Control Methods for Performance Improvement of an Integrated On-Board Battery Charger in Hybrid Electric Vehicles
Abstract
:1. Introduction
2. Configuration of Integrated OBC
2.1. Battery Charging Mode
2.2. Starter Generator Driving Mode
3. Control Methods in Battery Charging Mode
3.1. Control Method of Full-Bridge Converter
3.2. Control Method for the DC–DC Converter
4. Proposed Control Methods for Performance Improvement of Integrated OBC
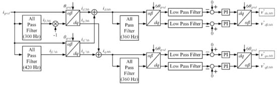
4.1. Reduction Method of the Third-Order Harmonic Component
4.2. Reduction Method of the Sixth-Order Harmonic Component
4.3. Feed-Forward Control Method
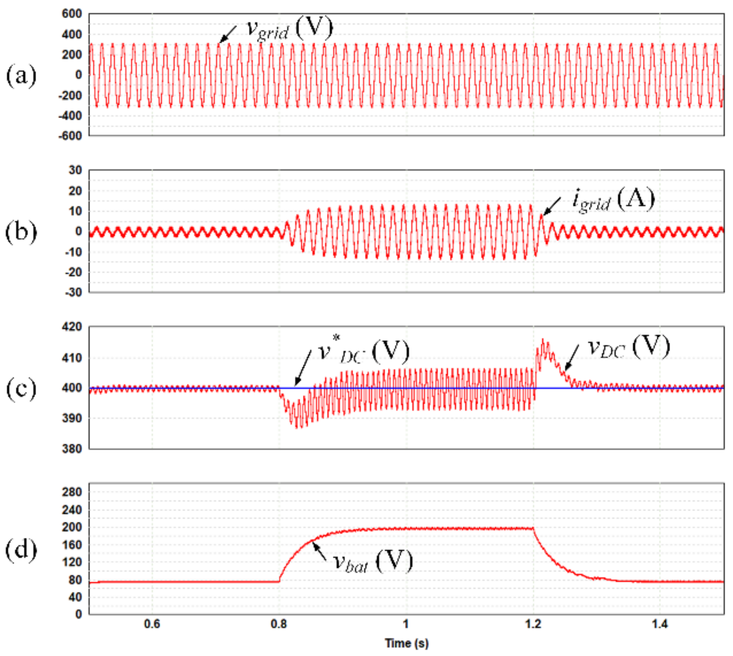
5. Simulation Results
6. Experimental Results
7. Conclusions
Author Contributions
Funding
Conflicts of Interest
References
- Moreno, J.; Ortuzar, M.E.; Dixon, J.W. Energy-management system for a hybrid electric vehicle, using ultracapacitors and neural networks. IEEE Trans. Ind. Electron. 2006, 53, 614–623. [Google Scholar] [CrossRef]
- Bak, Y.; Lee, E.; Lee, K.-B. Indirect matrix converter for hybrid electric vehicle application with three-phase and single-phase outputs. Energies 2015, 8, 3849–3866. [Google Scholar] [CrossRef]
- Sun, Q.; Wu, J.; Gan, C.; Si, J.; Guo, J.; Hu, Y. Cascaded multiport converter for SRM-based hybrid electrical vehicle applications. IEEE Trans. Power Electron. 2019, 34, 11940–11951. [Google Scholar] [CrossRef]
- Wang, B.; Wang, C.; Hu, Q.; Ma, G.; Zhou, J. Adaptive sliding mode control with enhanced optimal reaching law for boost converter based hybrid power sources in electric vehicles. J. Power Electron. 2019, 19, 549–559. [Google Scholar]
- Fathabadi, H. Plug-in hybrid electric vehicles: Replacing internal combustion engine with clean and renewable energy based auxiliary power sources. IEEE Trans. Power Electron. 2018, 33, 9611–9618. [Google Scholar] [CrossRef]
- Turker, H.; Bacha, S. Optimal minimization of plug-in electric vehicle charging cost with vehicle-to-home and vehicle-to-grid concepts. IEEE Trans. Veh. Technol. 2018, 67, 10281–10292. [Google Scholar] [CrossRef]
- Alam, M.J.E.; Muttaqi, K.M.; Sutanto, D. Effective utilization of available PEV battery capacity for mitigation of solar PV impact and grid support with integrated V2G functionality. IEEE Trans. Smart Grid 2016, 7, 1562–1571. [Google Scholar] [CrossRef] [Green Version]
- Hoang, D.T.; Wang, P.; Niyato, D.; Hossain, E. Charging and discharging of plug-in electric vehicles (PEVs) in vehicle-to-grid (V2G) systems: A cyber insurance-based model. IEEE Access 2017, 5, 732–754. [Google Scholar] [CrossRef]
- Gaur, P.; Soren, N.; Bhowmik, D. Load frequency control of hybrid power system incorporating vehicle-to-grid technology considering AC transmission links. J. Electr. Eng. Technol. 2020, 15, 381–391. [Google Scholar] [CrossRef]
- Olarte, J.; Ilarduya, J.M.; Zulueta, E.; Ferret, R.; Fernandez-Gamiz, U.; Lopez-Guede, J.M. A battery management system with EIS monitoring of life expectancy for lead–acid batteries. Electronics 2021, 10, 1228. [Google Scholar] [CrossRef]
- Lee, J.; Kim, J.-M.; Ryu, K.; Won, C.-Y. An energy storage system’s operational management and control method considering a battery system. Electronics 2020, 9, 356. [Google Scholar] [CrossRef] [Green Version]
- Lee, J.; Kim, J.-M.; Yi, J.; Won, C.-Y. Battery management system algorithm for energy storage systems considering battery efficiency. Electronics 2021, 10, 1859. [Google Scholar] [CrossRef]
- Aiello, O.; Crovetti, P. Characterization of the susceptibility to EMI of a BMS IC for electric vehicles by direct power and bulk current injection. Lett. Electromagn. Compat. Pract. Appl. 2021, 3, 101–107. [Google Scholar] [CrossRef]
- Aiello, O. Electromagnetic susceptibility of battery management systems’ ICs for electric vehicles: Experimental study. Electronics 2020, 9, 510. [Google Scholar] [CrossRef] [Green Version]
- Aiello, O.; Crovetti, P.S.; Fiori, F. Susceptibility to EMI of a battery management system IC for electric vehicles. In Proceedings of the IEEE International Symposium on Electromagnetic Compatibility, Dresden, Germany, 16–22 August 2015; pp. 749–754. [Google Scholar]
- Abraham, D.S.; Verma, R.; Kanagaraj, L.; Raman, S.R.G.T.; Rajamanickam, N.; Chokkalingam, B.; Sekar, K.M.; Mihet-Popa, L. Electric vehicles charging stations’ architectures, criteria, power converters, and control strategies in microgrids. Electronics 2021, 10, 1895. [Google Scholar] [CrossRef]
- Cittanti, D.; Gregorio, M.; Bossotto, E.; Mandrile, F.; Bojoi, R. Full digital control and multi-loop tuning of a three-level T-type rectifier for electric vehicle ultra-fast battery chargers. Electronics 2021, 10, 1453. [Google Scholar] [CrossRef]
- Papamanolis, P.; Bortis, D.; Krismer, F.; Menzi, D.; Kolar, J.W. New EV battery charger PFC rectifier front-end allowing full power delivery in 3-phase and 1-phase operation. Electronics 2021, 10, 2069. [Google Scholar] [CrossRef]
- Han, J.; Gu, X.; Yang, Y.; Tang, T. Dynamic improvement with a feedforward control strategy of bidirectional DC-DC converter for battery charging and discharging. Electronics 2020, 9, 1738. [Google Scholar] [CrossRef]
- Choi, B.-Y.; Lee, S.-R.; Kang, J.-W.; Jeong, W.-S.; Won, C.-Y. A novel dual integrated LLC resonant converter using various switching patterns for a wide output voltage range battery charger. Electronics 2019, 8, 759. [Google Scholar] [CrossRef] [Green Version]
- Eom, T.-H.; Kang, J.-W.; Kim, J.; Shin, M.-H.; Lee, J.-H.; Won, C.-Y. Improved voltage drop compensation method for hybrid fuel cell battery system. Electronics 2018, 7, 331. [Google Scholar] [CrossRef] [Green Version]
- Jeong, H.-G.; Lee, K.-B. Controller design for a quick charger system suitable for electric vehicles. J. Electr. Eng. Technol. 2013, 8, 1122–1130. [Google Scholar] [CrossRef] [Green Version]
- Jeong, H.-G.; Lee, K.-B. A controller design for a stability improvement of an on-board battery charger. J. Electr. Eng. Technol. 2013, 8, 951–958. [Google Scholar] [CrossRef] [Green Version]
- Byun, J.; Kim, M.; Joo, D.; Lee, W.-Y.; Choe, G.-Y.; Lee, B.K. Frequency and phase-shift control of inductive power transfer for EV charger with LCCL-S resonant network considering misalignment. J. Electr. Eng. Technol. 2019, 14, 2409–2419. [Google Scholar] [CrossRef]
- Nguyen, H.V.; Lee, S.; Lee, D.-C. Reduction of DC-link capacitance in single-phase non-isolated onboard battery chargers. J. Power Electron. 2019, 19, 394–402. [Google Scholar]
- Zhu, L.; Jiang, D.; Qu, R.; Tolbert, L.M.; Li, Q. Design of power hardware-in-the-loop simulations for integrated starter–generator systems. IEEE Trans. Transport. Electrific. 2019, 5, 80–92. [Google Scholar] [CrossRef]
- Saponara, S.; Tisserand, P.; Chassard, P.; Ton, D.-M. Design and measurement of integrated converters for belt-driven starter-generator in 48 V micro/mild hybrid vehicles. IEEE Trans. Ind. Appl. 2017, 53, 3936–3949. [Google Scholar] [CrossRef]
- Yeoh, S.S.; Yang, T.; Tarisciotti, L.; Hill, C.I.; Bozhko, S.; Zanchetta, P. Permanent-magnet machine-based starter–generator system with modulated model predictive control. IEEE Trans. Transport. Electrific. 2017, 3, 878–890. [Google Scholar] [CrossRef] [Green Version]
- Na, T.; Yuan, X.; Tang, J.; Zhang, Q. A review of on-board integrated electric vehicles charger and a new single-phase integrated charger. CPSS Trans. Power Electron. Appl. 2019, 4, 288–298. [Google Scholar] [CrossRef]
- Shi, C.; Tang, Y.; Khaligh, A. A single-phase integrated onboard battery charger using propulsion system for plug-in electric vehicles. IEEE Trans. Veh. Technol. 2017, 66, 10899–10910. [Google Scholar] [CrossRef]
- Shi, C.; Tang, Y.; Khaligh, A. A three-phase integrated onboard charger for plug-in electric vehicles. IEEE Trans. Power Electron. 2018, 33, 4716–4725. [Google Scholar] [CrossRef]
- Subotic, I.; Bodo, N.; Levi, E. Single-phase on-board integrated battery chargers for EVs based on multiphase machines. IEEE Trans. Power Electron. 2016, 31, 6511–6523. [Google Scholar] [CrossRef] [Green Version]
- Kang, H.-S.; Kim, S.-M.; Bak, Y.; Lee, K.-B. A controller design for a stability improvement of an integrated charging system in hybrid electric vehicle. In Proceedings of the IFAC Workshop on Control of Smart Grid and Renewable Energy Systems, Jeju, Korea, 10–12 June 2019; pp. 141–146. [Google Scholar]
- Chen, H.-C.; Lu, C.-Y.; Huang, L.-M. Decoupled current-balancing control with single-sensor sampling-current strategy for two-phase interleaved boost-type converters. IEEE Trans. Ind. Electron. 2016, 63, 1507–1518. [Google Scholar] [CrossRef]
- Luo, Y.-K.; Su, Y.-P.; Huang, Y.-P.; Lee, Y.-H.; Chen, K.-H.; Hsu, W.-C. Time-multiplexing current balance interleaved current-mode boost DC-DC converter for alleviating the effects of right-half-plane zero. IEEE Trans. Power Electron. 2012, 27, 4098–4112. [Google Scholar] [CrossRef]
- Lai, Y.-S.; Su, Z.-J.; Chang, Y.-T. Novel phase-shift control technique for full-bridge converter to reduce thermal imbalance under light-load condition. IEEE Trans. Ind. Appl. 2015, 51, 1651–1659. [Google Scholar] [CrossRef]
- Kaura, V.; Blasko, V. Operation of a phase locked loop system under distorted utility conditions. IEEE Trans. Ind. Appl. 1997, 33, 58–63. [Google Scholar] [CrossRef]
- Kim, S.-K.; Lee, K.-B. Robust one-step ahead state predictor using adaptive proportional–integral observer. IET Power Electron. 2015, 8, 2411–2417. [Google Scholar] [CrossRef]
- Georgakas, K.G.; Vovos, P.N.; Vovos, N.A. Harmonic reduction method for a single-phase DC–AC converter without an output filter. IEEE Trans. Power Electron. 2014, 29, 4624–4632. [Google Scholar] [CrossRef]
- Husev, O.; Roncero-Clemente, C.; Makovenko, E.; Pimentel, S.P.; Vinnikov, D.; Martins, J. Optimization and implementation of the proportional-resonant controller for grid-connected inverter with significant computation delay. IEEE Trans. Ind. Electron. 2020, 67, 1201–1211. [Google Scholar] [CrossRef]
- Wang, H.; Zhang, W.; Hu, J.; He, Y. Design and optimization of proportional resonant controller for rotor current of a wind turbine driven DFIG. In Proceedings of the International Conference on Electrical Machines and Systems, Wuhan, China, 17–20 October 2008; pp. 2502–2506. [Google Scholar]
- Zhang, K.; Xie, Y.; Li, S.; He, Y. Vector control of PMSM based on proportional resonance control. In Proceedings of the International Conference on Systems and Informatics, Shanghai, China, 2–4 November 2019; pp. 51–56. [Google Scholar]


















| Operation Modes | Operation of Power Relays | |
|---|---|---|
| R1–3 | R4–7 | |
| battery charging | off | on |
| starter generator driving | on | off |
| Elements | Volume (L) | |
|---|---|---|
| Separate OBC and SGS | Integrated OBC | |
| IGBT modules | 0.59 | 0.29 |
| gate drivers | 0.26 | 0.13 |
| grid filter inductors | 0.19 | 0.19 |
| DC-link capacitors | 0.84 | 0.84 |
| battery side capacitors | 0.22 | 0.22 |
| current sensors | 0.22 | 0.11 |
| heatsink | 5.10 | 2.60 |
| power relays | - | 0.27 |
| total | 7.42 | 4.65 |
| Parameters | Value |
|---|---|
| single-phase grid source | 220 Vrms/60 Hz |
| filter inductance | 4 mH |
| grid resistive impedance | 0.19 Ω |
| DC-link capacitance | 2000 μF |
| single-winding inductance | 0.605 mH |
| battery side capacitance | 610 μF |
| load resistance | 20 Ω |
| control period | 100 μs |
Publisher’s Note: MDPI stays neutral with regard to jurisdictional claims in published maps and institutional affiliations. |
© 2021 by the authors. Licensee MDPI, Basel, Switzerland. This article is an open access article distributed under the terms and conditions of the Creative Commons Attribution (CC BY) license (https://creativecommons.org/licenses/by/4.0/).
Share and Cite
Bak, Y.; Kang, H.-S. Control Methods for Performance Improvement of an Integrated On-Board Battery Charger in Hybrid Electric Vehicles. Electronics 2021, 10, 2506. https://doi.org/10.3390/electronics10202506
Bak Y, Kang H-S. Control Methods for Performance Improvement of an Integrated On-Board Battery Charger in Hybrid Electric Vehicles. Electronics. 2021; 10(20):2506. https://doi.org/10.3390/electronics10202506
Chicago/Turabian StyleBak, Yeongsu, and Ho-Sung Kang. 2021. "Control Methods for Performance Improvement of an Integrated On-Board Battery Charger in Hybrid Electric Vehicles" Electronics 10, no. 20: 2506. https://doi.org/10.3390/electronics10202506
APA StyleBak, Y., & Kang, H.-S. (2021). Control Methods for Performance Improvement of an Integrated On-Board Battery Charger in Hybrid Electric Vehicles. Electronics, 10(20), 2506. https://doi.org/10.3390/electronics10202506

