Next Article in Journal
Adequacy Evaluation of an Islanded Microgrid
Previous Article in Journal
A Survey on Energy Harvesting Wireless Networks: Channel Capacity, Scheduling, and Transmission Power Optimization
 
 
Font Type:
Arial Georgia Verdana
Font Size:
Aa Aa Aa
Line Spacing:
Column Width:
Background:
Article

Design and Performance Analysis of a Multi-Carrier M-Ary DCSK System with Multilevel Code-Shifted Modulation Based on Fractional-Order Chaos

1
College of Automation, Nanjing University of Posts and Telecommunications, Nanjing 210023, China
2
Department of Electronics and Information Engineering, Hunan Institute of Technology, Hengyang 421002, China
3
College of Electronic and Optical Engineering, Nanjing University of Posts and Telecommunications, Nanjing 210023, China
*
Author to whom correspondence should be addressed.
Electronics 2021, 10(19), 2343; https://doi.org/10.3390/electronics10192343
Submission received: 29 July 2021 / Revised: 17 September 2021 / Accepted: 22 September 2021 / Published: 24 September 2021
(This article belongs to the Section Circuit and Signal Processing)

Abstract

:
A new fractional-order multi-carrier M-ary differential chaos shift keying system with multilevel code-shifted modulation (MC-MDCSK-MCS) is presented in this paper. The proposed system adopts multiple subcarriers, on which multiple MCS-MDCSK-modulated signals are transmitted simultaneously. Moreover, M-ary modulation has been combined with the proposed system to achieve a higher bit rate. On the receiver side, the recovered reference signal is first averaged and then used for MCS-MDCSK demodulation, which helps improve performance. We analyze the bit error rate (BER) of the proposed system and verify our theoretical derivations with the simulation results over additive white Gaussian noise (AWGN) and Rayleigh fading channels. Finally, related comparisons are completed, which show that the MC-MDCSK-MCS system is excellent and promising.

1. Introduction

In recent years, chaos-based communications, especially chaos digital modulation schemes, have received extensive attention, as chaotic signals possess wide-band, noise-like, non-periodic, and good correlation characteristics [1,2,3]. Differential chaos shift keying (DCSK) systems work better over time-varying and multipath fading channels [4]. However, in a DCSK system, the bandwidth efficiency, energy efficiency, and data rate are inadequate because the reference signal is transmitted by fifty percent of the bit duration. Hence, several improved versions of the DCSK system have been proposed [5,6,7]: quadrature chaos shift keying (QCSK) in [8], high-efficiency differential chaos shift keying (HE-DCSK) in [9], and DCSK with M-ary modulation in [10]. These systems were proposed for improving the data rate of the DCSK system but required more complicated receivers.
DCSK has another drawback of long delay lines, which has limited its practical applications. Therefore, a differential chaos shift keying with code-shifted modulation scheme (CS-DCSK) was proposed to avert the application of long delay lines [11]. The information-bearing and reference signals in the CS-DCSK system are sent in the same time duration but isolated by Walsh codes, and thus, the spectral efficiency can be enhanced. To reinforce the performance of the data rate in the CS-DCSK system, a generalized code-shifted differential chaos shift keying system (GCS-DCSK) was proposed in [12]. Unfortunately, only half, at most, of a Walsh code can be used for transmitting chaotic information-bearing signals. To make full use of Walsh codes as well as to improve the BER performance, the differential chaos shift keying system with multilevel code-shifted modulation (MCS-DCSK) was proposed in [13]. Later, an M-ary differential chaos shift keying system with multilevel code-shifted modulation (MCS-MDCSK) was studied [14] for increased bandwidth efficiency.
Alternatively, for increasing the data rate and the energy efficiency, the multi-carrier technique offers another important solution. A multi-carrier differential chaos shift keying (MC-DCSK) system was proposed in [15], which is more energy-efficient and has a higher data rate. Multi-carrier chaos shift keying (MC-CSK) was presented in [16]. When data symbols of an M-ary are mapped into normalized orthogonal chaotic signals, the data-bearing signals are generated in the MC-CSK system [16]. In [17], a DCSK with an M-ary modulation system was presented, in which multiple carriers carried out differential modulation and demodulation in the frequency domain. For alleviating channel noise as well as improving BER performance, a subcarrier-allocated MC-DCSK system was presented in [18]. To achieve higher performance, a multi-carrier M-ary DCSK system with code index modulation was proposed in [19], where the index modulation based on Walsh codes was used.
In recent years, fractional calculus has been a useful mathematical tool. The utilization of fractional calculus in scientific and technological disciplines has attracted significant interest, in areas such as signal processing, image processing, biological systems, and automatic control [20,21,22]. Moreover, applications of fractional-order chaotic systems in electrical engineering and secure communication have become more and more attractive [23,24,25].
This paper, inspired by MC-DCSK and MCS-MDCSK modulations, proposes a new MC-MDCSK-MCS system, where different orthogonal Walsh code sequences carry the in-phase and quadrature components of the M-ary constellation symbols. In this system, the information bits are split into several parts, and each part is modulated by the MCS-MDCSK and transmitted over different subcarriers. In the receiver, an average filter is required before correlation detection. The reference signal of each part is averaged by the filter, which helps reduce the interference of noise. The bit error performance is noticeably improved by the average filter. Compared with the conventional MCS-MDCSK, the proposed system can improve the energy efficiency, the data rate, and the confidentiality.
There are six sections in this paper. The system model of MC-MDCSK-MCS is given in Section 2. The bit error performance of the system is analyzed in Section 3. The simulation results are shown in Section 4. The discussions are presented in Section 5. Finally, some conclusions are shown in Section 6.

2. System Model of MC-MDCSK-MCS

2.1. Generator of Fractional-Order Chaotic Signals

The application of the fractional-order chaos system leads to high privacy in secure communication systems [26,27,28]. The fractional-order Chen chaos system is used for generating chaotic signals for the proposed MC-MDCSK-MCS system. The definition of the fractional-order Chen chaos system is given as follows [29]:
D α X = { 35 ( x 2 ( t ) x 1 ( t ) ) 7 x 1 ( t ) x 1 ( t ) · x 3 ( t ) + 28 x 2 ( t ) x 1 ( t ) · x 2 ( t ) 3 x 3 ( t )
where X = [ x 1 ( t )     x 2 ( t )     x 3 ( t ) ] T is the state vector. α is the number of fractional orders with 0.83 α < 1 . The chaotic behavior of fractional-order Chen chaos system is presented in Figure 1 with α = 0.95 . The initial conditions are set as x 10 = 1 ,   x 20 = 2 ,   x 30 = 3 .

2.2. Transmitter

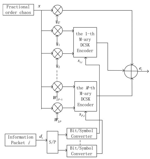
A feasible block diagram of the MC-MDCSK-MCS transmitter is given in Figure 2. In Figure 3, the structure of MCS-MDCSK modulation is presented. Bits with the information are split into n parallel parts, d 1 , d 2 , , d n , and the length of each information packet is N. Each parallel information packet d i ( i [ 1 , n ] ) is transmitted via MCS-MDCSK modulation. The modulated MCS-MDCSK signal e i ( i [ 1 , n ] ) for the ith packet is presented as follows [14]:
e i = W r x + m = 1 P ( a m , i W 2 m 1 x + b m , i W 2 m x )
where x [ x 1 , , x j , , x N c ] is an N c length fractional-order Chen chaotic signal, which comes from one of the state vectors X . W r ,   W 2 m 1 ,   W 2 m are R length Walsh code sequences generated by a Hadamard matrix [30]. The length of Walsh code sequence must satisfy R > 2 P + 1 and R = 2 u (u is a natural number). In one symbol duration, a m , i is the real part of the mth M-ary constellation symbol s m , i , b m , i is the imaginary part, and s m , i = a m , i + i b m , i . is a Kronecker product operator. P shows how many M-ary constellation symbols are sent in each symbol duration.
e i , j ( j [ 1 , N c ] ) is the jth element of e i ( i [ 1 , n ] ) , which undergoes a square-root-raised cosine filtering with the factor of roll-off q ( 0 < q 1 ) to shape pulses. The outputs of pulse shaping filter are multiplied by in-phase sinusoidal carriers, in which the center frequencies are f 1 , f 2 , , f n . Finally, in Figure 2, the summation of these modulated signals is sent by the MC-MDCSK-MCS transmitter. Thus, the transmitted signal is expressed as
p ( t ) = i = 1 n j = 1 N c e i , j · h T ( t j T c ) · cos ( 2 π f i t )
where the chip time is represented by Tc. h T ( t ) is the impulse response of the pulse shaping filter. f i = f 0 + i F s is the center frequency of the ith subcarrier. f 0 is the basic carrier frequency satisfying f 0 1 / T c . F s is the interval of frequencies among adjacent subcarriers [16].

2.3. Receiver

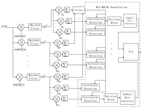
The MC-MDCSK-MCS receiver’s block diagram is shown in Figure 4. First, p r ( t ) , the received signal, is multiplied with the synchronized in-phase carriers. Then, the resultant signals are processed by matched filters and a sampler to obtain the recovered baseband signals. Received reference copies recovered from n subcarriers are collected and then averaged by the average block for noise smoothing. The obtained averaged reference signal are utilized for MCS-MDCSK demodulation. Correlation detection is carried between the averaged reference sequence and each estimated data sequence. Lastly, the resultant sequences experience the P/S block—a mode converter of a parallel mode to a serial mode—to recover the initial information packet.

3. Performance Analysis

When it comes to the performance of BER in the system, two channels are studied: one is the AWGN channel; the other the multipath Rayleigh fading channel. As all n parts of parallel information packets are similar but independent, we only need to analyze the error probability of one of them.
Here, it is assumed that the largest multipath time delay is less large than the symbol duration, i.e., 0 < τ L < < β . Therefore, the ISI—the inter-symbol interference—is insignificant [17,18]. Moreover, during one symbol duration, it is regarded that the channel slowly fades and that the channel parameters are stable. The signal received can be represented as follows:
p r ( t ) = l = 1 L α l p ( t τ l T c ) + n ( t )
where τ l is the chip delay of the lth path. α l is the propagation gain of the lth path. n ( t ) is the AWGN with variance of N 0 2 and zero mean.
We assume that both the chip and the sinusoidal carrier synchronization are perfectly achieved, and the output of the average block is the averaged reference signal in Figure 4, which can be obtained as
y a v e ( j ) = 1 n i = 1 n ( l = 1 L α i , l R x j τ l + k = 0 R 1 ( ( W r , k + 1 I ) · n i , R N c + j ) )
where I is a one-sequence with N c -length. x j τ l presents the chaos signal after multipath fading channel, α i , l is the transmission gain of the lth path of the ith information packet, and n i , R N c + j is the AWGN of the ith information packet.
Similarly, the information that bears signals of the mth in-phase branch and quadrature branches obtained from the ith subcarrier can be given as
y 2 m 1 , i ( j ) = l = 1 L α i , l R a m , i x j τ l + k = 0 R 1 ( ( W 2 m 1 , k + 1 I ) · n i , R N c + j )
y 2 m , i ( j ) = l = 1 L α i , l R b m , i x j τ l + k = 0 R 1 ( ( W 2 m , k + 1 I ) · n i , R N c + j )
where 1 j N c .
In Figure 4, based on the diagram block of the receiver, the judgement variable can be obtained as
{ z m , i a = j = 1 N c y a v e ( j ) · y 2 m 1 , i ( j ) z m , i b = j = 1 N c y a v e ( j ) · y 2 m , i ( j )
Equations (5)–(7) are substituted into (8), and the decision variable is obtained by
z a m , i = j = 1 N c ( ( 1 n i = 1 n ( l = 1 L α i , l R x j τ l + k = 0 R 1 ( ( W r , k + 1 I ) · n i , R N c + j ) ) ) · ( l = 1 L α i , l R a m , i x j τ l + k = 0 R 1 ( ( W 2 m 1 , k + 1 I ) · n i , R N c + j ) ) )         = 1 n i = 1 n j = 1 N c l = 1 L ( α i , l ) 2 R 2 a m , i ( x j τ l ) 2 A               + 1 n i = 1 n j = 1 N c l = 1 L α i , l R x j τ l ( k = 0 R 1 ( ( W 2 m 1 , k + 1 I ) · n i , R N c + j ) ) B               + j = 1 N c l = 1 L α i , l R a m , i x j τ l ( k = 0 R 1 ( ( W r , k + 1 I ) · n i , R N c + j ) ) C               + j = 1 N c ( ( k = 0 R 1 ( ( W r , k + 1 I ) · n i , R N c + j ) ) · ( k = 0 R 1 ( ( W 2 m 1 , k + 1 I ) · n i , R N c + j ) ) ) D
In Equation (9), the decision variable is composed of four terms, i.e., A, B, C, and D, which are independent of each other. Based on References [13,14], the mean of z a m , i can be calculated as
E [ z m , i a ] = 1 n i = 1 n l = 1 L α i , l 2 R 2 N c a m , i E [ x j τ l 2 ]
The variance of four terms can be obtained as
V a r [ A ] = 0
V a r [ B ] = 1 n i = 1 n l = 1 L α i , l 2 R 3 N c E [ x j τ l 2 ] N 0 2
V a r [ C ] = a m , i 2 l = 1 L α i , l 2 R 3 N c E [ x j τ l 2 ] N 0 2
V a r [ D ] = R 2 N c N 0 2 4
Based on Equations (11)–(14), the variance of z m , i a can be obtained as
V a r [ z m , i a ] = 1 n i = 1 n ( 1 + a m , i 2 ) l = 1 L α i , l 2 R 3 N c E [ x j τ l 2 ] N 0 2     + R 2 N c N 0 2 4
Similarly, the mean and variance of z m , i b can be obtained as
E [ z m , i b ] = 1 n i = 1 n l = 1 L α i , l 2 R 2 N c b m , i E [ x j τ l 2 ]
V a r [ z m , i b ] = 1 n i = 1 n ( 1 + b m , i 2 ) l = 1 L α i , l 2 R 3 N c E [ x j τ l 2 ] N 0 2 + R 2 N c N 0 2 4
In general, the decision variables, z m , i a and z m , i b , are approximately independent Gaussian variables in which the means are E [ z m , i a ] = a m , i E m and E [ z m , i b ] = b m , i E m [14], respectively, where E m = 1 n i = 1 n l = 1 L ( α i , l ) 2 R 2 N c E [ x j τ l 2 ] . Moreover, ( 1 + a m , i 2 ) 1   ( 1 + b m , i 2 ) 1 when M > 4 . Thus, the variances z m , i a and z m , i b are approximately expressed as follows:
V a r [ z m , i a ] 1 n i = 1 n l = 1 L α i , l 2 R 3 N c E [ x j τ l 2 ] N 0 2     + R 2 N c N 0 2 4
V a r [ z m , i b ] 1 n i = 1 n l = 1 L α i , l 2 R 3 N c E [ x j τ l 2 ] N 0 2 + R 2 N c N 0 2 4
The bit error probability of the MC-MDCSK-MCS scheme can be obtained as
B E R = 1 2 erfc [ ( n ( P + 1 ) γ s + n 2 ( P + 1 ) 2 N c 2 γ s 2 ) 1 2 ]
where E s = ( 1 + P ) R N c E [ x j τ l 2 ] presents the symbol energy, γ s = E b N 0 · n · 2 P · ( log 2 M ) i = 1 n l = 1 L α i , l 2 and E b = E s n · 2 P · log 2 M .
Here, the L identically and independent distributed Rayleigh-fading channels are considered; therefore, the probability density function of instantaneous symbol-SNR can be given as [10,13,14]:
f ( γ s ) = γ s L 1 ( L 1 ) ! γ ¯ c L exp ( γ s γ ¯ c )
where γ ¯ c , the average symbol-SNR each channel, is defined by
γ ¯ c = E s N 0 E [ α j 2 ] = E s N 0 E [ α l 2 ] , j l
and
γ s = ( i = 1 n l = 1 L α i , l 2 ) E s N 0
with l = 1 L E [ α l 2 ] = 1 .
Lastly, the BER representation formula of the MC-MDCSK-MCS system over multi-path Rayleigh fading channels can be expressed by
P f a d i n g = 0 B E R · f ( γ s ) d γ s
When L = 1 and α l = 1 , which means there is only one path, it is just the AWGN case.

4. Simulation Results

To assess the MC-MDCSK-MCS system’s performance, some simulation results are demonstrated. It is assumed that the chaos sequences are from one dimension of the fractional-order Chen chaos system, which possesses mean and variance as E{xj} = 0.17 and Var{xj} = 3.6 × 10−6, respectively.
In Figure 5, the comparison between the simulation results and the theoretical results over the AWGN channel and the Rayleigh fading channel is shown. The main characteristics include M = 16, N c = 10 , n = 20 , and α = 0.9 . Here, we consider a three-path Rayleigh fading channel with E [ α 1 2 ] = E [ α 2 2 ] = E [ α 3 2 ] = 1 3 and the time delay τ 1 = 0 , τ 2 = 2 T c , τ 3 = 4 T c . Obviously, the simulation results agree with the theoretical results of the two channels.
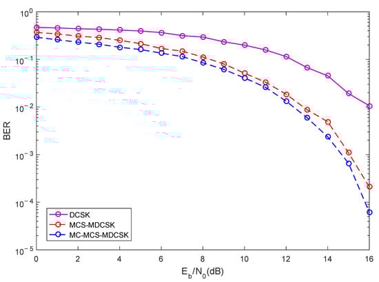
In Figure 6, the performances among MCS-MDCSK in [14], DCSK in [31], and the proposed systems are compared over the AWGN channel. All simulation results are obtained based on MATLAB R2016a. For all systems, the length of the chaotic signal is set as N c = 10 . In the proposed system and the MCS-MDCSK system, the length of the Walsh code sequence is 512, and the number of bits per symbol is set to 4, that is, M = 16. In the proposed MC-MDCSK-MCS system, the number of subcarriers is n = 20 , and the fractional order of the Chen chaos system is α = 0.9 . In Figure 6, it can be observed that MC-MDCSK-MCS shows better performance.
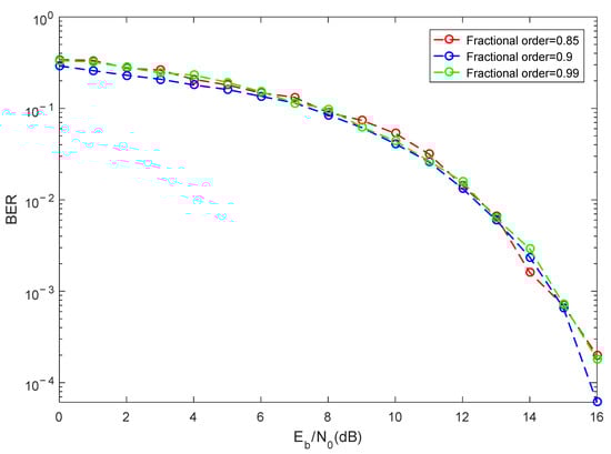
In Figure 7, to show the comparison of the MC-MDCSK-MCS system given three fractional orders over the AWGN channel, BER performances are plotted with M = 16, N c = 10 , and n = 20 . Clearly, it can be noticed that the impact of the fractional order is negligible. Fortunately, the confidentiality of MC-MDCSK-MCS system improves with the fractional order as the range of fractional orders is extensive.
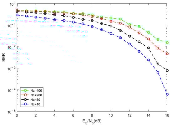
In Figure 8, to show the comparison of the MC-MDCSK-MCS system given four N c over the AWGN channel, BER performances are plotted with M = 16, α = 0.9 , and n = 20 . Clearly, it can be observed that MC-MDCSK-MCS shows a little better performance when the length of fractional-order chaotic signal N c is smaller.

5. Discussions

We consider the energy efficiency as an evaluating indicator for the proposed MC-MDCSK-MCS system. In References [32,33], the definition of the data-energy-to-bit-energy ratio (DBR) is defined as follows:
D B R = E d a t a E b
where E d a t a presents the energy of a data-bearing signal, and E b denotes the required total energy to carry each bit. As the diagram of n parallel parts is similar, we only consider one of them.
The symbol for energy of the transmitted signal in the MC-MDCSK-MCS can be obtained as follows:
E s = E d a t a + E r e f
where
E s = P log 2 ( M ) E b
E d a t a = P E r e f
M is the number of M-ary DCSK. P shows the number of M-ary constellation. In the proposed system, one reference energy E r e f is shared with P transmitted bits.
Subsequently, by using (26)–(28), the DBR in (25) can be given as follows:
D B R = E d a t a E b = P 2 P + 1 log 2 ( M )
Comparisons of DBRs between the proposed MC-MDCSK-MCS system and other DCSK-based chaotic communication systems are given in Table 1. Clearly, the proposed MC-MDCSK-MCS system is superior to other systems in terms of energy efficiency. As P groups of transmitted bits share one reference, the rate of the reference energy in the total emission energy is reduced.
The energy efficiency of the proposed MC-MDCSK-MCS system is very high; however, its lack of security is a shortcoming similar to those in Reference [34]. The reason for the lack of security is the sectional similarity that exists in the information signal and the reference signal. Many methods in the existing literature could solve this security problem. Reference [35] introduced a permutation transformation in time for improving the security of the DCSK system. An orthogonal scrambling matrix is designed for improving the security of the SR-DCSK system in Reference [36]. Reference [34] proposed an interleaving and spreading in frequency and time to increase the security of the MC-DCSK system. In subsequent studies, one of the methods above will be used to make the proposed MC-MDCSK-MCS system more secure.

6. Conclusions

In this paper, a new MC-MDCSK-MCS system is proposed, analyzed, and evaluated. The proposed system utilizes multi-carrier transmission and MCS-MDCSK modulation to realize better energy efficiency and a higher data rate. Compared with MCS-MDCSK and DCSK systems, the new MC-MDCSK-MCS performs slightly better. Moreover, the BER performance almost does not change while the fraction orders change; thus, the proposed system has more confidentiality. Overall, the MC-MDCSK-MCS system is promising and demonstrates great potential for the future of high-data-rate communication systems.

Author Contributions

Conceptualization, G.-P.J.; data curation, B.Y. and M.-D.D.; formal analysis, H.Y.; investigation, Y.-Q.J.; methodology, G.-P.J. and B.Y.; writing—original draft, Y.-Q.J., G.-P.J. and H.Y. All authors have read and agreed to the published version of the manuscript.

Funding

This work is supported by grants from the National Natural Science Foundation of China (project No. 61873326 and 61971240), the Natural Science Foundation of Hunan Province of China (grant No. 2019JJ60024 and 2021JJ50081), the scientific research fund of Hunan provincial education department (grant No. 19C0525), Hunan Provincial Department of Education Innovation Platform Open Fund Project (grant No. 20K041), and Hunan Province Education Reform Project (grant No. 2018-436).

Conflicts of Interest

The authors declare no conflict of interest.

References

  1. Karimov, T.; Rybin, V.; Kolev, G.; Rodionova, E.; Butusov, D. Chaotic Communication System with Symmetry-Based Modulation. Appl. Sci. 2021, 11, 3698. [Google Scholar] [CrossRef]
  2. Kaddoum, G.; Soujeri, E.; Nijsure, Y. Design of a Short Reference Noncoherent Chaos-Based Communication Systems. IEEE Trans. Commun. 2016, 64, 680–689. [Google Scholar] [CrossRef] [Green Version]
  3. Mushenko, A.; Dzuba, J.; Nekrasov, A.; Fidge, C. A Data Secured Communication System Design Procedure with a Chaotic Carrier and Synergetic Observer. Electronics 2020, 9, 497. [Google Scholar] [CrossRef] [Green Version]
  4. Kolumbán, G.; Vizvári, B.; Schwarz, W.; Abel, A. Differential chaos shift keying: A robust coding for chaotic communication. In Proceedings of the Nonlinear Dynamics of Electronic Systems, Seville, Spain, 27–28 June 1996; pp. 87–92. [Google Scholar]
  5. Kaddoum, G.; Soujeri, E. NR-DCSK: A Noise Reduction Differential Chaos Shift Keying System. IEEE Trans. Circuits Syst. II 2016, 63, 648–652. [Google Scholar] [CrossRef] [Green Version]
  6. Kaddoum, G.; Tran, H.; Kong, L. Design of Simultaneous Wireless Information and Power Transfer Scheme for Short Reference DCSK Communication Systems. IEEE Trans. Commun. 2016, 65, 431–443. [Google Scholar] [CrossRef]
  7. Tan, Y.; Xu, W.; Wang, L. A Multilevel Code Shifted Differential Chaos Shift Keying Scheme With Code Index Modulation. IEEE Trans. Circuits Syst. II 2017, 65, 1743–1747. [Google Scholar] [CrossRef]
  8. Galias, Z.; Maggio, G. Quadrature chaos-shift keying: Theory and performance analysis. IEEE Trans. Circuits Syst. I Fundam. Theory Appl. 2002, 48, 1510–1519. [Google Scholar] [CrossRef]
  9. Yang, H. High-Efficiency Differential-Chaos-Shift-Keying Scheme for Chaos-Based Noncoherent Communication. IEEE Trans. Circuits Syst. II 2012, 59, 312–316. [Google Scholar] [CrossRef]
  10. Wang, L.; Cai, G.; Chen, G. Design and Performance Analysis of a New Multiresolution M-Ary Differential Chaos Shift Keying Communication System. IEEE Trans. Wirel. Commun. 2015, 14, 5197–5208. [Google Scholar] [CrossRef]
  11. Xu, W.; Wang, L.; Kolumbán, G. A New Data Rate Adaption Communications Scheme for Code-shifted Differential Chaos Shift Keying Modulation. Int. J. Bifurc. Chaos 2012, 22, 1250201. [Google Scholar] [CrossRef]
  12. Xu, W.; Wang, L.; Chi, C. A Simplified GCS-DCSK Modulation and Its Performance Optimization. Int. J. Bifurc. Chaos 2016, 26, 537–549. [Google Scholar] [CrossRef]
  13. Huang, T.; Wang, L.; Xu, W. Multilevel code-shifted differential-chaos shift-keying system. IET Commun. 2016, 10, 1189–1195. [Google Scholar] [CrossRef] [Green Version]
  14. Cai, X.; Xu, W.; Zhang, R. A Multilevel Code Shifted Differential Chaos Shift Keying System with M-ary Modulation. IEEE Trans. Circuits Syst. II 2018, 66, 1451–1455. [Google Scholar] [CrossRef]
  15. Huang, T.; Wang, L.; Xu, W. A Multi-Carrier M-ary Differential Chaos Shift Keying System with Low PAPR. IEEE Access 2017, 5, 18793–18803. [Google Scholar] [CrossRef]
  16. Kaddoum, G.; Richardson, F.; Gagnon, F. Design and Analysis of a Multi-Carrier Differential Chaos Shift Keying Communication System. IEEE Trans. Commun. 2013, 61, 3281–3291. [Google Scholar] [CrossRef] [Green Version]
  17. Yang, H.; Tang, W.; Chen, G.; Jiang, G.P. Multi-Carrier Chaos Shift Keying: System Design and Performance Analysis. IEEE Trans. Circuits Syst. I 2017, 64, 2182–2194. [Google Scholar] [CrossRef]
  18. Yang, H.; Jiang, G.P.; Tang, W. Multi-Carrier Differential Chaos Shift Keying System with Subcarriers Allocation for Noise Reduction. IEEE Trans. Circuits Syst. II 2017, 65, 1733–1737. [Google Scholar] [CrossRef]
  19. Cai, G.; Fang, Y.; Wen, J. Multi-Carrier M-ary DCSK System With Code Index Modulation: An Efficient Solution for Chaotic Communications. IEEE J. Sel. Top. Signal Process. 2019, 13, 1375–1386. [Google Scholar] [CrossRef]
  20. Nandal, A.; Gamboa-Rosales, H.; Dhaka, A. Image Edge Detection Using Fractional Calculus with Feature and Contrast Enhancement. Circuits Syst. Signal Process. 2018, 19, 1–28. [Google Scholar] [CrossRef]
  21. Gómez, F.; Bernal, J.; Rosales, J.; Cordova, T. Modeling and simulation of equivalent circuits in description of biological systems—A fractional calculus approach. J. Electr. Bioimpedance 2012, 3, 2–11. [Google Scholar] [CrossRef] [Green Version]
  22. Guy, J. Further Results on Fractional Calculus for Non-differentiable Functions Applications to Z-Transform and Generalized Functions. Int. J. Math. Game Theory Algebra 2015, 24, 297–334. [Google Scholar]
  23. Liu, J. A novel study on the impulsive synchronization of fractional-order chaotic systems. Chin. Phys. B 2013, 22, 060510. [Google Scholar] [CrossRef]
  24. Chen, M.; Shao, S.; Peng, S. Disturbance-Observer-Based Robust Synchronization Control for a Class of Fractional-Order Chaotic Systems. IEEE Trans. Circuits Syst. II 2017, 64, 417–421. [Google Scholar] [CrossRef]
  25. Yin, C.; Zhong, S.; Chen, W. Design of sliding mode controller for a class of fractional-order chaotic systems. Commun. Nonlinear Sci. Numer. Simul. 2012, 17, 356–366. [Google Scholar] [CrossRef]
  26. Kiani-B, A.; Fallahi, K.; Pariz, N. A chaotic secure communication scheme using fractional chaotic systems based on an extended fractional Kalman filter. Commun. Nonlinear Sci. Numer. Simul. 2009, 14, 863–879. [Google Scholar] [CrossRef]
  27. Li, R.G.; Wu, H. Adaptive synchronization control with optimization policy for fractional-order chaotic systems between 0 and 1 and its application in secret communication. ISA Trans. 2019, 9, 35–48. [Google Scholar] [CrossRef]
  28. Wen, T.; Jiang, F.; Liu, X. Synchronization of Fractional-Order Chaotic System with Application to Communication. In Informatics in Control, Automation and Robotics; Springer: Berlin, Germany, 2011; Volume 31, pp. 227–234. [Google Scholar]
  29. Radwan, A.; Sayed, W.; Abd-El-Hafiz, S. Control and Synchronization of Fractional-Order Chaotic Systems; Springer: Berlin/Heidelberg, Germany, 2017; pp. 325–355. [Google Scholar]
  30. Kolumbán, G.; Kennedy, M.; Jákó, Z.; Kis, G. Chaotic Communications with Correlator Receiver: Theory and Performance Limit. Proc. IEEE 2002, 90, 711–732. [Google Scholar] [CrossRef] [Green Version]
  31. Kaddoum, G.; Olivain, J.; Samson, G.; Giard, P.; Gagnon, F. Implementation of a Differential Chaos Shift Keying Communication system in GNU Radio. In Proceedings of the 2012 International Symposium on Wireless Communication Systems, Paris, France, 28–31 August 2012; pp. 934–938. [Google Scholar]
  32. Dai, W.; Yang, H.; Song, Y.; Jiang, G.P. Two-Layer Carrier Index Modulation Scheme Based on Differential Chaos Shift Keying. IEEE Access 2018, 6, 56433–56444. [Google Scholar] [CrossRef]
  33. Cai, X.; Xu, W.; Hong, S.; Wang, L. Dual-Mode Differential Chaos Shift Keying With Index Modulation. IEEE Trans. Commun. 2019, 67, 6099–6111. [Google Scholar] [CrossRef]
  34. Kaddoum, G.; Gagnon, F.; Richardson, F. Design of a secure Multi-Carrier DCSK system. In Proceedings of the International Symposium on Wireless Communication Systems, Paris, France, 28–31 August 2012; pp. 964–968. [Google Scholar]
  35. Lau, F.; Cheong, K.; Tse, C. Permutation-based DCSK and multipleaccess DCSK systems. IEEE Trans. Circuits Syst. I Fundam. Theory Appl. 2003, 50, 733–742. [Google Scholar] [CrossRef] [Green Version]
  36. Zhang, G.; Li, X.; Chen, X. Multi-user High Rate Security Differential Chaos Shift Keying. In Proceedings of the 2020 IEEE 20th International Conference on Communication Technology (ICCT), Nanning, China, 28–31 October 2020. [Google Scholar]
Figure 1. The chaotic behavior of a fractional-order Chen chaos system.
Figure 1. The chaotic behavior of a fractional-order Chen chaos system.
Electronics 10 02343 g001
Figure 2. Block diagram of the MC-MDCSK-MCS transmitter.
Figure 2. Block diagram of the MC-MDCSK-MCS transmitter.
Electronics 10 02343 g002
Figure 3. Block diagram of the MCS-MDCSK Modulation.
Figure 3. Block diagram of the MCS-MDCSK Modulation.
Electronics 10 02343 g003
Figure 4. Block diagram of the MC-MDCSK-MCS receiver.
Figure 4. Block diagram of the MC-MDCSK-MCS receiver.
Electronics 10 02343 g004
Figure 5. Comparisons of the simulation results and the theoretical results over the AWGN and Rayleigh fading channels with M = 16.
Figure 5. Comparisons of the simulation results and the theoretical results over the AWGN and Rayleigh fading channels with M = 16.
Electronics 10 02343 g005
Figure 6. Comparisons of the BER performances between the proposed MC-MDCSK-MCS system and other non-coherent chaotic communication systems over the AWGN channel.
Figure 6. Comparisons of the BER performances between the proposed MC-MDCSK-MCS system and other non-coherent chaotic communication systems over the AWGN channel.
Electronics 10 02343 g006
Figure 7. BER performance of the proposed MC-MDCSK-MCS with different fractional orders over the AWGN channel.
Figure 7. BER performance of the proposed MC-MDCSK-MCS with different fractional orders over the AWGN channel.
Electronics 10 02343 g007
Figure 8. BER performance of the MC-MDCSK-MCS with different N c over the AWGN channel.
Figure 8. BER performance of the MC-MDCSK-MCS with different N c over the AWGN channel.
Electronics 10 02343 g008
Table 1. Comparisons of DBRs between the proposed MC-MDCSK-MCS system and other DCSK-based chaotic communication systems.
Table 1. Comparisons of DBRs between the proposed MC-MDCSK-MCS system and other DCSK-based chaotic communication systems.
ModulationDBR
MC-MDCSK-MCS P 2 P + 1 log 2 ( M )
MC-DCSK n 1 n
MCS-DCSK P 2 P
CS-DCSK 1 2
Publisher’s Note: MDPI stays neutral with regard to jurisdictional claims in published maps and institutional affiliations.

Share and Cite

MDPI and ACS Style

Jia, Y.-Q.; Jiang, G.-P.; Yang, H.; Yu, B.; Du, M.-D. Design and Performance Analysis of a Multi-Carrier M-Ary DCSK System with Multilevel Code-Shifted Modulation Based on Fractional-Order Chaos. Electronics 2021, 10, 2343. https://doi.org/10.3390/electronics10192343

AMA Style

Jia Y-Q, Jiang G-P, Yang H, Yu B, Du M-D. Design and Performance Analysis of a Multi-Carrier M-Ary DCSK System with Multilevel Code-Shifted Modulation Based on Fractional-Order Chaos. Electronics. 2021; 10(19):2343. https://doi.org/10.3390/electronics10192343

Chicago/Turabian Style

Jia, Ya-Qiong, Guo-Ping Jiang, Hua Yang, Bin Yu, and Ming-Di Du. 2021. "Design and Performance Analysis of a Multi-Carrier M-Ary DCSK System with Multilevel Code-Shifted Modulation Based on Fractional-Order Chaos" Electronics 10, no. 19: 2343. https://doi.org/10.3390/electronics10192343

APA Style

Jia, Y.-Q., Jiang, G.-P., Yang, H., Yu, B., & Du, M.-D. (2021). Design and Performance Analysis of a Multi-Carrier M-Ary DCSK System with Multilevel Code-Shifted Modulation Based on Fractional-Order Chaos. Electronics, 10(19), 2343. https://doi.org/10.3390/electronics10192343

Note that from the first issue of 2016, this journal uses article numbers instead of page numbers. See further details here.

Article Metrics

Back to TopTop