and pattern search (PS) method has been suggested to solve ELDP. The main objective of this paper is to overcome the disadvantage of the PS method that requires an initial starting point. The authors in [16] have hybridized Big Bang–Big Crunch (BB-BC) and PSO optimization techniques to solve ELDP to enhance the performance and robustness of the conventional BB-BC technique. In [17], an application of artificial bee colony (ABC) optimization to solve ELDP has been discussed by applying it to unit-3, unit-13, and unit-40 test systems with valve-point effect. An application of hybrid differential evolution (DE) and genetic algorithm (GA) with a dynamically coordinated PS algorithm is discussed to improve the solution of the ELDP by considering valve-point loading in [18]. Similar to [13] and [14], the authors in [19] combined the catfish effects on the PSO algorithm to solve ELDP by considering valve-point effects. In [20], the authors considered the traditional ELDP by solving it in a new approach by turning off the inefficient generators by making use of the DE technique. This approach has reduced the total fuel cost by 19.88% when compared to traditional methods. In [21], a relative study of five soft computing techniques, namely, DE, PSO, evolutionary programming (EP), GA, and simulated annealing (SA), is suggested to dynamic ELDP by taking into consideration the constraints such as generator ramp rate limits. In [22], the authors have improved the exploration and convergence capability of conventional teaching learner-based optimization technique by introducing the concept of quasi-oppositional-based learning to solve ELDP. A modified DE technique is suggested to solve ELDP by introducing a tournament-best vector in the mutation stage rather than selecting a random vector, and the random scaling factor is considered instead of a fixed scaling factor to enhance the exploration capability in [23]. In [24], the sequential quadratic programming (SQP) technique is hybridized with PSO to solve ELDP by considering large-scale systems. In a similar way, the authors in [25] have suggested solving ELDP by introducing the self-adaptive chaos and Kalman filtering technique with PSO to circumvent the premature convergence of conventional PSO. In [2], a new evolutionary technique, namely clustering cuckoo search algorithm, is discussed to solve the ELDP by applying it on five different test systems, namely, 6 unit, 10 unit, 11 unit, 13 unit, 15 unit, and 40 unit systems by considering the constraints such as transmission losses and valve-point loading.
It can be observed from the above literature that most of the algorithms [5,6,7,8,9,10,11,12,13,14,15,16,17,18,19,20,21,22,23,24,25] require tuning of a large number of control parameters. Thus, to obtain an optimum solution, the control parameters need to be tuned correctly, which is time-consuming and tedious task. Recently, a human-inspired algorithm, namely political optimizer (PO), has been proposed in [26]. The PO technique mimics the behavior of the politicians, which mathematically maps all the important stages of politics to accomplish the end goal of the optimization. It is observed in [26] that with the tuning of only one control parameter, this technique has shown good convergence speed and exploitation capabilities in solving various engineering design problems. However, in the traditional PO, during its final iterative state of optimization, approximately all the individuals are clustered in a compact region around the present optimal individual in the final stage of iterative optimization. As a result, when tackling complicated multimodal global optimization issues, the complete population may converge to the local optimum quickly. Hence, an improved version of PO that enhances the exploration capability is the main goal of global optimization. Therefore, to enhance the exploration and exploitation capability of the political optimizer, the concept of quasi-oppositional learning is incorporated and named the quasi-oppositional political optimizer (QOPO) method. In the present work, the QOPO method is proposed to solve EELDP. Thus, the main contribution of the work is as follows:
- A novel quasi oppositional-based political optimizer is proposed to enhance the exploration capability of the conventional political optimizer.
- After validating the efficacy of the proposed to solve conventional ELD, it is employed to solve the bi-objective optimization problem (economic emission dispatch).
- To explicate the performance of the proposed QOPO, two practical effects of valve-point loading and transmission line losses are simulated.
- The competence and effectiveness of the proposed QOPO in terms of robustness, quality of the solution, and computational efficiency are compared with various methods suggested in the literature.
Further, the algorithm is tested on different test systems to test the efficiency and robustness, namely, unit 3, unit 6, unit 10, unit 11, unit 13, and unit 40. The rest of the paper is structured in the following way. Section 2 provides the problem formulation of ELDP. The solution methodology is discussed in Section 3. Results and discussions are discussed in Section 4. Finally, conclusions are discussed in Section 4.
2. Formulation of Economic Emission Load Dispatch Problem
The EELDP is a constraint optimization problem that minimizes the total fuel cost and total emission cost that occurred during allocating total power to different generating units. In EELDP, some of the constraints include power balance considering with and without transmission line losses, generating capacity limit, and the effect of valve-point loading [22].
2.1. Objective Function
The objective function of EELDP is to minimize the total fuel cost and minimize the amount of emissions emitted by the generating stations. Thus, the objective function is expressed as the weighted summation of the fuel cost incurred by individual committed generating units and emissions caused by fossil-fuelled thermal units, which is shown below:
where Ci(Pi) is the fuel cost obtained by the ith generating unit, Ei(Pi) is the emissions obtained by the ith generating unit, Pi indicates the active power generated by ith generating unit, indicates the ratio of and , and N represents the number of generating units.
2.1.1. Smooth Cost Function Characteristics
In standard ELDP, the smooth fuel cost characteristic function is expressed as a quadratic function, described below [22].
where ai, bi, and ci signify the fuel cost coefficients of the ith unit.
2.1.2. Nonsmooth Cost Function Characteristics
In thermal-generating power plants, to control the generating unit’s output power, multiple valves are utilized. The main function of these valves is to control the flow of inlet steam. Thus, these steam valves are opened during the increase in power demand; during this process, a sudden increase in losses is observed, resulting in ripples in the cost curve characteristics. This occurrence is called a valve-point loading effect. This valve-point loading effect accounts for multiple non-differential points and nonsmooth cost curve characteristics [22]. The objective function of ELDP in the presence of valve-point effects makes the conventional objective function as non-convex quadratic, and a sinusoidal function manner as described below:
where ei and fi represent cost coefficients that reflect the valve-point loading effects, and Pimin indicates the minimum active power generation limit of ith generator.
2.1.3. Nonsmooth Emission Function Characteristics
The emissions caused by fossil fuel generating units are mainly due to two main pollutants, SOx and NOx. The total pollutant emission function is expressed as follows:
where represent emission coefficients of ith generator.
From the above equation, it can be observed that the pollutant emission function is very non-linear due to the presence of both quadratic term and exponential function.
2.2. Constraint Functions
2.2.1. Power Balance Constraint
The summation of total power generated by committed generators should be equal to the load demand PD and the total transmission losses, which is given as follows [22]:
where PL signifies the total transmission loss.
The losses incurred in transmitting the power from the generation station to load are normally computed using load flow analysis or using Kron’s loss coefficients given below.
where Bij, B0i, and B00 signify the loss B coefficients and constants during normal operating conditions.
2.2.2. Generation Limit Constraints
The active power-generated output of each generating unit should satisfy the maximum Pmax and minimum Pmin limits which is expressed as [22]:
3. Solution Methodology Using QOPO
The political optimizer is a new meta-heuristic optimization technique proposed in the year 2020 and is based on the multi-phase political process [26]. This PO technique mimics the behavior of the politicians to accomplish the end goal of the optimization. This PO technique is generalized by incorporating few harmonies such as the concept of parties and its participation in various constituencies, the connotation of politicians with the parties, cooperation between the politicians within the same party and competition between the other parties through the inter-party election, switching of politicians from one party to the other, confrontation before the election for votes, and cooperation between the members elected during the election in parliament [26]. Thus, PO performs five sequences of phases to optimize the given problem, which are (1) party creation and allocation of the constituency, (2) campaigning during election, (3) party switching, (4) election between the politicians of the inter-party, and (5) parliamentary affairs.
3.1. Party Creation and Allocation of Constituency
Like all other meta-heuristic techniques, the algorithm starts with initializing the population P of size NP. Here, each row in the population constitutes the political party and the number of constituencies [26]. The number of input variables of the problem is denoted as D.
Further, in addition, as a party member, a political solution acts as an election candidate. This is shown as follows:
From the above, it can be considered as there are “n” numbers of constituencies in which “n” number of parties compete in each constituency C.
The best member of the party based on fitness is considered as the leader of the party. The selection of the leader of the party is exhibited as follows [26]:
where represents the set of all the political party leaders.
If represents the candidate won from constituency i, then the set of winning candidates form the parliamentarians C*, which is given as follows:
3.2. Election Campaigning
In this phase, each candidate improves its majority by considering aspects, namely, (1) candidates learning from their previous election, (2) influencing the voters with reference to the leader of the party and by himself, and (3) by performing the comparative analysis with the constituency winner. The campaigning of the candidate follows these three stages and updates his position either using (12) or (13) based on its relation with the previous position, i.e., if the fitness of the candidate is improved, then the position is updated using (12); otherwise, it is updated using (13) [26]. These are explained using the following two equations:
3.3. Party Switching
In this phase, a member of the party is selected based on the adaptive parameter and switched to the other party having the least fit member randomly [26]. The index q is computed using (14).
3.4. Election Phase
In this phase, a candidate is said to win the election based on fitness and is represented by (17).
Here, after the candidate is declared as the winner of a constituency, the party leaders are updated using (10).
3.5. Parliamentary Affairs
In this stage, the government is formed after the election. The leaders of the party and parliamentarians are categorical by using (10) and (15), respectively. Now, each parliamentarian updates his position by selecting another parliamentarian randomly if there is an improvement in fitness [26]. A detailed explanation of the conventional PO can be found in [26].
3.6. Quasi-Opposition-Based Learning
After performing the parliamentary operation, the fitness of each parliamentarian is examined by quasi-opposition position, i.e., here, the concept of quasi-opposition-based learning (QOBL) is applied to each parliamentarian. Then, after obtaining the fitness of the quasi-opposition position of each parliamentarian, the best NP parliamentarians are selected for the next iteration. To perform the QOBL, the opposite position of the parliamentarian to the present position of the parliamentarian, along with the mean of the search region, is calculated. Here, the opposite position of the parliamentarian to the given position of the parliamentarian and the mean of the search region is calculated in the following way [22].
If is a vector comprised of d-real numbers whose upper and lower limits are , then its opposite vector is obtained using (16).
The mean (mz) of the search space limit is calculated as:
Mathematically, the QOBL is obtained using (18):
Now, each position of the parliamentarian obtained after the parliamentarian phase is compared with the QOZ position of the parliamentarian obtained above to select the best individual for next-generation or iteration.
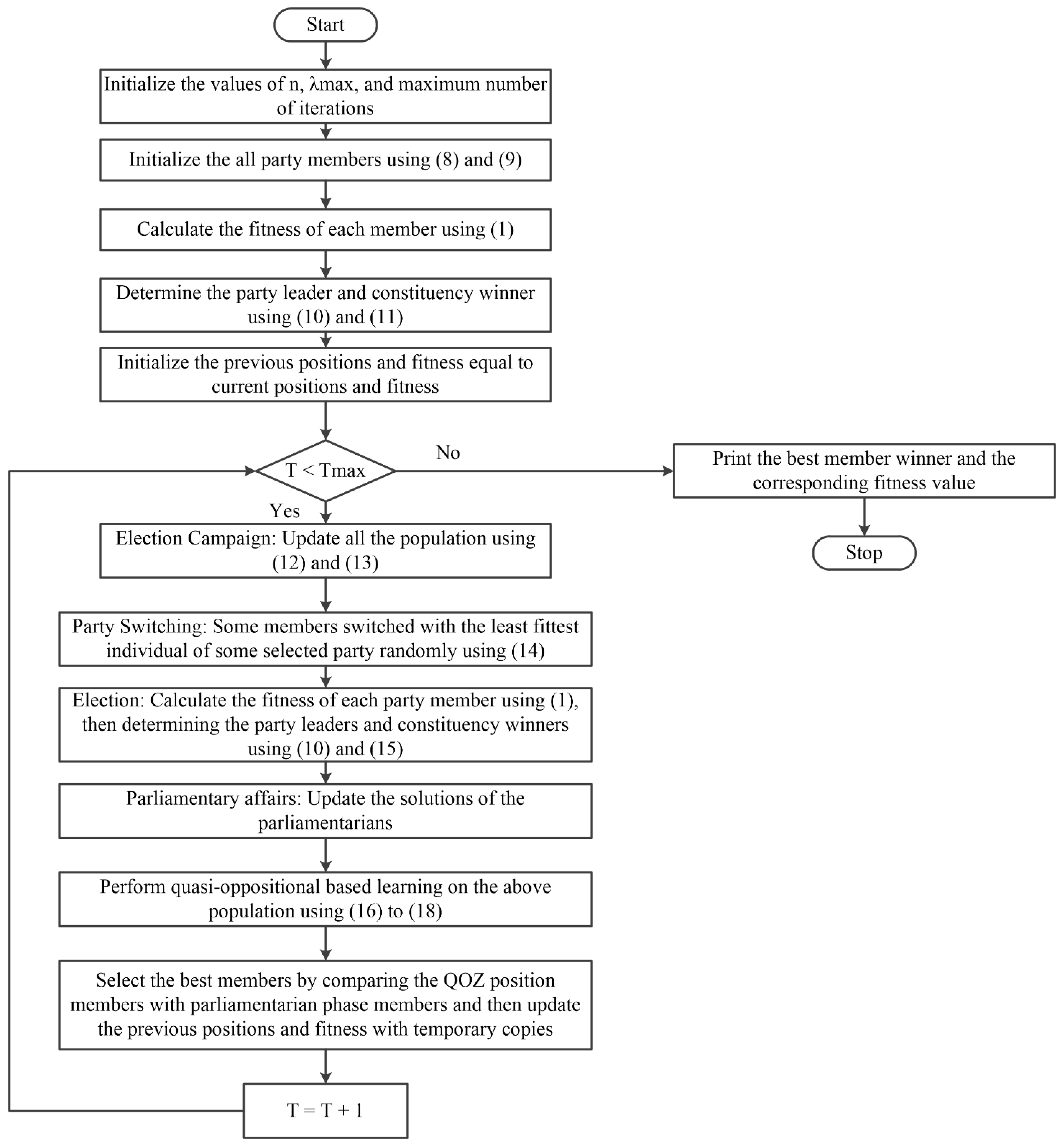
The step-by-step implementation of the proposed QOPO to EELD problem is shown in Figure 1.
Figure 1.
Flow chart of proposed QOPO technique.
4. Results and Discussion
To illustrate the efficiency of the proposed QOPO algorithm to solve EELDP, it is initially tested by pertaining it to solve conventional ELDP, i.e., minimizing fuel cost by considering three real-world benchmark test systems. This is as follows: case study 1 deals with the small test system that consists of three generating units with 850 MW load demand. Case study 2 deals with the medium test system that consists of 13 generating units with 1080 MW and 2520 MW load demands. Case study 3 deals with the large-scale test system that consists of 40 generating units with 10,500 MW load demand. After verifying the ability to solve conventional ELDP, the proposed method is applied to solve bi-objective functions, i.e., minimizing the total fuel cost and the total emission by considering valve-point loading effect, generator limits, and transmission line losses on unit 6, unit 10, unit 11, and unit 40 systems. For all the experiments, the proposed QOPO technique has been executed with a population size of 64 (the number of parties (8) multiplied by the number of constituencies (8)) and a lambda value of 0.2. These control parameters have been selected by varying the population size, i.e., {25, 36, 49, 64, 81, 100} and lambda value from 0.05 to 0.4 with variation of 0.05. Further, the maximum number of iterations taken for unit 3, unit 6, unit 10, unit 11, unit 13, and unit 40 are 500, 1500, 5000, 5000, 5000, and 10,000, respectively.
4.1. Single Objective Function (Minimizing the Total Fuel Costs)
4.1.1. Case Study 1: Three Generating Units with 850 MW Load Demand
In this case study, the three-unit generating system is utilized to evaluate the performance of the proposed QOPO with a load demand of 850 MW by considering the valve-point loading effect. The fuel cost coefficients and generator maximum and minimum limits have been taken from [8,27]. The results obtained using QOPO are provided in Table 1, along with the results obtained in the literature. Table 1 represents the power allocation between different generators for a given load demand of 850 MW. It is seen that the proposed QOPO gives better results (with a total cost of 8234.07 USD/h) when compared to GA, EP, EP-SQP, PSO, PSO-SQP, PS, GA-PS-SQP, gravitational search algorithm (GSA) techniques. Further, the results are summarized in Table 2 and compared with other comparative techniques suggested in the literature. The proposed method being tested on a small test system, the results obtained using proposed method is similar to few techniques (island bat algorithm (iBA), Hybrid Chaotic PSO (HCPSO), HCPSO-SQP). However, still being a small sized test system, the proposed method has been able to provide better results than other techniques such as GAB, mean fast EP (MFEP), GA-PS-SQP, GWO, GSA, novel direct search method (NDS), novel stochastic search method (NSS), SA, EP, and GA. When compared with these techniques, there is a minimum saving of 0.01 USD/h and maximum saving of 19.04 USD/h when compared to GAB and GWO techniques, respectively.
Table 1.
Comparison of power distribution among three units for the load demand of 850 MW.
Table 2.
Comparison of results of 3-unit system for the load demand of 850 MW.
4.1.2. Case Study 2: 13 Generating Units System with 1080 MW and 2520 MW Load Demands
In this case study, the 13 generating unit system is utilized to evaluate the performance of the proposed QOPO with load demands of 1080 MW and 2520 MW by considering the valve-point loading effect. The fuel cost coefficients and generator maximum and minimum limits have been taken from [8,27]. The results obtained using QOPO are provided in Table 3 and Table 4 for 1080 MW and 2520 MW load demands, along with the results obtained in the literature. Table 3 and Table 5 represent the power allocation between different generators for given load demands of 1080 MW and 2520 MW, respectively. It is seen that the proposed QOPO gives better results (with a total cost of 17,988.99 USD/h and 24,328.14 USD/h, respectively) when compared to neural network (NN)-efficient PSO (NN-EPSO), GWO, SA, and GA techniques. Further, the results are summarized in Table 5 and Table 6 for 1080 MW and 2520 MW load demands, respectively. These summarized results are compared with other comparative techniques suggested in the literature. It is observed from Table 3, Table 4, Table 5 and Table 6 that the proposed method is able to provide better results than other techniques such as classical EP (CEP), Fast EP (FEP), MFEP, improved FEP (IFEP), PSO, EP-SQP, SA, and GA. As the size of the system has been increased to 13 units, the proposed method has been able to save a minimum of 2.04 USD/h and a maximum of 453.6 USD/h when compared to EP-SQP and NN-EPSO methods, respectively, for load demand of 1800 MW. It has also been observed that with increase in demand to 2520 MW from 1800 MW, there is further saving with a minimum of 70.09 USD/h and maximum of 642.77 USD/h in comparison with GA and SA, respectively. This shows the efficiency of the proposed QOPO technique.
Table 3.
Comparison of power distribution among 13 units for the load demand of 1800 MW.
Table 4.
Comparison of results of 13-unit system for the load demand of 1800 MW.
Table 5.
Comparison of power distribution among 13 units for the load demand of 2520 MW.
Table 6.
Comparison of results of 13-unit system for the load demand of 2520 MW.
4.1.3. Case Study 3: 40 Generating Units System with 10,500 MW Load Demand
In this case study, the 40 generating unit system is utilized to evaluate the performance of the proposed QOPO with a load demand of 10,500 MW by considering the valve-point loading effect. The fuel cost coefficients and generator maximum and minimum limits have been taken from [8,27]. The results obtained using QOPO are provided in Table 7 for 10,500 MW load demand, along with the results obtained in the literature. Table 7 represents the power allocation between different generators for a given load demand of 10,500 MW. It is seen that the proposed QOPO gives better results (with a total cost of 121,789.6 USD/h) when compared to modified PSO (MPSO), PSO, mean personal best base-oriented particle PSO (MPPSO), adaptive personal best base-oriented PSO (APPSO), and decisive personal base-oriented PSO (DPSO) techniques. Further, the results are summarized in Table 8 for 10,500 MW load demands. These summarized results are compared with 19 other comparative techniques suggested in the literature. The best results obtained for the given test system are represented with bold letters. It has been observed from Table 8 that the proposed method is able to provide a minimum saving of 21.77 USD/h and a maximum saving of 2140.85 USD/h when compared to ACO and PSO techniques, respectively. This shows the robustness of the proposed QOPO technique to provide efficient results. Further, the minimum saving of fuel cost with increase in number of generating units has been depicted in Figure 2.
Table 7.
Comparison of power distribution among 40 units for the load demand of 10,500 MW.
Table 8.
Comparison of results of 40-unit system for the load demand of 10,500 MW.
Figure 2.
Minimum saving of fuel cost using QOPO when compared to other techniques with an increase in generating units.
4.2. Bi-Objective Function (Minimizing the Total Fuel Cost and the Total Emission)
4.2.1. Case Study 1: Six Generating Units with 2.834 (p.u.) Load Demand
In this case study for bi-objective optimization, a small test system with six generating unit system is initially considered to evaluate the execution of the proposed QOPO with load demand 2.834 p.u. by considering the transmission line losses. The fuel cost coefficients, emission coefficients, and generator maximum and minimum limits have been taken from [41,42]. The results obtained using QOPO are provided in Table 9 for 2.834 p.u. load demand, along with the results obtained in the literature [41]. Table 9 represents the power allocation between different generators for a given load. It can be seen that the proposed QOPO gives better results (with a total cost of 605.9984 USD/h and 0.2044 (ton/h)) when compared to other techniques. It is to be noted here that even though the proposed method provides a slightly high emission of 0.008 (ton/h) compared to MOEA/D, the total fuel cost is a lot less at 19.6916 (USD/h). The best results obtained for the given test system are represented with bold letters. Hence, it can be said from Table 9 that the proposed method can provide a better compromised solution of total fuel cost and emission compared to other techniques.
Table 9.
Comparison of results of six-unit system for the load demand of 2.834 p.u.
4.2.2. Case Study 2: Six Generating Units with 1200 MW Load Demand
In continuation to case study 1, in this case, again, a small test system has been considered to verify its effectiveness to provide a better and accurate solution for high load demand. The fuel cost coefficients, emission coefficients, and generator maximum and minimum limits have been taken from [41,42]. The results obtained using QOPO for minimizing the objectives are tabulated in Table 10 for load demand of 1200 MW. The obtained results are compared with nine different techniques proposed in the literature and have been taken from [41]. Like case study 1 for six generating units with load demand of 2.3834 p.u., the proposed method provides better fuel cost when compared to other techniques with slightly high emission of (9.5 ton/h) compared to NGPSO. This slightly high emission is obtained due to the high minimization of fuel cost of 61,197.87551 USD/h, which is less by an amount of 5340.46479 USD/h compared to NGPSO. Further, when compared to other techniques, it has been observed that the proposed QOPO provides not only minimum fuel cost but also the minimum emission cost. Therefore, it can be said that the proposed QOPO provides a better compromised solution.
Table 10.
Comparison of results of six-unit system for the load demand of 1200 MW.
4.2.3. Case Study 3: Ten Generating Units with 2000 MW Load Demand
In this case study, the efficacy of the proposed method in providing a better solution is tested on ten generating units system by considering nonsmooth fuel test function, i.e., the valve-point loading effect along with transmission line losses. The fuel cost coefficients, emission coefficients, and generator maximum and minimum limits have been taken from [41,42]. The results obtained using QOPO have been provided in Table 11 for load demand of 2000 MW. The results have been compared with different techniques provided in [41]. From this table, it can be observed that with the increase in the number of generating units along with the complex objective function, i.e., by considering VPLE, the proposed QOPO method provided better fuel cost compared to other techniques and the emission cost also. For instance, the proposed method has been able to save the fuel cost a minimum of 914.9639 USD/h and a maximum of 4287.239 USD/h in comparison with BSA and NGPSO, respectively. Similarly, emission cost has been reduced by a minimum of 285.8845 ton/h and a maximum of 534.7493 ton/h when compared to NGPSO and BSA techniques, respectively. This shows the robustness of the proposed QOPO method in providing better solutions compared to other techniques.
Table 11.
Comparison of results of 10-unit system for the load demand of 2000 MW.
4.2.4. Case Study 4: Eleven Generating Units with 2500 MW Load Demand
In this case study, the proposed QOPO method is applied to the 11 generating unit system by considering transmission line losses without the VPLE effect. The data for this generating unit has been taken from [41,42] and the results thus obtained are tabulated in Table 12. The comparative results have been taken from [41]. From the table, it is identified that as the fuel cost is minimized, the emission has been increased, for instance, in the case of GSA technique, i.e., the GSA technique provides a reduced fuel cost of 69.018 USD/h. However, the reduced fuel cost provided by GSA is due to an increased emission cost of 105.088 ton/h in comparison with the proposed QOPO. On the other hand, if the emission is decreased, the total fuel cost has been increased; for example, in the case of NGPSO technique, i.e., NGPSO provides a minimum emission cost of 236.149 ton/h with an increased fuel cost of 534.23143 USD/h when compared to proposed QOPO technique. In this situation, the proposed QOPO technique has provided a better compromised solution of the two objectives with 12,491.67857 USD/h and 1897.861924 ton/h.
Table 12.
Comparison of results of the 11-unit system for the load demand of 2500 MW.
4.2.5. Case Study 5: Forty Generating Units with 10,500 MW Load Demand
In this case study, the effectiveness of the proposed method in providing a better solution is tested on a large test system consisting of forty generating units by considering nonsmooth fuel test function, i.e., the valve-point loading effect. The complete details of fuel cost coefficients, emission coefficients, and generator maximum and minimum limits have been taken from [41,42]. The results obtained using QOPO and the comparative results acquired using other techniques that are taken from [41] have been provided in Table 13 for a load demand of 10,500 MW. Table 13 depicts the optimal generator scheduling obtained using 12 evolutionary techniques: SMPSO, PDE, SPEA-2, MODE, QOTLBO, NSGA, FPA, TLBO, NGPSO, MoGA GSA, and proposed QOPO. Like the other case studies, from the comparative results, it can be intuitively identified that the proposed QOPO technique provides a better compromised solution than other techniques. For instance, FPA provides a minimum fuel cost of about 6374.567 USD/h in comparison with the proposed QOPO. However, this minimum fuel cost is obtained by compromising with the emission cost, i.e., FPA provides an increased emission cost of 31,573.3 ton/h when compared to the proposed QOPO. This shows the proposed technique provides a better compromised solution when compared to other methods.
Table 13.
Comparison of results of 40-unit system for the load demand of 10,500 MW.
4.3. Computational Efficiency
In this section, the computational efficiency of the proposed QOPO method has been evaluated by comparing it with ISMA, SMA, HHO, JS, TSA, and PSO techniques suggested in the literature [42]. The computational time taken by these methods for unit 6 with a load of 2.834, unit 10, unit 11, and unit 40 are tabulated in Table 14, Table 15, Table 16 and Table 17, respectively. From Table 14, Table 15, Table 16 and Table 17, it can be seen that there is a minimum saving of 90.25%, 81.61%, 94.18%, and 32.88% computational time using proposed QOPO by minimizing only the fuel cost for unit 6, unit 10, unit 11, and unit 40 systems, respectively. Similarly, a minimum saving of 89.14%, 76.48%, 96.32%, and 76.15% computational time using proposed QOPO is attained by minimizing only the emission cost for unit 6, unit 10, unit 11, and unit 40 systems, respectively. Therefore, it can be said that the proposed QOPO method provides better solutions for various test systems with less computation time.
Table 14.
Comparison of computational time for a six-unit system for the load demand of 2.834 MW.
Table 15.
Comparison of computational time for 10-unit system.
Table 16.
Comparison of computational time for 11-unit system.
Table 17.
Comparison of computational time for 40-unit system.
5. Conclusions
In the present work, a novel quasi-oppositional learning-based political optimizer is proposed to solve the non-convex, non-linear, and nonsmooth economic emission load dispatch problem. The applicability of the proposed QOPO method in providing reliable and competitive solutions in solving ELD is initially demonstrated by applying it to various generating units ranging from three to forty units. It has been found that the cost of saving fuel cost has been increased from 0.01 USD/h to 21.77 USD/h as system size increases from three units to forty units, respectively. Then, effectiveness and performance of the proposed QOPO method are tested on small (unit 6), medium (unit 10 and unit 11), and large (40 unit) generating units by not only considering fuel cost but also the emission cost with different load demands and constraints. The comparative results by considering both of the objective functions show the ability of the proposed method to solve EELDP by providing minimum cost and minimum emission in generating power by different generating units. Further, it has been observed that the proposed method requires less computation time and possesses better convergence characteristics to obtain the best-compromised solutions compared to other strategies. For instance, the proposed QOPO saves a minimum of 112.286 s when compared to other techniques. The main limitation of the proposed QOPO technique is that it requires a higher number of iterations to obtain a better solution with increase in number of units. Indeed, using the quasi-oppositional-based learning concept in PO encourages research in implementing the proposed QOPO for various optimization problems, including EELDP, by considering multiple constraints such as ramp rate limits and prohibited operating zones.
Author Contributions
Conceptualization, C.K.S. and V.B.; methodology, C.K.S. and V.B.; software, V.B.; validation, S.S.R.; formal analysis, R.E.C.; investigation, R.E.C. and T.S.; writing—original draft preparation, C.K.S. and V.B.; writing—review and editing, S.S.R., H.P., and R.K.; visualization, V.B. All authors have read and agreed to the published version of the manuscript.
Funding
The authors received no specific funding for this work by any funding agency. This is the authors’ own research work.
Acknowledgments
The authors are grateful to their respective organizations for providing research opportunities and providing necessary resources towards the completion of this paper.
Conflicts of Interest
The authors declared that they have no competing interests and have no conflict of interest among them.
References
- Arul, R.; Ravi, G.; Velusami, S. An improved harmony search algorithm to solve economic load dispatch problems with generator constraints. Electr. Eng. 2014, 96, 55–63. [Google Scholar] [CrossRef]
- Yu, J.; Kim, C.-H.; Rhee, S.-B. Clustering cuckoo search optimization for economic load dispatch problem. Neural Comput. Appl. 2020, 32, 16951–16969. [Google Scholar] [CrossRef]
- Walters, D.C.; Sheble, G.B. Genetic algorithm solution of economic dispatch with valve point loading. IEEE Trans. Power Syst. 1993, 8, 1325–1332. [Google Scholar] [CrossRef]
- Abido, M. Optimal Power Flow Using Tabu Search Algorithm. Electr. Power Components Syst. 2002, 30, 469–483. [Google Scholar] [CrossRef] [Green Version]
- Chaturvedi, D.K.; Kumar, S. Solution to Electric Power Dispatch Problem Using Fuzzy Particle Swarm Optimization Algorithm. J. Inst. Eng. Ser. B 2015, 96, 101–106. [Google Scholar] [CrossRef]
- Chen, G.; Ding, X. Optimal economic dispatch with valve loading effect using self-adaptive firefly algorithm. Appl. Intell. 2014, 42, 276–288. [Google Scholar] [CrossRef]
- Dubey, H.M.; Pandit, M.; Panigrahi, B.K. A Biologically Inspired Modified Flower Pollination Algorithm for Solving Economic Dispatch Problems in Modern Power Systems. Cogn. Comput. 2015, 7, 594–608. [Google Scholar] [CrossRef]
- Hsieh, Y.-Z.; Su, M.-C. A Q-learning-based swarm optimization algorithm for economic dispatch problem. Neural Comput. Appl. 2016, 27, 2333–2350. [Google Scholar] [CrossRef]
- Jain, N.K.; Nangia, U.; Jain, A. PSO for Multiobjective Economic Load Dispatch (MELD) for Minimizing Generation Cost and Transmission Losses. J. Inst. Eng. Ser. B 2016, 97, 185–191. [Google Scholar] [CrossRef]
- Jain, N.K.; Nangia, U.; Jain, J. Economic Load Dispatch Using Adaptive Social Acceleration Constant Based Particle Swarm Optimization. J. Inst. Eng. Ser. B 2018, 99, 431–439. [Google Scholar] [CrossRef]
- Jayabarathi, T.; Bahl, P.; Ohri, H.; Yazdani, A.; Ramesh, V. A hybrid BFA-PSO algorithm for economic dispatch with valve-point effects. Front. Energy 2012, 6, 155–163. [Google Scholar] [CrossRef]
- Jayabarathi, T.; Yazdani, A.; Ramesh, V. Application of the invasive weed optimization algorithm to economic dispatch problems. Front. Energy 2012, 6, 255–259. [Google Scholar] [CrossRef]
- Kamboj, V.K.; Bath, S.K.; Dhillon, J.S. Solution of non-convex economic load dispatch problem using Grey Wolf Optimizer. Neural Comput. Appl. 2016, 27, 1301–1316. [Google Scholar] [CrossRef]
- Kamboj, V.K.; Bhadoria, A.; Bath, S.K. Solution of non-convex economic load dispatch problem for small-scale power systems using ant lion optimizer. Neural Comput. Appl. 2016, 28, 2181–2192. [Google Scholar] [CrossRef]
- Labbi, Y.; Ben Attous, D. A hybrid particle swarm optimization and pattern search method to solve the economic load dispatch problem. Int. J. Syst. Assur. Eng. Manag. 2014, 5, 435–443. [Google Scholar] [CrossRef]
- Labbi, Y.; Ben Attous, D. A Hybrid Big Bang–Big Crunch optimization algorithm for solving the different economic load dispatch problems. Int. J. Syst. Assur. Eng. Manag. 2017, 8, 275–286. [Google Scholar] [CrossRef]
- Labbi, Y.; Ben Attous, D.; Mahdad, B. Artificial bee colony optimization for economic dispatch with valve point effect. Front. Energy 2017, 8, 449–458. [Google Scholar] [CrossRef]
- Mahdad, B.; Srairi, K. Solving practical economic dispatch using hybrid GA–DE–PS method. Int. J. Syst. Assur. Eng. Manag. 2014, 5, 391–398. [Google Scholar] [CrossRef]
- Murali, K.; Jayabarathi, T. Solution to economic dispatch problem with valve-point loading effect by using catfish PSO algorithm. Front. Energy 2014, 8, 290–296. [Google Scholar] [CrossRef]
- Nascimento, M.H.R.; Nunes, M.V.A.; Rodríguez, J.L.M.; Leite, J.C. A new solution to the economical load dispatch of power plants and optimization using differential evolution. Electr. Eng. 2017, 99, 561–571. [Google Scholar] [CrossRef]
- Pattanaik, J.K.; Basu, M.; Dash, D.P. Dynamic economic dispatch: A comparative study for differential evolution, particle swarm optimization, evolutionary programming, genetic algorithm, and simulated annealing. J. Electr. Syst. Inf. Technol. 2019, 6, 1–18. [Google Scholar] [CrossRef] [Green Version]
- Prakash, T.; Singh, V.P.; Singh, S.P.; Mohanty, S.R. Economic load dispatch problem: Quasi-oppositional self-learning TLBO algorithm. Energy Syst. 2018, 9, 415–438. [Google Scholar] [CrossRef]
- Sayah, S.; Hamouda, A.; Zehar, K. Economic Dispatch Using Improved Differential Evolution Approach: A Case Study of the Algerian Electrical Network. Arab. J. Sci. Eng. 2013, 38, 715–722. [Google Scholar] [CrossRef]
- Wang, Y.; Li, B.; Yuan, B. Hybrid of comprehensive learning particle swarm optimization and SQP algorithm for large scale economic load dispatch optimization of power system. Sci. China Inf. Sci. 2010, 53, 1566–1573. [Google Scholar] [CrossRef]
- Wu, Y.; Liu, G.; Guo, X.; Shi, Y.; Xie, L. A self-adaptive chaos and Kalman filter-based particle swarm optimization for economic dispatch problem. Soft Comput. 2017, 21, 3353–3365. [Google Scholar] [CrossRef]
- Askari, Q.; Younas, I.; Saeed, M. Political Optimizer: A novel socio-inspired meta-heuristic for global optimization. Knowledge-Based Syst. 2020, 195, 105709. [Google Scholar] [CrossRef]
- Sinha, N.; Chakrabarti, R.; Chattopadhyay, P.K. Evolutionary programming techniques for economic load dispatch. IEEE Trans. Evol. Comput. 2003, 7, 83–94. [Google Scholar] [CrossRef]
- Alsumait, J.S.; Sykulski, J.K.; Al-Othman, A.K. A hybrid GA–PS–SQP method to solve power system valve-point economic dispatch problems. Appl. Energy 2010, 87, 1773–1781. [Google Scholar] [CrossRef] [Green Version]
- Duman, S.; Güvenç, U.; Yörükeren, N. Gravitational search algorithm for economic dispatch with valve-point effects. Int. Rev. Electr. Eng. 2010, 5, 2890–2895. [Google Scholar]
- Cai, J.; Li, Q.; Li, L.; Peng, H.; Yang, Y. A hybrid CPSO–SQP method for economic dispatch considering the valve-point effects. Energy Convers. Manag. 2012, 53, 175–181. [Google Scholar] [CrossRef]
- Al-Betar, M.A.; Awadallah, M.A. Island bat algorithm for optimization. Expert Syst. Appl. 2018, 107, 126–145. [Google Scholar] [CrossRef]
- Lin, W.-M.; Gow, H.-J.; Tsai, M.-T. Combining of Direct Search and Signal-to-Noise Ratio for economic dispatch optimization. Energy Convers. Manag. 2011, 52, 487–493. [Google Scholar] [CrossRef]
- Tsai, M.-T.; Gow, H.-J.; Lin, W.-M. A novel stochastic search method for the solution of economic dispatch problems with non-convex fuel cost functions. Int. J. Electr. Power Energy Syst. 2011, 33, 1070–1076. [Google Scholar] [CrossRef]
- Victoire, T.A.A.; Jeyakumar, A.E. Hybrid PSO–SQP for economic dispatch with valve-point effect. Electr. Power Syst. Res. 2004, 71, 51–59. [Google Scholar] [CrossRef]
- Park, J.-B.; Lee, K.-S.; Shin, J.-R.; Lee, K.Y. A Particle Swarm Optimization for Economic Dispatch with Nonsmooth Cost Functions. IEEE Trans. Power Syst. 2005, 20, 34–42. [Google Scholar] [CrossRef]
- Kumar, R.; Sharma, D.; Sadu, A. A hybrid multi-agent based particle swarm optimization algorithm for economic power dispatch. Int. J. Electr. Power Energy Syst. 2011, 33, 115–123. [Google Scholar] [CrossRef]
- Amjady, N.; Sharifzadeh, H. Solution of non-convex economic dispatch problem considering valve loading effect by a new Modified Differential Evolution algorithm. Int. J. Electr. Power Energy Syst. 2010, 32, 893–903. [Google Scholar] [CrossRef]
- Coelho, L.; Mariani, V.C. Combining of Chaotic Differential Evolution and Quadratic Programming for Economic Dispatch Optimization with Valve-Point Effect. IEEE Trans. Power Syst. 2006, 21, 989–996. [Google Scholar] [CrossRef]
- Liu, D.; Cai, Y. Taguchi Method for Solving the Economic Dispatch Problem with Nonsmooth Cost Functions. IEEE Trans. Power Syst. 2005, 20, 2006–2014. [Google Scholar] [CrossRef]
- Pothiya, S.; Ngamroo, I.; Kongprawechnon, W. Ant colony optimisation for economic dispatch problem with non-smooth cost functions. Int. J. Electr. Power Energy Syst. 2010, 32, 478–487. [Google Scholar] [CrossRef]
- Zou, D.; Li, S.; Li, Z.; Kong, X. A new global particle swarm optimization for the economic emission dispatch with or without transmission losses. Energy Convers. Manag. 2017, 139, 45–70. [Google Scholar] [CrossRef]
- Hassan, M.H.; Kamel, S.; Abualigah, L.; Eid, A. Development and application of slime mould algorithm for optimal economic emission dispatch. Expert Syst. Appl. 2021, 182, 115205. [Google Scholar] [CrossRef]
Publisher’s Note: MDPI stays neutral with regard to jurisdictional claims in published maps and institutional affiliations. |
© 2021 by the authors. Licensee MDPI, Basel, Switzerland. This article is an open access article distributed under the terms and conditions of the Creative Commons Attribution (CC BY) license (https://creativecommons.org/licenses/by/4.0/).

