Physicochemical Properties of a Bioactive Polysaccharide Film from Cassia grandis with Immobilized Collagenase from Streptomyces parvulus (DPUA/1573)
Abstract
1. Introduction
2. Materials and Methods
2.1. Materials
2.2. Obtaining Galactomannan
2.3. Film Preparation
2.4. Collagenase Produced by Streptomyces parvulus
2.5. Determination of Proteins
2.6. Collagenase Purification
2.7. Immobilization of Collagenase in Polysaccharide Film
2.8. Characterization of the Polysaccharide Film and the Film Incorporated with Collagenases
2.8.1. Film Thickness
2.8.2. Scanning Electron Microscopy (SEM)
2.8.3. Fourier-Transform Infrared Spectroscopy (FTIR)
2.8.4. Thermogravimetric Analysis (TGA)
2.8.5. Color and Opacity
2.8.6. Moisture Content
2.8.7. Water Vapor Permeability (WVP)
2.8.8. Contact Angle
2.8.9. Mechanical Properties
2.8.10. Statistical Analysis
3. Results
3.1. Scanning Electron Microscopy (SEM)
3.2. Thickness and Moisture Content
3.3. Water Vapor Permeability (WVP)
3.4. Contact Angle before and after Ultraviolet Radiation
3.5. Fourier-Transform Infrared Spectroscopy (FTIR)
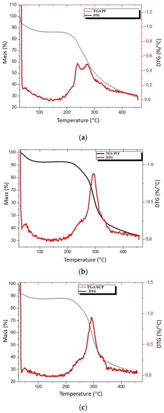
3.6. Thermogravimetric Analysis (TGA)
3.7. Color and Opacity
3.8. Mechanical Properties
4. Discussion
4.1. Scanning Electron Microscopy (SEM)
4.2. Thickness and Moisture Content
4.3. Water Vapor Permeability (WVP)
4.4. Contact Angle before and after Ultraviolet Radiation
4.5. Fourier-Transform Infrared Spectroscopy (FTIR)
4.6. Thermogravimetric Analysis (TGA)
4.7. Color and Opacity
4.8. Mechanical Properties
5. Conclusions
Author Contributions
Funding
Institutional Review Board Statement
Informed Consent Statement
Data Availability Statement
Conflicts of Interest
References
- Fadilah, N.I.M.; Phang, S.J.; Kamaruzaman, N.; Salleh, A.; Zawani, M.; Sanyal, A.; Maarof, M.; Fauzi, M.B. Antioxidant biomaterials in cutaneous wound healing and tissue regeneration: A critical review. Antioxidants 2023, 12, 787. [Google Scholar] [CrossRef]
- Xiao, H.; Chen, X.; Liu, X.; Wen, G.; Yu, Y. Recent advances in decellularized biomaterials for wound healing. Mater. Today Bio 2023, 19, 100589. [Google Scholar] [CrossRef] [PubMed]
- Prabhu, S.R. Healing: Tissue Regeneration and Repair. In Textbook of General Pathology for Dental Students; Springer Nature: Cham, Switzerland, 2023; pp. 49–56. [Google Scholar] [CrossRef]
- Gomes, B.S.; Do Bomfim, F.R.C.; de Jesus Lopes Filho, G. Photobiomodulation in the skin healing process-literature review Photobiomodulation in wound healing process-literature review. Braz. J. Dev. 2020, 6, 66814–66826. [Google Scholar] [CrossRef]
- Balbino, C.A.; Pereira, L.M.; Curi, R. Mechanisms involved in wound healing: A revision. Rev. Bras. Ciências Farm. 2005, 41, 27–51. [Google Scholar] [CrossRef]
- Ferreira, C.M.; D’Assumpção, E.A. Cicatrizes hipertróficas e queloides. Rev. Soc. Bras. Cir. Plást 2006, 21, 40–48. [Google Scholar]
- Potter, D.A.; Veitch, D.; Johnston, G.A. Scarring and wound healing. Br. J. Hosp. Med. 2019, 80, C166–C171. [Google Scholar] [CrossRef] [PubMed]
- Arora, P. Life below land: The need for a new sustainable development goal. Front. Environ. Sci. 2023, 11, 1215282. [Google Scholar] [CrossRef]
- Valladares, F. More biodiversity to improve our health: The benefits to human well-being of favouring functional and diverse ecosystems. Metode Sci. Stud. J. 2023, 13, 111–117. [Google Scholar] [CrossRef]
- Ponphaiboon, J.; Krongrawa, W.; Aung, W.W.; Chinatangkul, N.; Limmatvapirat, S.; Limmatvapirat, C. Advances in natural product extraction techniques, electrospun fiber fabrication, and the integration of experimental design: A comprehensive review. Molecules 2023, 28, 5163. [Google Scholar] [CrossRef]
- Costa, E.P.; Brandão-Costa, R.M.P.; Albuquerque, W.W.C.; Nascimento, T.P.; Sales Conniff, A.E.; Cardoso, K.B.B.; Neves, A.G.D.; Batista, J.M.S.; Porto, A.L.F. Extracellular collagenase isolated from Streptomyces antibioticus UFPEDA 3421: Purification and biochemical characterization. Prep. Biochem. Biotechnol. 2024, 54, 260–271. [Google Scholar] [CrossRef]
- Sheokand, B.; Vats, M.; Kumar, A.; Srivastava, C.M.; Bahadur, I.; Pathak, S.R. Natural polymers used in the dressing materials for wound healing: Past, present and future. J. Polym. Sci. 2023, 61, 1389–1414. [Google Scholar] [CrossRef]
- Koshy, J.T.; Vasudevan, D.; Sangeetha, D.; Prabu, A.A. Biopolymer Based Multifunctional Films Loaded with Anthocyanin Rich Floral Extract and ZnO Nano Particles for Smart Packaging and Wound Healing Applications. Polymers 2023, 15, 2372. [Google Scholar] [CrossRef]
- Fuentes, J.A.M.; Fernández, I.M.; Fernández, H.Z.; Sánchez, J.L.; Alemán, R.S.; Navarro-Alarcon, M.; Borrás-Linares, I.; Maldonado, S.A.S. Quantification of bioactive molecules, minerals and bromatological analysis in ficarao (Cassia grandis). J. Agric. Sci. 2020, 12, 88. [Google Scholar] [CrossRef]
- Raikwar, S.; Bidla, P.D.; Jain, A.; Jain, S.K. Plant polysaccharides-based nanoparticles for drug delivery. In Plant Polysaccharides as Pharmaceutical Excipients; Elsevier: Amsterdam, The Netherlands, 2022. [Google Scholar] [CrossRef]
- Alhawarri, M.B.; Dianita, R.; Rawa, M.S.A.; Nogawa, T.; Wahab, H.A. Potential Anti-Cholinesterase Activity of Bioactive Compounds Extracted from Cassia grandis Lf and Cassia timoriensis DC. Plants 2023, 12, 344. [Google Scholar] [CrossRef] [PubMed]
- Albuquerque, P.B.S.D. Avaliação Reológica da Galactomanana Extraída das Sementes de Cassia grandis. Master’s Thesis, Universidade Federal de Pernambuco, Recife, Brazil, 2013. [Google Scholar]
- Albuquerque, P.B.S.; Soares, P.A.G.; Aragão-Neto, A.C.; Albuquerque, G.S.; Silva, L.C.N.; Lima-Ribeiro, M.H.M.; Silva Neto, J.C.; Coelho, L.C.B.B.; Correia, M.T.S.; Teixeira, J.A.C.; et al. Healing activity evaluation of the galactomannan film obtained from Cassia grandis seeds with immobilized Cratylia mollis seed lectin. Int. J. Biol. Macromol. 2017, 102, 749–757. [Google Scholar] [CrossRef]
- Oliveira, V.M.; Cunha, M.N.C.; Assis, C.R.D.; Nascimento, T.P.; Herculano, P.N.; Holanda, M.T.; Porto, A.L.F. Colagenases do pescado e suas aplicações industriais. Pubvet 2017, 11, 243–255. [Google Scholar] [CrossRef]
- Ferreira, I.A.A.; de Albuquerque Wanderley, M.C.; Porto, A.L.F. Primeiro relato de produção de colagenase por fungo isolado do solo da Caatinga-Rhizopus microsporus UCP 1296. Res. Soc. Dev. 2022, 11, e398111234618. [Google Scholar] [CrossRef]
- Albuquerque, P.B.; Barros, W., Jr.; Santos, G.R.; Correia, M.T.; Mourão, P.A.; Teixeira, J.A.; Carneiro-da-Cunha, M.G. Characterization and rheological study of the galactomannan extracted from seeds of Cassia grandis. Carbohydr. Polym. 2014, 104, 127–134. [Google Scholar] [CrossRef]
- Pridham, T.G.; Aderson, P.; Foley, C. Selection of media for maintenance and taxonomic study of Streptomyces. Antibiot. Ann. 1957, 947–953. [Google Scholar] [PubMed]
- Porto, A.L.F.; Campos-Takaki, G.M.; Lima Filho, J.L. Effects of culture conditions on protease production by Streptomyces clavuligerus growing on the soy bean flour medium. Appl. Biochem. Biotechnol. 1996, 60, 115–122. [Google Scholar] [CrossRef]
- Chavira, R., Jr.; Burnett, T.J.; Hageman, J.H. Assaying proteinases with azocoll. Anal. Biochem. 1984, 136, 446–450. [Google Scholar] [CrossRef] [PubMed]
- Smith, P.E.; Krohn, R.I.; Hermanson, G.T.; Mallia, A.K.; Gartner, F.H.; Provenzano, M.; Fujimoto, E.K.; Goeke, N.M.; Olson, B.J.; Klenk, D.C. Measurement of protein using bicinchoninic acid. Anal. Biochem. 1985, 150, 76–85. [Google Scholar] [CrossRef] [PubMed]
- Gontard, N.; Duchez, C.; Cuq, B.; Guilbert, S. Edible composite films of wheat gluten and lipids: Water vapour permeability and other physical properties. Int. J. Food Sci. Technol. 1994, 29, 39–50. [Google Scholar] [CrossRef]
- McHugh, T.H.; Avena-Bustillos, R.; Krochta, J.M. Hydrophilic edible films: Modified procedure for water vapor permeability and explanation of thickness effects. J. Food Sci. 1993, 58, 899–903. [Google Scholar] [CrossRef]
- Guillard, V.; Broyart, B.; Bonazzi, C.; Guilbert, S.; Gontard, N. Preventing moisture transfer in a composite food using edible films: Experimental and mathematical study. J. Food Sci. 2003, 68, 2267–2277. [Google Scholar] [CrossRef]
- Kwok, D.Y.; Neumann, A.W. Contact angle measurement and contact angle interpretation. Adv. Colloid Interface Sci. 1999, 81, 167–249. [Google Scholar] [CrossRef]
- Arruda, I.R.; Albuquerque, P.B.; Santos, G.R.; Silva, A.G.; Mourão, P.A.; Correia, M.T.; Vicente, A.A.; Carneiro-da-Cunha, M.G. Structure and rheological properties of a xyloglucan extracted from Hymenaea courbaril var. courbaril seeds. Int. J. Biol. Macromol. 2015, 73, 31–38. [Google Scholar] [CrossRef]
- Zhao, Y.; Ganapathysubramanian, B.; Shrotriya, P. Cantilever deflection associated with hybridization of monomolecular DNA film. J. Appl. Phys. 2012, 111, 074310. [Google Scholar] [CrossRef]
- Ikawa, T.; Hoshino, F.; Matsuyama, T.; Takahashi, H.; Watanabe, O. Molecular-shape imprinting and immobilization of biomolecules on a polymer containing azo dye. Langmuir 2006, 22, 2747–2753. [Google Scholar] [CrossRef]
- Okuzaki, H. A biomorphic origami actuator fabricated by folding a conducting paper. J. Phys. 2008, 127, 012001. [Google Scholar] [CrossRef]
- Kunzendorf, A.; Bornscheuer, U.T. Optimierte Designer-Enzyme für die pharmazeutische Industrie. BIOspektrum 2022, 28, 760–762. [Google Scholar] [CrossRef]
- Cerqueira, M.A.; Souza, B.W.; Martins, J.T.; Teixeira, J.A.; Vicente, A.A. Seed extracts of Gleditsia triacanthos: Functional properties evaluation and incorporation into galactomannan films. Food Res. Int. 2010, 43, 2031–2038. [Google Scholar] [CrossRef]
- Beloglazova, C.E.; Rysmukhambetova, G.E.; Karpunina, L.V.; Zabelina, M.V. Development of a technology for polysaccharide-based film coating. IOP Conf. Ser. Earth Environ. Sci. 2021, 640, 052022. [Google Scholar] [CrossRef]
- Cado, G.; Kerdjoudj, H.; Chassepot, A.; Lefort, M.; Benmlih, K.; Hemmerle, J.; Voegel, J.-C.; Jierry, L.; Schaaf, P.; Frère, Y.; et al. Polysaccharide films built by simultaneous or alternate spray: A rapid way to engineer biomaterial surfaces. Langmuir 2012, 28, 8470–8478. [Google Scholar] [CrossRef] [PubMed]
- Ramudu, M.; Raja, M.M.; Basumatary, H.; Kamat, S.V. Role of film thickness on magnetic properties of sputter deposited Co2FeGa alloy thin films. Mater. Res. Express 2019, 6, 086404. [Google Scholar] [CrossRef]
- Lad, S.; Narkhede, S.; Luhar, S.; Prajapati, A. Review on Moisture Content: A stability problem in pharmaceuticals. EPRA Int. J. Res. Dev. (IJRD) 2022, 7, 27–33. [Google Scholar] [CrossRef]
- Vishnevskiy, A.S.; Seregin, D.S.; Vorotilov, K.A.; Sigov, A.S.; Mogilnikov, K.P.; Baklanov, M.R. Effect of water content on the structural properties of porous methyl-modified silicate films. J. Sol-Gel Sci. Technol. 2019, 92, 273–281. [Google Scholar] [CrossRef]
- Ohayon, D.; Renn, D.; Wustoni, S.; Guo, K.; Druet, V.; Hama, A.; Chen, X.; Maria, I.P.; Singh, S.; Griggs, S.; et al. Interactions of catalytic enzymes with n-type polymers for high-performance metabolite sensors. ACS Appl. Mater. Interfaces 2023, 15, 9726–9739. [Google Scholar] [CrossRef]
- Antoniou, J.; Liu, F.; Majeed, H.; Zhong, F. Characterization of tara gum edible films incorporated with bulk chitosan and chitosan nanoparticles: A comparative study. Food Hydrocoll. 2015, 44, 309–319. [Google Scholar] [CrossRef]
- Slade, L.; Levine, H.; Wang, M.; Ievolella, J. DSC Analysis of Starch Thermal Properties Related to Functionality in Low-Moisture Baked Goods. In New Techniques in the Analysis of Foods; Tunick, M.H., Palumbo, S.A., Fratamico, P.M., Eds.; Springer: Boston, MA, USA, 1998. [Google Scholar] [CrossRef]
- Lee, D.M.; Sims, J.L. Water Soluble Compositions Incorporating Enzymes, and Method of Making Same. U.S. Patent US20130244920A1, 19 September 2013. [Google Scholar]
- Ahmadi, R.; Kalbasi-Ashtari, A.; Oromiehie, A.; Yarmand, M.S.; Jahandideh, F. Development and characterization of a novel biodegradable edible film obtained from psyllium seed (Plantago ovata Forsk). J. Food Eng. 2012, 109, 745–751. [Google Scholar] [CrossRef]
- Cerqueira, M.A.; Souza, B.W.; Teixeira, J.A.; Vicente, A.A. Effect of glycerol and corn oil on physicochemical properties of polysaccharide films—A comparative study. Food Hydrocoll. 2012, 27, 175–184. [Google Scholar] [CrossRef]
- Ghasemlou, M.; Khodaiyan, F.; Oromiehie, A. Physical, mechanical, barrier, and thermal properties of polyol-plasticized biodegradable edible film made from kefiran. Carbohydr. Polym. 2011, 84, 477–483. [Google Scholar] [CrossRef]
- Ubeyitogullari, A.; Ahmadzadeh, S.; Kandhola, G.; Kim, J. Polysaccharide-based porous biopolymers for enhanced bioaccessibility and bioavailability of bioactive food compounds: Challenges, advances, and opportunities. Compr. Rev. Food Sci. Food Saf. 2022, 21, 4610–4639. [Google Scholar] [CrossRef] [PubMed]
- Shogren, R. Water vapor permeability of biodegradable polymers. J. Environ. Polym. Degr. 1997, 5, 91–95. [Google Scholar] [CrossRef]
- Salgado, D.; Serment-Moreno, V.; Ulloa, P.A.; Velazquez, G.; Antonio Torres, J.; Welti-Chanes, J. Steady-and unsteady-state determination of the water vapor permeance (wvp) of polyethylene film to estimate the moisture gain of packed dry mango. Food Bioprocess Technol. 2017, 10, 1792–1797. [Google Scholar] [CrossRef]
- Cerqueira, M.A.; Vicente, A.A. Reinforcement of Polysaccharide-based films: Evaluation of Physic-chemical Properties. In Proceedings of the International Conference Eco-Sustainable Food Packaging Based on Polymer Nanomaterials (Book of Abstracts), Rome, Italy, 26–28 February 2014; ISBN 978-889-808-545-3. Available online: https://hdl.handle.net/1822/32868 (accessed on 15 March 2024).
- Sharma, A.; Thatai, K.S.; Kuthiala, T.; Singh, G.; Arya, S.K. Employment of polysaccharides in enzyme immobilization. React. Funct. Polym. 2021, 167, 105005. [Google Scholar] [CrossRef]
- Xu, Z.; Zhang, Y.; Wang, X.; Li, K.; He, Q. Influence of contact angle on droplet parameters in ellipsoidal wettability model. Surf. Topogr. Metrol. Prop. 2023, 11, 025022. [Google Scholar] [CrossRef]
- Zimoch-Korzycka, A.; Ambrozik-Haba, J.; Kulig, D.; Jarmoluk, A. Modification effect of cellulase on the physicochemical characteristic of polysaccharides edible films. Int. J. Polym. Sci. 2015, 2015, 184616. [Google Scholar] [CrossRef]
- Ma, Q.; Hu, D.; Wang, H.; Wang, L. Tara gum edible film incorporated with oleic acid. Food Hydrocoll. 2016, 56, 127–133. [Google Scholar] [CrossRef]
- Sionkowska, A. UV light as a tool for surface modification of polymeric biomaterials. Key Eng. Mater. 2014, 583, 80–86. [Google Scholar] [CrossRef]
- Johnson, P.S.; Cook, P.L.; Liu, X.; Yang, W.; Bai, Y.; Abbott, N.L.; Himpsel, F.J. Universal mechanism for breaking amide bonds by ionizing radiation. J. Chem. Phys. 2011, 135, 044702. [Google Scholar] [CrossRef]
- Mieczkowska, A.; Mabilleau, G. Validation of Fourier Transform Infrared Microspectroscopy for the Evaluation of Enzymatic Cross-Linking of Bone Collagen. Calcif. Tissue Int. 2023, 113, 344–353. [Google Scholar] [CrossRef]
- Moreno, V.; Meroño, C.; Baeza, A.; Usategui, A.; Ortiz-Romero, P.L.; Pablos, J.L.; Vallet-Regí, M. UVA-Degradable Collagenase Nanocapsules as a Potential Treatment for Fibrotic Diseases. Pharmaceutics 2021, 13, 499. [Google Scholar] [CrossRef]
- Singh, M.K.; Singh, A. Thermogravimetric analyzer. In Characterization of Polymers and Fibres; Woodhead Publishing: Cambridge, UK, 2022; pp. 223–240. ISBN 9780128239865. [Google Scholar] [CrossRef]
- Panda, P.K.; Park, K.; Seo, J. Development of poly (vinyl alcohol)/regenerated chitosan blend film with superior barrier, antioxidant, and antibacterial properties. Prog. Org. Coat. 2023, 183, 107749. [Google Scholar] [CrossRef]
- Cerclier, C.; Guyomard-Lack, A.; Moreau, C.; Cousin, F.; Beury, N.; Bonnin, E.; Jean, B.; Cathala, B. Coloured semi-reflective thin films for biomass-hydrolyzing enzyme detection. Adv. Mater. 2011, 23, 3791–3795. [Google Scholar] [CrossRef]
- Kim, H.C.; Cha, H.J.; Shin, D.U.; Koo, Y.K.; Cho, H.W.; Lee, S.J. Visibility Enhancement of Laccase-Based Time Temperature Integrator Color by Increasing Opacity. Korean J. Packag. Sci. Technol. 2021, 27, 101–107. [Google Scholar] [CrossRef]
- Díaz-Montes, E. Polysaccharides: Sources, Characteristics, Properties, and Their Application in Biodegradable Films. Polysaccharides 2022, 3, 480–501. [Google Scholar] [CrossRef]
- Colombi, P.; Bergese, P.; Bontempi, E.; Borgese, L.; Federici, S.; Keller, S.S.; Boisen, A.; Depero, L.E. Sensitive determination of the Young’s modulus of thin films by polymeric microcantilevers. Meas. Sci. Technol. 2013, 24, 125603. [Google Scholar] [CrossRef]
- Gläßer, T.; Stache, P.; Zscheyge, M. TS-Moulding—Fertigungstechnologie zur großserientauglichen Herstellung endlosfaserverstärkter Thermoplastsandwichstrukturen/TS-Molding—Manufacturing technology for mass production of continuous fiber-reinforced thermoplastic sandwich structures. Konstruktion 2021, 74, 54–59. [Google Scholar] [CrossRef]
- Sagawa, T.; Nikaido, Y.; Iijima, K.; Sakaguchi, M.; Yataka, Y.; Hashizume, M. Preparation of Mechanically Anisotropic Polysaccharide Composite Films Using Roll-Press Techniques. ACS Omega 2023, 8, 5607–5616. [Google Scholar] [CrossRef]
- Zhang, M.; Huang, C.; Xie, J.; Shao, Z.; Li, X.; Bian, X.; Xue, B.; Gan, J.; Sun, T. Physical, Mechanical and Biological Properties of Phenolic Acid-Grafted Soluble Soybean Polysaccharide Films. Foods 2022, 11, 3747. [Google Scholar] [CrossRef] [PubMed]
- Fu, Z.Q.; Guo, S.X.; Wang, X.Y.; Huang, Z.G.; Bi, C.H.; Li, F.F.; Wu, M. Structural, thermal, mechanical, and physicochemical properties of corn starch and tremella fuciformis polysaccharide based composite films. Starch-Stärke 2022, 74, 2100255. [Google Scholar] [CrossRef]
- Lazo, L.; Melo, G.M.; Auad, M.L.; Filippa, M.; Masuelli, M.A. Synthesis and Characterization of Chanar Gum Films. Colloids Interfaces 2022, 6, 10. [Google Scholar] [CrossRef]






| Films | Thickness (nm) | Moisture Content (%) |
|---|---|---|
| PF | 0.0718 ± 0.0325 a | 54 ± 5 × 10−5 a |
| PCF | 0.0528 ± 0.0104 a | 23.56 ± 0.0009 b,c |
| SCF | 0.0698 ± 0.0123 a | 13.15 ± 0.0009 c |
| Films | Water Contact Angle (°) | |
|---|---|---|
| Without Exposure to UV | After Exposure to UV | |
| PF | 77.9 ± 1.56 a | 91.1 ± 1.25 a |
| PCF | 58.0 ± 2.55 b | 64.8 ± 2.49 b |
| SCF | 92.77 ± 1.83 c | 136.1 ± 2.43 c |
| Films | L* | a* | b* | Y (%) |
|---|---|---|---|---|
| PF | 96.20 ± 0.1426 a | 0.68 ± 0.0262 a | 6.63 ± 0.2412 a | 13.41 ± 0.1988 a |
| PCF | 94.11 ± 0.2217 a,b | 0.85 ± 0.0355 b | 9.94 ± 0.2687 a | 13.53 ± 0.2992 a |
| SCF | 93.71 ± 0.2490 b | 1.08 ± 0.0852 c | 6.54 ± 0.2638 a | 13.63 ± 0.2343 a |
| Films | YM (Mpa) | TS (Mpa) | EB (%) |
|---|---|---|---|
| PF | 3.76 ± 0.145 a | 2.29 ± 0.505 a | 0.855 ± 0.095 a |
| PCF | 4.7 ± 0.12 b,c | 7.65 ± 0.450 b,c | 1.015 ± 0.195 a |
| SCF | 5.335 ± 0.145 c | 9.05 ± 0.850 c | 1.010 ± 0.200 a |
Disclaimer/Publisher’s Note: The statements, opinions and data contained in all publications are solely those of the individual author(s) and contributor(s) and not of MDPI and/or the editor(s). MDPI and/or the editor(s) disclaim responsibility for any injury to people or property resulting from any ideas, methods, instructions or products referred to in the content. |
© 2024 by the authors. Licensee MDPI, Basel, Switzerland. This article is an open access article distributed under the terms and conditions of the Creative Commons Attribution (CC BY) license (https://creativecommons.org/licenses/by/4.0/).
Share and Cite
Ferreira, K.; Cardoso, K.; Brandão-Costa, R.; Martins, J.T.; Botelho, C.; Neves, A.; Nascimento, T.; Batista, J.; Ferreira, É.; Damasceno, F.; et al. Physicochemical Properties of a Bioactive Polysaccharide Film from Cassia grandis with Immobilized Collagenase from Streptomyces parvulus (DPUA/1573). Cosmetics 2024, 11, 86. https://doi.org/10.3390/cosmetics11030086
Ferreira K, Cardoso K, Brandão-Costa R, Martins JT, Botelho C, Neves A, Nascimento T, Batista J, Ferreira É, Damasceno F, et al. Physicochemical Properties of a Bioactive Polysaccharide Film from Cassia grandis with Immobilized Collagenase from Streptomyces parvulus (DPUA/1573). Cosmetics. 2024; 11(3):86. https://doi.org/10.3390/cosmetics11030086
Chicago/Turabian StyleFerreira, Kétura, Kethylen Cardoso, Romero Brandão-Costa, Joana T. Martins, Cláudia Botelho, Anna Neves, Thiago Nascimento, Juanize Batista, Éverton Ferreira, Fernando Damasceno, and et al. 2024. "Physicochemical Properties of a Bioactive Polysaccharide Film from Cassia grandis with Immobilized Collagenase from Streptomyces parvulus (DPUA/1573)" Cosmetics 11, no. 3: 86. https://doi.org/10.3390/cosmetics11030086
APA StyleFerreira, K., Cardoso, K., Brandão-Costa, R., Martins, J. T., Botelho, C., Neves, A., Nascimento, T., Batista, J., Ferreira, É., Damasceno, F., Sales-Conniff, A., Albuquerque, W., Porto, A., & Teixeira, J. (2024). Physicochemical Properties of a Bioactive Polysaccharide Film from Cassia grandis with Immobilized Collagenase from Streptomyces parvulus (DPUA/1573). Cosmetics, 11(3), 86. https://doi.org/10.3390/cosmetics11030086

