Multi-Criteria Evaluation of End-of-Life Vehicles’ Dismantling Scenarios with Respect to Technical Performance and Sustainability Issues
Abstract
:1. Introduction
2. Materials and Methods
2.1. Description of the Scenarios and Experimental Approach
2.1.1. Low-Level Dismantling Scenario (a)
2.1.2. Medium-Level Dismantling Scenario (b)
- easily accessible and identifiable plastic materials, namely polypropylene (PP) bumpers, fenders and side trim strips, as well as High Density Polyethylene (HDPE) fuel tanks;
- all glass materials, namely: Laminated windscreens, side windows and rear windows of tempered white glass comprising metallic inclusions.
2.1.3. High-Level Dismantling Scenario (c)
- seats’ textiles and polyurethane foams;
- electrical wiring accessible from the engine compartment that no further disassembly operation required.
2.2. Shredding and Sorting Operations
- Shredded scrap metal (E40);
- Iron-copper components (coils, motors, electric wiring) extracted from the E40 output through manual sorting;
- Non-ferrous metals recovered during the sorting by eddy current induction were collected in two fractions of distinct particle size distributions (1–15 mm and 15–100 mm respectively);
- The non-metallic fraction, which was not recovered by eddy current sorting operations;
- Fluffs, corresponding to the low density shredder residues.
2.3. Analytical Methods for Volatile Organice Compounds (VOCs), Polychlorinated dibenzo(p)dioxin and furan (PCDD/F) and Polychlorinated Biphenyl (PCB)
2.4. Multi-Criteria Analysis
2.4.1. Boundaries of the System
- Scenario (a): Complete depollution according to European regulations. The phase included the following operations: Removal of all fluids, i.e., residual fuel or gasoline, gear box and motor oils, cooling liquid and brake fluid, windshield-washer liquid, and antifreeze fluid. Removal of potentially hazardous parts, i.e., batteries, oil filters and catalytic converters were removed. The airbags were disabled and any possible LPG (Liquid Petroleum Gas) reservoirs removed. Finally, tyres were also removed;
- Scenario (b): Same operations as in (a), plus removal of all glass screen and windows, and some of the plastics;
- Scenario (c): Same operations as in (b), plus removal of foam from the seats, textile material and part of the electric wiring.
2.4.2. Selection of a System of Evaluation
2.4.3. Description of Evaluation Criteria
Environmental Issue
Economic Issue
Social Issue
Technical Issue
2.4.4. Multi-Criteria Analysis Method
- (i)
- A partial order (PROMETHEE I) with 2 rankings of the alternative actions that matches the intercept of outflows and inflows as follows, using the following outflow and outflow rules:
- Marked preference vs. () if:
- No preference (aIb) if: ϕ+() = ϕ+() and ϕ−() = ϕ−()
- Incomparability in all other cases.
- (ii)
- A full order (PROMETHEE II) based on the net flow defined by ϕ() = ϕ+() − ϕ−() with the following modalities:
- Marked preference if ϕ() > ϕ()
- No preference () if ϕ() = ϕ()
3. Results and Discussion
3.1. Determination of the Percentage of Material and Energy Recovery (Criterion T)
3.2. Evaluation and Ranking of the Three Scenarios
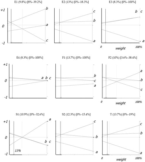
3.3. Sensitivity Analysis
4. Conclusions
Acknowledgments
Author Contributions
Conflicts of Interest
References
- Lecointre, E.; Filmon, K. Observatoire de la filière Véhicules Hors D’usage—Année 2013; Technical Report of Contract: N° 1002C0123 conducted by Antea Group on behalf of ADEME; Direction Economie Circulaire et Déchets; ADEME (Agence de l’Environnement et de la Maitrise de l’Energie): Angers, France, June 2015. [Google Scholar]
- Directive 2000/53/EC of the European Parliament and of the Council of 18 September 2000 on end-of life vehicles; Directive 2000/53/EC; European Commission: Brussel, Belgium, 2000.
- Fonseca, A.S.; Nunes, M.I.; Matos, M.A.; Gomes, A.P. Environmental impacts of end-of-life vehicles’ management: Recovery versus elimination. Int. J. Life Cycle Assess. 2013, 18, 1374–1385. [Google Scholar] [CrossRef]
- Ahmed, S.; Ahmed, S.; Shumon, M.R.H.; Quader, E.F.M.A. A comparative decision-making model for sustainable end-of-life vehicle management alternative selection using AHP and extent analysis method on fuzzy AHP. Int. J. Sustain. Dev. World Ecol. 2015, 23, 83–97. [Google Scholar] [CrossRef]
- Schmid, A. Valorisation des Véhicules Hors D’usage (VHU): Comparaison Multicritère de Scénarios de Démantèlement par une Étude Expérimentale Menée sur un Site Industriel de Déconstruction/Broyage. Ph.D. Thesis, Institut National des Sciences Appliquées (INSA) de Lyon, Villeurbanne, France, 2012; p. 210. [Google Scholar]
- Schmid, A.; Naquin, P.; Gourdon, R. Etude expérimentale de l’incidence du niveau de démantèlement sur le taux de valorisation avant broyage des véhicules hors d’usage (VHU). Déchets Sci. Tech. 2012, 61, 30–48. [Google Scholar] [CrossRef]
- Schmid, A.; Naquin, P.; Gourdon, R. Incidence of the level of deconstruction of end-of-life vehicles on the rate of material recovery: An industrial-scale experimental study. Resour. Conserv. Recycl. 2013, 72, 118–126. [Google Scholar] [CrossRef]
- Mergias, K.; Moustakas, A.; Papadopoulos, M. Loizidou Multi-criteria decision aid approach for the selection of the best compromise management scheme for ELVs: The case of Cyprus. J. Hazard. Mater. 2007, 147, 706–717. [Google Scholar] [CrossRef] [PubMed]
- Li, W.; Bai, H.; Yin, J.; Xu, H. Life cycle assessment of end-of-life vehicle recycling processes in China—Take corolla taxis for example. J. Clean. Prod. 2016, 117, 176–187. [Google Scholar] [CrossRef]
- Émissions de sources fixes—Détermination de la concentration massique en carbone organique total à de fortes concentrations dans les effluents gazeux—Méthode du détecteur continu à ionisation de flame; NF 13526; AFNOR: Paris, France, May 2012.
- Stationary source emissions—Determination of mass concentration of PCDDs/PCDFs and dioxin-like PCBs—Part 1: Sampling of PCDDs/PCDFs; Part 2: Extraction and clean-up of PCDDs/PCDFs; Part 3: Identification and quantification of PCDDs/PCDFs; Part 4: Sampling and analysis of dioxin-like PCBs; EN 1948; European Committee for Standardization: Brussels, Belgium, 2006.
- Coté, S. Rechercher autre chose, mesurer autrement. In Les nouveaux utopistes du Développement Durable; Editions Autrement: Paris, France, 2003. [Google Scholar]
- Börjeson, L.; Löfvenius, G.; Hjelt, M.; Johansson, S.; Marklund, S. Characterization of automotive shredder residues from two shredding facilities with different refining processes in Sweden. Waste Manag. Res. 2000, 18, 358–371. [Google Scholar] [CrossRef]
- Urano, S.; Sakai, S.; Takatsuki, H. PCB in automobile shredder residue and its origin. In Proceedings of the 8th Symposium on Environmental Chemistry, Kyoto, Japan, 4 June 1996; pp. 50–51.
- Sakai, S.; Urano, S.; Takatsuki, H. Leaching behavior of persistent organic pollutants (POPs) in shredder residues. Chemosphere 2006, 37, 2047–2054. [Google Scholar] [CrossRef]
- Sakai, S.; Urano, S.; Takatsuki, H. Leaching behavior of PCB and PCDDs/DFs from some waste materials. Waste Manag. 2000, 20, 241–247. [Google Scholar] [CrossRef]
- Trouve, G.; Delfosse, L. Etude Bibliographique sur les Conditions et Mécanismes de Formation à Basses Températures (200 à 400 °C) des Dibenzodioxines, Dibenzofurannes Polychlorés; Technical Report No. 96–0208/1A; RECORD: Lyon, France, 1997. [Google Scholar]
- Jonsson, D.; Medbo, L.; Engström, T. Some considerations relating to the reintroduction of assembly lines in the Swedish automotive industry. Int. J. Oper. Prod. Manag. 2004, 24, 754–772. [Google Scholar] [CrossRef]
- Neumann, W.P.; Winkel, J.; Medbo, L.; Magneberg, R.; Mathiassen, S.E. Production system design elements influencing productivity and ergonomics in a case study of parallel and serial flow strategies. Int. J. Oper. Prod. Manag. 2006, 26, 904–923. [Google Scholar] [CrossRef]
- Kazmierczak, K.; Neumann, P.; Winkel, J. A case study of serial-flow car disassembly: Ergonomics, productivity and potential system performance. Hum. Factors Ergon. Manuf. 2007, 17, 331–351. [Google Scholar] [CrossRef]
- Roy, A. Evaluation de la Performance Environnementale de Sites Industriels; Cahier LAMSADE 243; Université Paris Dauphine: Paris, France, 2006; p. 36. [Google Scholar]
- Cinelli, M.; Coles, S.R.; Kirwan, K. Analysis of the potentials of multi criteria decision analysis methods to conduct sustainability assessment. Ecol. Indic. 2014, 46, 138–148. [Google Scholar] [CrossRef]
- Kiker, G.A.; Bridges, T.D.; Varghese, A.; Seager, T.P.; Linkov, I. Application of multicriteria decision analysis in environmental decision making. Integr. Environ. Assess. Manag. 2005, 1, 95–108. [Google Scholar] [CrossRef] [PubMed]
- Seager, T.P.; Linkov, I. Coupling multicriteria decision analysis and life cycle assessment for nanomaterials. J. Ind. Ecol. 2008, 12, 282–285. [Google Scholar] [CrossRef]
- Brans, J.P.; Mareshal, B.; Vincke, P. PROMETHEE, a new family of outranking methods in multicriteria analysis. In Operational Research 84; Brans, J.-P., Ed.; Elsevier Science Publishers B.V.: Amsterdam, The Netherlands, 1984; pp. 408–421. [Google Scholar]
- Brans, J.P.; Vincke, P.H. A preference ranking organisation method: The PROMETHEE method for multiple criteria decision-making. Manag. Sci. 1985, 31, 647–656. [Google Scholar] [CrossRef]
- Belboom, S.; Lewis, G.; Bareel, P.-F.; Léonard, A. Life cycle assessment of hybrid vehicles recycling: Comparison of three business lines of dismantling. Waste Manag. 2016, 50, 184–193. [Google Scholar] [CrossRef] [PubMed]
- Ohno, H.; Matsubae, K.; Nakajima, K.; Kondo, Y.; Nakamura, S.; Nagasaka, T. Toward the efficient recycling of alloying elements from end of life vehicle steel scrap. Resour. Conserv. Recycl. 2015, 100, 11–20. [Google Scholar] [CrossRef]
- Tian, J.; Chen, M. Assessing the economics of processing end-of-life vehicles through manual dismantling. Waste Manag. 2016, 56, 384–395. [Google Scholar] [CrossRef] [PubMed]





| Issues | Criteria | Indicators | Methods of Determination and Units | |
|---|---|---|---|---|
| Environmental | Global warming | E1 | Greenhouse gases emission | ADEME carbon balance method: Bilan Carbone® V7 (kg·eq·CO2) ° |
| Local impacts | E2 | Number of significant impacts | FMEA method: (Number of SEA °°) | |
| Tropospheric ozone production | E3 | VOC concentration in gases from shredder | GC-FID analysis (mg/Nm3) | |
| Ecotoxicity | E4 | PCDD/F-PCB concentration in gases from shredder | GC-MS analysis (Ng I-TEQ/Nm3) | |
| Economic | Operational costs | F1 | Balance sheet by ELVs processed | Accounting excel table (€/ELV °°°) |
| Investment costs | F2 | Costs required for development | Spending budget (€/ELV) | |
| Social | Occupational risks | S1 | Number of significant risks | FMEA Method (number of SR) |
| Employability | S2 | Number of jobs created | Worker time per ELV | |
| Technical | Performance | T | Global recovery rate | Recovered masses/ELVs masses (%) |
| Criteria (j) | Issues | Industrial Managers | Citizens | Employees | Mayors | Public Authorities | Scientists | ||||||
|---|---|---|---|---|---|---|---|---|---|---|---|---|---|
| I | R | I | R | I | R | I | R | I | R | I | R | ||
| E1 | Environmental | 30 | 20 | 30 | 30 | 50 | 20 | 40 | 20 | 40 | 40 | 40 | 20 |
| E2 | 40 | 20 | 60 | 20 | 10 | 40 | |||||||
| E3 | 20 | 25 | 10 | 30 | 25 | 20 | |||||||
| E4 | 20 | 25 | 10 | 30 | 25 | 20 | |||||||
| F1 | Economic | 30 | 80 | 20 | 60 | 20 | 60 | 25 | 50 | 30 | 65 | 30 | 70 |
| F2 | 20 | 40 | 40 | 50 | 35 | 30 | |||||||
| S1 | Societal | 20 | 60 | 35 | 50 | 20 | 40 | 20 | 50 | 20 | 40 | 20 | 40 |
| S2 | 40 | 50 | 60 | 50 | 60 | 60 | |||||||
| T | Technical | 20 | 100 | 15 | 100 | 10 | 100 | 15 | 100 | 10 | 100 | 10 | 100 |
| Criterion () | E1 | E2 | E3 | E4 | F1 | F2 | S1 | S2 | T |
|---|---|---|---|---|---|---|---|---|---|
| Ponderation () | 9.8 | 13.0 | 8.3 | 8.3 | 13.7 | 10.0 | 10.9 | 12.3 | 13.7 |
| Scenarios | E1 | E2 | E3 | E4 | F1 | F2 | S1 | S2 | T in % |
|---|---|---|---|---|---|---|---|---|---|
| (kg·eq·CO2) | (Nb of SEA) | (mg/Nm3) | (ng ITEQ/Nm3) | (€/ELV) | (€/ELV) | (Nr of SR) | (h/ELV) | (Mrecovery/MELV) | |
| (a) | 336,974 | 13 | 43.9 | 0.0054 | 61.4 | 0.0 | 12 | 1.5 | 82.1 |
| (b) | 327,968 | 10 | 30.8 | 0.0024 | 60.0 | 0.7 | 17 | 3.0 | 85.5 |
| (c) | 364,470 | 9 | 30.8 | 0.0024 | 60.7 | 1.4 | 18 | 4.5 | 86.5 |
| Criteria | E1 | E2 | E3 | E4 | F1 | F2 | S1 | S2 | T | |
|---|---|---|---|---|---|---|---|---|---|---|
| Preference Function | Linear | V-Shape | V-Shape | V-Shape | Linear | V-Shape | Linear | V-Shape | V-Shape | |
| Threshold | type | absolute | absolute | absolute | Relative | absolute | absolute | absolute | absolute | absolute |
| Q | 1 | n/d | n/d | n/d | 1 | n/d | 1 | n/d | n/d | |
| P | 2 | 2 | 2 | 2 | 2 | 2 | 2 | 2 | 2 | |
| S | n/d | n/d | n/d | n/d | n/d | n/d | n/d | n/d | n/d | |
| Pj | 0.0000 | −1.0000 | −1.0000 | −0.0015 | −0.2000 | 0.5250 | 10000 | −0.8750 | −1.0000 | |
| 1.0000 | 0.2500 | 0.5000 | 0.0008 | 0.2000 | 0.0000 | −0.5000 | 0.0000 | 0.2500 | ||
| −1.0000 | 0.7500 | 0.5000 | 0.0008 | 0.0000 | −0.5250 | −0.5000 | 0.8750 | 0.7500 | ||
| Scenario | Inflow ϕ− | Outflow ϕ+ | Net Flow ϕ |
|---|---|---|---|
| (a) | 0.5341 | 0.2105 | −0.3236 |
| (b) | 0.1849 | 0.3641 | 0.1792 |
| (c) | 0.2050 | 0.3494 | 0.1444 |
© 2016 by the authors; licensee MDPI, Basel, Switzerland. This article is an open access article distributed under the terms and conditions of the Creative Commons Attribution (CC-BY) license (http://creativecommons.org/licenses/by/4.0/).
Share and Cite
Schmid, A.; Batton-Hubert, M.; Naquin, P.; Gourdon, R. Multi-Criteria Evaluation of End-of-Life Vehicles’ Dismantling Scenarios with Respect to Technical Performance and Sustainability Issues. Resources 2016, 5, 42. https://doi.org/10.3390/resources5040042
Schmid A, Batton-Hubert M, Naquin P, Gourdon R. Multi-Criteria Evaluation of End-of-Life Vehicles’ Dismantling Scenarios with Respect to Technical Performance and Sustainability Issues. Resources. 2016; 5(4):42. https://doi.org/10.3390/resources5040042
Chicago/Turabian StyleSchmid, Alexis, Mireille Batton-Hubert, Pascale Naquin, and Rémy Gourdon. 2016. "Multi-Criteria Evaluation of End-of-Life Vehicles’ Dismantling Scenarios with Respect to Technical Performance and Sustainability Issues" Resources 5, no. 4: 42. https://doi.org/10.3390/resources5040042
APA StyleSchmid, A., Batton-Hubert, M., Naquin, P., & Gourdon, R. (2016). Multi-Criteria Evaluation of End-of-Life Vehicles’ Dismantling Scenarios with Respect to Technical Performance and Sustainability Issues. Resources, 5(4), 42. https://doi.org/10.3390/resources5040042
