Evaluation of the Effectiveness of Injections of Autologous Platelet-Rich Plasma into Facial Skin
Abstract
1. Introduction
2. Materials and Methods
2.1. Patients
- General examination with anamnesis to exclude any systemic diseases or acute viral/bacterial infectious diseases;
- After the procedure, the presence/absence of undesirable local and systemic reactions were checked (pain, itching, allergic reactions, bleeding, skin infections, etc.);
- Assessment of the skin’s condition before and 1 month after the procedure using the 3D Bitmoji facial skin analyzer from Guangzhou Ideal Beauty Equipment Co., Ltd. (Guangzhou, China) (analysis of digital images through RGB (visible light), PL (polarized light), and UV (ultraviolet) spectra by assessing skin age, sensitivity, age spots, wrinkles, black spots, pores, and total score). The analyzer calculated a total score on a 100-point scale automatically. The total score was determined by comparing all the patient’s results with the results of the same age category, embedded in the analyzer program;
- Assessment of midface volume changes before and 1 month after the procedure. For this purpose, the MFVDS (Midface Volume Deficit Scale) developed by G. J. Jeong et al. [7] was used. The midface volume deficit degree was measured as follows: 0 (none), 1—minimal, 2—mild, 3—moderate, 4—significant, and 5—severe. One month after the procedure, if the score on this scale decreased by 1 or more degrees, this result was considered as an improvement;
- Assessment of aesthetic improvement by the doctor and the patient (Global Aesthetic Improvement Scale (GAIS)) [8];
- A complete blood count before the procedure with the determination of lymphocytes and monocytes to exclude patients with inflammatory reactions and with the determination of platelets to exclude coagulation disorders;
- To exclude coagulation disorders—measuring d-dimer in the blood serum before the procedure;
- Determination of serum estradiol levels prior to the procedure during the follicular phase of the menstrual cycle to identify possible effects on the results of PRP injections into facial skin;
- Determination of serum insulin levels before the procedure to detect diabetes mellitus or metabolic disorders, provided that the patients were not aware of it during history taking, and to identify any possible effects on the results of PRP facial injections.
- Age under 20;
- Pregnant or lactating women;
- Deviations from normal values in blood tests before the procedure (especially thrombocytopenia, changes in the number of lymphocytes/monocytes (low/high));
- The presence of concomitant diseases such as coagulopathy, thyroid dysfunction, autoimmune and infectious diseases, diabetes mellitus, or any other severe concomitant diseases affecting well-being and quality of life;
- Taking any medications (especially receiving anticoagulant therapy).
2.2. PRP Preparation Methodology
- The average volume of PRP obtained was 4.5 ± 0.1 mL;
- Removal of platelet-poor plasma—no;
- To assess purity relative composition of the PRP (%) was calculated. Relative composition in platelets—58.6 ± 12.1, leukocytes—1.2 ± 0.3, red blood cells—40.2 ± 13.1. According to the DEPA classification, we received heterogeneous PRP [12];
- Average dose of injected platelets was 1.2 ± 0.2 × 109/L.
2.3. PRP Injection Technique into Facial Skin
2.4. Ethics Statement
2.5. Statistical Analysis
3. Results
3.1. Patient Profiles
3.2. Skin Assessment before and 1 Month after the Procedure Using a Facial Skin Analyzer
3.3. Assessment of Changes in the Midface Volume, Aesthetic Improvement by the Doctor and the Patient in Dynamics 1 Month after the Procedure
4. Discussion
5. Conclusions
Author Contributions
Funding
Institutional Review Board Statement
Informed Consent Statement
Data Availability Statement
Conflicts of Interest
References
- Etulain, J.; Mena, H.A.; Meiss, R.P.; Frechtel, G.; Gutt, S.; Negrotto, S.; Schattner, M. An optimised protocol for platelet-rich plasma preparation to improve its angiogenic and regenerative properties. Sci. Rep. 2018, 8, 1513. [Google Scholar] [CrossRef] [PubMed]
- Leo, M.S.; Kumar, A.S.; Kirit, R.; Konathan, R.; Sivamani, R.K. Systematic review of the use of platelet-rich plasma in aesthetic dermatology. J. Cosmet. Dermatol. 2015, 14, 315–323. [Google Scholar] [CrossRef] [PubMed]
- Chen, J.X.; Justicz, N.; Lee, L.N. Platelet-Rich Plasma for the Treatment of Androgenic Alopecia: A Systematic Review. Facial Plast. Sur. 2018, 34, 631–640. [Google Scholar] [CrossRef]
- Pixley, J.N.; Cook, M.K.; Singh, R.; Larrondo, J.; McMichael, A.J. A comprehensive review of platelet-rich plasma for the treatment of dermatologic disorders. J. Dermatol. Treat. 2023, 34, 2142035. [Google Scholar] [CrossRef] [PubMed]
- Ulusal, B.G. Platelet-rich plasma and hyaluronic acid–an efficient biostimulation method for face rejuvenation. J. Cosmet. Dermatol. 2017, 16, 112–119. [Google Scholar] [CrossRef]
- Tey, R.V.; Haldankar, P.; Joshi, V.R.; Raj, R.; Maradi, R. Variability in Platelet-Rich Plasma Preparations Used in Regenerative Medicine: A Comparative Analysis. Stem Cells Int. 2022, 2022, 3852898. [Google Scholar] [CrossRef] [PubMed]
- Jeong, G.J.; Han, H.S.; Ahn, G.R.; Ko, E.J.; Choi, S.Y.; Lee, K.H.; Kim, B.J. Validation of the midface volume deficit scale using a new photo-guideline in the Asian population. Dermatol. Ther. 2019, 32, e12938. [Google Scholar] [CrossRef] [PubMed]
- Savoia, A.; Accardo, C.; Vannini, F.; Di Pasquale, B.; Baldi, A. Outcomes in Thread Lift for Facial Rejuvenation: A Study Performed with Happy Lift™ Revitalizing. Dermatol. Ther. 2014, 4, 103–114. [Google Scholar] [CrossRef] [PubMed]
- Gentile, P.; Cole, J.P.; Cole, M.A.; Garcovich, S.; Bielli, A.; Scioli, M.G.; Orlandi, A.; Insalaco, C.; Cervelli, V. Evaluation of notactivated and activated PRP in hair loss treatment: Role of growth factor and cytokine concentrations obtained by different collection systems. Int. J. Mol. Sci. 2017, 18, 408. [Google Scholar] [CrossRef]
- Cavallo, C.; Roffi, A.; Grigolo, B.; Mariani, E.; Pratelli, L.; Merli, G.; Kon, E.; Marcacci, M.; Filardo, G. Platelet-Rich Plasma: The Choice of Activation Method Affects the Release of Bioactive Molecules. Biomed. Res. Int. 2016, 2016, 6591717. [Google Scholar] [CrossRef]
- Popescu, M.N.; Iliescu, M.G.; Beiu, C.; Popa, L.G.; Mihai, M.M.; Berteanu, M.; Ionescu, A.M. Autologous Platelet-Rich Plasma Efficacy in the Field of Regenerative Medicine: Product and Quality Control. Biomed. Res. Int. 2021, 2021, 4672959. [Google Scholar] [CrossRef] [PubMed]
- Magalon, J.; Chateau, A.L.; Bertrand, B.; Louis, M.L.; Silvestre, A.; Giraudo, L.; Veran, J.; Sabatier, F. DEPA classification: A proposal for standardising PRP use and a retrospective application of available devices. BMJ Open Sport. Exerc. Med. 2016, 2, e000060. [Google Scholar] [CrossRef] [PubMed]
- ABIM Laboratory Test Reference Ranges—January 2024. American Board of Internal Medicine. Available online: https://www.abim.org/Media/bfijryql/laboratory-reference-ranges.pdf (accessed on 19 April 2024).
- Cognasse, F.; Hamzeh-Cognasse, H.; Mismetti, P.; Thomas, T.; Eglin, D.; Marotte, H. The Non-Haemostatic Response of Platelets to Stress: An Actor of the Inflammatory Environment on Regenerative Medicine? Front. Immunol. 2021, 12, 741988. [Google Scholar] [CrossRef] [PubMed]
- Prodromidou, A.; Zacharakis, D.; Athanasiou, S.; Protopapas, A.; Michala, L.; Kathopoulis, N.; Grigoriadis, T. The Emerging Role on the Use of Platelet-Rich Plasma Products in the Management of Urogynaecological Disorders. Surg. Innov. 2022, 29, 80–87. [Google Scholar] [CrossRef] [PubMed]
- Dankova, I.; Pyrgidis, N.; Tishukov, M.; Georgiadou, E.; Nigdelis, M.P.; Solomayer, E.-F.; Marcon, J.; Stief, C.G.; Hatzichristou, D. Efficacy and Safety of Platelet-Rich Plasma Injections for the Treatment of Female Sexual Dysfunction and Stress Urinary Incontinence: A Systematic Review. Biomedicines 2023, 11, 2919. [Google Scholar] [CrossRef]
- Ezz El-Dawla, R.; Abdelhaleem, M.; Abdelhamed, A. Evaluation of the safety and efficacy of platelet-rich plasma in the treatment of female patients with chronic telogen effluvium: A randomised, controlled, double-blind, pilot clinical trial. Indian J. Dermatol. Venereol. Leprol. 2023, 89, 195–203. [Google Scholar] [CrossRef] [PubMed]
- Chilicka, K.; Rogowska, A.M.; Szyguła, R.; Dzieńdziora-Urbińska, I.; Taradaj, J. A comparison of the effectiveness of azelaic and pyruvic acid peels in the treatment of female adult acne: A randomized controlled trial. Sci. Rep. 2020, 10, 12612. [Google Scholar] [CrossRef]
- Goldie, K.; Kerscher, M.; Fabi, S.G.; Hirano, C.; Landau, M.; Lim, T.S.; Woolery-Lloyd, H.; Mariwalla, K.; Park, J.-Y.; Yutskovskaya, Y. Skin Quality—A Holistic 360° View: Consensus Results. Clin. Cosmet. Investig. Dermatol. 2021, 14, 643–654. [Google Scholar] [CrossRef] [PubMed]
- Selivanova, K.G.; Trubitsin, A.A.; Avrunin, O.G. Development of a comprehensive method for the dermatoscopic images analysis of the facial skin with acne. Biophys. Bull. 2021, 46, 34–45. [Google Scholar] [CrossRef]
- Jones, O.T.; Matin, R.N.; van der Schaar, M.; Prathivadi Bhayankaram, K.; Ranmuthu, C.K.I.; Islam, M.S.; Behiyat, D.; Boscott, R.; Calanzani, N.; Emery, J.; et al. Artificial intelligence and machine learning algorithms for early detection of skin cancer in community and primary care settings: A systematic review. Lancet Digit. Health 2022, 4, e466–e476. [Google Scholar] [CrossRef]
- Cantelli, M.; Ferrillo, M.; Granger, C.; Fabbrocini, G. An open-label, investigator-initiated, single-center, prospective, pilot clinical study to evaluate the efficacy of a skin whitening serum applied twice daily combined with a spot-preventing SPF50+ sunscreen in healthy female subjects with melasma hyperpigmentation. J. Cosmet. Dermatol. 2022, 21, 1523–1532. [Google Scholar] [CrossRef] [PubMed]
- Banihashemi, M.; Zabolinejad, N.; Salehi, M.; Alamdari, Z.H.; Nakhaizadeh, S. Platelet-rich Plasma use for facial rejuvenation: A clinical trial and review of current literature. Acta Biomed. 2021, 92, e2021187. [Google Scholar] [CrossRef]
- Maisel-Campbell, A.L.; Ismail, A.; Reynolds, K.A.; Poon, E.; Serrano, L.; Grushchak, S. A systematic review of the safety and effectiveness of platelet-rich plasma (PRP) for skin aging. Arch. Dermatol. Res. 2020, 312, 301–315. [Google Scholar] [CrossRef] [PubMed]
- Majid, I.; Timungpi, R. Platelet rich plasma in treatment of topical steroid damaged face: A retrospective analytical study. Dermatol. Ther. 2022, 35, e15356. [Google Scholar] [CrossRef] [PubMed]
- Rekik, M.; Mseddi, M.; Kammoun, N.; Sellami, K.; Turki, H. Efficacy of autologous platelet-rich plasma in the treatment of vitiligo: A 10-patient prospective study. J. Cosmet. Dermatol. 2022, 21, 4225–4233. [Google Scholar] [CrossRef] [PubMed]
- Chahla, J.; Cinque, M.E.; Piuzzi, N.S.; Mannava, S.; Geeslin, A.G.; Murray, I.R.; Dornan, G.J.; Muschler, G.F.; LaPrade, R.F. A Call for Standardization in Platelet-Rich Plasma Preparation Protocols and Composition Reporting: A Systematic Review of the Clinical Orthopaedic Literature. J. Bone Jt. Surg. Am. 2017, 99, 1769–1779. [Google Scholar] [CrossRef]
- Buzalaf, M.A.R.; Levy, F.M. Autologous platelet concentrates for facial rejuvenation. J. Appl. Oral. Sci. 2022, 30, e20220020. [Google Scholar] [CrossRef] [PubMed]
- Bondarenko, L.B. Diabetes and Collagen: Interrelations. Avicenna J. Med. Biochem. 2019, 7, 64–71. [Google Scholar] [CrossRef]
- Murao, S.; Murao, K.; Nagata, T.; Shimizu, M.; Miyai, Y. Repeated insulin injection without site rotation affects skin thickness—Ultrasonographic and histological evaluation. J. Diabetes-Vestig. 2022, 13, 997–1003. [Google Scholar] [CrossRef] [PubMed]
- Wilkinson, H.N.; Hardman, M.J. The role of estrogen in cutaneous ageing and repair. Maturitas 2017, 103, 60–64. [Google Scholar] [CrossRef] [PubMed]
- Fang, M.; Liroff, K.G.; Turner, A.S.; Les, C.M.; Orr, B.G.; Holl, M.M. Estrogen depletion results in nanoscale morphology changes in dermal collagen. J. Investig. Dermatol. 2012, 132, 1791–1797. [Google Scholar] [CrossRef] [PubMed]
- Wilkinson, H.N.; Hardman, M.J. A role for estrogen in skin ageing and dermal biomechanics. Mech. Ageing Dev. 2021, 197, 111513. [Google Scholar] [CrossRef] [PubMed]
- Ghasemzadeh, M.; Hosseini, E. Platelet-leukocyte crosstalk: Linking proinflammatory re-sponses to procoagulant state. Thromb. Res. 2013, 131, 191–197. [Google Scholar] [CrossRef] [PubMed]
- Takeuchi, H.; Yamamoto, Y.; Miyahara, J.; Takeshima, T.; Ozaki, A.; Kawasaki, T.; Kawamura, K.; Oka, N. Small vessel platelet thrombosis in the peripheral nerves in POEMS syndrome. Muscle Nerve 2023, 68, 882–885. [Google Scholar] [CrossRef]
- Takahagi, S.; Mihara, S.; Iwamoto, K.; Morioke, S.; Okabe, T.; Kameyoshi, Y.; Hide, M. Coagulation/fibrinolysis and inflammation markers are associated with disease activity in patients with chronic urticaria. Allergy 2010, 65, 649–656. [Google Scholar] [CrossRef]
- Varga, L.; Farkas, H. Comprehensive study into the activation of the plasma enzyme systems during attacks of hereditary angioedema due to C1-inhibitor deficiency. Orphanet J. Rare Dis. 2015, 10, 132. [Google Scholar] [CrossRef]
- Marzano, A.V.; Tedeschi, A.; Berti, E.; Crosti, C.; Cugno, M. Activation of coagulation in bullous pemphigoid and other eosinophil-related inflammatory skin diseases. Clin. Exp. Immunol. 2011, 165, 44–50. [Google Scholar] [CrossRef]
- Cugno, M.; Borghi, A.; Garcovich, S.; Marzano, A.V. Coagulation and Skin Autoimmunity. Front. Immunol. 2019, 10, 1407. [Google Scholar] [CrossRef]
- Wang, H.C.; Li, Z.; Li, Z.; Wang, X.; Long, X. Platelet-Rich Plasma Combined Fat Transplantation for the Treatment of Bleomycin-Induced Murine Scleroderma. Ann. Plast. Surg. 2023, 90, 626–630. [Google Scholar] [CrossRef]





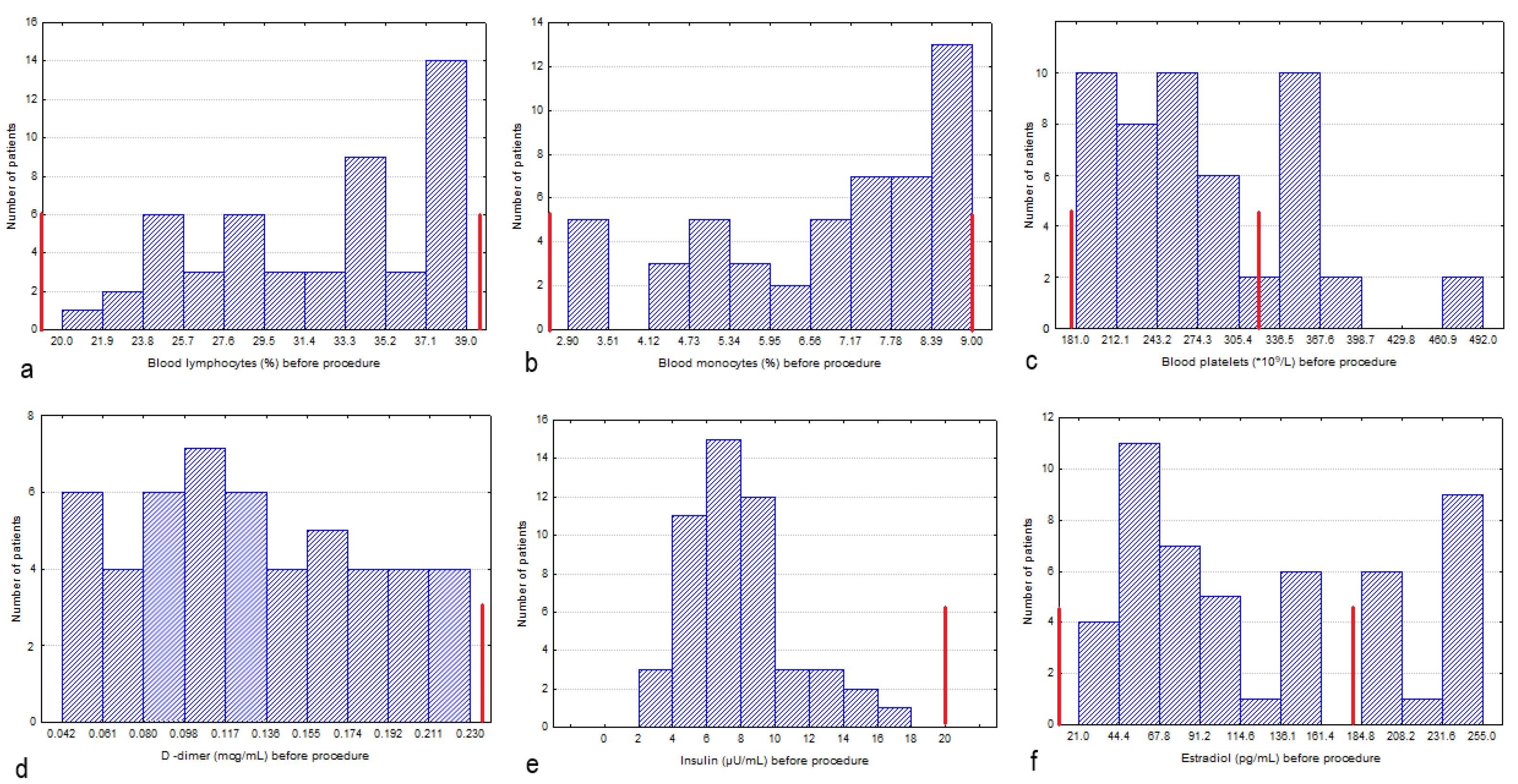
| Indicators | Median | Lower Quartile | Upper Quartile | Normal Range [13] |
|---|---|---|---|---|
| Blood lymphocytes (%) | 33.75 | 28.00 | 38.00 | 18–40 |
| Blood monocytes (%) | 7.30 | 5.30 | 8.40 | 2.0–9.0 |
| Blood platelets (×109/L) | 259.00 | 229.00 | 337.00 | 180–320 |
| d-dimer (mcg/mL) | 0.11 | 0.07 | 0.14 | <0.243 |
| Insulin (μU/mL) | 7.50 | 5.80 | 9.50 | ˂20 |
| Estradiol (pg/mL) | 98.00 | 62.00 | 194.00 | Follicular phase 10–180 |
| Indicators * | Prior to the Procedure | One Month after the Procedure | Wilcoxon’s Z-Test | p-Level |
|---|---|---|---|---|
| Skin age (years) | 37.0 (34.0–48.0) | 34.0 (30.0–50.0) | 1.258 | 0.208 |
| Age spots (number) | 585.5 (492.0–658.0) | 539.50 (464.0–651.0) | 0.909 | 0.364 |
| Wrinkles (number) | 337.5 (315.0–456.0) | 353.5 (282.0–407.0) | 0.943 | 0.345 |
| Black spots (number) | 64.0 (38.0–109.0) | 67.5 (32.0–102.0) | 1.013 | 0.311 |
| Pores (number) | 608.5 (551.0–728.0) | 556.0 (416.0–693.0) | 1.098 | 0.272 |
| Total score (on a 100-point scale) | 70.0 (66.0–74.0) | 70.5 (65.0–78.0) | 0.196 | 0.845 |
| Indicators * | Improvement in the Midface Volume after a Month, as Assessed Using the MFVDS Scale | Mann–Whitney Z-Test | p-Level | |
|---|---|---|---|---|
| + | − | |||
| Platelets before procedure (×109/L) | 229.5 (189.0–253.5) | 305.0 (261.0–361.0) | −2.747 | 0.006 |
| Estradiol before procedure (pg/mL) | 150,0 (62.0–248.0) | 86.0 (45.0–99.0) | 2.022 | 0.0432 |
| Indicators | AUC (95% CI) * | p-Level | Youden’s J-Index | Optimal Threshold Value | Sensitivity | Specificity |
|---|---|---|---|---|---|---|
| Platelets before procedure (×109/L) | 0.824 (0.620–0.946) | 0.0004 | 0.6026 | ≤259 | 83.33 | 76.92 |
| Estradiol before procedure (pg/mL) | 0.691 (0.532–0.823) | 0.0204 | 0.4254 | >99 | 58.33 | 84.21 |
Disclaimer/Publisher’s Note: The statements, opinions and data contained in all publications are solely those of the individual author(s) and contributor(s) and not of MDPI and/or the editor(s). MDPI and/or the editor(s) disclaim responsibility for any injury to people or property resulting from any ideas, methods, instructions or products referred to in the content. |
© 2024 by the authors. Licensee MDPI, Basel, Switzerland. This article is an open access article distributed under the terms and conditions of the Creative Commons Attribution (CC BY) license (https://creativecommons.org/licenses/by/4.0/).
Share and Cite
Koshkinbayeva, A.; Ogizbayeva, A.; Ponamareva, O.; Omarkulov, B.; Yutskovskaya, Y. Evaluation of the Effectiveness of Injections of Autologous Platelet-Rich Plasma into Facial Skin. Cosmetics 2024, 11, 175. https://doi.org/10.3390/cosmetics11050175
Koshkinbayeva A, Ogizbayeva A, Ponamareva O, Omarkulov B, Yutskovskaya Y. Evaluation of the Effectiveness of Injections of Autologous Platelet-Rich Plasma into Facial Skin. Cosmetics. 2024; 11(5):175. https://doi.org/10.3390/cosmetics11050175
Chicago/Turabian StyleKoshkinbayeva, Alina, Alina Ogizbayeva, Olga Ponamareva, Bauyrzhan Omarkulov, and Yana Yutskovskaya. 2024. "Evaluation of the Effectiveness of Injections of Autologous Platelet-Rich Plasma into Facial Skin" Cosmetics 11, no. 5: 175. https://doi.org/10.3390/cosmetics11050175
APA StyleKoshkinbayeva, A., Ogizbayeva, A., Ponamareva, O., Omarkulov, B., & Yutskovskaya, Y. (2024). Evaluation of the Effectiveness of Injections of Autologous Platelet-Rich Plasma into Facial Skin. Cosmetics, 11(5), 175. https://doi.org/10.3390/cosmetics11050175

