Abstract
Plant selection, input, and field management are proven strategies that produce high yields of crops bearing selected desirable characteristics for the nutraceutical and cosmeceutical industry. This study reports on the effect of substrate and light on selected quantitative and qualitative bioactive properties of two cultivars of Rubus idaeus L. (‘Ruvi’ and ‘Cayuga’). Our results demonstrated that the quantitative and qualitative fruit characteristics (yield, fruit dimensions, titratable acidity, and total soluble solids contents), plant growth, biosynthesis of secondary metabolites, and total antioxidant capacity, are significantly affected by genotype, light intensity, and substrate type. Fruits from ‘Ruvi’ plants cultivated under low light conditions, on soil/peat substrate exhibited high levels of antioxidant capacity, phenolics, flavonoids, anthocyanins, and high inhibitory potency towards the skin-regulating enzymes tyrosinase and elastase. Extract derived from these fruits was formulated into a topical skin care cream. This cream exhibited excellent compatibility and stability characteristics. Our research concluded that quantity and quality of Rubus idaeus L. fruits could be efficiently managed through conventional agronomic practices. Our project determined the optimal agronomic management practices to produce desirable characteristics and maximize bioactive content that determine the nutraceutical and cosmeceutical quality of the red raspberry.
Keywords:
anthocyanins; cosmeceuticals; antioxidant capacity; elastase; phenolics; flavonoids; raspberries; tyrosinase 1. Introduction
In 2016, the nutraceutical and cosmeceutical industries were estimated to produce $159 billion in global revenue [1]. This is a major segment of the >$1 trillion market for the health and wellness industry according to the Global Wellness Institute. This value is expected to rise annually concurrent with consumer wealth, age, and demand for naturally derived “green” products. Rubus idaeus L., commonly known as red raspberry, is an important commercial product in fresh or processed form due to its nutritional, medicinal, and cosmetics uses [2,3,4]. The term “nutraceutical” indicates a fortified food or a dietary supplement that is held to provide health or medical benefits in addition to its basic nutritional value. Nutraceuticals are also called functional food. The term “cosmeceutical,” is used by the cosmetic industry to refer to cosmetic products that exhibit medicinal or drug-like benefits. Therefore, nutraceuticals and cosmeceuticals serve as a bridge between personal needs and pharmaceuticals products [5,6]. Cosmeceuticals and nutraceuticals are two of the fastest growing segments of the health and wellness industry [6].
Red raspberries contain high concentrations of important nutrients, bioactive compounds and phytochemicals. Antioxidants, flavonoids, phenolic compounds, anthocyanins, ascorbic acids, tannins are important constituents of the fruits with health promoting benefits [7,8,9,10,11]. In vitro studies demonstrated that selected compounds from berries, for example, anthocyanins and flavonoids have anti-cancer, heart protective, and anti-inflammatory properties [7,12,13,14,15]. Moreover, other studies found that red raspberries also contain antimicrobial, anti-diabetic, anti-diarrheal, and antiviral compounds [16,17].
Several factors such as cultivar, environmental conditions, harvest time, post-harvest storage, and processing techniques affect the chemical composition of red raspberries, subsequently the content and concentration of their bioactive compounds [18,19,20,21,22].
This work investigated the effect of substrate and light conditions on selected quantitative and bioactive properties of two Rubus idaeus L. cultivars, ‘Ruvi’ and ‘Cayuga’. Our results demonstrate that these factors affect the nutraceutical and cosmeceutical potential of red raspberry fruit extracts. To the best of our knowledge, this is the first attempt to integrate agronomic, metabolic, and bioactivity data in a comparative study of two cultivars of Rubus idaeus L.
2. Material and Methods
2.1. Plant Materials
Rubus idaeus L. plants (cultivars ‘Ruvi’ and ‘Cayuga’) (Table 1) were grown in a greenhouse until one year old and were then transferred to the field. Field conditions maintained R × R (row to row) and P × P (plant to plant) distance 1.5 × 0.5 m, respectively. Prior to the transfer, the experimental field was organized into two parcels, one parcel with soil (clay loam) as substrate (pH = 6.4) and the other one with a mixture of soil and soil/peat substrate (pH = 5.8). After four weeks of plant adaptation to field conditions, each parcel was divided in two lots. One lot was covered with shading net that reduced sunlight penetration to 25% (low light conditions, LL). The other lot was left uncovered and plants were exposed to full sunlight (high light conditions, HL). Each experimental category included five plants, which were maintained under the above-mentioned substrate and light conditions for two consecutive years until the fruits were harvested. The water and nutrient supply was regulated through a drip irrigation system. At harvest, the fruit yield per cultivar was determined by weighting the fruits pooled from all plants included in an experimental category. Fruit area was calculated using Image J software (National Institutes of Health).
Table 1.
Raspberry cultivars (‘Ruvi’ and ‘Cayuga’) and experimental conditions (light, substrate) used in the present work.
2.2. Physicochemical Properties of Fruit Samples
200 g of fruit samples from each experimental category were mixed with a blender (Philips HR2161/40, Shanghai, China) and the obtained juice was used for chemical analysis. Soluble solids content (SSC) was measured according to Garner et al. (2008) [23] using an ABBE refractometer (PRISMA, Chalgrove, UK). Readings were adjusted in accordance with the International Temperature Correction Table (1974).
Titratable acidity (TA) was measured according to Garner et al. (2008) [23], through the titration of 10 mL fruit juice with 0.1 N NaOH, until achieving the neutralization of the organic acids to pH 7 using a Sension 1 pH-meter (HACH, Loveland, Colorado, CO, USA). The results were expressed as a percentage of tartaric acid equivalents.
Maturity index (MI) was calculated as the SSC/TA ratio. Both of the parameters were analyzed in triplicate.
2.3. Determination of Soluble Sugars and Ascorbic Acid
Fresh fruit samples were selected and frozen in liquid nitrogen for 15 min. The fruits were then placed in plastic bags and were stored at −80 °C until analysis. Frozen fruit samples were thawed at 4 °C and then mixed with a standard blender. To measure soluble sugars, fruit juice was evaporated in the Eppendorf 5301 Concentrator Centrifugal Evaporator (Hamburg, Germany). 25 mL of 80% ethanol (v/v) was added to 0.1 g dry powder and mixed by vortex. The mixture was centrifuged at 5000× rpm for 30 min (UNIVERSAL 32R, Hettich, Tuttlingen, Germany). The supernatant was collected, decolorized with activated carbon, and filtrated. Filtrate volume was adjusted with distilled water to 100 mL [21]. About 1 mL of filtrate was then placed into test tubes and was treated with 10 mL of 0.15% anthron solution. The samples were heated at 95 °C in the digital thermostatic bath BAD-4 (Raypa, Barcelona, Spain) for 10 min, and, then cooled down to room temperature. Absorbance was recorded at 625 nm. Total sugar concentrations of the samples were analyzed in triplicate and calculated using the calibration curve drawn for glucose standard solutions.
The determination of ascorbic acid was carried out following the procedure of Sadasivam and Manickam (1997) [24]. The fruit extract was homogenized with 4% (v/v) oxalic acid and centrifuged at 13,000× rpm for 10 min. The reaction mixture consisted of 0.1 mL brominated fruit extract, 2.9 mL of distilled water, 1 mL of 2% DNPH reagent and 2 drops of thiourea. After incubation at 37 °C for 3 h, the orange-red osazone crystals formed were dissolved by the addition of 7 mL of 80% sulphuric acid, and absorbance was read at 540 nm after 30 min. Vitamin C concentrations were analyzed in triplicate and calculated using a standard curve (0.1–1 mg/mL). The results were expressed in mg per 100 mL extract.
2.4. Determination of Metabolites
Total phenolics (TP), total flavonoids (TF), and anthocyanins (ACC) content were determined according to Papaioanou et al., 2017 [25].
2.5. Total Antioxidant Capacity Assays
Ferric Reducing Antioxidant Power (FRAP) assays were performed, according to Benzie and Strain [26]. 2,2′-Azino-bis(3-ethylbenzothiazoline-6-sulphonic acid (ABTS) assays were adopted from published methods [27,28]. 2,2-Diphenyl-1-picrylhydrazyl (DPPH) assays were carried out according to Molyneux, 2004 [29]. DPPH and ABTS radical scavenging activities are defined as IC50 values (the concentration of extract causing 50% inhibition of absorbance).
2.6. Enzyme Inhibition Assays
Elastase was assayed spectrophotometrically, according to Bieth et al. (1974) [30]. Tyrosinase activity was measured, as previously described by Duckworth et al. (1970) [31]. Acetylcholinesterase activity was measured by Ellman assay [32].
2.7. Assay of Protein Concentration
Protein concentration was determined by the Bradford assay using bovine serum albumin (fraction V) as standard [33].
2.8. Topical Skin Care Cream Formulation and Preliminary Stability Analysis
Cosmetic cream was formulated using 1% (w/w) of aqueous extract derived from ‘Ruvi’ cultivar grown under LL conditions on the soil/peat mixture as substrate (Table 1). The composition of the cream is shown in Supplementary Table S1. As a control, in all of the measurements, a cream without ‘Ruvi’ extract was used. The procedure for the preparation of oil/water emulsion was as follows: the oily phase (lanette N, cetyl alcohol, and sweet almond oil, Supplementary Table S1) and aqueous phase (water, glycerol, xanthan gum and sodium gluconate, Supplementary Table S1) were heated separately to 70 °C, then the oily phase was stirred into the water phase and the system was maintained under constant stirring until it cooled to 40 °C. Subsequently, Geogard (0.8% w/w) and the raspberry extract (1% w/w) was added and the emulsion was stirred. Preliminary stability analysis was carried out using temperature cycles and centrifugation. In plastic packaging, similar to packaging used for cosmetic products, about 20 g of the sample was exposed to at least five cycles of alternate temperature, i.e., 24 h at high temperatures (40 °C) and 24 h at low temperatures (4 °C). Analytical centrifugation was carried out (3000 rpm) for 60 min at room temperature (20 °C) [34,35]. The determination of pH was conducted in an aqueous dispersion of 10% (w/v), as obtained by the dispersion of 1 g of sample in freshly distilled water (9 mL), homogenized with a magnetic stirrer, and measured by a pH meter, in triplicate.
2.9. Statistical Analysis
One-way ANOVA analysis was performed for all of the test parameters and statistically significant differences were calculated. All pairwise multiple comparison (Holm-Sidak method) was performed. Means were compared with the t-test (p ≤ 0.05). The results were analyzed with SigmaPlot (Version 12). All of the analyses were performed in three replications.
3. Results and Discussion
3.1. The Effect of Cultivars, Light Intensity and Substrate on Selected Agronomic Parameters
The concentration and composition of certain chemical ingredients along with the fruit size, weight and physicochemical properties (such as sugars, aroma, soluble solids, pH, total acids) are the main characteristics that determine fruit quality [17]. These characteristics are the result of either genotype, environment, agronomic practices, or their interaction. The effect of light intensity and substrate type (soil or soil/peat mix) on Rubus idaeus L fruit yield is depicted in Figure 1a. LL conditions produced a significant increase in fruit yield in ‘Ruvi’, while HL conditions were more suitable for fruit production in ‘Cayuga’. Both of the cultivars responded better in terms of fruit production when plants were cultivated in soil. However, ‘Ruvi’ showed the greatest yield in LL and soil conditions of all of the combinations tested. These results confirm the work of previous research studies that the genotype/environment relationship is extremely important for fruit production. For example, ‘Tupy’ and ‘Xavante’ blackberry cultivars that are grown in a subtropical area produced significantly different yields [36]. In contrast, when both cultivars were evaluated in temperate regions of South America, they produced similar yields [37], suggesting that climate plays a key role in the productivity of cultivars [38]. In general, LL conditions can result in lower leaf photosynthesis and stomatal conductance, and as a consequence lead to lower fruit yield [39]. However, the light intensity required to saturate photosynthesis in raspberries is relatively low [40,41]. Therefore, the LL conditions adopted in the present study may provide the required light intensity to saturate photosynthesis in raspberries.
Figure 1.
(a): Effect of light intensity and substrate composition on fruit yield in two Rubus idaeus L. cultivars (Ruvi and Cayuga). Fruit yield was determined by weighting the fruits pooled from eight plant that were included in the experimental work (b): Correlation between the cultivar, light intensity and substrate composition on fruit area. Fruit area was calculated using Image J software (I, ‘Ruvi’ plants; II, ‘Cayuga’ plants; The symbol *** indicates p < 0.001, and the symbol ** indicates p < 0.005).
Fruit size is one of the most important characteristics that determines the economic value of raspberry. Fruit size has a direct effect on the marketability and acceptance by end users of the produce. In general, large fruits are preferred by consumers and the processing industry [38,42]. The influence of light intensity and substrate type on fruit size is illustrated in Figure 1b. The results showed that ‘Ruvi’ plants grown in HL and soil conditions and ‘Cayuga’ plants grown in LL and soil conditions produced the largest fruits (p < 0.01).
In agricultural practice, it is important to precisely establish the time and type for the installation and removal of shading nets. Time and type selection for shade netting is significant for control of fruit maturity and flower induction for the coming season. This is an important factor in achieving higher prices for late or early maturing fruit. Therefore, the influence of shading on yield has been extensively studied for several plants. For example, shading from nets covering blueberries resulted in both delayed fruit development and delayed harvest period for mature fruit. The delayed harvest period was between 5–10 days and it increased fruit weight [43]. The delay is probably due to lower photosynthetic rate, with the highest shading having the lowest values. Guerrero et al., 2002, also showed that in apples shading resulted in delayed fruit development [44]. In contrast, Pastenes et al., 2003 [45] did not report such negative effect of shading on a Chilean forest understory shrub, Ugni molinae Turcz. The same pattern was also observed in sweet pepper, tomato and strawberry where shaded plants produced reduced number of fruits [46,47,48].
The quality of the fruit depends on their physicochemical properties and chemical ingredients [46], such as the soluble solids content (SSC), which is dependent on total sugar concentration and titratable acidity (TA). Organic acids and especially malic acid and citric acid contribute to berry fruit acidity. The ratio between sugars and organic acids determines the balance between soluble solids substances and titratable acidity, which in turn influences fruit flavor and taste.
Raspberry is considered as a low energy fruit that is comprised primarily of natural carbohydrates, with the main sugar form being fructose, a feature that makes berry fruit very popular among consumers. The effect of light conditions in relation to the substrate on total sugar concentrations is shown in Figure 2a. ‘Ruvi’ plants produced fruits that contained less sugars compared to ‘Cayuga’ under all test conditions. The lowest values were obtained for ‘Ruvi’ plants grown under LL and soil conditions. No statistically significant change in sugar concentration was observed in Cayuga.

Figure 2.
The effect of cultivars, light intensity and substrate compositions on selected agronomic parameters. (a): Total sugar concentration. (b): Soluble solids concentrations (SSC%). (c): Titratable acidity (TA). The results were expressed as a percentage of tartaric acid equivalents. (d): Differences in the level of Maturity Index (MI). MI was calculated as SSC/TA ratio. The symbol ** indicates statistical significance (p < 0.005) among different groups (“a”).
Soluble solids content (SSC) demonstrated mixed results that were dependent on which of the cultivars was analyzed (Figure 2b). ‘Cayuga’ displayed higher SSC values under all of the tested conditions, when compared to ‘Ruvi’. Increased SSC is related to fruit firmness and results in fruits that are more convenient and desirable for processing. SSC in both cultivars showed higher correlation to light intensity than substrate conditions. Both of the cultivars showed decreased SSC values under LL conditions, regardless of the substrate. Our results agree with Lobos et al. 2009 [43], who reported that in blueberries the SSC decreased linearly with the degree of shading.
Total acids contribute to fruit quality [48,49]. The balance between soluble solids and titratable acidity determines the ratio between sugars and organic acids and fruit flavor [48,49,50]. As shown in Figure 2c, the TA values of ‘Cayuga’ fruits were independent of the substrate or light. In contrast, the TA values in ‘Ruvi’ fruits were influenced by the substrate and increased when plants were cultivated in soil/peat. Our results showed that genotype is the dominant factor in fruit acidity. However, light and substrate contribute to the modulation of this response. The effects of agro-environmental factors, such as water supply, mineral nutrition, light, and temperature, on citric and malic acid accumulation in fruit cells were recently reviewed by [51].
The maturity index (MI) was also influenced by the genotype and culture conditions. The highest values were obtained for plants grown in soil, as shown in Figure 2d. Light intensity influenced MI values in close dependence to cultivar. ‘Ruvi’ showed higher values when plants were exposed to LL, while in ‘Cayuga’ high values were obtained for plants grown under HL. Altogether, the results suggest that ‘Cayuga’ plants produce higher quality fruits more efficient than ‘Ruvi’ plants when they are exposed to full sunlight. Lewers et al. (2010) [52] reported that the optimal flavor is obtained in fruits with a MI of approximately 10. The sum of these observations indicates that the ‘Cayuga’ cultivar is suitable for a variety of uses, such as the production of fresh fruits and processed products. Therefore, HL conditions appear to produce fruits with flavor and taste that is suitable for consumption.
3.2. The Effect of Cultivars, Light Intensity and Substrate Compositions on Selected Secondary Metabolites
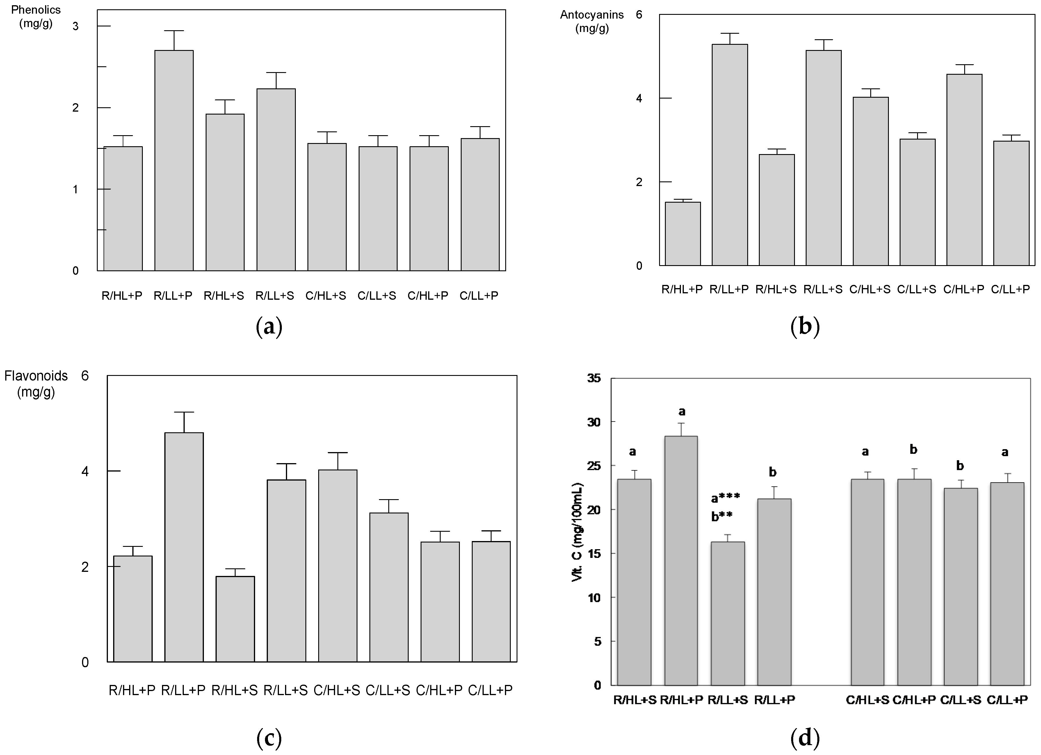
Polyphenols, including anthocyanins and flavonoids, and Vit C play a central protective role in plant adaptation to the environment and contribute to fruit quality [53,54,55]. From biotechnological perspectives, polyphenols can be used as a source for developing cosmeceuticals and nutraceuticals products [7]. As illustrated in Figure 3, complex interactions were observed between genotype, light intensity, substrate type, and secondary metabolism in both raspberry cultivars. The results showed that the concentration of total phenolics in the ‘Ruvi’ cultivar varied the most with the highest values being obtained in LL conditions (Figure 3a). Total phenolics remained constant under all light and substrate conditions in the ‘Cayuga’ cultivar. Total anthocyanins and flavonoids followed a similar pattern in the ‘Ruvi’ cultivar (Figure 3b,c). In contrast, ‘Cayuga’ exhibited higher values of total anthocyanins and flavonoids under HL conditions. These contradictory results suggest that there are differences in the biological mechanisms that are responsible for the regulation of secondary metabolites in the respective cultivars.
Figure 3.
Selected secondary metabolites of Rubus idaeus L., fruits extract from two cultivars (‘Ruvi’ and ‘Cayuga’) growing under different light conditions and substrate composition. (a): total phenolics (expressed in mg of gallic acid equivalents/g lyophilized tissue); (b): total anthocyanins (expressed in mg of cyanidine-3-glucoside/g lyophilized tissue); (c): total flavonoids (expressed in mg quercetin equivalents/g lyophilized tissue); (d): Vit C concentration in mg/100 mL fruit extract. *** = p < 0.001; ** = p < 0.005; “a” and “b” represent the categories compared.
It is well known that Vit C has health and wellness attributes that make berry fruit very popular among consumers. Figure 3d illustrates the influence of light conditions and substrate on Vit C concentration. The concentration of Vit C in ‘Ruvi’ cultivar was affected by both substrate and light conditions. Specifically, LL conditions decreased the Vit C concentration as compared to HL. The soil/peat mix substrate enhanced Vit C concentration, as compared to soil substrate, irrespective of the light intensity. In ‘Cayuga’ cultivar, the Vit C concentration was not influenced by light or substrate conditions.
The amounts of secondary metabolites are affected by various factors the cause stress, such as environmental factors, light, and temperature. Extensive studies have been carried out and demonstrated that berries adapt to light by altering the expression of an array of both early and late biosynthetic genes in berry skin, which leads in the increased content of polyphenols, anthocyanins, and flavonoids [4,18,56]. Stress conditions can also upregulate the biosynthesis of antioxidant compounds, and therefore to enhance the total antioxidant capacity, creating an efficient ROS-scavenging system in raspberry fruits that are exposed to prolonged stress conditions. Presumably, the accumulation of secondary metabolites and antioxidants under LL conditions may be associated a stress-like unfavorable conditions, and, hence, biosynthesis of secondary metabolites appear to be related to ‘tolerance’ to unfavorable solar intensity in the species examined.
3.3. The Effect of Cultivars, Light Intensity and Substrate Compositions on Antioxidant Capacity
Total Antioxidant Capacity (TAC) is a parameter used to assess the antioxidant ability of a specific compound or mixture of compounds [57,58,59,60,61]. TAC was measured by three complementary assays: the 2,2-azinobis-(3-ethyl-benzothiazoline-6-sulfonic acid) (ABTS), the 2,2-diphenyl-1-picrylhydrazyl (DPPH), and the ferric reducing antioxidant power (FRAP) assay. As shown in Figure 4, the extracts from different cultivars and conditions exhibited large differences in TAC. These variations indicate that the TAC in each cultivar is regulated by different antioxidant compounds and mechanisms. For example, comparing the results depicted in Figure 4 one can see that ‘Ruvi’ displayed slightly higher antioxidant capacity than ‘Cayuga’ and both of the cultivars exhibited higher FRAP, DPPH, and ABTS activity when grown in soil/peat.
Figure 4.
Total antioxidant capacity (TAC) of Rubus idaeus L. fruits extract from two cultivars (‘Ruvi’ and ‘Cayuga’) growing under different light conditions and substrate composition. TAC was measured by the FRAP (expressed in μM ascorbic acid/g lyophilized tissue) (a), DPPH (b) and ABTS (c) methods.
3.4. The Effect of Cultivars, Light Intensity and Substrate Compositions on Elastase, Tyrosinase and Acetylcholinesterase Inhibition
Compounds that display inhibitory activity towards skin-regulating enzymes, such as elastase and tyrosinase, are widely used in dermatological treatments and cosmetics as antiwrinkle and skin-whitening agents [62,63,64,65,66]. In this context, we tested the inhibitory potential of fruit extracts on elastase and tyrosinase activities. As shown in Figure 5a,b, fruit extracts from ‘Cayuga’ exerted low inhibition potency towards tyrosinase whereas those obtained from ‘Ruvi’ plants cultivated under LL conditions displayed maximal inhibitory capacity towards tyrosinase, as well as elastase. These effects of ‘Ruvi’ fruit extracts were observed regardless of the substrate used for plant culture (Figure 5B). In Figure 5c,d, are shown the dose-response curves that were used for examining the inhibition effect of the extract and for measuring the IC50 values (e.g., the concentration needed to inhibit half of the maximum enzyme activity). The assessment of concentration-dependent inhibition of tyrosinase and elastase activities by this extract showed that the IC50 values were 0.62 ± 0.03 mg and 0.057 ± 0.009 mg, respectively (Figure 5c,d).
Figure 5.
Tyrosinase (a) and elastase (b) inhibition of Rubus idaeus L. fruits extract from two cultivars (‘Ruvi’ and ‘Cayuga’) growing under different light conditions and substrate composition. Dose-response effect of R/LL + P extract on tyrosinase (c) and elastase (d) activity.
The enzyme acetylcholinesterase is involved in numerous cholinergic pathways in the central and peripheral nervous systems [32,67]. To detect any potential neurotoxic effect, the extracts were tested for their ability to inhibit this enzyme. The results showed that the extracts had no anti-acetylcholinesterase effect. The enzyme was completely resistant to the treatment (Supplementary Table S2), regardless of the substrate or light conditions that were applied during the plant growth cycle.
3.5. Formulation of a Topical Skin Care Cream and Preliminary Stability Evaluation
The extract derived from ‘Ruvi’ fruits cultivated under LL conditions in soil/peat displayed high antioxidant capacity, high concentration of phenolics, flavonoids, anthocyanins, and significant inhibitory potency towards the enzymes tyrosinase and elastase. This extract was used for the preparation and evaluation of a topical skin care cream versus a placebo control cream (Table S1). Several cosmetic formulas are available in market, such as emulsions, suspensions, and gels. Emulsion systems, including lotions and creams, attract significant attention for skin care products. For such products, the o/w emulsion is much popular due to its washable and non-greasy properties. In addition, after applying to the skin, water evaporates and therefore the concentration of the water-soluble bioactive compounds is increased in the adhering film. This enhances and promotes the absorption of such bioactive compounds to the skin [68]. Cream containing 1% (w/v) ‘Ruvi’ extract in the internal phase of w/o emulsion was prepared. Preliminary stability analysis was carried out to evaluate the stability of the cream (Figure 6). After five cycles of freeze-thaw (24 h in freezer, 4 °C, and 24 h in incubator, 40 °C), the appearance of the cream was evaluated. A centrifugation test was also performed as a preliminary evaluation of the stability. Both ‘Ruvi’ cream and the placebo cream showed no alteration in relation to their original appearance (odor, color, phase separation, destabilization emulsion effect). These results suggest that the formulation conditions were properly established. The measurement of pH is an important indicator of topical preparation stability especially in the case of creams. The average pH of human skin ranges from 5.5 to 6, and hence the pH of topical preparations must be in accordance with skin pH. The analysis of pH (Figure 6) showed that both creams maintained almost constant pH values through the test cycles. The maintenance of the pH in both formulations indicates that the products were stable and that no chemical changes occurred during storage.
Figure 6.
Skin care cream preliminary stability analysis at 4 °C, 25 °C, 40 °C, and after five temperature rotations: 24 h at 4 °C, and 24 h at 40 °C). (a): pH stability of the cream base (placebo). (b): pH stability of the cream loaded with R/LL + P extract.
4. Conclusions
In the present work, a multidisciplinary study was carried out to investigate the entire cycle of Rubus idaeus, L. from plant to products with application to end consumers. The key experimental results of our study are summarized in Figure 7. The differences in physical and chemical/bioactive characteristics between ‘Ruvi’ and ‘Cayuga’ are related to genotype and environmental factors, such as soil and light conditions. This complex interaction between genotype, light intensity, and substrate influences secondary metabolism, and determines the nutraceutical and cosmeceutical potential of the raspberry. In general, ‘Ruvi’ provided better agronomical and bioactive characteristics when compared to ‘Cayuga’. ‘Ruvi’ plants cultivated under LL conditions in soil/peat mixture produced the best results measured by yield and fruit quality (Figure 7). The ideal conditions produced fruits with increased bioactive properties (high antioxidant capacity, phenolics, flavonoids, anthocyanins, and high inhibitory potency towards the enzymes tyrosinase and elastase) and yield.
Figure 7.
Summary of the key experimental results. Red colored cells represent the conditions with the highest measured value. Abbreviations: ABTS: 2,2′-azino-bis-3-ethylbenzthiazoline-6-sulphonic acid free radical scavenging method; ACNS: Anthocyanins; DPPH: α,α-diphenyl-β-picrylhydrazyl free radical scavenging method; El: Elastase; FRAP: ferric reducing ability of plasma; % I: % Inhibition; MI: maturity index (ratio of total soluble solids/titratable acidity, SSC/TA); S: Soil; P: Soil/peat mixture; SSC: soluble solids concentration; TA: titratable acidity; TP: Total phenolics; TF: Total flavonoids; TYR: tyrosinase.
Because nutraceuticals and cosmeceuticals are major categories in the health and wellness industry, it is important to establish the most appropriate agronomical practices to increase yield and content to support the manufacture of innovative new bioactive products for the health and wellness industry.
Supplementary Materials
The following are available online at www.mdpi.com/link, Table S1: Composition of the water and oil phases used for the preparation of cosmetic cream formulation; Table S2: The effect of red raspberry cultivars, light intensity and substrate on acetylcholinesterase inhibition.
Acknowledgments
This work was partially supported by the EU funding grant POSCCE-A2-O2.1.2-2009-2, I.D. 524, SMIS-CSNR 11986, Contract no. 151/2010.
Author Contributions
Nikolaos E. Labrou and Liliana Sfichi-Duke conceived and designed the experiments; Maria Papaioanou, Evangelia G. Chronopoulou, Gheorghii Ciobotari, Rodica C. Efrose., Marianna Chatzikonstantinou, Evangelia Pappa performed the experiments; Ioannis Ganopoulos, Panagiotis Madesis, Irini Nianiou-Obeidat, Evangelia G. Chronopoulou, Liliana Sfichi-Duke, Taofen Zeng, Nikolaos E. Labrou analyzed the data; Nikolaos E. Labrou, Liliana Sfichi-Duke, Ioannis Ganopoulos, Panagiotis Madesis, Evangelia G. Chronopoulou wrote the paper.
Conflicts of Interest
The authors declare that they have no conflicts of interest with the content of this article.
Abbreviations
| ACC | Anthocyanins content |
| ABTS | 2,2′-azino-bis-3-ethylbenzthiazoline-6-sulphonic acid free radical scavenging method |
| ACNS | Anthocyanins |
| DPPH | α,α-diphenyl-β-picrylhydrazyl free radical scavenging method |
| DW | Dry weight |
| El | Elastase |
| FRAP | Ferric reducing ability of plasma |
| GAE | Gallic acid equivalents |
| HL | High light |
| % I | % Inhibition |
| LL | Low light |
| MI | Maturity index (ratio of total soluble solids/titratable acidity, SSC/TA) |
| S | Soil |
| P | Soil/peat mixture |
| SSC | Soluble solids content |
| TA | Titratable acidity |
| TAC | Total antioxidant capacity |
| TP | Total phenolics |
| TF | Total flavonoids |
| TYR | Tyrosinase |
References
- Kapsak, W.R.; Rahavi, E.B.; Childs, N.M.; White, C. Functional foods: Consumer attitudes, perceptions, and behaviors in a growing market. J. Am. Diet. Assoc. 2011, 111, 804–810. [Google Scholar] [CrossRef] [PubMed]
- Burton-Freeman, B.M.; Sandhu, A.K.; Edirisinghe, I. Red Raspberries and Their Bioactive Polyphenols: Cardiometabolic and Neuronal Health Links. Adv. Nutr. 2016, 7, 44–65. [Google Scholar] [CrossRef] [PubMed]
- Skrovankova, S.; Sumczynski, D.; Mlcek, J.; Jurikova, T.; Sochor, J. Bioactive Compounds and Antioxidant Activity in Different Types of Berries. Int. J. Mol. Sci. 2015, 16, 24673–24706. [Google Scholar] [CrossRef] [PubMed]
- Manganaris, G.A.; Goulas, V.; Vicente, A.R.; Terry, L.A. Berry antioxidants: Small fruits providing large benefits. J. Sci. Food Agric. 2014, 94, 825–833. [Google Scholar] [CrossRef] [PubMed]
- Antonopoulou, I.; Varriale, S.; Topakas, E.; Rova, U.; Christakopoulos, P.; Faraco, V. Enzymatic synthesis of bioactive compounds with high potential for cosmeceutical application. Appl. Microbiol. Biotechnol. 2016, 100, 6519–6543. [Google Scholar] [CrossRef] [PubMed]
- Lee, C.M. Fifty years of research and development of cosmeceuticals: A contemporary review. J. Cosmet. Dermatol. 2016, 5, 527–539. [Google Scholar] [CrossRef] [PubMed]
- Valls, J.; Millán, S.; Martí, M.P.; Borràs, E.; Arola, L. Advanced separation methods of food anthocyanins, isoflavones and flavanols. J. Chromatogr. A 2009, 1216, 7143–7172. [Google Scholar] [CrossRef] [PubMed]
- Beattie, J.; Crozier, A.; Duthie, G.G. Potential health benefits of berries. Curr. Nutr. Food Sci. 2005, 1, 77–86. [Google Scholar] [CrossRef]
- Rao, A.V.; Snyder, D.M. Raspberries and human health: A review. J. Agric. Food Chem. 2010, 58, 3871–3883. [Google Scholar] [CrossRef] [PubMed]
- Kafkas, E.; Özgen, M.; Özoğul, Y.; Türemiş, N. Phytochemical and fatty acid profile of selected red raspberry cultivars: A comparative study. J. Fruit Qual. 2008, 31, 67–78. [Google Scholar] [CrossRef]
- Kahkonen, M.P.; Hopia, A.I.; Heinonen, M. Berry phenolics and their antioxidant activity. J. Agric. Food Chem. 2001, 49, 4076–4082. [Google Scholar] [CrossRef] [PubMed]
- Juranic, Z.; Zizak, Z. Biological activities of berries: From antioxidant capacity to anti-cancer effects. Biofactors 2005, 23, 207–211. [Google Scholar] [CrossRef] [PubMed]
- Zafra-Stone, S.; Yasmin, T.; Bagchi, M.; Chatterjee, A.; Vinson, J.A.; Bagchi, D. Berry anthocyanins as novel antioxidants in human health and disease prevention. Mol. Nutr. Food Res. 2007, 51, 675–683. [Google Scholar] [CrossRef] [PubMed]
- Maro, L.A.C.; Pio, R.; Guedes, M.N.S.; Patto de Abreu, C.M.; Curi, P.N. Bioactive compounds, antioxidant activity and mineral composition of fruits of raspberry cultivars grown in subtropical areas in Brazil. Fruits 2013, 68, 209–217. [Google Scholar] [CrossRef]
- Corradini, E.; Foglia, P.; Giansanti, P.; Gubbiotti, R.; Samperi, R.; Lagana, A. Flavonoids: Chemical properties and analytical methodologies of identification and quantitation in foods and plants. Nat. Prod. Res. 2011, 25, 469–495. [Google Scholar] [CrossRef] [PubMed]
- Puupponen-Pimia, R.; Nohynek, L.; Meier, C.; Kähkönen, M.; Heinonen, M.; Hopia, A.; Oksman-Caldentey, K.M. Antimicrobial properties of phenolic compounds from berries. J. Appl. Microbiol. 2001, 90, 494–507. [Google Scholar] [CrossRef] [PubMed]
- Zia-Ul-Haq, M.; Riaz, M.; De Feo, V.; Jaafar, H.Z.; Moga, M. Rubus fruticosus L.: Constituents, biological activities and health related uses. Molecules 2014, 19, 10998–11029. [Google Scholar] [CrossRef] [PubMed]
- Anttonen, M.J.; Karjalainen, R.O. Environmental and genetic variation of phenolic compounds in red raspberry. J. Food Compos. Anal. 2005, 18, 759–769. [Google Scholar] [CrossRef]
- Connor, A.M.; Stephens, M.J.; Hall, H.K.; Alspach, P.A. Variation and heritabilities of antioxidant activity and total phenolic content estimated from a red raspberry factorial experiment. J. Am. Soc. Hortc. Sci. 2005, 130, 403–411. [Google Scholar]
- Heim, K.E.; Tagliaferro, A.R.; Bobilya, D.J. Flavonoid antioxidants: Chemistry, metabolism and structure-activity relationships. J. Nutr. Biochem. 2002, 13, 572–584. [Google Scholar] [CrossRef]
- Huda-Faujan, N.; Noriham, A.; Norrakiah, A.S.; Babji, A.S. Antioxidant activity of plants methanolic extracts containing phenolic compounds. Afr. J. Biotechnol. 2009, 8, 484–489. [Google Scholar]
- Sønste, A.; Opstada, N.; Myrheim, U.; Heideb, O.M. Interaction of short day and timing of nitrogen fertilization on growth and flowering of ‘Korona’ strawberry (Fragaria × ananassa Duch.). Sci. Hortic. 2009, 123, 204–209. [Google Scholar] [CrossRef]
- Garner, D.; Crisosto, C.H.; Wiley, P.; Crisosto, G.M. Measurement of Soluble Solids Content. Measurement of pH and Titratable Acidity. Cent. Valley Postharvest Newslett. 2008, 17, 2–4. [Google Scholar]
- Sadasivam, S.; Manickam, A. Vitamins. In Biochemical Methods, 2nd ed.; Sadasivam, S., Manickam, A., Eds.; New Age International (P) Ltd.: New Delhi, India, 1997; pp. 185–186. [Google Scholar]
- Papaioanou, M.; Chronopoulou, E.; Ciobotari, G.; Efrose, R.C.; Sfichi-Duke, L.; Chatzikonstantinou, M.; Ganopoulos, I.; Madesis, P.; Nianiou-Obeidat, I.; Labrou, N.E. Evaluation of the nutraceutical and cosmeceutical potential of two cultivars of Rubus fruticosus L. under different cultivation conditions. Curr. Pharm. Biotechnol. 2017, 18, 890–899. [Google Scholar] [CrossRef] [PubMed]
- Benzie, I.F.; Strain, J.J. The ferric reducing ability of plasma (FRAP) as a measure of “antioxidant power”: The FRAP assay. Anal. Biochem. 1996, 239, 70–76. [Google Scholar] [CrossRef] [PubMed]
- Li, P.; Huo, L.; Su, W.; Lu, R.; Deng, C.; Liu, L.; Deng, Y.; Guo, N.; Lu, C.; He, C. Free radical-scavenging capacity, antioxidant activity and phenolic content of Pouzolzia zeylanica. J. Serb. Chem. Soc. 2011, 76, 709–717. [Google Scholar] [CrossRef]
- Pellegrini, N.; Serafini, M.; Colombi, B.; Del Rio, D.; Salvatore, S.; Bianchi, M.; Brighenti, F. Total Antioxidant Capacity of Plant Foods, Beverages and Oils Consumed in Italy Assessed by Three Different In Vitro Assays. J. Nutr. 2003, 133, 2812–2819. [Google Scholar] [CrossRef] [PubMed]
- Molyneux, P. The use of the stable free radical diphenylpicrylhydrazyl (DPPH) for estimating antioxidant activity. Songklanakarin J. Sci. Technol. 2004, 26, 211–219. [Google Scholar]
- Bieth, J.; Spiess, B.; Wermuth, C.G. The synthesis and analytical use of a highly sensitive and convenient substrate of elastase. Biochem. Med. 1974, 11, 350–357. [Google Scholar] [CrossRef]
- Duckworth, H.W.; Coleman, J.E. Physicochemical and kinetic properties of mushroom tyrosinase. J. Biol. Chem. 1970, 245, 1613–1625. [Google Scholar] [PubMed]
- Worek, F.; Eyer, P.; Thiermann, H. Determination of acetylcholinesterase activity by the Ellman assay: A versatile tool for in vitro research on medical countermeasures against organophosphate poisoning. Drug Test Anal. 2012, 4, 282–291. [Google Scholar] [CrossRef] [PubMed]
- Bradford, M. A rapid and sensitive method for the detection of microgram quantities of proteins utilizing the principle of protein-dye binding. Anal. Biochem. 1976, 72, 248–254. [Google Scholar] [CrossRef]
- Rieger, M.M. Stability testing of Macroemulsions. Cosmet. Toilet. 1991, 106, 60–69. [Google Scholar]
- Morais, J.M.; Santos, O.D.H.; Delicato, H.; Goncalves, T.; Azzini, R.; Rocha-Filcho, P.A. Physicochemical characterization of canola oil/water nanoemulsions obtained by determination of required HBL number and emusion phase inversion methods. J. Dispers. Sci. Technol. 2006, 27, 109–115. [Google Scholar] [CrossRef]
- Hussain, I.; Roberto, S.R.; Koyama, R.; Marinho de Assis, A.; Colombo, R.C.; Batista Fonseca, I.C.; Correa Antunes, L.E. Performance of ‘Tupy’ and ‘Xavante’ blackberries under subtropical conditions. Fruits 2017, 72, 166–173. [Google Scholar] [CrossRef]
- Antunes, L.E.C.; Gonçalves, E.D.; Trevisan, R. Phenology and production of blackberry cultivars in agroecological system. Ciência Rural 2010, 40, 1929–1933. [Google Scholar] [CrossRef]
- Clark, J.R.; Finn, C.E. Blackberry breeding and genetics. In Methods in Temperate Fruit Breeding. Fruit, Vegetable, and Cereal Science and Biotechnology; Flachowsky, H., Hanke, V.M., Eds.; Global Science Books Ltd.: London, UK, 2011; Volume 5, pp. 27–43. [Google Scholar]
- Wright, C.J.; Waister, P.D. Light interception and fruiting cane architecture in the red raspberry grown under annual and biennial management systems. J. Hortc. Sci. 1984, 59, 395–402. [Google Scholar] [CrossRef]
- Pritts, M.P.; Brennan, R.M.; Gordon, S.L.; Williamson, B. From plant to plate: How can we redesign Rubus production systems to meet future expectations? Acta Hortc. 2002, 585, 537–543. [Google Scholar] [CrossRef]
- Fernandez, G.E.; Ballington, J.R. Performance of primocane-fruiting experimental blackberry cultivars in the Southern Appalachian Mountains. HortTechnology 2010, 20, 996–1000. [Google Scholar]
- Lobos, G.A.; Retamales, J.B.; del Pozo, A.; Hancock, J.F.; Flore, J.A. Physiological response of Vaccinium corymbosum “Elliott” to shading nets in Michigan. Acta Hortic. 2009, 810, 465–470. [Google Scholar] [CrossRef]
- Guerrero, V.M.; Orozco, J.A.; Romo, A.; Gardea, A.A.; Molina, F.J.; Sastre, B.; Martinez, J.J. The effect of hail nets and Ethephon on color development of ‘Red Chief Delicious’ apple fruit in the highlands of Chihuahua, Mexico. J. Am. Pomol. Soc. 2002, 56, 132–135. [Google Scholar]
- Pastenes, C.; Santa-Marία, E.; Infante, R.; Franck, N. Domestication of the Chilean guava (Ugni molinae Turcz.), a forest understory shrub, must consider light intensity. Sci. Hortic. 2003, 98, 71–84. [Google Scholar] [CrossRef]
- Gent, M.P.N. Effect of Degree and Duration of Shade on Quality of Greenhouse Tomato. HortScience 2007, 42, 514–520. [Google Scholar]
- Awang, Y.B.; Atherton, J.G. Salinity and Shading Effects on Leaf Water Relations and Ionic Composition of Strawberry Plants Grown on Rockwool. J. Hortic. Sci. 1994, 69, 377–383. [Google Scholar] [CrossRef]
- Mikulic-Petkovsek, M.; Schmitzer, V.; Slatnar, A.; Stampar, F.; Veberic, R. Composition of sugars, organic acids, and total phenolics in 25 wild or cultivated berry species. J. Food Sci. 2012, 77, C1064–C1070. [Google Scholar] [CrossRef] [PubMed]
- Mikulic-Petkovsek, M.; Rescic, J.; Schmitzer, V.; Stampar, F.; Slatnar, A.; Koron, D.; Veberic, R. Changes in fruit quality parameters of four Ribes species during ripening. Food Chem. 2015, 173, 363–374. [Google Scholar] [CrossRef] [PubMed]
- Etienne, A.; Génard, M.; Lobit, P.; Mbeguié-A-Mbéguié, D.; Bugaud, C. What controls fleshy fruit acidity? A review of malate and citrate accumulation in fruit cells. J. Exp. Bot. 2013, 64, 1451–1469. [Google Scholar] [CrossRef] [PubMed]
- Zorenc, Z.; Veberic, R.; Koron, D.; Mikulic-Petkovsek, M. Impact of Raspberry (Rubus idaeus L.) Primocane Tipping on Fruit Yield and Quality. Not. Bot. Horti Agrobot Cluj-Napoca 2017, 45, 417–424. [Google Scholar] [CrossRef]
- Lewers, K.S.; Wang, S.Y.; Vinyard, B.T. Evaluation of blackberry cultivars and breeding selections for fruit quality traits and flowering and fruiting dates. Crop Sci. 2010, 50, 2475–2491. [Google Scholar] [CrossRef]
- Petrussa, E.; Braidot, E.; Zancani, M.; Peresson, C.; Bertolini, A.; Patui, S.; Vianello, A. Plant Flavonoids—Biosynthesis, Transport and Involvement in Stress Responses. Int. J. Mol. Sci. 2013, 14, 14950–14973. [Google Scholar] [CrossRef] [PubMed]
- Falcone Ferreyra, M.L.; Rius, S.P.; Casati, P. Flavonoids: Biosynthesis, biological functions, and biotechnological applications. Front. Plant Sci. 2012, 3, 222. [Google Scholar] [CrossRef] [PubMed]
- Bartosz, G. Non-enzymatic antioxidant capacity assays: Limitations of use in biomedicine. Free Radic. Res. 2010, 44, 711–720. [Google Scholar] [CrossRef] [PubMed]
- Veberic, R.; Slatnar, A.; Bizjak, J.; Stampar, F.; Mikulic-Petkovsek, M. Anthocyanin composition of different wild and cultivated berry species. LWT Food Sci. Technol. 2015, 60, 509–517. [Google Scholar] [CrossRef]
- Wang, S.Y.; Chen, C.-T.; Wang, C.Y. The influence of light and maturity on fruit quality and flavonoid content of red raspberries. Food Chem. 2009, 112, 676–684. [Google Scholar] [CrossRef]
- Beretta, G.; Facino, R.M. Recent advances in the assessment of the antioxidant capacity of pharmaceutical drugs: From in vitro to in vivo evidence. Anal. Bioanal. Chem. 2010, 398, 67–75. [Google Scholar] [CrossRef] [PubMed]
- Choochote, W.; Suklampoo, L.; Ochaikul, D. Evaluation of antioxidant capacities of green microalgae. J. Appl. Phycol. 2014, 26, 43–48. [Google Scholar] [CrossRef]
- Leong, L.P.; Shui, G. An investigation of antioxidant capacity of fruits in Singapore markets. Food Chem. 2002, 76, 69–75. [Google Scholar] [CrossRef]
- Rice-Evans, C.; Miller, N.; Paganga, G. Antioxidant properties of phenolic compounds. Trends Plant Sci. 1997, 2, 152–159. [Google Scholar] [CrossRef]
- Brand-Williams, W.; Cuvelier, M.E.; Berset, C. Use of a free radical method to evaluate antioxidant activity. Lebensm. Wiss. Technol. 1995, 28, 25–30. [Google Scholar] [CrossRef]
- Kim, Y.J.; Uyama, H. Tyrosinase inhibitors from natural and synthetic sources: Structure, inhibition mechanism and perspective for the future. Cell. Mol. Life Sci. 2005, 62, 1707–1723. [Google Scholar] [CrossRef] [PubMed]
- Kamagaju, L.; Morandini, R.; Bizuru, E.; Nyetera, P.; Nduwayezu, J.B.; Stevigny, C.; Ghanem, G.; Duez, P. Tyrosinase modulation by five Rwandese herbal medicines traditionally used for skin treatment. J. Ethnopharmacol. 2013, 146, 824–834. [Google Scholar] [CrossRef] [PubMed]
- Kim, A.J.; Choi, J.N.; Kim, J.; Yeo, S.H.; Choi, J.H.; Lee, C.H. Metabolomics-Based Optimal Koji Fermentation for Tyrosinase Inhibition Supplemented with Astragalus Radix. Biosci. Biotechnol. Biochem. 2012, 76, 863–869. [Google Scholar] [CrossRef] [PubMed]
- Lee, K.K.; Kim, J.H.; Cho, J.J.; Choi, J.D. Inhibitory effect of 150 plant extracts on elastase activity and their anti-in ammatory effects. Int. J. Cosmet. Sci. 1999, 21, 71–82. [Google Scholar] [CrossRef] [PubMed]
- Thring, T.S.A.; Hili, P.; Naughton, D.P. Anti-collagenase, anti-elastase and anti-oxidant activities of extracts from 21 plants. BMC Complement. Altern. Med. 2009, 9, 27. [Google Scholar] [CrossRef]
- Čolović, M.; Krstić, D.Z.; Lazarević-Pašti, T.D.; Bondžić, A.M.; Vasić, V. Acetylcholinesterase Inhibitors: Pharmacology and Toxicology. Curr. Neuropharmacol. 2013, 11, 315–335. [Google Scholar] [CrossRef] [PubMed]
- Riefenrath, W.G.; Hawkins, G.S.; Kurtz, M.S. Percutaneous penetration and skin retention of topically applied compounds: An in vitro/in vivo study. J. Pharm. Pharm. Sci. 1991, 80, 526–532. [Google Scholar] [CrossRef]
© 2018 by the authors. Licensee MDPI, Basel, Switzerland. This article is an open access article distributed under the terms and conditions of the Creative Commons Attribution (CC BY) license (http://creativecommons.org/licenses/by/4.0/).







