A Novel Simulation Method for Analyzing Diode Electrical Characteristics Based on Neural Networks
Abstract
:1. Introduction
2. Theory and Formula
2.1. Equivalent Circuit Method
2.2. Method Based on the Physical Model
2.3. HTBF Based Method
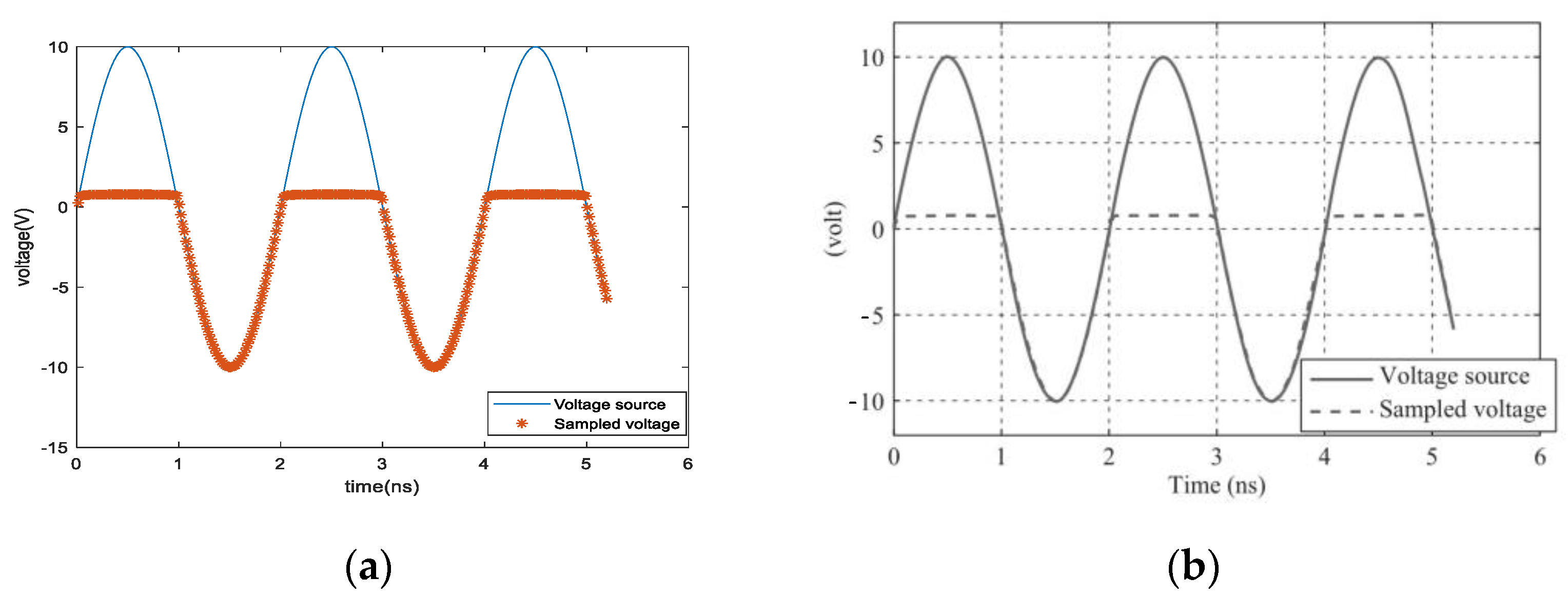
3. Results
3.1. Equivalent Circuit Method
3.2. Method Based on the Physical Model
3.3. HTBF Based Method
3.3.1. HTBF Model Method
3.3.2. Improved Equivalent Circuit Method
- A.
- f = 400 MHz, Vm = 20 V
- B.
- f = 4 GHz, Vm = 5 V
- C.
- f = 4 GHz, Vm = 20 V
4. Conclusions
Author Contributions
Funding
Conflicts of Interest
References
- Hirakawa, T.; Hao, Z.; Shinohara, N.; Guo, Y.X. The method of diode modeling and novel equivalent circuit for microwave rectifiers. In Proceedings of the 2019 IEEE Asia-Pacific Microwave Conference (APMC), Singapore, 10–13 December 2019; pp. 991–993. [Google Scholar] [CrossRef]
- Pendharkar, S.P.; Winterhalter, C.R.; Shenai, K. A Behavioral Circuit Simulation Model for High-Power GaAs Schottky Diodes. IEEE Trans. Electron. Devices 1995, 42, 1847–1854. [Google Scholar] [CrossRef]
- Liu, C.; Tan, F.; Zhang, H.; He, Q. A Novel Single-Diode Microwave Rectifier with a Series Band-Stop Structure. IEEE Trans. Microw. Theory Tech. 2017, 65, 600–606. [Google Scholar] [CrossRef]
- Chen, X.; Chen, J.; Huang, K.; Xu, X. A Circuit Simulation Method Based on Physical Approach for the Analysis of Mot_bal99lt1 p-i-n Diode Circuits. IEEE Trans. Electron. Devices 2011, 58, 2862–2870. [Google Scholar] [CrossRef]
- Chen, J.; Chen, X.; Liu, C.; Huang, K.; Xu, X. Analysis of Temperature Effect on P-I-N Diode Circuits by a Multiphysics and Circuit Cosimulation Algorithm. IEEE Trans. Electron. 2012, 59, 3069–3077. [Google Scholar] [CrossRef]
- Zeng, H.; Tang, Y.; Duan, X.; Chen, X. A Physical Model-Based FDTD Field-Circuit Co-Simulation Method for Schottky Diode Rectifiers. IEEE Access 2019, 7, 87265–87272. [Google Scholar] [CrossRef]
- Hongzheng, Z.; Ke, X.; Xing, C. Analysis of Schottky diode detector circuit based on multiphysics simulation. In Proceedings of the 2018 International Conference on Microwave and Millimeter Wave Technology (ICMMT), Chengdu, China, 7–11 May 2018; pp. 1–3. [Google Scholar] [CrossRef]
- Chen, S.; Ding, D.; Yu, M.; Wang, Y.; Chen, R. Electro-Thermal Analysis of Microwave Limiter Based on the Time-Domain Impulse Response Method Combined with Physical-Model-Based Semiconductor Solver. IEEE Trans. Microw. Theory Tech. 2020, 68, 2579–2589. [Google Scholar] [CrossRef]
- Sorokosz, L.; Zieniutycz, W. Electromagnetic modeling of microstrip elements aided with artificial neural network. In Proceedings of the Baltic URSI Symposium (URSI), Warsaw, Poland, 5–8 October 2020; pp. 85–88. [Google Scholar] [CrossRef]
- Tian, F.; Yang, Y.; Mao, L. Electromagnetic inversion algorithm based on convolutional neural network. In Proceedings of the Cross Strait Radio Science & Wireless Technology Conference (CSRSWTC), Fuzhou, China, 13–16 December 2020; pp. 1–3. [Google Scholar] [CrossRef]
- Xiong, J.; Chen, Z.; Xiu, Y.; Mu, Z.; Raginsky, M.; Rosenbaum, E. Enhanced IC modeling methodology for system-level ESD simulation. In Proceedings of the 40th Electrical Overstress/Electrostatic Discharge Symposium (EOS/ESD), Reno, NV, USA, 23–28 September 2018; pp. 1–10. [Google Scholar] [CrossRef]
- Liang, W.; Yang, X.; Loiseau, A.; Mitra, S.; Gauthier, R. Novel ESD compact modeling methodology using machine learning techniques. In Proceedings of the 42nd Annual EOS/ESD Symposium (EOS/ESD), Reno, NV, USA, 13–18 September 2020; pp. 1–7. [Google Scholar]
- Yao, H.M.; Sha, W.E.I.; Jiang, L. Two-Step Enhanced Deep Learning Approach for Electromagnetic Inverse Scattering Problems. IEEE Antennas Wirel. Propag. Lett. 2019, 18, 2254–2258. [Google Scholar] [CrossRef]
- Li, L.; Wang, L.G.; Teixeira, F.L. Performance Analysis and Dynamic Evolution of Deep Convolutional Neural Network for Electromagnetic Inverse Scattering. IEEE Antennas Wirel. Propag. Lett. 2019, 18, 2259–2263. [Google Scholar] [CrossRef]
- Jin, H.; Ma, H.; Butala, M.D.; Liu, E.; Li, E. EMI Radiation Prediction and Structure Optimization of Packages by Deep Learning. IEEE Access 2019, 7, 93772–93780. [Google Scholar] [CrossRef]
- Yao, H.M.; Jiang, L.J. Machine learning based neural network solving methods for the FDTD method. In Proceedings of the IEEE International Symposium on Antennas and Propagation & USNC/URSI National Radio Science Meeting, Boston, MA, USA, 8–13 July 2018; pp. 2321–2322. [Google Scholar] [CrossRef]
- Zhang, H.H.; Jiang, L.J.; Yao, H.M. Embedding the Behavior Macromodel into TDIE for Transient Field-Circuit Simulations. IEEE Trans. Antennas Propag. 2016, 64, 3233–3238. [Google Scholar] [CrossRef]
- Yao, H.M.; Jiang, L. Machine-Learning-Based PML for the FDTD Method. IEEE Antennas Wirel. Propag. Lett. 2019, 18, 192–196. [Google Scholar] [CrossRef]
- Elsherbeni, A.; Demir, V. The Finite Difference Time Domain Method for Electromagnetics: With MATLAB Simulations [M]; SciTech Publishing: New York, NY, USA, 2016. [Google Scholar]
- Mamoru, K. Numerical Analysis of Semiconductor Devices [M]; Electronic Industry Press: Beijing, China, 1985. [Google Scholar]
- Kim, P. MATLAB Deep Learning [M]; Apress: New York, NY, USA, 2017. [Google Scholar]

















| Method | Simulation Time(s) |
|---|---|
| Physical model | 473.5 |
| HTBF method | <1 |
Publisher’s Note: MDPI stays neutral with regard to jurisdictional claims in published maps and institutional affiliations. |
© 2021 by the authors. Licensee MDPI, Basel, Switzerland. This article is an open access article distributed under the terms and conditions of the Creative Commons Attribution (CC BY) license (https://creativecommons.org/licenses/by/4.0/).
Share and Cite
Liu, T.; Xu, L.; He, Y.; Wu, H.; Yang, Y.; Wu, N.; Yang, X.; Shi, X.; Wei, F. A Novel Simulation Method for Analyzing Diode Electrical Characteristics Based on Neural Networks. Electronics 2021, 10, 2337. https://doi.org/10.3390/electronics10192337
Liu T, Xu L, He Y, Wu H, Yang Y, Wu N, Yang X, Shi X, Wei F. A Novel Simulation Method for Analyzing Diode Electrical Characteristics Based on Neural Networks. Electronics. 2021; 10(19):2337. https://doi.org/10.3390/electronics10192337
Chicago/Turabian StyleLiu, Tao, Le Xu, Yao He, Han Wu, Yong Yang, Nankai Wu, Xiaoning Yang, Xiaowei Shi, and Feng Wei. 2021. "A Novel Simulation Method for Analyzing Diode Electrical Characteristics Based on Neural Networks" Electronics 10, no. 19: 2337. https://doi.org/10.3390/electronics10192337
APA StyleLiu, T., Xu, L., He, Y., Wu, H., Yang, Y., Wu, N., Yang, X., Shi, X., & Wei, F. (2021). A Novel Simulation Method for Analyzing Diode Electrical Characteristics Based on Neural Networks. Electronics, 10(19), 2337. https://doi.org/10.3390/electronics10192337

