The Connection between a Suspended Sediments and Reservoir Siltation: Empirical Analysis in the Maziarnia Reservoir, Poland
Abstract
1. Introduction
2. Materials and Methods
2.1. Study Area
2.2. Research Methods
2.2.1. Physico-Chemical Analysis of Water Samples
2.2.2. Analysis of Sediments
2.2.3. The Origin of Organic Matter
2.3. Statistical Analysis
3. Results and Discussion
3.1. Physico-Chemical Parameters of Water
3.2. The Assessed Trophic State of the Reservoir
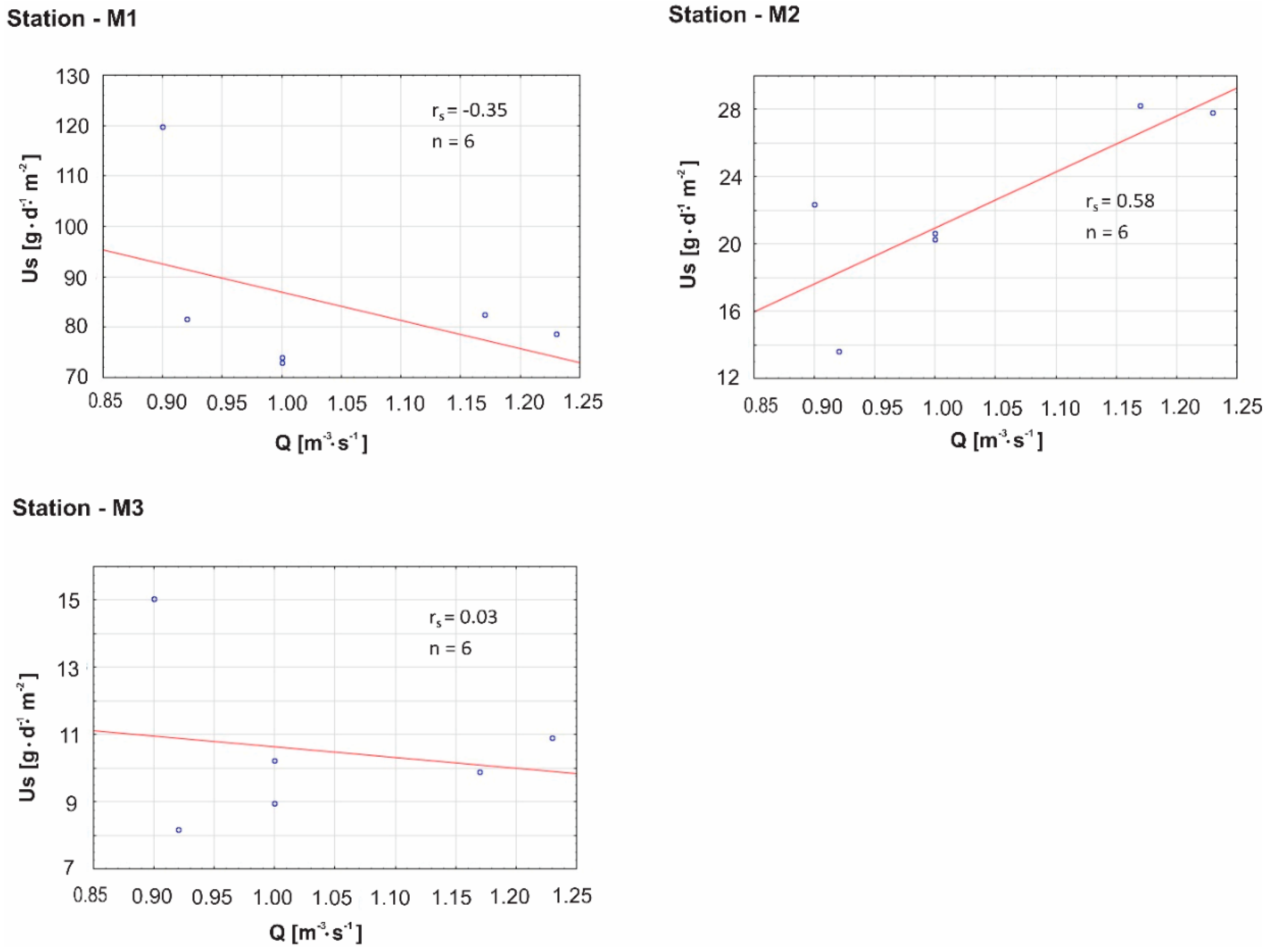
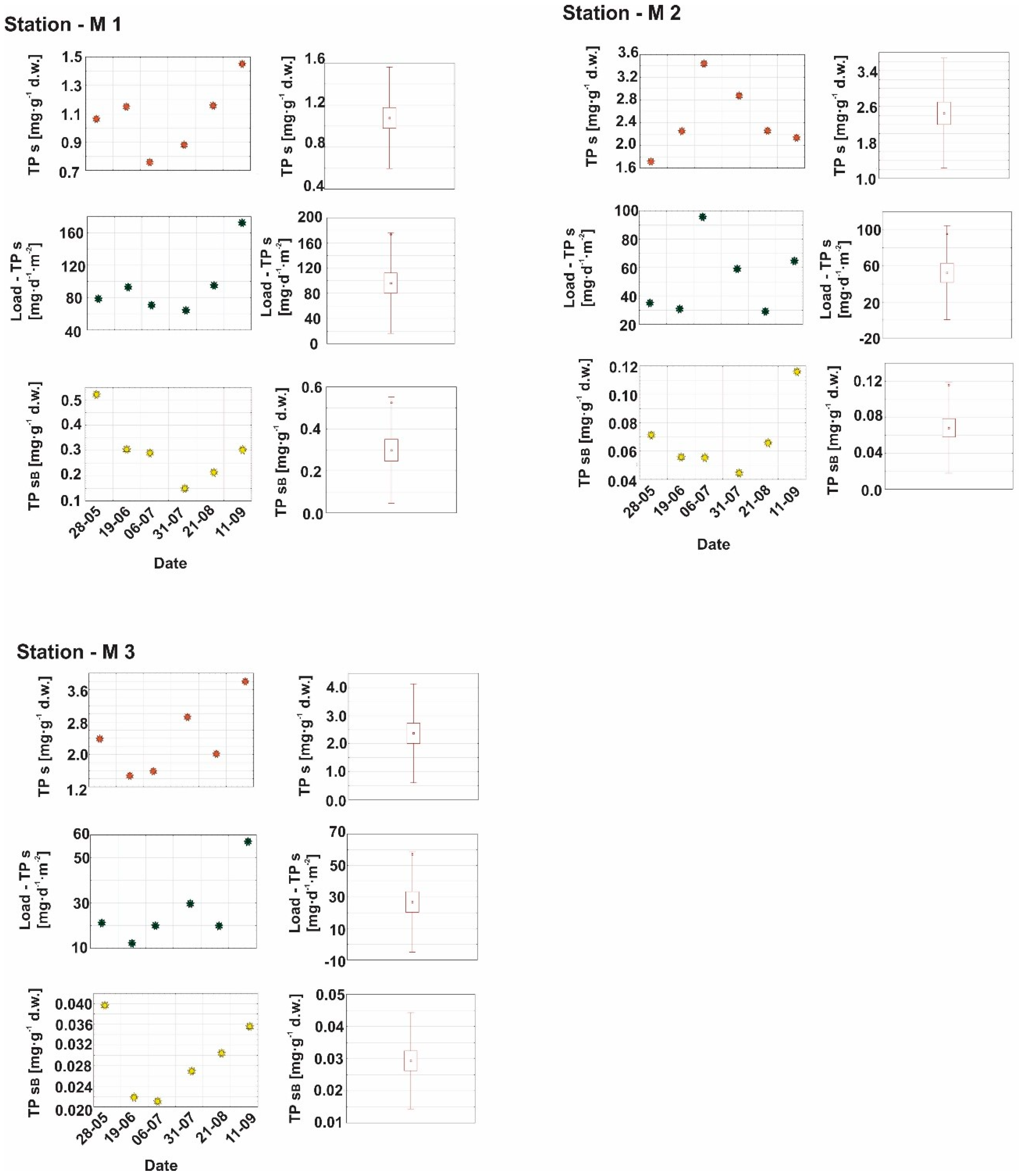
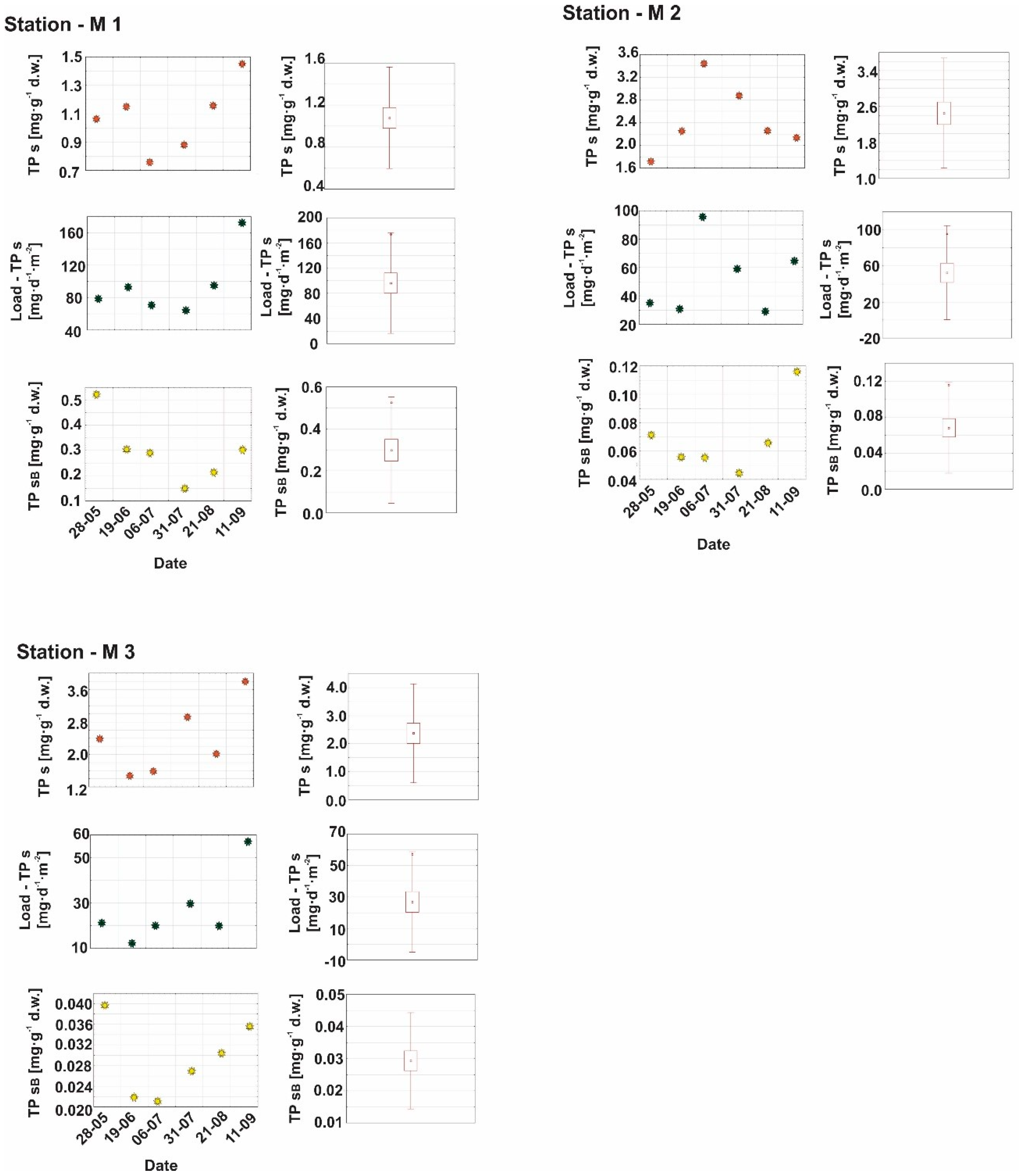
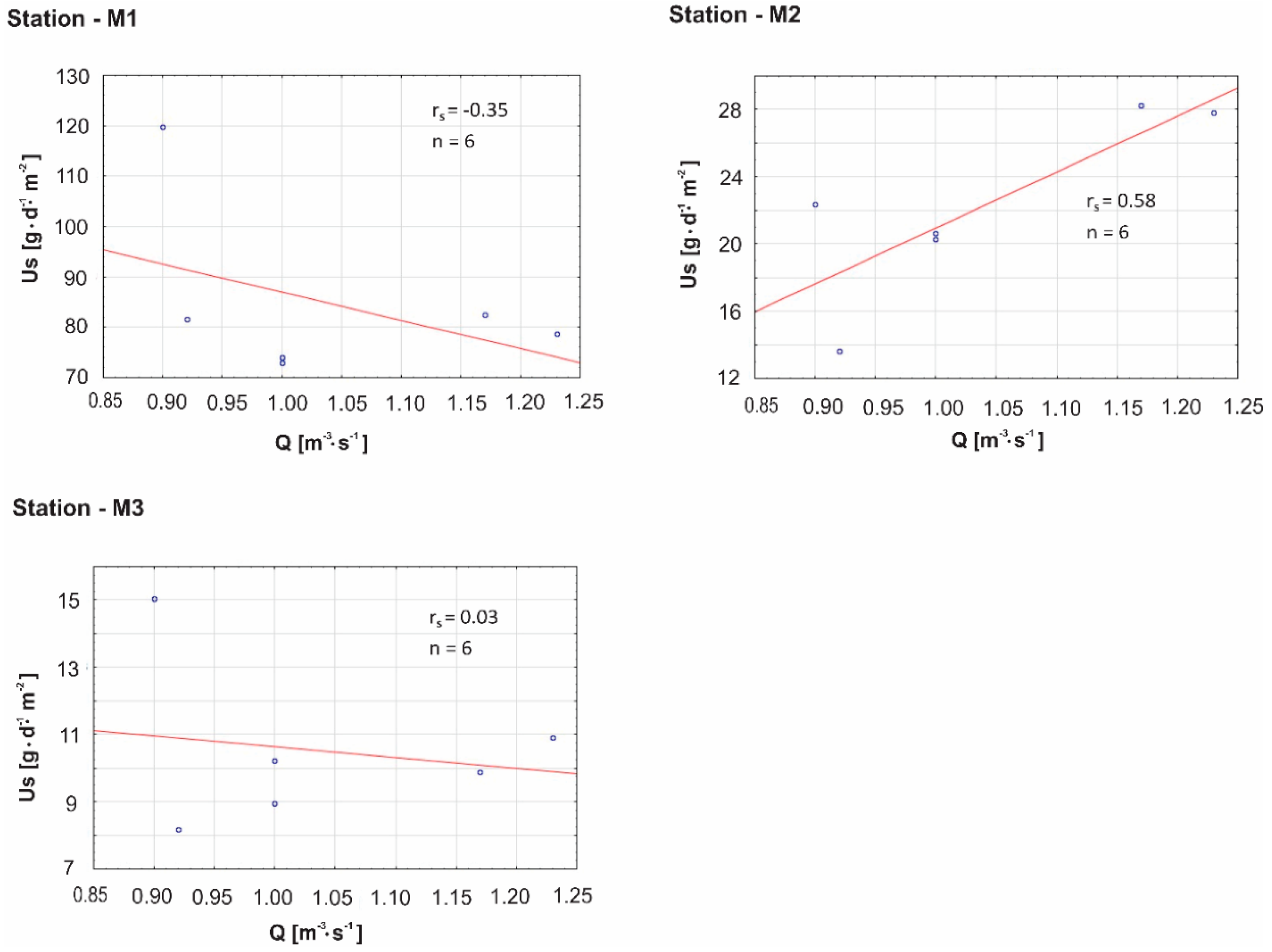
3.3. Analysis of Suspended Sediments
4. Conclusions
Patents
Author Contributions
Funding
Acknowledgments
Conflicts of Interest
References
- Reisenbüchler, M.; Bui, M.D.; Skublics, D.; Rutschmann, P. Sediment Management at Run-of-River Reservoirs Using Numerical Modelling. Water 2020, 12, 249. [Google Scholar] [CrossRef]
- Madeyski, M.; Michalec, B.; Tarnawski, M. Siltation of small water reservoirs and the quality of bottom sediments. Infrastruct. Ecol. Rural Areas 2008, 11, 76. [Google Scholar]
- Schleiss, A.J.; Franca, M.J.; Juez, C.; De Cesare, G. Reservoir sedimentation. J. Hydraul. Res. 2016, 54, 595–614. [Google Scholar] [CrossRef]
- Huang, C.; Lai, J.; Lee, F.; Tan, Y. Physical Model-Based Investigation of Reservoir Sedimentation Processes. Water 2018, 10, 352. [Google Scholar] [CrossRef]
- Maris, F.; Vasileiou, A.; Tsiamantas, P.; Angelidis, P. Estimating the Future Function of the Nipsa Reservoir due to Climate Change and Debris Sediment Factors. Climate 2019, 7, 76. [Google Scholar] [CrossRef]
- Ezz-Aldeen, M.; Hassan, R.; Ali, A.; Al-Ansari, N.; Knutsson, S. Watershed Sediment and Its Effect on Storage Capacity: Case Study of Dokan Dam Reservoir. Water 2018, 10, 858. [Google Scholar] [CrossRef]
- Imanshoar, F.; Jahangirzadeh, A.; Basser, H.; Akib, S.; Kamali, B.; Tabatabaei, M.R.; Kakouei, M. Reservoir Sedimentation Based on Uncertainty Analysis. Hindawi Publ. Corp. 2014, 6. [Google Scholar] [CrossRef]
- Bąk, Ł.; Dąbkowski, S.; Górski, J. Method of predicting siltation of a water reservoirbased on measurements of its capacity. Water Environ. Rural Areas 2011, 4, 19–29. [Google Scholar]
- Bartoszek, L.; Koszelnik, P. The qualitative and quantitative analysis of the coupled C, N, P and Si retention in complex of water reservoirs. Springerplus 2016, 5, 1157. [Google Scholar] [CrossRef] [PubMed]
- Zemelka, G.; Szalińska, E. Suspended matter as water contaminant. Int. Multidiscip. Sci. GeoConference SGEM 2016, 1, 697–702. [Google Scholar]
- Bartoszek, L.; Gruca-Rokosz, R.; Koszelnik, P. Analysis of the Desludging Effectiveness of the Cierpisz and Kamionka Reservoirs as an Effective Method of the Eutrophic Ecosystems Recultivation. Annu. Set Environ. Prot. 2017, 19, 600–617. [Google Scholar]
- Ehrbar, D.; Schmocker, L.; Doering, M.; Cortesi, M.; Bourban, G.; Boes, R.M.; Vetsch, D.F. Continuous Seasonal and Large-Scale Periglacial Reservoir Sedimentation. Sustainability 2018, 10, 3265. [Google Scholar] [CrossRef]
- Bilici, C.; Stark, N. Performance of a novel sediment sampler as an add-on unit for portable free-fall penetrometers: Combining in situ geotechnical testing with sediment sampling. Limnol. Oceanogr. Methods 2019, 17, 163–176. [Google Scholar] [CrossRef]
- Juez, C.; Bühlmann, I.; Maechler, G.; Schleiss, A.J.; Franca, M.J. Transport of suspended sediments under the influence of bank macro-roughness. Earth Surf. Process. Landf. 2018, 43, 271–284. [Google Scholar] [CrossRef]
- Juez, C.; Thalmann, M.; Schleiss, A.J.; Franca, M.J. Morphological resilience to flow fluctuations of fine sediment deposits in bank lateral cavities. Adv. Water Resour. 2018, 115, 44–59. [Google Scholar] [CrossRef]
- Janse, J.H.; Scheffer, M.; Lijklema, L.; Liere, L.; Sloot, J.S.; Mooij, W.M. Estimating the critical phosphorus loading of shallow lakes with the ecosystem model PCLake: Sensitivity, calibration and uncertainty. Ecol. Model. 2010, 221, 654–665. [Google Scholar] [CrossRef]
- Jin, X.; Wang, S.; Bu, Q.; Wu, F. Laboratory Experiments on Phosphorous Release from the Sediments of 9 Lakes in the Middle and Lower Reaches of Yangtze River Region, China. Water Air Soil Pollut. 2006, 176, 233. [Google Scholar] [CrossRef]
- Kowalczewska-Madura, K.; Dondajewska, R.; Gołdyn, R.; Kozak, A.; Messyasz, B. Internal Phosphorus Loading from the Bottom Sediments of a Dimictic Lake During Its Sustainable Restoration. Water Air Soil Pollut. 2018, 229, 280. [Google Scholar] [CrossRef]
- Lee, B.J.; Kim, J.; Hur, J.; Choi, I.H.; Toorman, E.A.; Fettweis, M.; Choi, J.W. Seasonal Dynamics of Organic Matter Composition and Its Effects on Suspended Sediment Flocculation in River Water. Water Resour. Res. 2019, 55. [Google Scholar] [CrossRef]
- Ciecierska, H.; Kolada, A. ESMI: A macrophyte index for assessing the ecological status of lakes. Environ. Monit. Assess. 2014, 186, 5501–5517. [Google Scholar] [CrossRef]
- López-Tarazón, J.A.; López, P.; Lobera, G.; Batalla, R.J. Suspended sediment, carbon and nitrogen transport in a regulated Pyrenean river. Sci. Total Environ. 2016, 540, 133–143. [Google Scholar] [CrossRef] [PubMed]
- Wojtkowska, M.; Bogacki, J.; Witeska, A. Assessment of the hazard posed by metal forms in water and sediments. Sci. Total Environ. 2016, 551, 387–392. [Google Scholar] [CrossRef] [PubMed]
- Wagner, I.; Zalewski, M. Temporal changes in the abiotic/biotic drivers of selfpurification in a temperate river. Ecol. Eng. 2016, 94, 275–285. [Google Scholar] [CrossRef]
- Onstad, G.D.; Canfield, D.E.; Quay, P.D.; Hedges, J.I. Sources of particulate organic matter in rivers from the continental usa: Lignin phenol and stable carbon isotope compositions. Geochim. Cosmochim. Acta 2000, 64, 3539–3546. [Google Scholar] [CrossRef]
- Lammers, J.M.; Reichart, G.J.; Middelburg, J.J. Seasonal variability in phytoplankton stable carbon isotope ratios and bacterial carbon sources in a shallow Dutch lake. Limnol. Oceanogr. 2017, 62, 2773–2787. [Google Scholar] [CrossRef]
- Gamracy, M.; (Geodetic and Project Services Office, Rzeszów, Poland). Water management instructions for the water Reservoir in Wilcza Wola. 2011. [Google Scholar]
- Gruca-Rokosz, R. Diffusive Fluxes of CH4 and CO2 at the Sediment-Overlying Water Interface in Reservoir Ecosystems. J. Ecol. Eng. 2018, 19, 158–164. [Google Scholar] [CrossRef]
- Cieśla, M.; Bartoszek, L. Sediment Trap. National Patent Application No. P.426442, 25 July 2018. [Google Scholar]
- Cieśla, M.; Bartoszek, L.; Gruca-Rokosz, R. Characteristics and origin of suspended matter in a small reservoir in Poland. Ecohydrol. Hydrobiol. 2020, 20, 73–82. [Google Scholar] [CrossRef]
- Cieśla, M.; Gruca-Rokosz, R. Bottom Sediment Sampler. National Patent Application No. P.428513, 8 January 2019. [Google Scholar]
- Zhu, M.; Zhu, G.; Nurminen, L.; Wu, T.; Deng, J.; Zhang, Y.; Qin, B.; Ventelä, A.M. The Influence of Macrophytes on Sediment Resuspension and the Effect of Associated Nutrients in a Shallow and Large Lake (Lake Taihu, China). PLoS ONE 2015, 10. [Google Scholar] [CrossRef]
- Thornton, S.F.; McManus, J. Application of organic carbon and nitrogen stable isotope ratios as source indicators of organic matter provenance in estuaries system. Evidence from the Tayestuary, Scotland. Estuar. Coast. Shelf Sci. 1994, 38, 219–233. [Google Scholar] [CrossRef]
- Murase, J.; Sakamoto, M. Horizontal distribution of the carbon and nitrogen and their isotopic composition in the surface sediment of Lake Biwa. Limnology 2000, 1, 177–184. [Google Scholar]
- Koszelnik, P.; Gruca-Rokosz, R.; Bartoszek, L. An isotopic model for the origin of autochthonous organic matter contained in the bottom sediments of a reservoir. Int. J. Sediment Res. 2018, 33, 285–293. [Google Scholar] [CrossRef]
- Kajak, Z. Hydrobiology-Limnology. In Inland Water Ecosystems, 1st ed.; Polish Scientific Publishing House: Warsaw, Poland, 1998; ISBN 83-01-12537-3. [Google Scholar]
- Miąsik, M.; Koszelnik, P.; Bartoszek, L. Trophic water assessment of the small retention reservoirs Blizne and Cierpisz in the Podkarpacie Region (Subcarpathian Province). Limnol. Rev. 2014, 14, 181–186. [Google Scholar] [CrossRef]
- Juez, C.; Hassan, M.A.; Franca, M.J. The origin of fine sediment determines the observations of suspended sediment fluxes under unsteady flow conditions. Water Resour. Res. 2018, 54, 1–16. [Google Scholar] [CrossRef]
- Terasmaa, J.; Punning, J.M. Sedimentation dynamics in a small dimictic lake in northern Estonia. Proc. Est. Acad. Sci. Biol. Ecol. 2006, 55, 228–242. [Google Scholar]
- Guidi, L.; Gorsky, G.; Claustre, H.; Miquel, J.C.; Picheral, M.; Stemmann, L. Distribution and fluxes of aggregates>100μm in the upperkilometer of the South-Eastern Pacific. Biogeosciences 2008, 5, 1361–1372. [Google Scholar] [CrossRef]
- Moreno, Y.M.; Ramirez, J.J. Seston fluxes in the dam of a Colombian tropical reservoir. Acta Limnol. Bras. 2010, 22, 325–334. [Google Scholar] [CrossRef]
- Cieśla, M.; Bartoszek, L.; Gruca-Rokosz, R. Effectiveness Assessment of a New System of Sediment Trap in the Investigation of Matter Sedimentation in a Reservoir—A Case Study. Hydrology 2019, 6, 48. [Google Scholar] [CrossRef]
- Pietrzyk, A.; Papciak, D. Materia organiczna w wodach naturalnych—Formy występowania i metody oznaczania [Organic matter in natural waters—Forms of occurrence and determination methods]. J. Civ. Eng. Environ. Archit. 2016, 63, 241–252. [Google Scholar]
- Koszelnik, P. Isotopic effects of suspended organic matter fluxes in the Solina reservoir (SE Poland). Environ. Prot. Eng. 2009, 35, 13–19. [Google Scholar]
- Zordan, J.; Juez, C.; Schleiss, A.J.; Franca, M.J. Entrainment, transport and deposition of sediment by saline gravity currents. Adv. Water Resour. 2018, 115, 17–32. [Google Scholar] [CrossRef]
- Wojtkowska, M.; Domachowski, D. Seasonal character of changes in nitrogen forms in waters of Korytów and Łąki Korytowskie retention reservoirs. Environ. Prot. Eng. 2009, 35, 54–66. [Google Scholar]
- Hullebusch, E.; Auvray, F.; Deluchat, V.; Chazal, P.; Baudu, M. Phosphorus fractionation and short-term mobility in the surface sediment of a polymictic shallow lake treated with a low dose of alum (Courtille Lake, France). Water Air Soil Pollut. 2003, 146, 75–91. [Google Scholar] [CrossRef]
- Seitzinger, S.P.; Mayorga, E.; Bouwman, A.F.; Kroeze, C.; Beusen, A.H.; Billen, G.; Harrison, J.A. Global river nutrient export: A scenario analysis of past and future trends. Glob. Biogeochem. Cycles 2010, 24. [Google Scholar] [CrossRef]
- Deemer, B.R.; Harrison, J.A.; Li, S.; Beaulieu, J.J.; DelSontro, T.; Barros, N.; Vonk, J.A. Greenhouse Gas Emissions from Reservoir Water Surfaces: A New Global Synthesis. BioScience 2016, 66, 949–964. [Google Scholar] [CrossRef]
- Brils, J. Sediment monitoring and the European Water Framework Directive. Ann. Dell Ist. Super. Sanita 2008, 44, 218–223. [Google Scholar]
- Wagner, A. Event-Based Measurement and Mean Annual Flux Assessment of Suspended Sediment in Meso Scale Catchments. Ph.D. Thesis, Institut für Wasser und Gewässerentwicklung (IWG), Karlsruhe, Germany, 2019. [Google Scholar] [CrossRef]
- Vercruysse, K.; Grabowski, R.C.; Rickson, R.J. Suspended sediment transport dynamics in rivers: Multi-scale drivers of temporal variation. Earth Sci. Rev. 2017, 166, 38–52. [Google Scholar] [CrossRef]
- Beniston, M. Climatic change in mountain regions: A review of possible impacts. Clim. Chang. 2003, 59, 5–31. [Google Scholar] [CrossRef]
- Plumb, B.D.; Juez, C.; Annable, W.K.; McKie, C.W.; Franca, M.J. The impact of hydrograph variability and frequency on sediment transport dynamics in a gravel-bed flume. Earth Surf. Process. Landf. 2019. [Google Scholar] [CrossRef]









© 2020 by the authors. Licensee MDPI, Basel, Switzerland. This article is an open access article distributed under the terms and conditions of the Creative Commons Attribution (CC BY) license (http://creativecommons.org/licenses/by/4.0/).
Share and Cite
Cieśla, M.; Gruca-Rokosz, R.; Bartoszek, L. The Connection between a Suspended Sediments and Reservoir Siltation: Empirical Analysis in the Maziarnia Reservoir, Poland. Resources 2020, 9, 30. https://doi.org/10.3390/resources9030030
Cieśla M, Gruca-Rokosz R, Bartoszek L. The Connection between a Suspended Sediments and Reservoir Siltation: Empirical Analysis in the Maziarnia Reservoir, Poland. Resources. 2020; 9(3):30. https://doi.org/10.3390/resources9030030
Chicago/Turabian StyleCieśla, Maksymilian, Renata Gruca-Rokosz, and Lilianna Bartoszek. 2020. "The Connection between a Suspended Sediments and Reservoir Siltation: Empirical Analysis in the Maziarnia Reservoir, Poland" Resources 9, no. 3: 30. https://doi.org/10.3390/resources9030030
APA StyleCieśla, M., Gruca-Rokosz, R., & Bartoszek, L. (2020). The Connection between a Suspended Sediments and Reservoir Siltation: Empirical Analysis in the Maziarnia Reservoir, Poland. Resources, 9(3), 30. https://doi.org/10.3390/resources9030030

