Sprayer Axial Fan Layout Affecting Energy Consumption and Carbon Emissions
Abstract
1. Introduction
2. Materials and Methods
2.1. The Laboratory for Measurements
2.2. Experimental Tests
2.3. Data Analysis
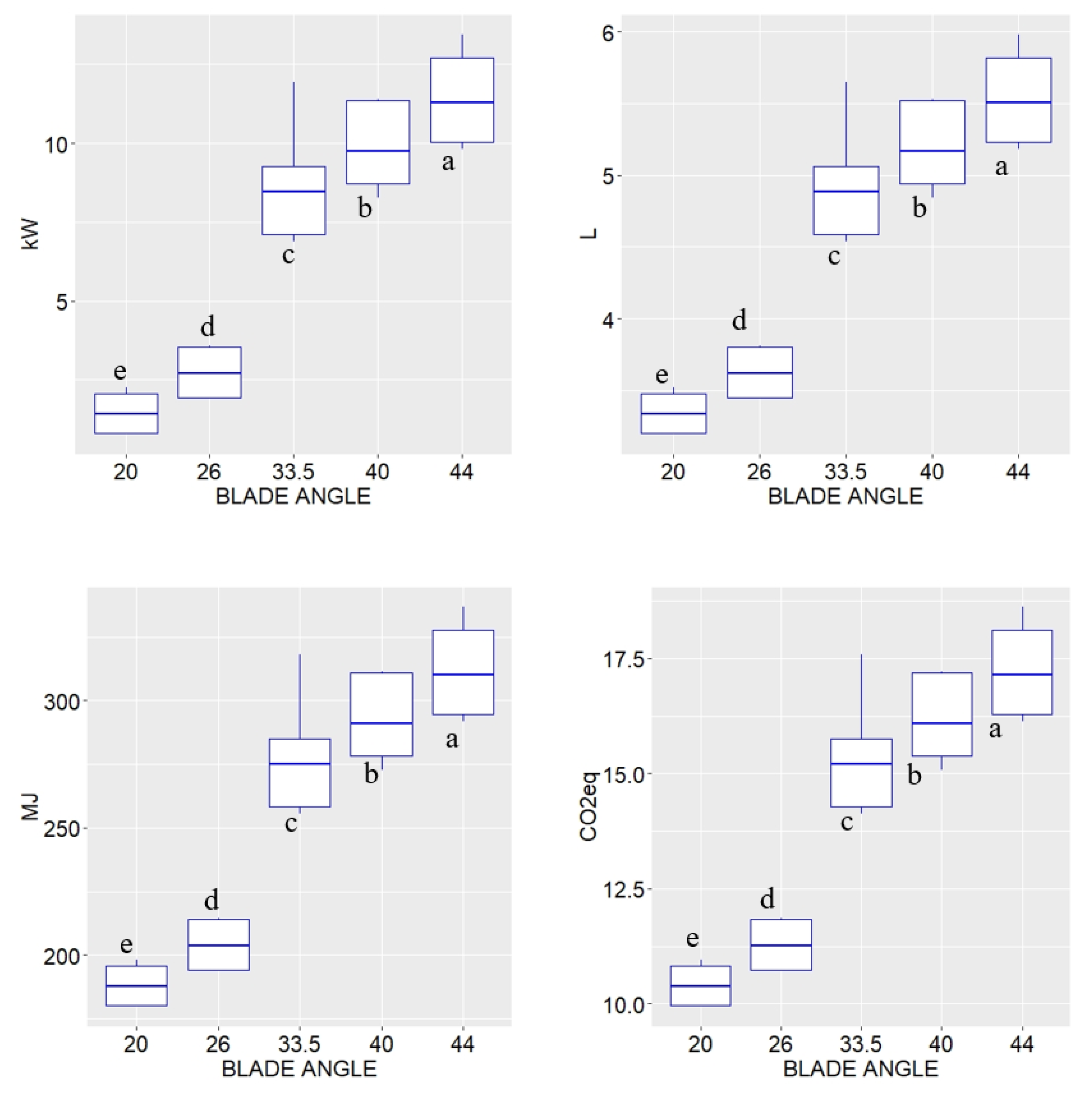
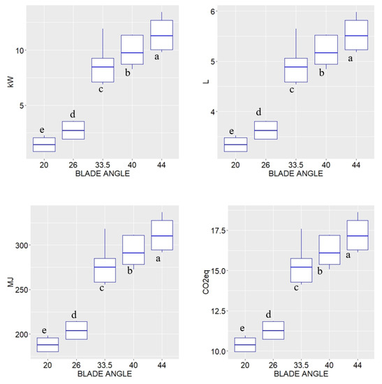
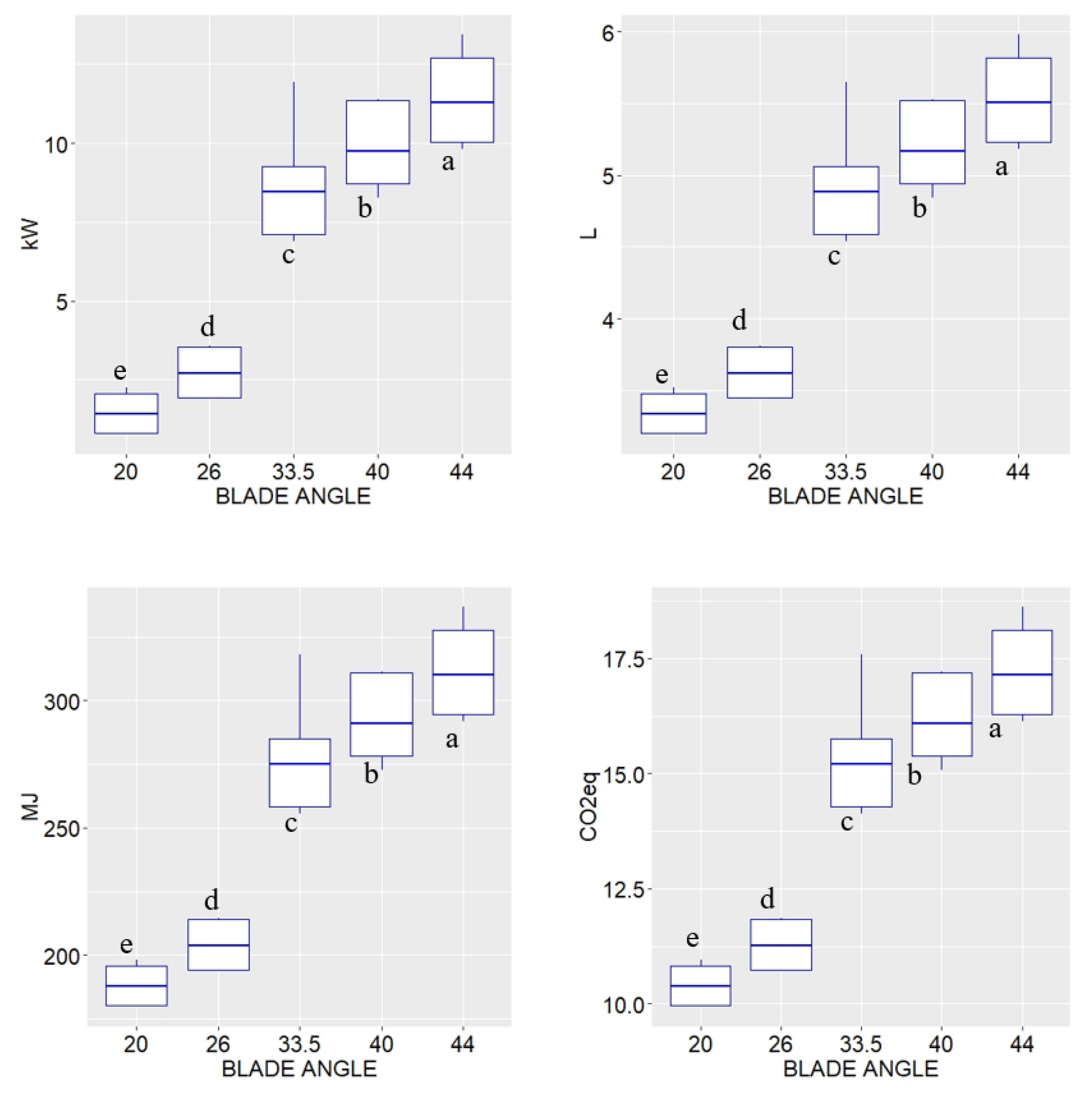
3. Results
4. Conclusions
Author Contributions
Funding
Acknowledgments
Conflicts of Interest
References
- UNEP—United Nations Environment Programme. The Emissions Gap Report 2019. Available online: https://www.unenvironment.org/resources/emissions-gap-report-2019 (accessed on 14 September 2020).
- CLIMACT. Increasing the EU’s 2030 Emissions Reduction Target—June 2020. Available online: https://climact.com/wp-content/uploads/2020/06/Climact_Target_Emissions_report_FINAL.pdf (accessed on 14 September 2020).
- EEA—European Environment Agency. 2017. Available online: https://ec.europa.eu/eurostat/statistics-explained/pdfscache/16817.pdf (accessed on 29 September 2020).
- Failla, S.; Ingrao, C.; Arcidiacono, C. Energy consumption of rainfed durum wheat cultivation in a Mediterranean area using three different soil management systems. Energy 2020, 195, 116960. [Google Scholar] [CrossRef]
- Restuccia, A.; Failla, S.; Longo, D.; Caruso, L.; Mallia, I.; Schillaci, G. Assessment of energy return on energy investment (EROEI) of oil bearing crops for renewable fuel production. J. Agric. Eng. 2013, 44, 539–545. [Google Scholar] [CrossRef]
- Recchia, L.; Sarri, D.; Rimediotti, M.; Boncinelli, P.; Cini, E.; Vieri, M. Towards the environmental sustainability assessment for the viticulture. J. Agric. Eng. 2018, 49, 19–28. [Google Scholar] [CrossRef]
- European Commission. A Farm to Fork Strategy—For a fair, healthy and environmentally-friendly food system, Communication from the Commission to the European Parliament, the Council, the European Economic and Social, Committee and the Committee of the Regions, May 2020. Available online: https://ec.europa.eu/food/farm2fork_en (accessed on 29 September 2020).
- Papa, R.; Manetto, G.; Cerruto, E.; Failla, S. Mechanical distribution of beneficial arthropods in greenhouse and open field: A review. J. Agric. Eng. 2018, 49, 81–91. [Google Scholar] [CrossRef]
- Balafoutis, A.T.; Beck, B.; Fountas, S.; Vangeyte, J.; Van Der Wal, T.; Soto, I.; Gómez-Barbero, M.; Barnes, A.P.; Eory, V. Precision Agriculture Technologies Positively Contributing to GHG Emissions Mitigation, Farm Productivity and Economics. Sustainability 2017, 9, 1339. [Google Scholar] [CrossRef]
- Chen, Y.; Ozkan, H.E.; Zhu, H.; Derksen, R.C.; Krause, C.R. Spray deposition inside tree canopies from a newly developed variable-rate air-assisted sprayer. Trans. ASABE 2013, 56, 1263–1272. [Google Scholar]
- DeKeyser, D.; Duga, A.T.; Verboven, P.; Endalew, A.M.; Hendrickx, N.; Nuyttens, D. Assessment of orchard sprayers using laboratory experiments and computational fluid dynamics modelling. Biosyst. Eng. 2013, 114, 157–169. [Google Scholar] [CrossRef]
- Delele, M.; Jaeken, P.; Debaer, C.; Baetens, K.; Endalew, A.M.; Ramon, H.; Nicolaï, B.; Verboven, P. CFD prototyping of an air-assisted orchard sprayer aimed at drift reduction. Comput. Electron. Agric. 2007, 55, 16–27. [Google Scholar] [CrossRef]
- Hołownicki, R.; Doruchowski, G.; Świechowski, W.; Godyń, A.; Konopacki, P.J. Variable air assistance system for orchard sprayers; concept, design and preliminary testing. Biosyst. Eng. 2017, 163, 134–149. [Google Scholar] [CrossRef]
- Khot, R.; Ehsani, R.; Albrigo, G.; Landers, A.J.; Larbi, P.A. Spray pattern investigation of an axial-fan airblast precision sprayer using a modified vertical patternator. Appl. Eng. Agric. 2012, 28, 647–654. [Google Scholar] [CrossRef]
- Salcedo, R.; Garcera, C.; Granell, R.; Molto, E.; Chueca, P. Description of the airflow produced by an air-assisted sprayer during pesticide applications to citrus. Span. J. Agric. Res. 2015, 13, e0208. [Google Scholar] [CrossRef]
- Chen, Y.; Han, J.; Zhao, X. Three-dimensional path planning for unmanned aerial vehicle based on linear programming. Robotica 2011, 30, 773–781. [Google Scholar] [CrossRef]
- Gil, E.; Landers, A.; Gallart, M.; Llorens, J. Development of two portable patternators to improve drift control and operator training in the operation of vineyard sprayers. Span. J. Agric. Res. 2013, 11, 615. [Google Scholar] [CrossRef]
- Gil, E.; Arnó, J.; Llorens, J.; Sanz, R.; Llop, J.; Rosell-Polo, J.R.; Gallart, M.; Escolà, A. Advanced Technologies for the Improvement of Spray Application Techniques in Spanish Viticulture: An Overview. Sensors 2014, 14, 691–708. [Google Scholar] [CrossRef]
- Grella, M.; Marucco, P.; Balsari, P. Toward a new method to classify the airblast sprayers according to their potential drift reduction: Comparison of direct and new indirect measurement methods. Pest Manag. Sci. 2019, 75, 2219–2235. [Google Scholar] [CrossRef]
- Moltó, E.; Chueca, P.; Garcerá, C.; Balsari, P.; Gil, E.; Van De Zande, J.C. Engineering approaches for reducing spray drift. Biosyst. Eng. 2017, 154, 1–2. [Google Scholar] [CrossRef]
- Qiu, W.; Sun, C.; Lv, X.; Ding, W.; Feng, X. Effect of Air-assisted Spray Application Rate on Spray Droplet Deposition Distribution on Fruit Tree Canopies. Appl. Eng. Agric. 2016, 32, 739–749. [Google Scholar] [CrossRef]
- van de Zande, J.C.; Michielsen, J.M.G.P.; Stallinga, H.; van Dalfsen, P.; Wenneker, M. Effect on air deposition and spray liquid distribution of a cross flow fan orchard sprayer on spray deposition in fruit trees. In Proceedings of the 7th European Workshop on Standardized Procedure for the Inspection of Sprayers in Europe, Athens, Greece, 24–26 September 2018. [Google Scholar]
- García-Ramos, F.J.; Malón, H.; Aguirre, Á.J.; Boné, A.; Puyuelo, J.; Vidal, M. Validation of a CFD Model by Using 3D Sonic Anemometers to Analyse the Air Velocity Generated by an Air-Assisted Sprayer Equipped with Two Axial Fans. Sensors 2015, 15, 2399–2418. [Google Scholar] [CrossRef]
- Doruchowski, G.; Swiechowski, W.; Godyn, A.; Hołownicki, R. Automatically controlled sprayer to implement spray drift reducing application strategies in orchards. J. Fruit Ornam. Plant Res. 2011, 19, 175–182. [Google Scholar]
- Failla, S.; Romano, E.; Longo, D.; Bisaglia, C.; Schillaci, G. Effect of Different Axial Fans Configurations on Airflow Rate. Lect. Notes Civ. Eng. 2020, 67, 691–699. [Google Scholar]
- Andersson, I.; Thor, M.; McKelvey, T. The torque ratio concept for combustion monitoring of internal combustion engines. Control Eng. Pract. 2012, 20, 561–568. [Google Scholar] [CrossRef]
- Bisaglia, C.; Romano, E. Utilization of vineyard pruning: A new mechanization system from residues harvest to CHIPS production. Biomass Bioenergy 2018, 115, 136–142. [Google Scholar] [CrossRef]
- Grisso, R.D.; Kocher, M.F.; Vaughan, D.H. Predicting tractor fuel consumption. Appl. Eng. Agric. 2004, 20, 553–561. [Google Scholar] [CrossRef]
- Wilmer, H. All you need to know about diesel guzzling and engine power. Profi Int. 2001, 11, 40–42. [Google Scholar]
- IPCC. IPCC Fifth Assessment Report (AR5) e The Physical Science Basis. 2013. Available online: https://www.cambridge.org/core/books/climate-change-2013-the-physical-science-basis/summary-for-policymakers/356E277FD1FBC887845FB9E8CBC90CCD (accessed on 17 September 2020).
- Unakitan, G.; Aydin, B. A comparison of energy use efficiency and economic analysis of wheat and sunflower production in Turkey: A case study in Thrace region. Energy 2018, 149, 279–285. [Google Scholar] [CrossRef]
- R Development Core Team. R: A Language and Environment for Statistical Computing; R Foundation for Statistical Computing: Vienna, Austria, 2012; Available online: http://www.R-project.org (accessed on 26 April 2019).
- Lal, R. Carbon emission from farm operations. Environ. Int. 2004, 30, 981–990. [Google Scholar] [CrossRef] [PubMed]







| Gear Ratio (τ) | Blade Angle (Degree) | Outlet Section (mm) |
|---|---|---|
| τ1 (3.8) | 20° | 40 |
| 60 | ||
| 110 | ||
| 26° | 40 | |
| 60 | ||
| 110 | ||
| 33° | 40 | |
| 60 | ||
| 110 | ||
| 40° | 40 | |
| 60 | ||
| 110 | ||
| 44° | 40 | |
| 60 | ||
| 110 | ||
| τ2 (4.53) | 20° | 40 |
| 60 | ||
| 110 | ||
| 26° | 40 | |
| 60 | ||
| 110 | ||
| 33° | 40 | |
| 60 | ||
| 110 | ||
| 40° | 40 | |
| 60 | ||
| 110 | ||
| 44° | 40 | |
| 60 | ||
| 110 |
| Gear Ratio (τ) | Blade Angle (Degree) | Outlet Section (mm) | Power (kW) | Fuel (L h−1) | Energy (MJ L−1) | Emissions (kg CO2eq kg−1) |
|---|---|---|---|---|---|---|
| τ1 (3.8) | 20° | 40 | 0.92 h | 3.23q | 181.69q | 10.04q |
| 60 | 0.81 h | 3.20q | 180.26q | 9.97q | ||
| 110 | 0.77 h | 3.19q | 179.76q | 9.94q | ||
| 26° | 40 | 1.90 g | 3.44p | 193.78p | 10.71p | |
| 60 | 2.17 f | 3.50op | 197.17op | 10.90op | ||
| 110 | 1.95 g | 3.45p | 194.38p | 10.75p | ||
| 33° | 40 | 6.87 e | 4.54l | 255.43l | 14.12l | |
| 60 | 7.10 d | 4.59l | 258.24l | 14.28l | ||
| 110 | 7.85 d | 4.75k | 267.53k | 14.79k | ||
| 40° | 40 | 8.27 c | 4.84j | 272.73j | 15.08j | |
| 60 | 9.05 b | 5.01h | 282.38h | 15.61h | ||
| 110 | 8.73 c | 4.94i | 278.42i | 15.39i | ||
| 44° | 40 | 9.81 b | 5.18g | 291.82g | 16.13g | |
| 60 | 10.03 a | 5.23fg | 294.49fg | 16.28fg | ||
| 110 | 10.25 a | 5.28f | 297.29f | 16.43f | ||
| τ2 (4.53) | 20° | 40 | 2.26 f | 3.52o | 198.24o | 10.96o |
| 60 | 2.06 f | 3.48op | 195.83op | 10.83op | ||
| 110 | 1.94 g | 3.45p | 194.29p | 10.74p | ||
| 26° | 40 | 3.55 e | 3.80m | 214.28m | 11.85m | |
| 60 | 3.59 e | 3.81m | 214.73m | 11.87m | ||
| 110 | 3.25 e | 3.74n | 210.55n | 11.64m | ||
| 33° | 40 | 9.26 d | 5.06h | 285.02h | 15.76 | |
| 60 | 9.06 d | 5.02h | 282.54h | 15.62 | ||
| 110 | 11.94 c | 5.65d | 318.20d | 17.59d | ||
| 40° | 40 | 11.17 c | 5.48e | 308.67e | 17.06e | |
| 60 | 11.36 c | 5.52e | 310.99e | 17.19e | ||
| 110 | 10.56 c | 5.35c | 301.15f | 16.65f | ||
| 44° | 40 | 12.33 b | 5.74 c | 322.99c | 17.86c | |
| 60 | 13.43 a | 5.98 a | 336.64a | 18.61a | ||
| 110 | 12.70 a | 5.82 b | 327.61b | 18.11a |
Publisher’s Note: MDPI stays neutral with regard to jurisdictional claims in published maps and institutional affiliations. |
© 2020 by the authors. Licensee MDPI, Basel, Switzerland. This article is an open access article distributed under the terms and conditions of the Creative Commons Attribution (CC BY) license (http://creativecommons.org/licenses/by/4.0/).
Share and Cite
Failla, S.; Bisaglia, C.; Schillaci, G.; Longo, D.; Romano, E. Sprayer Axial Fan Layout Affecting Energy Consumption and Carbon Emissions. Resources 2020, 9, 136. https://doi.org/10.3390/resources9110136
Failla S, Bisaglia C, Schillaci G, Longo D, Romano E. Sprayer Axial Fan Layout Affecting Energy Consumption and Carbon Emissions. Resources. 2020; 9(11):136. https://doi.org/10.3390/resources9110136
Chicago/Turabian StyleFailla, Sabina, Carlo Bisaglia, Giampaolo Schillaci, Domenico Longo, and Elio Romano. 2020. "Sprayer Axial Fan Layout Affecting Energy Consumption and Carbon Emissions" Resources 9, no. 11: 136. https://doi.org/10.3390/resources9110136
APA StyleFailla, S., Bisaglia, C., Schillaci, G., Longo, D., & Romano, E. (2020). Sprayer Axial Fan Layout Affecting Energy Consumption and Carbon Emissions. Resources, 9(11), 136. https://doi.org/10.3390/resources9110136

