Testbed for Experimental Characterization of Indoor Visible Light Communication Channels
Abstract
1. Introduction
2. Indoor Visible Light Channel
3. Experimental Testbed
3.1. Mockup Description
3.2. Communication System
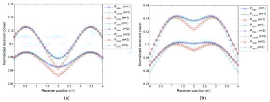
4. Simulation Results
5. Experimental Results
6. Conclusions
Author Contributions
Funding
Conflicts of Interest
References
- Kavehrad, M. Sustainable energy-efficient wireless applications using light. IEEE Commun. Mag. 2010, 48, 66–73. [Google Scholar] [CrossRef]
- Chen, C.; Basnayaka, D.A.; Haas, H. Downlink performance of optical attocell networks. J. Lightwave Technol. 2016, 34, 137–156. [Google Scholar] [CrossRef]
- Pathak, P.H.; Feng, X.; Hu, P.; Mohapatra, P. Visible light communication, networking, and sensing: A survey, potential and challenges. IEEE Commun. Surv. Tutor. 2015, 17, 2047–2077. [Google Scholar] [CrossRef]
- Azhar, A.H.; Tran, T.-A.; O’Brien, D. A Gigabit/s indoor wireless transmission using MIMO-OFDM visible-light communications. IEEE Photon. Technol. Lett. 2013, 25, 171–174. [Google Scholar] [CrossRef]
- Bian, R.; Tavakkolnia, I.; Haas, H. 15.73 Gb/s visible light communication with offthe-shelf LEDs. J. Lightw. Technol. 2019, 37, 2418–2424. [Google Scholar] [CrossRef]
- González, O.; Guerra-Medina, M.F.; Martín, I.R.; Delgado, F.; Pérez-Jiménez, R. Adaptive WHTS-assisted SDMA-OFDM scheme for fair resource allocation in multi-user visible light communications. J. Opt. Commun. Netw. 2016, 8, 427–440. [Google Scholar] [CrossRef]
- Adnan-Qidan, A.; Morales-Céspedes, M.; García Armada, A. Load balancing in hybrid VLC and RF networks based on blind interference alignment. IEEE Access 2020, 8, 72512–72527. [Google Scholar] [CrossRef]
- Chen, C.; Yang, Y.; Deng, X.; Du, P.; Yang, H. Space division multiple access with distributed user grouping for multi-user MIMO-VLC systems. IEEE Open J. Commun. Soc. 2020, 1, 943–956. [Google Scholar] [CrossRef]
- Erog˘lu, Y.S.; Yapici, Y.; Güvenç, I. Impact of random receiver orientation on visible light communications channel. IEEE Trans. Commun. 2019, 67, 1313–1325. [Google Scholar] [CrossRef]
- Morales-Céspedes, M.; Genovés Guzmán, B.; Gil Jiménez, V.P. Lights and shadows: A comprehensive survey on cooperative and precoding schemes to overcome LOS blockage and interference in indoor VLC. Sensors 2021, 21, 861. [Google Scholar]
- Zhang, R.; Wang, J.; Wang, Z.; Xu, Z.; Zhao, C.; Hanzo, L. Visible light communications in heterogeneous networks: Paving the way for user-centric design. IEEE Wirel. Commun. 2016, 22, 8–16. [Google Scholar] [CrossRef]
- Obeed, M.; Salhab, A.M.; Alouini, M.-S.; Zummo, S.A. On optimizing VLC networks for downlink multi-user transmission: A survey. IEEE Commun. Surv. Tutor. 2019, 21, 2947–2976. [Google Scholar] [CrossRef]
- Lee, K.; Park, H.; Barry, J.R. Indoor channel characteristics for visible light communications. IEEE Commun. Lett. 2011, 15, 217–219. [Google Scholar] [CrossRef]
- González, O.; Guerra Medina, M.F.; Martín, I.R. Multi-user visible light communications. In Advances in Optical Communication; Das, N., Ed.; IntechOpen: Rijeka, Croatia, 2014; pp. 35–63. Available online: https://www.intechopen.com/books/advances-in-optical-communication/multi-user-visible-light-communications (accessed on 6 June 2021).
- Uysal, M.; Miramirkhani, F.; Narmanlioglu, O.; Baykas, T.; Panayirci, E. IEEE 802.15.7r1 reference channel models for visible light communications. IEEE Commun. Mag. 2017, 55, 212–217. [Google Scholar] [CrossRef]
- Hussein, A.T.; Alresheedi, M.T.; Elmirghani, J.M.H. Fast and efficient adaptation techniques for visible light communication systems. J. Opt. Commun. Netw. 2016, 8, 382–397. [Google Scholar] [CrossRef]
- Haas, H.; Yin, L.; Chen, C.; Videv, S.; Parol, D.; Poves, E.; Alshaer, H.; Islim, M.S. Introduction to indoor networking concepts and challenges in LiFi. J. Opt. Commun. Netw. 2020, 12, A190–A203. [Google Scholar] [CrossRef]
- Kahn, J.M.; Barry, J.R. Wireless infrared communications. Proc. IEEE 1997, 85, 265–298. [Google Scholar] [CrossRef]
- Lomba, C.R.; Valadas, R.T.; de Oliveira Duarte, A.M. Experimental characterisation and modelling of the reflection of infrared signals on indoor surfaces. IEEE Proc. Optoelectron. 1998, 145, 191–197. [Google Scholar] [CrossRef]
- López-Hernández, F.J.; Pérez-Jiménez, R.; Santamaría, A. Monte Carlo calculation of impulse response on diffuse IR wireless indoor channels. Electron. Lett. 1998, 34, 1260–1262. [Google Scholar] [CrossRef]
- González, O.; Rodríguez, S.; Pérez-Jiménez, R.; Mendoza, B.R.; Ayala, A. Error analysis of the simulated impulse response on indoor wireless optical channels using a Monte Carlo based ray-tracing algorithm. IEEE Trans. Commun. 2005, 53, 124–130. [Google Scholar] [CrossRef]
- Barry, J.R.; Kahn, J.M.; Krause, W.J.; Lee, E.A.; Messerschmitt, D.G. Simulation of multipath impulse response for wireless optical channels. IEEE J. Sel. Areas Commun. 1993, 11, 367–379. [Google Scholar] [CrossRef]
- Grubor, J.; Randel, S.; Langer, K.-D.; Walewskik, J.W. Broadband information broadcasting using LED-based interior lighting. J. Lightwave Technol. 2008, 26, 3883–3892. [Google Scholar] [CrossRef]
- Khalid, A.M.; Cossu, G.; Corsini, R.; Choudhury, P.; Ciaramella, E. 1-Gb/s transmission over a phosphorescent white LED by using rate-adaptive discrete multitone modulation. IEEE Photon. J. 2012, 4, 1465–1473. [Google Scholar] [CrossRef]
- Tsonev, D.; Hyunchae, C.; Rajbhandari, S.; McKendry, J.J.D.; Videv, S.; Gu, E.; Haji, M.; Watson, S.; Kelly, A.E.; Faulkner, G.; et al. A 3-Gb/s single-LED OFDM-based wireless VLC link using a Gallium Nitride μLED. IEEE Photon. Tecnol. Lett. 2014, 26, 637–640. [Google Scholar] [CrossRef]
- Ma, S.; Yang, R.; Li, H.; Dong, Z.-L.; Gu, H.; Li, S. Achievable rate with closed-form for SISO channel and broadcast channel in visible light communication networks. J. Lightwave Technol. 2017, 35, 2778–2787. [Google Scholar] [CrossRef]
- Grobe, L.; Paraskevopoulos, A.; Hilt, J.; Schulz, D.; Lassak, F.; Hartlieb, F.; Kottke, C.; Jungnickel, V.; Langer, K.-D. High-speed visible light communication systems. IEEE Commun. Mag. 2013, 51, 60–66. [Google Scholar] [CrossRef]
- Shao, S.; Khreishah, A.; Ayyash, M.; Rahaim, M.B.; Elgala, H.; Jungnickel, V.; Schulz, D.; Little, T.D.C.; Hilt, J.; Freund, R. Design and analysis of a visible-light-communication enhanced WiFi system. J. Opt. Commun. Netw. 2015, 7, 960–973. [Google Scholar] [CrossRef]
- González, O.; Pérez-Jiménez, R.; Rodríguez, S.; Rabadán, J.; Ayala, A. OFDM over indoor wireless optical channel. IEEE Proc. Optoelectron. 2005, 152, 199–204. [Google Scholar] [CrossRef]
- Boyd, S. Multitone signals with low crest factor. IEEE Trans. Circuits Syst. 1986, 33, 1018–1022. [Google Scholar] [CrossRef]
- González, O.; Pérez-Jiménez, R.; Rodríguez, S.; Rabadán, J.; Ayala, A. Adaptive OFDM system for communications over the indoor wireless optical channel. IEEE Proc. Optoelectron. 2006, 153, 139–144. [Google Scholar] [CrossRef]
- Bykhovsky, D.; Arnon, S. An experimental comparison of different bit-and-power-allocation algorithms for DCO-OFDM. J. Lightw. Technol. 2014, 32, 1559–1564. [Google Scholar] [CrossRef]
- Park, B.; Cheon, H.; Kang, C.; Hong, D. A novel timing estimation method for OFDM systems. IEEE Commun. Lett. 2003, 7, 239–241. [Google Scholar] [CrossRef]
- Guerra Medina, M.F.; González, O.; Martín, I.R.; Rodríguez, S. Timing synchronization for OFDM-based visible light communication system. In Proceedings of the IEEE Wireless Telecommunications Symposium, London, UK, 18–20 April 2016; pp. 1–4. [Google Scholar]
- Liu, Y.; Qin, Z.; Elkashlan, M.; Ding, Z.; Nallanathan, A.; Hanzo, L. Nonorthogonal multiple access for 5G and beyond. Proc. IEEE 2017, 105, 2347–2381. [Google Scholar] [CrossRef]

















| Parameter | Value | ||
|---|---|---|---|
| Room size (length × width × height): | |||
| Number of LED arrays (lamps): | 4 () | ||
| Number of LEDs per array: | 25 () | ||
| Dimensions of each LED array: | |||
| Positions of LED arrays | array 1: (, , ) | ||
| (central point) (x, y, z) [m]: | array 2: (, , ) | ||
| array 3: (, , ) | |||
| array 4: (, , ) | |||
| LED Lambertian order (n): | 1 | ||
| Power of a single LED (): | 400 mW | ||
| Total LED lamp power (P): | 10 W | ||
| Receiver plane height: | m | ||
| Total detector physical area (A): | cm | ||
| Surface materials parameters [13]: | m | ||
| Ceiling: | 1 | - | |
| Floor: | 1 | - | |
| Walls (plaster): | 1 | - | |
| Windows (glass): | 0 | 280 | |
| Windows dimensions (width × height): | |||
| Parameter | Value | |
|---|---|---|
| Room size (length × width × height): | ||
| Number of LED arrays (lamps): | 4 () | |
| Number of LEDs per array: | 9 () | |
| Dimensions of each LED array: | ||
| Positions of LED arrays | array 1: (15, 15, 30) | |
| (central point) (x, y, z) [cm]: | array 2: (45, 15, 30) | |
| array 3: (15, 45, 30) | ||
| array 4: (45, 45, 30) | ||
| LED Lambertian order (n): | 1 | |
| Total LED lamp power (P): | 250 mW | |
| Receiver plane height: | 0 cm | |
| Total detector physical area (A): | cm | |
| Windows dimensions (width × height): | ||
| Parameter | Value |
|---|---|
| Total number of subcarriers (): | 64 |
| Number of information subcarriers (): | 63 |
| Maximum number of bits per subcarrier (): | 8 (256-QAM) |
| Target bit error rate (): | |
| Modulation bandwidth (): | 10 MHz |
| Cyclic prefix extension (): | 4 |
| OFDM symbol period (): | 6.6 s |
| Number of training sequences (): | 20 |
| Number of random-data symbols (): | 2500 |
Publisher’s Note: MDPI stays neutral with regard to jurisdictional claims in published maps and institutional affiliations. |
© 2021 by the authors. Licensee MDPI, Basel, Switzerland. This article is an open access article distributed under the terms and conditions of the Creative Commons Attribution (CC BY) license (https://creativecommons.org/licenses/by/4.0/).
Share and Cite
Fortes, M.; González, O. Testbed for Experimental Characterization of Indoor Visible Light Communication Channels. Electronics 2021, 10, 1365. https://doi.org/10.3390/electronics10111365
Fortes M, González O. Testbed for Experimental Characterization of Indoor Visible Light Communication Channels. Electronics. 2021; 10(11):1365. https://doi.org/10.3390/electronics10111365
Chicago/Turabian StyleFortes, Miqueas, and Oswaldo González. 2021. "Testbed for Experimental Characterization of Indoor Visible Light Communication Channels" Electronics 10, no. 11: 1365. https://doi.org/10.3390/electronics10111365
APA StyleFortes, M., & González, O. (2021). Testbed for Experimental Characterization of Indoor Visible Light Communication Channels. Electronics, 10(11), 1365. https://doi.org/10.3390/electronics10111365

