Rheological Investigation of Thermoresponsive Alginate-Methylcellulose Gels for Epidermal Growth Factor Formulation
Abstract
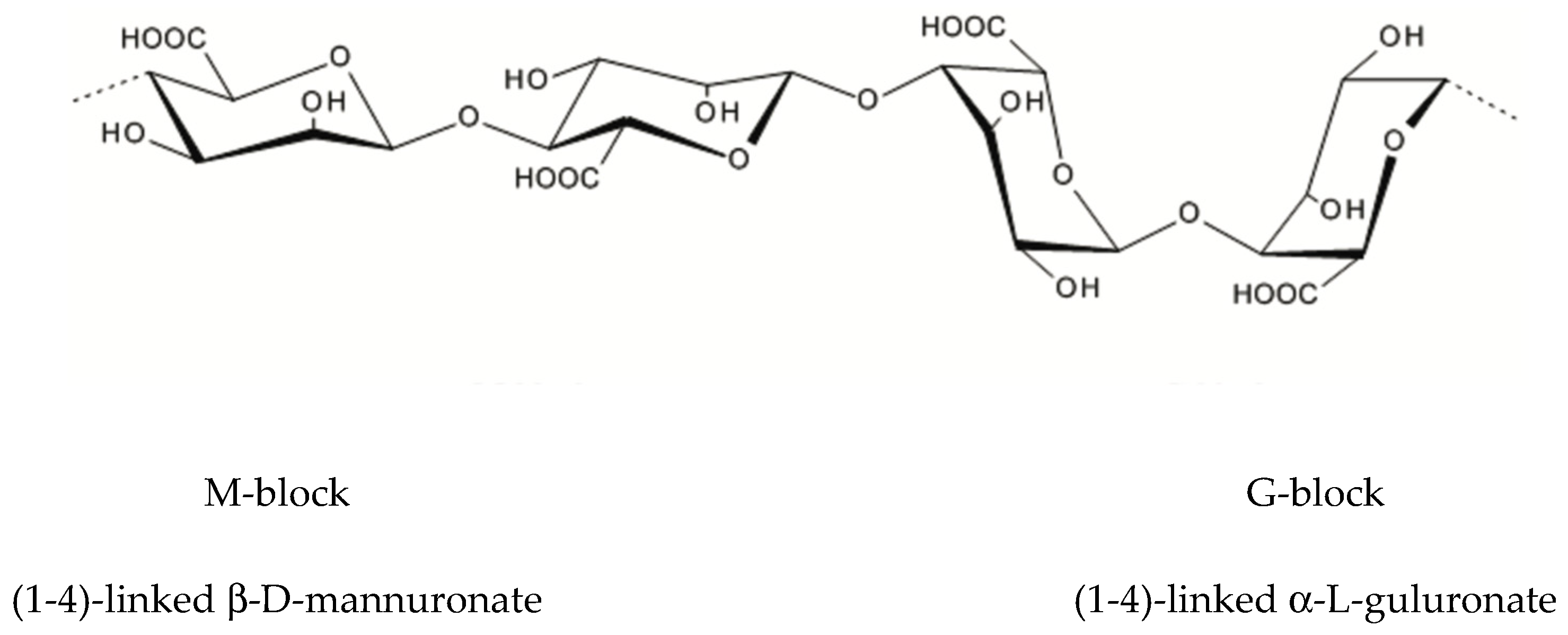
1. Introduction
2. Materials and Methods
3. Results and Discussion
3.1. Dynamic Viscosity
3.2. Viscoelastic Modulus
3.3. Thermoresponsivity
4. Conclusions
Author Contributions
Funding
Institutional Review Board Statement
Informed Consent Statement
Data Availability Statement
Conflicts of Interest
References
- Ebner, R.; Derynck, R. Epidermal growth factor and transforming growth factor-α: Differential intracellular routing and processing of ligand-receptor complexes. Cell Regul. 1991, 2, 599–612. [Google Scholar] [CrossRef] [PubMed]
- Senderoff, R.I.; Wootton, S.C.; Boctor, A.M.; Chen, T.M.; Giordani, A.B.; Julian, T.N.; Radebaugh, G.W. Aqueous stability of human epidermal growth factor 1-48. Pharm. Res. 1994, 11, 1712–1720. [Google Scholar] [CrossRef] [PubMed]
- Arakawa, T.; Prestrelski, S.J.; Kenney, W.C.; Carpenter, J.F. Factors affecting short-term and long-term stabilities of proteins. Adv. Drug Deliv. Rev. 2011, 46, 307–326. [Google Scholar] [CrossRef]
- Santana-Milián, H.; González, Y.; Campana, P.T.; Noda, J.; Amarantes, O.; Itri, R.; Beldarraín, A.; Páez, R. Screening for stability and compatibility conditions of recombinant human epidermal growth factor for parenteral formulation: Effect of pH, buffers, and excipients. Int. J. Pharm. 2013, 452, 52–62. [Google Scholar] [CrossRef]
- Yang, C.; Wu, P.; Huang, Y.; Tsai, Y. A new approach for determining the stability of recombinant human epidermal growth factor by thermal Fourier transform infrared (FTIR) microspectroscopy. J. Biomol. Struct. Dyn. 2004, 22, 101–110. [Google Scholar] [CrossRef]
- Eskens, O.; Amin, S. Challenges and Effective Routes for Formulating and Delivery of Epidermal Growth Factors in Skin Care. Int. J. Cosmet. Sci. 2020. [Google Scholar] [CrossRef]
- Gainza, G.; Aguire, J.J.; Pedraz, J.L.; Hernández, R.M.; Igartua, M. rhEGF-loaded PLGA-alginate microspheres enhance the healing of full-thickness excisional wounds in diabetised Wistar rate. Eur. J. Pharm. Sci. 2013, 50, 243–252. [Google Scholar] [CrossRef]
- Wawrzyńska, E.; Kubies, D. Alginate matrices for protein delivery—A short review. Physiol. Res. 2018, 67, 319–334. [Google Scholar] [CrossRef]
- Fernández Farrés, I.; Norton, I.T. Formation kinetics and rheology of alginate fluid gels produced by in-situ calcium release. Food Hydrocoll. 2014, 40, 76–84. [Google Scholar] [CrossRef]
- Desbrières, J.; Hirrien, M.; Ross-Murphy, S.B. Thermogelation of methylcellulose: Rheological considerations. Polymer 2000, 41, 2451–2461. [Google Scholar] [CrossRef]
- Kundu, P.P.; Kundu, M. Effects of salts and surfactant and their doses on the gelation of extremely dilute solutions of methyl cellulose. Polymer 2001, 42, 2015–2020. [Google Scholar] [CrossRef]
- Liang, H.F.; Hong, M.H.; Ho, R.M.; Chung, C.K.; Lin, Y.H.; Chen, C.H.; Sung, H.W. Novel method using a temperature-sensitive polymer (methylcellulose) to thermally gel aqueous alginate as a pH-sensitive hydrogel. Biomacromolecules 2004, 5, 1917–1925. [Google Scholar] [CrossRef] [PubMed]
- Mehmandoost, F.; Hojjatoleslamy, M.; Keramat, J.; Behzadniya, A.; Shahbazpour, N. Effect of pH and calcium salt on rheological properties of sodium alginate -methyl cellulose mixtures. Int. J. Biosci. 2013, 3, 105–114. [Google Scholar]
- Sahana, T.G.; Rekha, P. Biopolymers: Applications in wound healing and skin tissue engineering. Mol. Biol. Rep. 2018, 45, 2857–2867. [Google Scholar] [CrossRef]
- Turgeon, S.L.; Schmitt, C.; Sanchez, C. Protein–polysaccharide complexes and coacervates. Curr. Opin. Colloid Interface Sci. 2007, 12, 166–178. [Google Scholar] [CrossRef]
- Sun, J.-Y.; Zhao, X.; Illeperuma, W.R.K.; Chaudhuri, O.; Oh, K.H.; Mooney, D.J.; Vlassak, J.J.; Suo, Z. Highly stretchable and tough hydrogels. Nature 2012, 489, 133–136. [Google Scholar] [CrossRef]
- Darnell, M.C.; Sun, J.-Y.; Mehta, M.; Johnson, C.; Arany, P.R.; Suo, Z.; Shetye, S. Performance and biocompatibility of extremely tough alginate/polyacrylamide hydrogels. Biomaterials 2013, 34, 8042–8048. [Google Scholar] [CrossRef]
- Viguier, A.; Boyer, C.; Chassenieux, C.; Benyahia, L.; Guicheux, J.; Weiss, P.; Rethore, G.; Nicolai, T. Interpenetrated Si-HPMC/alginate hydrogels as a potential scaffold for human tissue regeneration. J. Mater. Sci. Mater. Med. 2016, 27, 99. [Google Scholar] [CrossRef]
- Zheng, J.; Zeng, R.; Zhang, F.; Kan, J. Effects of sodium carboxymethyl cellulose on rheological properties and gelation behaviors of sodium alginate induced calcium ions. LWT Food Sci. Technol. 2019, 103, 131–138. [Google Scholar] [CrossRef]
- Soledad Lencina, M.M.; Rizzo, C.; Demitri, C.; Andreucetti, N.; Maffezzoli, A. Rheological analysis of thermo-responsive alginate/PNIPAAm graft copolymers synthesized by gamma radiation. Radiat. Phys. Chem. 2019, 156, 38–43. [Google Scholar] [CrossRef]
- Sun, J.; Tan, H. Alginate-based biomaterials for regenerative medicine applications. Materials 2013, 6, 1285–1309. [Google Scholar] [CrossRef] [PubMed]
- Li, Q.; Lan, H.; Zhao, Z. Protection effect of sodium alginate against heat-induced structural changes of lactoferrin molecules at neutral pH. LWT Food Sci. Technol. 2019, 99, 513–518. [Google Scholar] [CrossRef]
- Gu, F.; Amsden, B.; Neufeld, R. Sustained delivery of vascular endothelial growth factor with alginate beads. J. Control Release 2004, 96, 463–472. [Google Scholar] [CrossRef] [PubMed]










Publisher’s Note: MDPI stays neutral with regard to jurisdictional claims in published maps and institutional affiliations. |
© 2020 by the authors. Licensee MDPI, Basel, Switzerland. This article is an open access article distributed under the terms and conditions of the Creative Commons Attribution (CC BY) license (http://creativecommons.org/licenses/by/4.0/).
Share and Cite
Eskens, O.; Villani, G.; Amin, S. Rheological Investigation of Thermoresponsive Alginate-Methylcellulose Gels for Epidermal Growth Factor Formulation. Cosmetics 2021, 8, 3. https://doi.org/10.3390/cosmetics8010003
Eskens O, Villani G, Amin S. Rheological Investigation of Thermoresponsive Alginate-Methylcellulose Gels for Epidermal Growth Factor Formulation. Cosmetics. 2021; 8(1):3. https://doi.org/10.3390/cosmetics8010003
Chicago/Turabian StyleEskens, Olivia, Gianna Villani, and Samiul Amin. 2021. "Rheological Investigation of Thermoresponsive Alginate-Methylcellulose Gels for Epidermal Growth Factor Formulation" Cosmetics 8, no. 1: 3. https://doi.org/10.3390/cosmetics8010003
APA StyleEskens, O., Villani, G., & Amin, S. (2021). Rheological Investigation of Thermoresponsive Alginate-Methylcellulose Gels for Epidermal Growth Factor Formulation. Cosmetics, 8(1), 3. https://doi.org/10.3390/cosmetics8010003

