Next Article in Journal
An Interfacial Study of Sucrose Ester-Stabilized Water-Free Foams
Next Article in Special Issue
Correction: Su, E.; Herman, S. Beyond Sulfate-Free Personal Cleansing Technology. Cosmetics 2025, 12, 14
Previous Article in Journal
A Case Series Report on Superficial Application of Polydensified Cohesive Matrix Hyaluronic Acid Through Biopsies
Previous Article in Special Issue
Examining How Diet and Lifestyle Influence Skin Appearance through a Common Risk Factor: Excess Iron—A Comprehensive Review
 
 
Correction published on 13 March 2025, see Cosmetics 2025, 12(2), 49.
Font Type:
Arial Georgia Verdana
Font Size:
Aa Aa Aa
Line Spacing:
Column Width:
Background:
Review

Beyond Sulfate-Free Personal Cleansing Technology

1
Sino Lion USA, Florham Park, NJ 07932, USA
2
James L. Winkle College of Pharmacy, Pharmaceutical/Cosmetic Sciences, University of Cincinnati, Uptown Campus, Cincinnati, OH 45221, USA
*
Author to whom correspondence should be addressed.
Cosmetics 2025, 12(1), 14; https://doi.org/10.3390/cosmetics12010014
Submission received: 19 September 2024 / Revised: 18 December 2024 / Accepted: 6 January 2025 / Published: 21 January 2025 / Corrected: 13 March 2025

Abstract

There is a strong global demand for sulfate-free personal cleansing products. The objective of sulfate-free personal cleansing technology should not be aimed solely at the absence of “sulfate” wording in the list of ingredients, but on the true benefits both in personal use and in environmental effects. These include but are not limited to safety, mildness, and sensory effect for the individual and renewability, low carbon footprint, low water footprint, biodegradability, and sustainability for the environment. In addition, some surfactants or their precursors contain 1,4-dioxane as a by-product of their manufacturing, which is a major safety concern. This paper will deal with sulfate-free cleansing in two parts. Part I will examine the issues surrounding sulfates. Part II will show the benefits of amino acid-based surfactants for cleansing products, and specifically show why glutamates and alaninates are the best choices for safer and more efficacious cleansing. Several metrics will be included to support these conclusions.

1. Introduction

The modern consumer of personal care products naturally wants formulations that are safe and effective. Increasing numbers of consumers also want “free” products—paraben-free, phthalate-free, fragrance-free, and sulfate-free being common desires. There is also a demand for specific certifications like COSMOS or for less official claims like “clean beauty”. There is increased awareness of “greenwashing”, claims that are not backed by science. Consumers may also be looking backward to sourcing and manufacturing methods, wanting to know exactly how raw materials are made and how sustainable they are. Green chemistry [1,2], sustainability [3,4], biotechnology, and upcycling have become key components of ingredient production. An important raw material, palm oil, is of high concern and is monitored by the RSPO (Roundtable for Sustainable Palm Oil). Cleansing products comprise a sizable percentage of the personal care products purchased, making the need for effective sulfate-free formulations a top priority for brands wishing to occupy a strong position in this demanding market. The successful raw materials of the future will consider sustainable sourcing, green chemistry, and biotechnology, with fermentation and upcycling as important emerging trends. The natural origin index (NOI) is a useful measurable for the sourcing of materials such as surfactants to quantify the naturality or how natural is natural. Biodegradability is also a critically desired feature, and a cradle-to-grave analysis can quantitatively determine just how effectively these considerations will improve our stewardship of the planet. The quest for better cleansing products thus promises a greener Earth for future generations.
Ananthapadmanabhan [5] has written a useful review of the basic aspects of skin cleansing. Lukic et al. [6] also provided an overview of novel surfactants for formulation of cosmetics with an emphasis on amino acids. Schoenberg [7] looked at several options for sulfate-free cleansers. Sulfate-free surfactants are a vital part of the sulfate-free trend in personal cleansing products, and amino-acid based surfactants are the most important of the sulfate-free surfactants meeting the desirable attributes of both individuals and the environment.
Of the possible amino acid-based surfactants, glutamates for skin cleansing and alaninates for hair cleansing are the best alternatives both for performance and commercial viability.

2. What Are Sulfates?

First it is necessary to understand what sulfates are, why they are so widely used, and what problems are associated with them. By far the most common sulfates are sodium lauryl sulfate (SLS), shown in Figure 1, and sodium laureth sulfate (SLES), most commonly the 2 mole ethoxylate shown in Figure 2. Sodium laureth sulfate is the most widely used and most problematic due to the adverse consequences of ethoxylation. Combinations of SLS and SLES are typically used to create a desired quality of foam and detergency.
Sulfates are economical, perform well as cleansers, produce copious foam, and are easy to thicken with salt. These characteristics have made them, especially SLS (sodium lauryl sulfate) and SLES (sodium lauryl ether sulfate), the work horses of personal cleansing. However, SLES is much more widely used than SLS in personal care due to its lower irritation, and thus “sulfates” refers to SLES hereafter.

3. Issues with Sulfate Irritation and Skin Residue

Sulfates have several disadvantages that make finding alternatives imperative. During personal use, sulfates can excessively strip oil from the skin, scalp, and hair, breaking barrier integrity and increasing trans-epidermal water loss (TEWL). They can irritate the eyes, skin, and scalp. There is strong evidence that sulfates leave behind undesirable residues and cause skin adsorption with accumulative adverse effects such as severe irritation, itchiness, and inflammation because of sulfate absorption and accumulation. Irritation from sodium lauryl sulfate has been studied by Löffler and Happle [8] and Aramaki et al. [9], among many others. In addition, sulfates weaken the hair follicles and hair strands, making hair brittle and prone to breakage. Several papers deal with the problems of surfactants and the skin such as Ananthapadmanabhan, K. P. et al. [10], and Morris, S. A. et al. [11].

4. 1,4-Dioxane

SLES may be contaminated with a substance called 1,4-dioxane, which is known to cause cancer in laboratory animals. Bettenhausen [12] shows how this contamination occurs during the manufacturing process, as shown in Figure 3:
1,4-dioxane is subject to the New York State Dioxane Prohibition Bill [13]. 1,4-dioxane is not only a byproduct of the synthesis of the ethoxylation and sulfation processes, but ethylene oxide itself can dimerize to form 1,4-dioxane (Figure 3). It is worth noting that the sulfation process involved in SLES manufacturing generates over 50 times more 1,4-dioxane than the ethoxylation process, as SO3 promotes the side reaction that produces 1,4-dioxane, as shown by Forster [14]. This makes SLES the riskiest surfactant for 1,4-dioxone concerns and every surfactant made using ethylene oxide a potential 1,4-dioxane source. Other popular surfactants such as isethionates and taurates have dioxane risk concerns as their precursors involve ethoxylation.
Newer ethoxylation plants typically produce less dioxane, which can fall below 1 ppm. This is achieved by controlling reaction conditions such as temperature, reaction time, and stoichiometric ratio. Foster [14] demonstrates the importance of the mole ratio of SO3 to ethoxylated alcohol.
Alternatively, manufacturers can strip dioxane out of their products after sulfation with stripping systems based on steam or nitrogen gas. Also, plant equipment companies offer production lines that both suppress dioxane formation and strip out what is formed. Low-dioxane versions of conventional surfactants would avoid the need for reformulation, but with surfactant versions priced up to 30% higher than those made with older technology, this is clearly not a path to sulfate-free products.

5. Non-Green and Sustainable Feedstocks/Synthesis

The synthesis of SLES (Figure 4) involves ethylene oxide, which at room temperature is a very flammable, carcinogenic, mutagenic, irritating, and anesthetic gas. As such, it certainly does not conform to the principles of green chemistry. Sulfur trioxide is an oxidizing agent and is highly corrosive. It reacts violently with water to produce highly corrosive sulfuric acid.

6. Current Sulfate-Free Commercial Products

Sulfate-free products are highly desirable, and a market study has shown an annual grow rate of approximately 18% since 2010 in Marimon [15]. However, successful sulfate-free cleansing products must deliver true benefits.
A market survey by Google Search on “sulfate-free shampoo”, a process used by most consumers to find product information, reveals some trends in the alternative surfactants being employed (Table 1). When consumers Google “sulfate-free shampoo”, go to common websites like Walmart and Target, or read evaluations in the popular press, what do they find? An analysis of 34 products with high search results shows the following ingredients:
As can be seen from the study of commercial “sulfate-free” products, many of the primary surfactants have dioxane concerns, and some are sulfate-free by INCI name ingredient listing but not for real benefits, as in the case of AOS and isethionates. There are still many benefits to be desired from the current “sulfate-free” cleansing products in the market. The top 3 ingredients in the survey will be examined for their potential issues.
A study by Hunter and Fowler [16] on cocamidopropyl betaine (CAPB) showed the synthesis pathway (Figure 5).
They note that dimethylaminopropylamine, amidoamine, and sodium monochloroacetate are contaminants of CAPB preparations and potential skin irritants. Although the contaminants are the main cause of skin reactions, they could not exclude the potential of CAPB itself to be an allergen to some presensitized individuals.
A problem with sodium cocoyl isothethionates requires taking a step back, to the synthesis of isethionic acid, which typically requires ethylene oxide (Figure 6). Ethylene oxide is a source of 1,4-dioxane, so contamination can continue into the next step of the synthesis.
C14-16 olefin sulfonate is produced by sulfonation of alpha-olefins using sulfur trioxide. A common impurity is sultone, which is hazardous and can cause skin irritation. According to Xu [17], the sulfonation of AOS with SO3 generates various compounds, including alkenyl sulfonic acid, sulfonolactone, dimeric sulfonolactone, alkenyl sulfonic anhydride, and alkenyl disulfonic acid. Thus, the formulator must dig deeply into the exact synthesis process of the supplier to know all the impurities that may be present, and the specifics are always process dependent.

7. Amino Acid-Based Surfactants

Sulfate-free formulations have received considerable attention, for example, from Coots [18], Zemp [19], and Anderson and Smith [20]. There is currently a solid market trend for sulfate-free personal cleansing products, and it is expected to continue for the foreseeable future.
The surfactants that are intrinsically free of 1.4-dioxane concerns are the amino acid-based surfactants and sugar-based surfactants, such as glutamates, alaninates and alkyl polyglycosides (known as “APG”). Amino acid-based surfactants are a subgroup of biosurfactants, a larger group considered in the review by Nagtode et al. [21].
Many papers have been published on the benefits of amino acid-based surfactants. A series of papers in the early 1970s [22,23,24,25,26] laid out the basic properties of glutamate surfactants, but commercialization proceeded slowly due to high costs and the difficulty of achieving adequate viscosity. These issues have recently been resolved, making glutamates a prime choice for use in cleansers.
Takehara, in an early paper from 1989 [27], included gel creation in his work, finding use in cleaning spilt marine oil. Bordes and Holmberg [28], in an oft-cited paper, concluded that amino acid-based surfactants are biodegradable, mild, and have many properties desired in consumer products.
Ananthapadmanabhan [29] wrote a review of commercially relevant surfactants, in which he examined the Krafft point, adsorption properties, foam and lather, rheology, and skin mildness, finding glutamates, glycinates, and sarcosinates to be excellent options for sulfate-free cleansing. Chandra and Tyagi [30], in another review, concluded with life science applications such as the creation of liposomes, DNA transfection, antiviral properties, and gene therapy.
In a review by Infante et al. [31], the group synthesized and tested several variants of amino acid-based surfactants: single chain, gemini, and glycerolipid-like structures. They were all found to have excellent surface properties, wide biological activity, low potential toxicity, and low environmental impact. Special interest was taken in those that had antimicrobial properties, which were all cationic. Larger gemini surfactant molecules were found to have slower biodegradation times that smaller molecules tested.
Pinazo et al. [32] considered several amino acid-based surfactants, including gemini surfactants based on cystine and arginine and double chain surfactants derived from lysine. They found a wide range of surfactants could be tailored to specific needs in pharmaceutical and cosmetic applications.
Tripathy et al. [33], in yet another review, found amino acid-based surfactants of great value in skin and hair products and found their chirality useful. Industrial applications considered included agriculture, laundry detergent, lubricants, and medicines.
Clapes and Infante [34] reviewed the enzymatic synthesis, properties, and applications of amino acid-based surfactants.
Zhao et al. [35] studied the foaming properties of sodium N-acyl glycinate and sodium N-acyl phenylalaninate at different alkyl chain lengths (12,14,16,18). The effects of temperature, concentration, hydrophilic groups, and hydrophobic groups on the foaming properties were studied in detail. In general, the glycinates were superior in terms of foaming properties.
Wang, Q. [36] examined the properties of sodium lauroyl glutamate and sodium lauroyl aspartate at different pH values, studying the ideal pH range for foam stability, emulsifying effect, and surfactant behavior. They found sodium lauroyl aspartate to have excellent surface activity, foam, and emulsifying properties compared to sodium lauroyl glutamate. Much of the difference can be attributed to the smaller polar head size of the sodium lauroyl aspartate and the different degrees with which the two surfactants respond to changes of pH.
Wang, C. et al. [37] looked at the effect of acyl chain length and the presence of carbon double bonds and hydroxy groups on surfactant performance. They reported the structural characteristics of fatty acyl chains in vegetable oils and revealed the specific effects of these features on the interfacial properties of N-fatty acyl amino acid surfactants. It was pointed out that the results presented may be of great significance for the development and application of amino acid surfactants based on natural oils.
Wang, Y. et al. [38] explored the α-substituent effect on N-lauroyl amino acid surfactants. It was found that hydrophobic α-substitution can reduce critical micelle temperature and critical micelle concentration. Consequently, this improves foamability, emulsifying function, and wetting property, while hydrophilic α-substitution has the opposite effect. It was also pointed that the best detergency of all the surfactants tested was achieved with sodium lauroyl glycinate.

8. Glutamates and Alaninates

There is a powerful desire for sulfate-free products, yet the surfactants currently used as replacements also have issues with impurities, safety, and manufacturing methods. Surfactants need a polar and nonpolar component. Amino acids, as small, charged molecules with intrinsic safety and environmental profiles, are ideal polar heads. Not all amino acids have the optimal characteristics, but sodium lauroyl sarcosinate, sodium cocoyl glycinate, and sodium methyl cocoyl taurate are commonly used. Two are of exceptional value: glutamates and alaninates. Their structures are shown in Figure 7 and Figure 8.
Although glutamates and alaninates are both all-purpose ingredients that can serve as primary or secondary components in cleansing products, glutamates are slightly preferred in skin cleansing and alaninates in hair cleansing. The cost of these surfactants is increasingly competitive. The most economical, the glutamates, traditionally posed difficulties in building viscosity, but this problem has been solved. Data will be provided on the mildness, safety, environmental friendliness, preservative activity, and water-saving performance of these surfactants.

9. The Viscosity Problem Solved

The glutamates’ difficulty in thickening is due to their large, multicharged head group. Unlike conventional surfactants that exhibit viscosity response to the addition of salt, glutamates respond to changes in pH. Figure 9 shows the changes to the polar head at different pH values, which result in different head sizes and consequently different packing parameters.
Wu [39] showed the critical packing parameter of various amino acid surfactants (Figure 10), and it was clear that the glutamates had the lowest critical packing parameter among the four popular amino acid-based surfactants, i.e., glutamates, alaninates, sarcosinates, and glycinates. The lower the critical packing parameter, the harder it is to thicken the surfactant. To overcome this thickening challenge, the glutamate surfactant must be blended with other proper co-surfactants in the right ratio with the right amount and right pH range to successfully modify the overall effective critical packing parameter so that the surfactant blend can pack efficiently, resulting in effective viscosity building.
Patented technologies have been developed by the authors’ research group to solve the glutamate viscosity-building challenge. Su et al. [40] in US Patent US 11,045,404 “discloses self-thickening compositions comprising one or more N-acyl acidic amino acid and/or salts thereof and one or more amphoteric surfactant, methods of preparation thereof, and their applications in cosmetics and personal care, home care and other fields with excellent thickening performance and easy-to-use applicability, in particular in cleansing formulations to improve performance such as foam quality and mildness”.
Glutamate surfactants build viscosity under conditions which form worm-like micelles. The importance of worm-like micelles is well known, presented, for example, by Sakai, K. et al. [41] and Lu, H. et al. [42]. Combining a glutamate with an amphoteric such as hydroxysultaine creates the pH dependence shown in Figure 10, which is a viscosity vs. pH curve where viscosity is measured as a function of pH as various amounts of citric acid is added to a sulfate-free self-thickening sodium cocoyl glutamate–lauramidopropyl hydroxysultaine surfactant system The change in pH alters the charge on the head and its size, changing the packing parameter and adding electrostatic repulsion. Only optimum conditions on the polar head provide the proper conditions to build viscosity.
It can be seen from Figure 11 that the sulfate-free, self-thickening glutamate–hydroxysultaine surfactant system experienced four basic phases from ① to ④. In phase ①, the pH is relatively high, and the di-sodium species of the glutamate surfactant dominates with strong repulsion among head groups and the large effective area of the head groups, leading to the formation of spherical micelles and thus low viscosity. In phase ②, the mono-sodium species of the glutamate increases and becomes dominant, and repulsion is screened partially because of the formation of the mono-sodium species and the smaller effective section area of the head groups, leading to the formation of worm-like micelles and hence increased viscosity. In phase ③, the acid form of the glutamate surfactant becomes available, the acid form and the mono-sodium form bind together to form dimers with a relatively large effective section area of the head groups, leading to the formation of spherical micelles and thus low viscosity. In phase ④, the acid form of the glutamate surfactant dominates with ordered packing of the acid species of the glutamate, leading to the formation of crystal nuclei and spherical micelles of the amphoteric molecules and hence low viscosity. The viscosity–pH curve is reversable unlike the salt curve, and viscosity caused by overshoot of the citric acid can be resolved by simply adjusting the pH with an alkaline solution such as sodium hydroxide so no batch will be wasted due to human errors in the adjustment of pH.
The authors’ group has also studied the effect of co-surfactants on the Glutamate self-thickening system. It was clear from the results of these experimental schemes that the sulfate-free, polymer-free, glutamate self-thickening system with the thickening companion of lauramidopropyl hydroxysultaine can work not only on its own self-thickening system but also can work with many other co-surfactants.
In practice, the authors’ group has created two convenient, easy-to-use surfactant blends. One is a glutamate self-thickening surfactant blend (Glutamix™), and the other a glutamate surfactant thickening companion (Thickmate™) consisting of mainly amphoteric surfactants and effective with a variety of sulfate-free anionic surfactants including but not limited to other amino acid-based surfactants such as glycinates, alaninates and sarcosinates, besides glutamates. Materials were sourced from Nanjing Huashi New Material Co., Ltd., Nanjing, China. The Glutamix™ is mainly composed of deionized water, disodium cocoyl glutamate, sodium cocoyl glutamate, sodium lauroyl glycinate, sodium laurate, sodium chloride, sodium lauroampho-acetate, lauramidopropyl hydroxylsultaine, and stearamidopropyl dimethylamine. The Thickmate™ is mainly composed of deionized water, sodium laurate, lauramidopropyl hydroxylsultaine, sodium chloride, stearamidopropyl dimethylamine, and citric acid. As can be seen from these compositions, all components in these blends are common ingredients widely used in personal care formulations with global regulatory compliance. These two blends help the thickening of glutamate-containing surfactant systems to easily achieve viscosity targets, especially when glutamate is used as the primary surfactant for optimum performance.

10. Safety

Historically, safety testing on surfactants was performed on humans or animals, but nowadays animal testing is no longer acceptable in the personal care industry. Alternatives for those methods are now used, with a variety of approaches available.
The MTT50 test is frequently used to measure the safety of a material. It employs MTT (3-(4,5-dimethylthiazol-2-yl) Tr-2,5-diphenyltetrazolium bromide) and a colorimetric agent, and it measures cell viability. The validity of the test was established by Boren Freund et al. [43]. HaCaT cells, a keratinocyte cell line from adult human skin, is used. The higher the MTT50 number, the safer the surfactant. The results show the superior mildness of sodium cocoyl glutamate and alaninate (Figure 12).
As can be seen from Figure 12, sodium cocoyl glutamate has the highest MTT50 value followed by sodium cocoyl alaninate and sodium cocoyl glycinate, while AES/SLES has the lowest MTT50 value among the eight surfactants tested, indicating that sodium cocoyl glutamate is the safest surfactant and SLES, SDS, and APG are the least safe among the eight surfactants tested.

11. Mildness

In addition to the safety of a surfactant, mildness is another key attribute that will impact consumer preferences and user experience, and it is a critical factor in the commercial success of a cleansing product. In modern times, consumers in most countries wash their face, hair, hands, and body frequently, once a day or more. Therefore, it is paramount for the consumers to use a super-mild cleanser with all the benefits of just the right amount of cleansing without stripping the essential oils and lipids away from the skin and hair.
The red blood cell (RBC) test is a frequently used method of testing mildness and irritation potential. In the RBC test, blood cell membranes are disrupted, and the resulting correlation to irritation is expressed as an L/D value, based on measurements of cell membrane lysis and cell protein denaturation. The higher the L/D value, the milder the surfactant.
Figure 13 below shows the mildness data of various surfactants as measured by the red blood cell test.
As can be seen from Figure 13 above, sodium cocoyl glutamate has the highest L/D value followed by sodium cocoyl alaninate and sodium cocoyl glycinate, while AES/SLES has the lowest L/D value among the six surfactants tested, indicating that sodium cocoyl glutamate is the mildest surfactant and SLES is the least mild or most irritating surfactant among the six surfactants tested.
SKINTEX is an assay that can measure how dermal irritating products provoke alterations and/or denaturalization of collagen, keratin, and other protein structures. It was described in 1991 by Gordon et al. [44]. A simplified model is shown in Figure 14. The assay consists of two components: a semi-permeable membrane, containing keratin, collagen, and a colorant, and a reactive solution containing proteins and glycoproteins. Samples are placed on the membrane, which is submerged in the solution. A reaction between the sample and the proteins creates turbidity which can be measured by a spectrophotometer.
EYTEX is an in vitro test to predict the ocular irritation of chemicals based on alterations in a protein matrix. It exhibits a high correlation with the Draize test.
Kawasaki [45] carried out SKINTEX and EYTEX experiments to compare a number of common surfactants including SLS (sodium lauryl sulfate), SMLP (sodium lauryl phosphate), SCI (sodium n-cocoyl isethionate), SSS (disodium monolauryl sulfosuccinate), SCMT (sodium n-cocoyl n-methyltaurate), SCG (sodium cocoylglutamate), and SLG (sodium lauroyl glutamate), and the test results were compared against the conventional Draize score for skin irritation and the Draize score for eye irritation. It was found that sodium cocoyl glutamate is the mildest surfactant of all the surfactants tested and much milder than the taurates and sulfates, and these SKINTEXT and EYETEX data are in total agreement with our own mildness data obtained from the red blood cell test.
The classic Draize test calculated erythema and edema responses into a primary irritation index (PII): a substance producing a PII of <2 is considered “mildly irritating”, 2–5 is “moderately irritating”, and >5 is “severely irritating”. The Draize grading system shows that SLG is “mild” (PII < 2), SLS is “severe” (PII > 5), and other surfactants are “moderate” (2 ≦ PII ≦ 5).
It is clear from the tests shown above that glutamates are the safest and mildest surfactants of all kinds tested, followed by alaninates and glycinates, while SLES has been shown to be of much lower safety and mildness in comparison.

12. Residual Problem Solved

Sulfates leave a residue on the skin, increasing the potential for irritation. Glutamates used as co-surfactants have been shown to alleviate this situation, as was first shown by Lee [46]. Lee assessed the possible anti-irritating potential of a surfactant mixture on human skin, employing visual scores and the measurement of trans-epidermal water loss (TEWL). He discovered that sodium lauroyl glutamate is a mild surfactant and its use can decrease the irritation potential of SLS. Later work by Sugar [47] showed that (a) everybody among the 100 panelists tested carried quantifiable amounts of SLES on the skin, (b) adsorbed SLES remained on the skin for at least 5 days after a single application, (c) adsorption of SLES can be significantly reduced by adding a mild co-surfactant, sodium cocoyl glutamate (SCG), and (d) reduced SLES adsorption correlated with increased skin moisture. This is shown in Figure 15. It was found that the addition of 2.5% sodium cocoyl glutamate (SCG) to a shower formulation containing 10% SLES resulted in a 55% decrease in SLES adsorption and that the SCG-containing shower formulation exhibited improved mildness and performance with respect to foam characteristics and skin feel.
It is clear from these papers that glutamate surfactants are not only the mildest but also deliver improvements compared to SLES, even with only a small amount of SCG addition to a conventional SLES/CAPB commercial body wash product.

13. Water Saving

Water savings have been quantitatively established by Su et al. [48]. The studies of water saving were conducted on alkyl glutamates and alkyl alaninates because of their performance and commercial viability. A special test protocol was developed to quantify water use.
For skin cleansing, a panel test was used to evaluate sensory attributes, foam performance, and water consumption. The panelists were instructed to wash their hands with the method below:
A group of eight female subjects tested samples #1–#6 on their left hand. They were all instructed to grade the performance of the test samples according to a score of 1 for worst to 5 for best for aspects such as foam speed, foam volume, rinse feel, and after feel.
  • Pre-wash hands with the six-step hand washing method (Figure 16) using 1 g of a commercial product.
  • Place 1 g of test sample #1 and 3 mL water on the back of the left hand, rub clockwise 25 times with the right hand. Evaluate foam speed, foam volume, foam size, and water consumption.
  • Rinse with 600 mL water from a separatory funnel with the flow rate controlled by opening/closing the valve. Close it when the hand is rinsed clean without any bubbles, measure the remaining water volume (Vf). Water used = 600 mL-Vf. If no separatory funnel is available, use a volumetric cylinder instead.
  • Repeat steps 1–3 for testing samples #2–#6.
* 1. The above water is tap water at room temperature; 2. Rinsing water velocity is controlled @ 0.9 L/min.
The standard six-step hand washing method is shown in Figure 16.
The hair cleansing protocol used hair tresses which were washed, and the water usage was assessed using the following steps:
  • Measure weight of hair tresses
  • Pre-wash tresses
  • Apply shampoo
  • Wash tresses
  • Control water
  • Rinse tresses
  • Collect unused water
  • Calculate final water usage
The details are shown in Figure 17.
The conclusion reached was that glutamate and alaninate surfactants can reduce the amount of water used by consumers compared to other surfactants, as shown in Figure 18 and Figure 19.

14. Water/Energy Consumption Analysis

Typical consumer water and energy use data and greenhouse gas emissions were calculated for showering to calculate a life cycle carbon footprint as well as water footprint analysis. The consumer use data was based on the following:
  • Amount of body wash product: 10.5 g
  • Water used per shower: 40 L
  • Shower water temperature: 36 °C
  • Hot water energy: 43% electricity, 43% natural gas, and 14% solar.
The resultant greenhouse gas emissions are shown in Figure 20.
This shows that the reduced rinsing required by amino acid surfactants translates directly into a reduction in greenhouse gas emissions, as 97% is created by heating the water used in a shower.

15. Sensory Foam and Foam Stability

Sensory properties such as foam and foam stability are important attributes that impact user experience directly for cleansing products. Figure 21 shows a comparison between foam and foam stability among several surfactants. The initial foam was generated with a self-foaming pump using 15% of the active surfactant solution, and the foam photo was taken at around 30 s after pumping. The foam stability photo was taken after 15 min of foam formation after pumping. As can be seen from Figure 21, SLES generated loose and flashy foam at 30 s with low foam stability, as evidenced by the foam collapse at 15 min, while sodium cocoyl glutamate (UCS) had the fullest foam body at 30 s and best foam stability, as evidenced by its well-kept foam shape at 15 min. Sodium cocoyl alaninate (ACS) exhibited good initial foam body at 30 s and better foam stability than SLES, as evidenced by its best-kept foam shape at 15 min, while cocoamidopropyl betaine (CAPB) showed moderate initial foam body at 30 s but inferior foam stability, with a more collapsed foam body at 15 min even compared against SLES. The initial foam at 30 s for coco glucoside (APG), sodium cocoyl methyl taurate (SCMT), and sodium cocoyl isethionate (SCI) showed significant inferior foam body compared to UCS or even SLES with a descending order, while the foam stability at 15 min for APG, SCMT, and SCI was among the lowest, at a similar level to that of CAPB. It shall be noted that SCI required an elevated temperature of about 50 °C to dissolve the material into a uniform state as it is paste-like and not uniform at room temperature.
In short, the comparison testing data in Figure 21 showed that the glutamate has denser, creamier, and more elastic stable foam vs. SLES, delivering a superior user experience that is preferred by consumers for universal skin cleansing, while the alaninate delivers very well-balanced foam volume and density, achieving a similar user experience to SLES and meeting consumers’ preferences for shampoo user experience. Therefore, glutamate surfactants are highly recommended as a primary surfactant for universal skin cleansing, including face, body, hand, and baby head-to-toe cleansers, while alaninate surfactants are highly recommended as a primary surfactant for hair shampoo formulations. Of course, glutamate and alaninate surfactants can also be used interchangeably or as a combination for both skin and hair cleansing, dependent upon the specific application requirements.

16. NOI

The natural origin index (NOI) is a percentage that indicates the amount of natural ingredients in a product. The ISO 16128 standard [49,50] defines the NOI and how to calculate it for cosmetic ingredients and finished products. The ISO 16128 standard harmonizes international markets for natural and organic cosmetics. An ingredient has an NOI of 1 if it is a natural ingredient, and 0 if it is not. Natural ingredients include plant-based components and water. Derived natural ingredients are modifications to natural ingredients and have an NOI between 0% and 100%. To calculate a product’s NOI, multiply the percentage of each ingredient in the product by its NOI. Then, add up all the results to get the product’s total NOI. Figure 22 shows the NOI of the main amino acid-based surfactants.
Three categories of surfactants, namely glutamates, alaninates, and alkyl polyglycosides, are the most sustainable, with 100% NOI values and commercial availability on a large scale at reasonably affordable prices. Therefore, they are the preferred choices for sulfate-free personal cleansing systems. It is worth noting that for APG to have a 100% NOI, the fatty alcohol used in its production must be of natural origin, as fatty alcohol can be both petrol-based and of natural origin, dependent upon its manufacturing process and feedstocks.
Amino acid surfactant synthesis is green and sustainable, as shown in Figure 23. A procedure using water as a solvent with high conversion rates is described by Wang in [51] (US Patent 9,629,787). Valivety et al. [52] used lipases in the synthesis of amino acid-based surfactants, although the yield was low. Joondan et al. [53] also viewed amino acids as building blocks for the synthesis of green surfactants.
Table 2 summarizes the relative benefits of amino acid surfactants compared to the most common alternatives in terms of comparative feedstocks and impurities. The amino acid surfactants have safe impurities, use sustainable/renewable raw materials, and employ mild processes with no organic solvents. The other surfactants use raw materials that are not natural, sustainable, or renewable, have impurities that are toxic and irritating, and use organic solvents during synthesis.

17. Biodegradation

Biodegradability is an extremely critical environmental property. It can be experimentally determined by tests such as OECD 301A or OECD 301B. In the OECD 301A test method, the degree of biodegradation is measured by the change in dissolved organic carbon (DOC) over a 28-day period. OECD 301B test evaluates the biodegradation of materials by measuring CO2 evolution in a closed environment for 28 days. There are also ways to find data online or to make predictions using readily available programs such as EPI Suite. A valuable resource is the ECHA site, since part of REACH registration requires environmental information including biodegradation. We will use sodium lauroyl glutamate as an example. The ECHA site describes it as sodium hydrogen N-(1-oxododecyl)-l-glutamate [54], which can be confirmed as correct using the CAS number, 29923-31-7 (Figure 24).
Going to “Environmental fate and pathways, biodegradation, biodegradation in water: screening tests”, we find OECD 301 was employed. The result reported was “Test item is considered readily biodegradable because its biodegradability has been higher than 60%, within a 10 d window during the test”.
Using EPI Suite requires input of the ingredients using SMILES (Simplified Molecular Input Line Entry System) notation, a common method for converting chemical structures to a form that can be input using a computer keyboard. SMILES information can be easily found using ChemSpider [55] or PubChem [56]. For sodium lauroyl glutamate, SMILES is:
CCCCCCCCCCCC(=O)N[C@@H](CCC(=O)O)C(=O)[O].[Na+]
The required information was input into EPI Suite (Figure 25):
Hitting the “calculate” button produces a vast amount of predictive data, including biodegradation (Figure 26).
We see that, as with the experimental data from ECHA, the predictive results from EPI Suite show sodium lauroyl glutamate to be readily biodegradable. The same results can be found in a similar manner for all amino acid-based surfactants.
Not only are amino acid surfactants biodegradable, but there is research on their ability to enhance the biodegradability of lubricating oils [57].

18. Lifecycle Analysis

Going beyond biodegradation is life cycle analysis (LCA). According to the US EPA, “Life cycle assessment is a “cradle-to-grave” approach for assessing industrial systems. “Cradle-to-grave” begins with the gathering of raw materials from the earth to create the product and ends at the point when all materials are returned to the earth. LCA evaluates all stages of a product’s life from the perspective that they are interdependent, meaning that one operation leads to the next.” [58]. A simple example of inputs and outputs is shown in Figure 27, derived from [59].
General reviews of LCA are provided by Kröhnert and Stucki [60] and Rebitzer [61]. The critical and specific case of palm oil from Indonesia, a key source of the fatty chains used in a wide range of surfactants, was studied by Lam [62]. LCA is a complex undertaking leading companies into broad collaborations. Schowanek et al. [63], for example, relied on a dataset compiled by 14 companies within ERASM (Environmental Risk Assessment and Management) [64].
Combining the published data with internal company data on glutamate and alaninate surfactants creates Figure 28, which provides a comparative view based on the carbon footprint as 2.2 tons of CO2 eq per ton of product at 100% active level.
For E, F, G, and H, the top part of the bar is feedstock-related emissions, the bottom part fuel-related emissions.
This LCA indicates benefits for amino acid-based surfactants and a clear path to ongoing improvement.

19. Antibacterial Properties

It is well known that amino acid-based surfactants have antibacterial properties. Xia et al. [65] studied the surfactant effects on Gram-negative organisms E. coli and P. aeruginosa, a Gram-positive organism S. aureus, and fungi A. niger and S. cerevisiae. Their effects were compared to methyl p-hydroxybenzoate and found superior mic, due in part to their ability to penetrate the microbial cell wall and cell membrane.
Pinazo [66] particularly studied arginine and lysine compounds and gemini surfactants, finding their cationic properties key to their activity.
Some recent internal studies from the authors’ research group are shown in Table 3 and Figure 29. Table 4 shows the cultures used in the challenge test.
Method: USA ASTM E640-06(2012) (standard test method for preservatives in water-containing cosmetics) [67] and Europea Pharmacopoeia 5.0.
Consequently, amino acid-based surfactants allow the creation of preservative-free or reduced preservative formulations, producing safer and milder products.

20. Biosurfactants

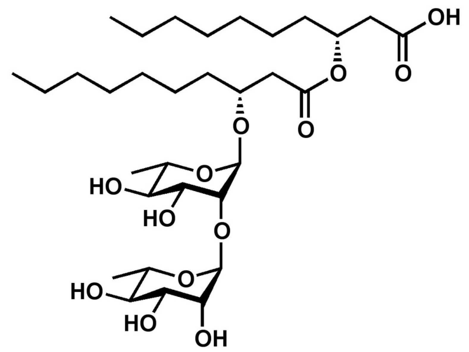
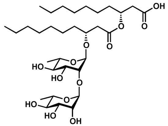
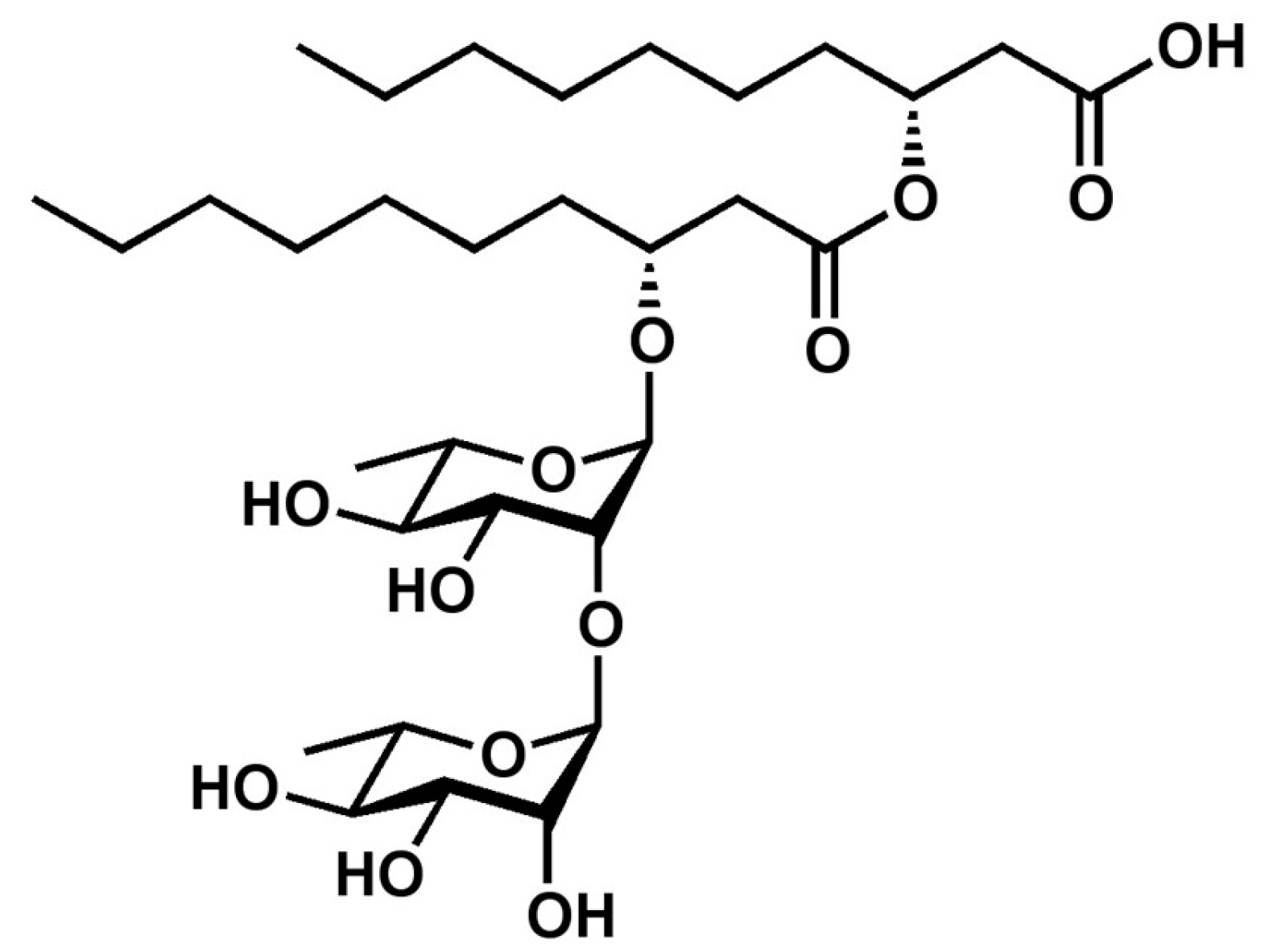
The most innovative products for the future may be biosurfactants, although they have not reached the scale or cost-effectiveness to be primary surfactants for commercial products. They are produced by microorganisms, either bacteria, yeast, or fungi. Three important types of biosurfactants include lipopeptides, nucleolipids, and glycolipids. Commercially, a few of the most common are surfactin (Figure 30), a lipoprotein produced by the bacterium Bacillus subtilis, and rhamnolipids (Figure 31), a group of glycolipids produced by the bacterium Pseudomonas aeruginosa.
Many review papers have been written on biosurfactants. Akbari et al. [68] reviewed industrial and cosmetic use, but only considered their value as emulsifiers, not cleansers. Markande et al. [69] focused on synthesis, giving extensive lists of microorganisms and genes, which involves detailed understanding of the underlying biochemical processes.
Sarubbo et al. [70] reported valuable data on microbes, nitrogen sources, fermentation modes, and scales related to the biosurfactant type produced. Recovery and purification techniques, a major challenge for biosurfactants, were also reviewed. Although detergency was considered, it was not applied to personal cleansing.
All reviews consider applications as emulsifiers for skin care, but Vecino et al. [71] gave examples of potential cleansing applications, mostly confined to the patent literature. Only Kulkarni and Choudhary [72], of those Vecino referenced, discussed cleansing in the literature. Bezerra et al. [73] developed and tested several shampoo formulas on a laboratory scale.
Biosurfactants are theoretically interesting but have yet to be commercially successful for personal cleansing applications on a meaningful scale.

21. Conclusions

Glutamate and alaninate surfactants are thoroughly eco-friendly. They are made using renewable feedstocks and their transformations are performed in accordance with the principles of green chemistry. They are of 100% natural origin, 100% renewable, and 100% sustainable. Not only are they readily biodegradable, but they also accelerate the biodegradation of petrochemicals. There are no other surfactants for personal cleansing matching the totally benign profile of the glutamates and alaninates, and they are the most sustainable of all surfactants commercially available on a large scale. Economics must also be factored in, so a separate mass market and high-end solution are needed. For the mass market, cocamidopropyl betaine as the main surfactant and sodium cocoyl glutamate, alaninate, and/or alkyl polyglucoside as the co-surfactant are recommended. The amino acid alternative has the benefit of 100% natural origin index (NOI). For high-end products, the roles are reversed, with sodium cocoyl glutamate or alaninate as the primary surfactant and cocamidopropyl betaine or alkyl polyglucoside as the co-surfactant. With increasingly widespread use of glutamate and alaninate surfactants, costs are expected to be reduced significantly, enabling their application in mass market products.
The many advantages of glutamate and alaninate surfactants across a broad range of factors, both on the personal and environmental level, show they do meet the challenge of the most stringent requirements for sulfate-free personal cleansing technologies. The addition of green chelants and preservatives makes entire formulations possible, meeting the highest expectations of formulators and consumers.

Funding

This research received no external funding.

Acknowledgments

The authors are very grateful for the support of their research and development colleagues who performed the studies and obtained the data reported here under the supervision and guidance of the authors.

Conflicts of Interest

The authors declare no conflict of interest.

References

  1. Anastas, P.T.; Warner, J.C. Green Chemistry: Theory and Practice; Oxford University Press: New York, NY, USA, 1998. [Google Scholar]
  2. Morán, M.C.; Pinazo, A.; Pérez, L.; Clapés, P.; Angelet, M.; García, M.T.; Vinardell, M.P.; Infante, M.R. “Green” amino acid-based surfactants. Green Chem. 2004, 6, 233–240. [Google Scholar] [CrossRef]
  3. Bhadani, A.; Kafle, A.; Ogura, T.; Akamatsu, M.; Sakai, K.; Sakai, H.; Abe, M. Current perspective of sustainable surfactants based on renewable building blocks. Curr. Opin. Colloid Interface Sci. 2020, 45, 124–135. [Google Scholar] [CrossRef]
  4. Reznik, G.O.; Vishwanath, P.; Pynn, M.A.; Sitnik, J.M.; Todd, J.J.; Wu, J.; Jiang, Y.; Keenan, B.G.; Castle, A.B.; Haskell, R.F.; et al. Use of sustainable chemistry to produce an acyl amino acid surfactant. Appl. Microbiol. Biotechnol. 2010, 86, 1387–1397. [Google Scholar] [CrossRef]
  5. Ananthapadmanabhan, K.P.; Moore, D.J.; Subramanyan, K.; Misra, M.; Meyer, F. Cleansing without compromise: The impact of cleansers on the skin barrier and the technology of mild cleansing. Dermatol. Ther. 2004, 17, 16–25. [Google Scholar] [CrossRef] [PubMed]
  6. Lukic, M.; Pantelic, I.; Savic, S. An overview of novel surfactants for formulation of cosmetics with certain emphasis on acidic active substances. Tenside Surfactants Deterg. 2016, 53, 7–19. [Google Scholar] [CrossRef]
  7. Schoenberg, T. Sulfate-free Cleansers. Cosmet. Toil. 2002, 121, 12. [Google Scholar]
  8. Löffler, H.; Happle, R. Profile of irritant patch testing with detergents: Sodium lauryl sulfate, sodium laureth sulfate and alkyl polyglucoside. Contact Dermat. 2003, 48, 26–32. [Google Scholar] [CrossRef] [PubMed]
  9. Aramaki, J.; Loffler, C.; Kawana, S.; Effendy, I.; Happle, R.; Loffler, H. Irritant patch testing with sodium lauryl sulphate: Interrelation between concentration and exposure time. Br. J. Dermatol. 2001, 145, 704–708. [Google Scholar] [CrossRef] [PubMed]
  10. Ananthapadmanabhan, K.P.; Yu, K.K.; Meyers, C.L.; Aronson, M.P. Binding of surfactants to stratum corneum. J. Soc. Cosmet. Chem. 1996, 47, 185–200. [Google Scholar]
  11. Morris, S.A.V.; Thompson, R.T.; Glenn, R.W.; Ananthapadmanabhan, K.P.; Kasting, G.B. Mechanisms of anionic surfactant penetration into human skin: Investigating monomer, micelle and submicellar aggregate penetration theories. Int. J. Cosmet. Sci. 2019, 41, 55–66. [Google Scholar] [CrossRef]
  12. Bettenhausen, C.A. How companies are getting 1,4-dioxane out of home and personal care products. Chem. Eng. News 2020, 98, 21–23. [Google Scholar]
  13. NY State Senate Bill 4389B. Available online: https://legislation.nysenate.gov/pdf/bills/2019/S4389B (accessed on 8 September 2024).
  14. Foster, N.C. Sulfonation and Sulfation Processes, Chemithon. 1997. Available online: https://www.chemithon.com/Resources/pdfs/Technical_papers/Sulfo%20and%20Sulfa%201.pdf (accessed on 11 September 2024).
  15. Marimon, N. IFSCC Webinar Series, Key Factors When Choosing Sulfate-free Surfactants-Webinar 23 August. 2023. Available online: https://ifscc.org/news/key-factors-when-choosing-sulfate-free-surfactants-webinar-23-august/ (accessed on 1 October 2024).
  16. Hunter, J.E.; Fowler, J.F., Jr. Safety to human skin of cocamidopropyl betaine: A mild surfactant for personal-care products. J. Surfact. Deterg. 1998, 1, 235–239. [Google Scholar] [CrossRef]
  17. Xu, Y.; Li, P.; Ma, H.; Huang, A.; Zhao, W.; Zhao, X. Multistep cascade continuous flow synthesis of AOS based on microreactor. Chem. Eng. Process.-Process Intensif. 2023, 192, 109505. [Google Scholar] [CrossRef]
  18. Coots, R. Sodium Laurylglucosides Hydroxypropyl Sulfonate for Sul-fate-free Formulations. Cosmet. Toil. 2011, 126, 274–277. [Google Scholar]
  19. Kemp, B.; Reng, A. Developing Ether Sulfate-Free Surfactant Formulations. Cosmet. Toil. 1989, 104, 41–45. [Google Scholar]
  20. Anderson, D.; Smith, D. Sugar and the quest for sulfate-free formulation. Cosmet. Toil. 2005, 120, 55–60. [Google Scholar]
  21. Nagtode, V.S.; Cardoza, C.; Yasin, H.K.A.; Mali, S.N.; Tambe, S.M.; Roy, P.; Singh, K.; Goel, A.; Amin, P.D.; Thorat, B.R.; et al. Green Surfactants (Biosurfactants): A Petroleum-Free Substitute for Sustainability-Comparison, Applications, Market, and Future Prospects. ACS Omega 2023, 8, 11674–11699. [Google Scholar] [CrossRef] [PubMed]
  22. Takehara, M.; Yoshimura, I.; Takizawa, K.; Yoshida, R. Surface active N-acylglutamate: I. Preparation of long chain N-acylglutamic acid. J. Am. Oil Chem. Soc. 1972, 49, 157–161. [Google Scholar] [CrossRef]
  23. Takehara, M.; Moriyuki, H.; Yoshimura, I.; Yoshida, R. Surface active N-acylglutamate: II. Physicochemical properties of long chain N-acylglutamic acids and their sodium salts. J. Am. Oil Chem. Soc. 1972, 49, 143–150. [Google Scholar] [CrossRef]
  24. Takehara, M.; Moriyuki, H.; Arakawa, A.; Yoshimura, I.; Yoshida, R. Surface active N-acylglutamate: III. Physicochemical properties of sodium long chain N-acylglutamates. J. Am. Oil Chem. Soc. 1973, 50, 227–229. [Google Scholar] [CrossRef]
  25. Takehara, M.; Yoshimura, I.; Yoshida, R. Surface-active N-acylglutamate: IV. Physicochemical properties of triethanolamine long chain N-acylglutamates. J. Am. Oil Chem. Soc. 1974, 51, 419–423. [Google Scholar] [CrossRef]
  26. Yoshida, R.; Yoshimurra, I.; Usuba, Y.; Shibue, A. Surface active N-acylglutamate: V. Application of N-acylglutamates to detergent bars. JAOCS 1976, 53, 113–117. [Google Scholar] [CrossRef]
  27. Takehara, M. Properties and applications of amino acid based surfactants. Colloids Surf. 1989, 38, 149–167. [Google Scholar] [CrossRef]
  28. Bordes, R.; Holmberg, K. Amino acid-based surfactants—Do they deserve more attention? Adv. Colloid Interface Sci. 2015, 222, 79–91. [Google Scholar] [CrossRef]
  29. Ananthapadmanabhan, K.P. Amino-acid surfactants in personal cleansing (review). Tenside Surfactants Deterg. 2019, 56, 378–386. [Google Scholar] [CrossRef]
  30. Chandra, N.; Tyagi, V.K. Synthesis, Properties, and Applications of Amino Acids Based Surfactants: A Review. J. Dispers. Sci. Technol. 2013, 34, 800–808. [Google Scholar] [CrossRef]
  31. Infante, M.R.; Pérez, L.; Pinazo, A.; Clapés, P.; Morán, M.C.; Angelet, M.; García, M.T.; Vinardell, M.P. Amino acid-based surfactants. Comptes Rendus Chim. 2004, 7, 583–592. [Google Scholar] [CrossRef]
  32. Pinazo, A.; Pons, R.; Pérez, L.; Infante, M.R. Amino Acids as Raw Material for Biocompatible Surfactants. Ind. Eng. Chem. Res. 2011, 50, 4805–4817. [Google Scholar] [CrossRef]
  33. Tripathy, D.B.; Mishra, A.; Clark, J.; Farmer, T. Synthesis, chemistry, physicochemical properties and industrial applications of amino acid surfactants: A review. Comptes Rendus Chim. 2018, 21, 112–130. [Google Scholar] [CrossRef]
  34. Clapés, P.; Infante, M.R. Amino Acid-based surfactants: Enzymatic synthesis, properties and potential applications. Biocatal. Biotransform. 1999, 20, 215–233. [Google Scholar] [CrossRef]
  35. Zhao, H.; He, C.; Zhou, Y.; Yang, J.; Luo, C.; Xu, B. Study on foaming properties of N-acyl amino acid surfactants: Sodium N-acyl glycinate and sodium N-acyl phenylalaninate. Colloids Surf. A Physicochem. Eng. Asp. 2019, 567, 240–248. [Google Scholar] [CrossRef]
  36. Wang, Q.; Song, Z.; Han, F.; Xu, B.; Xu, B. Synthesis and properties of pH-dependent N-acylglutamate/aspartate surfactants. Colloids Surf. A Physicochem. Eng. Asp. 2022, 640, 128474. [Google Scholar] [CrossRef]
  37. Wang, C.; Zhang, P.; Chen, Z.; Liu, Y.; Zhao, L.; Wang, N.; Xu, B. Effects of fatty acyl chains on the interfacial rheological behaviors of amino acid surfactants. J. Mol. Liq. 2021, 325, 114823. [Google Scholar] [CrossRef]
  38. Wang, Y.; Hu, X.; Fang, Y.; Sun, Y.; Li, H.; Xia, Y. The α-Substituent effect of amino acids on performance of N-Lauroyl amino acid surfactants. J. Mol. Liq. 2024, 409, 125397. [Google Scholar] [CrossRef]
  39. Wu, J. Greener Surface Active Reagents Structure, Property and Performance Relationships. Ph.D. Thesis, Columbia University, New York, NY, USA, 2013. [Google Scholar] [CrossRef]
  40. Su, E.; Wang, H.; Sha, J. Thickening Cleansing Compositions and Applications and Method of Preparation Thereof. US Patent No. 11,045,404, 29 June 2021. [Google Scholar]
  41. Sakai, K.; Nomura, K.; Shrestha, R.G.; Endo, T.; Sakamoto, K.; Sakai, H.; Abe, M. Wormlike Micelle Formation by Acylglutamic Acid with Alkylamines. Langmuir 2012, 28, 17617–17622. [Google Scholar] [CrossRef]
  42. Lu, H.; Yuan, M.; Fang, B.; Wang, J.; Guo, Y. Wormlike Micelles in Mixed Amino Acid-Based Anionic Surfactant and Zwitterionic Surfactant Systems. J. Surfactants Deterg. 2015, 18, 589–596. [Google Scholar] [CrossRef]
  43. Borenfreund, E.; Babich, H.; Martin-Alguacil, N. Comparisons of two in vitro cytotoxicity assays—The neutral red (NR) and tetrazolium MTT tests. Toxicol. Vitr. 1988, 2, 1–6. [Google Scholar] [CrossRef] [PubMed]
  44. Gordon, V.C.; Realica, B.; Tolstrup, K.; Puls, B. Validation and Utilization of the SKINTEX™ System. J. Soc. Cos. Chem. 1991, 17, 64–80. [Google Scholar]
  45. Kawasaki, Y. Skin Irritation Potential Study of Anionic Surfactants using Electron Paramagnetic Resonance (EPR) Spectroscopy. Ph.D. Thesis, Chiba Institute of Science, Chiba, Japan, 2014. [Google Scholar]
  46. Lee, C.H.; Kawasaki, Y.; Maibach, H.I. Effect of surfactant mixtures on irritant contact dermatitis potential in man: Sodium lauroyl glutamate and sodium lauryl sulphate. Contact Dermat. 1994, 30, 205–209. [Google Scholar] [CrossRef]
  47. Sugar, M.; Schmucker, R. Reduction of Skin’s Surfactant Adsorption: An Effective Way to Improve Mildness and Performance of Bath Care Products. SÖFW-J. 2001, 127, 2–4. [Google Scholar]
  48. Su, E.; Gong, P.; Wang, T.; Sha, J.; Wang, H.; Wu, J. Water Saving Grace. Cosmet. Toil. 2020, 135, 61–75. [Google Scholar]
  49. ISO 16128-1:2016; Guidelines on Technical Definitions and Criteria for Natural and Organic Cosmetic Ingredients and Products Part 1: Definitions for Ingredients. ISO: Geneva, Switzerland, 2016.
  50. ISO 16128-2:2017; Cosmetics—Guidelines on Technical Definitions and Criteria for Natural and Organic Cosmetic Ingredients Part 2: Criteria for Ingredients and Products. ISO: Geneva, Switzerland, 2017.
  51. Wang, C.; Chen, X.; Li, B. Preparation Method and Use of N-Acyl Acidic Amino Acid or Salt Thereof. US Patent No. 9,629,787, 25 April 2017. [Google Scholar]
  52. Valivety, R.; Jauregi, P.; Gill, I.; Vulfson, E. Chemo-enzymatic synthesis of amino acid-based surfactants. J. Am. Oil Chem. Soc. 1997, 74, 879–886. [Google Scholar] [CrossRef]
  53. Joondan, N.; Laulloo, S.J.; Caumul, P. Amino acids: Building blocks for the synthesis of greener amphiphiles. J. Dispers. Sci. Technol. 2018, 39, 1550–1564. [Google Scholar] [CrossRef]
  54. Available online: https://echa.europa.eu/registration-dossier/-/registered-dossier/20719 (accessed on 7 June 2024).
  55. Available online: www.chemspider.com (accessed on 1 July 2024).
  56. Available online: https://pubchem.ncbi.nlm.nih.gov/ (accessed on 13 June 2024).
  57. Boshui, C.; Zhang, N.; Sun, X. Enhanced Biodegradation of Lubricating Oil by Fatty Acyl Amino Acids. In Proceedings of the 2011 China Functional Materials Technology and Industry Forum (CTMTIF 2011) Chongqing China, 16–19 November 2011. [Google Scholar]
  58. Environmental Protection Agency. Life Cycle Assessment: Principles and Practice; EPA/600/R-06/060; Office of Research and Development: Cincinnati, OH, USA, 2006. [Google Scholar]
  59. Environmental Protection Agency. Life Cycle Assessment: Inventory Guidelines and Principles; EPA/600/R-92/245; Office of Research and Development: Cincinnati, OH, USA, 1993. [Google Scholar]
  60. Kröhnert, H.; Stucki, M. Life Cycle Assessment of a Plant-Based, Regionally Marketed Shampoo and Analysis of Refill Options. Sustainability 2021, 13, 8478. [Google Scholar] [CrossRef]
  61. Rebitzer, G.; Ekvall, T.; Frischknecht, R.; Hunkeler, D.; Norris, G.; Rydberg, T.; Schmidt, W.-P.; Suh, S.; Weidema, B.P.; Pennington, D.W. Life cycle assessment: Part 1: Framework, goal and scope definition, inventory analysis, and applications. Environ. Int. 2004, 30, 701–720. [Google Scholar] [CrossRef] [PubMed]
  62. Lam, W.Y.; Kulak, M.; Sim, S.; King, H.; Huijbregts, M.A.; Chaplin-Kramer, R. Greenhouse gas footprints of palm oil production in Indonesia over space and time. Sci. Total. Environ. 2019, 688, 827–837. [Google Scholar] [CrossRef]
  63. Schowanek, D.; Borsboom-Patel, T.; Bouvy, A.; Colling, J.; de Ferrer, J.A.; Eggers, D.; Groenke, K.; Gruenenwald, T.; Martinsson, J.; Mckeown, P.; et al. New and updated life cycle inventories for surfactants used in European detergents: Summary of the ERASM surfactant life cycle and ecofootprinting project. Int. J. Life Cycle Assess. 2018, 23, 867–886. [Google Scholar] [CrossRef]
  64. Available online: https://www.erasm.org/ (accessed on 26 August 2024).
  65. Xia, J.; Xia, Y.; Nnanna, I.A. Structure-Function Relationship of Acyl Amino Acid Surfactants: Surface Activity and Antimicrobial Properties. J. Agric. Food Chem. 1995, 43, 867–871. [Google Scholar] [CrossRef]
  66. Pinazo, A.; Manresa, M.; Marques, A.; Bustelo, M.; Espuny, M.; Pérez, L. Amino acid–based surfactants: New antimicrobial agents. Adv. Colloid Interface Sci. 2016, 228, 17–39. [Google Scholar] [CrossRef] [PubMed]
  67. E640-06; Standard Test Method for Preservatives in Water-Containing Cosmetics. ASTM International: West Conshohocken PA, USA, 2012. [CrossRef]
  68. Akbari, S.; Abdurahman, N.H.; Yunus, R.M.; Fayaz, F.; Alara, O.R. Biosurfactants—A new frontier for social and environmental safety: A mini review. Biotechnol. Res. Innov. 2018, 2, 81–90. [Google Scholar] [CrossRef]
  69. Markande, A.R.; Patel, D.; Varjani, S. A review on biosurfactants: Properties, applications and current developments. Bioresour. Technol. 2021, 330, 124963. [Google Scholar] [CrossRef] [PubMed]
  70. Sarubbo, L.A.; Silva, M.d.G.C.; Durval, I.J.B.; Bezerra, K.G.O.; Ribeiro, B.G.; Silva, I.A.; Twigg, M.S.; Banat, I.M. Biosurfactants: Production, properties, applications, trends, and general perspectives. Biochem. Eng. J. 2022, 181, 108377. [Google Scholar] [CrossRef]
  71. Vecino, X.; Cruz, J.M.; Moldes, A.B.; Rodrigues, L.R. Biosurfactants in cosmetic formulations: Trends and challenges. Crit. Rev. Biotechnol. 2017, 37, 911–923. [Google Scholar] [CrossRef] [PubMed]
  72. Kulkarni, S.; Choudhary, P. Production and isolation of biosurfactant-sophorolipid and its application in body wash formulation. Asian J. Microb. Biotechnol. Environ. Sci. 2011, 13, 217–221. [Google Scholar]
  73. Bezerra, K.G.O.; Meira, H.M.; Veras, B.O.; Stamford, T.C.M.; Fernandes, E.L.; Converti, A.; Rufino, R.D.; Sarubbo, L.A. Application of Plant Surfactants as Cleaning Agents in Shampoo Formulations. Processes 2023, 11, 879. [Google Scholar] [CrossRef]
Figure 1. Sodium lauryl sulfate.
Figure 1. Sodium lauryl sulfate.
Cosmetics 12 00014 g001
Figure 2. Sodium laureth sulfate.
Figure 2. Sodium laureth sulfate.
Cosmetics 12 00014 g002
Figure 3. The origin of 1,4-dioxane in cosmetics (Modified from [12]).
Figure 3. The origin of 1,4-dioxane in cosmetics (Modified from [12]).
Cosmetics 12 00014 g003
Figure 4. Synthesis of SLES.
Figure 4. Synthesis of SLES.
Cosmetics 12 00014 g004
Figure 5. Synthesis of cocamidopropyl betaine (after [16]).
Figure 5. Synthesis of cocamidopropyl betaine (after [16]).
Cosmetics 12 00014 g005
Figure 6. Sodium cocoyl isthionate synthesis.
Figure 6. Sodium cocoyl isthionate synthesis.
Cosmetics 12 00014 g006
Figure 7. Sodium lauroyl glutamate.
Figure 7. Sodium lauroyl glutamate.
Cosmetics 12 00014 g007
Figure 8. Sodium cocoyl alaninate.
Figure 8. Sodium cocoyl alaninate.
Cosmetics 12 00014 g008
Figure 9. pH dependence of glutamate surfactants.
Figure 9. pH dependence of glutamate surfactants.
Cosmetics 12 00014 g009
Figure 10. Critical packing parameters of various amino acid surfactants.
Figure 10. Critical packing parameters of various amino acid surfactants.
Cosmetics 12 00014 g010
Figure 11. Glutamate surfactant system thickening technology.
Figure 11. Glutamate surfactant system thickening technology.
Cosmetics 12 00014 g011
Figure 12. MTT50 results.
Figure 12. MTT50 results.
Cosmetics 12 00014 g012
Figure 13. L/D values of surfactants tested by red blood cell method.
Figure 13. L/D values of surfactants tested by red blood cell method.
Cosmetics 12 00014 g013
Figure 14. SKINTEX™ design (after [43]).
Figure 14. SKINTEX™ design (after [43]).
Cosmetics 12 00014 g014
Figure 15. Effect of glutamates on SLES skin absorption (after [47]).
Figure 15. Effect of glutamates on SLES skin absorption (after [47]).
Cosmetics 12 00014 g015
Figure 16. Six-step hand washing method.
Figure 16. Six-step hand washing method.
Cosmetics 12 00014 g016
Figure 17. Hair care water saving test protocol.
Figure 17. Hair care water saving test protocol.
Cosmetics 12 00014 g017
Figure 18. Water saving, skin cleansing water consumption (ml).
Figure 18. Water saving, skin cleansing water consumption (ml).
Cosmetics 12 00014 g018
Figure 19. Water saving, hair cleansing water consumption (mL).
Figure 19. Water saving, hair cleansing water consumption (mL).
Cosmetics 12 00014 g019
Figure 20. Water/energy consumption analysis.
Figure 20. Water/energy consumption analysis.
Cosmetics 12 00014 g020
Figure 21. Foam and foam stability.
Figure 21. Foam and foam stability.
Cosmetics 12 00014 g021
Figure 22. Natural origin index of amino acid-based surfactants.
Figure 22. Natural origin index of amino acid-based surfactants.
Cosmetics 12 00014 g022
Figure 23. Amino acid surfactant synthesis.
Figure 23. Amino acid surfactant synthesis.
Cosmetics 12 00014 g023
Figure 24. ECHA registration dossier [54].
Figure 24. ECHA registration dossier [54].
Cosmetics 12 00014 g024
Figure 25. EPI Suite welcome screen for sodium lauroyl glutamate.
Figure 25. EPI Suite welcome screen for sodium lauroyl glutamate.
Cosmetics 12 00014 g025
Figure 26. EPI Suite biodegradability prediction.
Figure 26. EPI Suite biodegradability prediction.
Cosmetics 12 00014 g026
Figure 27. Life cycle stages (derived from [58].
Figure 27. Life cycle stages (derived from [58].
Cosmetics 12 00014 g027
Figure 28. Comparison of greenhouse gas emissions.
Figure 28. Comparison of greenhouse gas emissions.
Cosmetics 12 00014 g028
Figure 29. Challenge Test.
Figure 29. Challenge Test.
Cosmetics 12 00014 g029
Figure 30. Surfactin.
Figure 30. Surfactin.
Cosmetics 12 00014 g030
Figure 31. Rhamnolipids.
Figure 31. Rhamnolipids.
Cosmetics 12 00014 g031
Table 1. Analysis of commercial products.
Table 1. Analysis of commercial products.
IngredientNo. of Times Cited
Cocoamidopropyl Betaine23
Isothionates21
C14-16 Olefin Sulfonate (AOS)12
Sulfosuccinate10
Hydroxysultaine7
Cocamide mipa/dipa5
Taurate7
Sodium Lauryl Sulfoacetate4
Sodium Lauroyl Sarcosinate5
Decy/cocol glucoside5
Lauramidopropyl Betaine1
Table 2. Comparison of synthesis feedstocks and impurities.
Table 2. Comparison of synthesis feedstocks and impurities.
SurfactantMain Feed StocksMain Impurities
Glutamates, alaninatesFatty acids, amino acidsAmino acids, fatty acids, sodium chloride
APG Fatty alcohol, glucoseFatty alcohol, glucose
BetainesFatty amine, sodium chloroacetate, epichorohydrinFatty amine, sodium chloroacetate, epichorohydrin
Alkyl sulfosuccinateFatty acid, maleic anhydride, ethanolamineSodium maleate
Isethionates/tauratesFatty acid, EO, sodium sulfite/same + methylamineDioxane, sodium isethionate/same + sodium methyltaurine
SLES Fatty alcohols, EO, SO3Dioxane
Imidazolidine/amphoacetatesFatty acid, alkyl diamine, sodium chloroacetateAlkyl diamine, sodium chloroacetate
AOSAlpha olefins, sulfurSultone
Table 3. Minimal inhibitory concentration (MIC) results of Sino Lion’s amino acid surfactants.
Table 3. Minimal inhibitory concentration (MIC) results of Sino Lion’s amino acid surfactants.
Trade NameMIC (ppm)
S. aureusE. coliP. aeruginosaP. cepaciaC. albicansA. niger
Eversoft™ YLS145640,000>14,750727728728
Eversoft™ YCS-30S167546,00046,00013,3951675837
Eversoft™ UCS-30S176535303530353017651765
Eversoft™ UMS-30S3530>3530>3530>353035303530
Eversoft™ ULS-30S349448,000>48,00017471747874
Eversoft™ YLS (INCI name: sodium lauroyl glycinate); Eversoft™ YCS (INCI name: sodium cocoyl glycinate); Eversoft™ UCS-30S (INCI name: disodium cocoyl glutamate); Eversoft™ UMS-30S (INCI name: sodium myristoyl glutamate); Eversoft™ ULS-30S (INCI name: sodium lauroyl glutamate).
Table 4. Cultures used in Challenge test.
Table 4. Cultures used in Challenge test.
CulturesCount
E. coliATCC 87391.0 × 106
S. aureusATCC 65381.6 × 106
P. aeruginosaATCC 90271.1 × 106
A. albicansATCC 102313.7 × 105
A. nigerATCC 164041.6 × 105
Disclaimer/Publisher’s Note: The statements, opinions and data contained in all publications are solely those of the individual author(s) and contributor(s) and not of MDPI and/or the editor(s). MDPI and/or the editor(s) disclaim responsibility for any injury to people or property resulting from any ideas, methods, instructions or products referred to in the content.

Share and Cite

MDPI and ACS Style

Su, E.; Herman, S. Beyond Sulfate-Free Personal Cleansing Technology. Cosmetics 2025, 12, 14. https://doi.org/10.3390/cosmetics12010014

AMA Style

Su E, Herman S. Beyond Sulfate-Free Personal Cleansing Technology. Cosmetics. 2025; 12(1):14. https://doi.org/10.3390/cosmetics12010014

Chicago/Turabian Style

Su, Evelyn, and Stephen Herman. 2025. "Beyond Sulfate-Free Personal Cleansing Technology" Cosmetics 12, no. 1: 14. https://doi.org/10.3390/cosmetics12010014

APA Style

Su, E., & Herman, S. (2025). Beyond Sulfate-Free Personal Cleansing Technology. Cosmetics, 12(1), 14. https://doi.org/10.3390/cosmetics12010014

Note that from the first issue of 2016, this journal uses article numbers instead of page numbers. See further details here.

Article Metrics

Back to TopTop