Evaluation of the Migration Potential of Printed Plastic Films into the Aquatic Environment
Abstract
1. Introduction
2. Materials and Methods
2.1. Study Material
2.2. Experiment Procedure
2.3. Physicochemical Analyses
2.4. Ecotoxicological Assessment
2.4.1. Lemna Minor Inhibition Test
2.4.2. Germination Test
2.4.3. Crustacean Mortality Test
3. Results and Discussion
3.1. Visual Characteristics of the Changes in Film and Print Quality
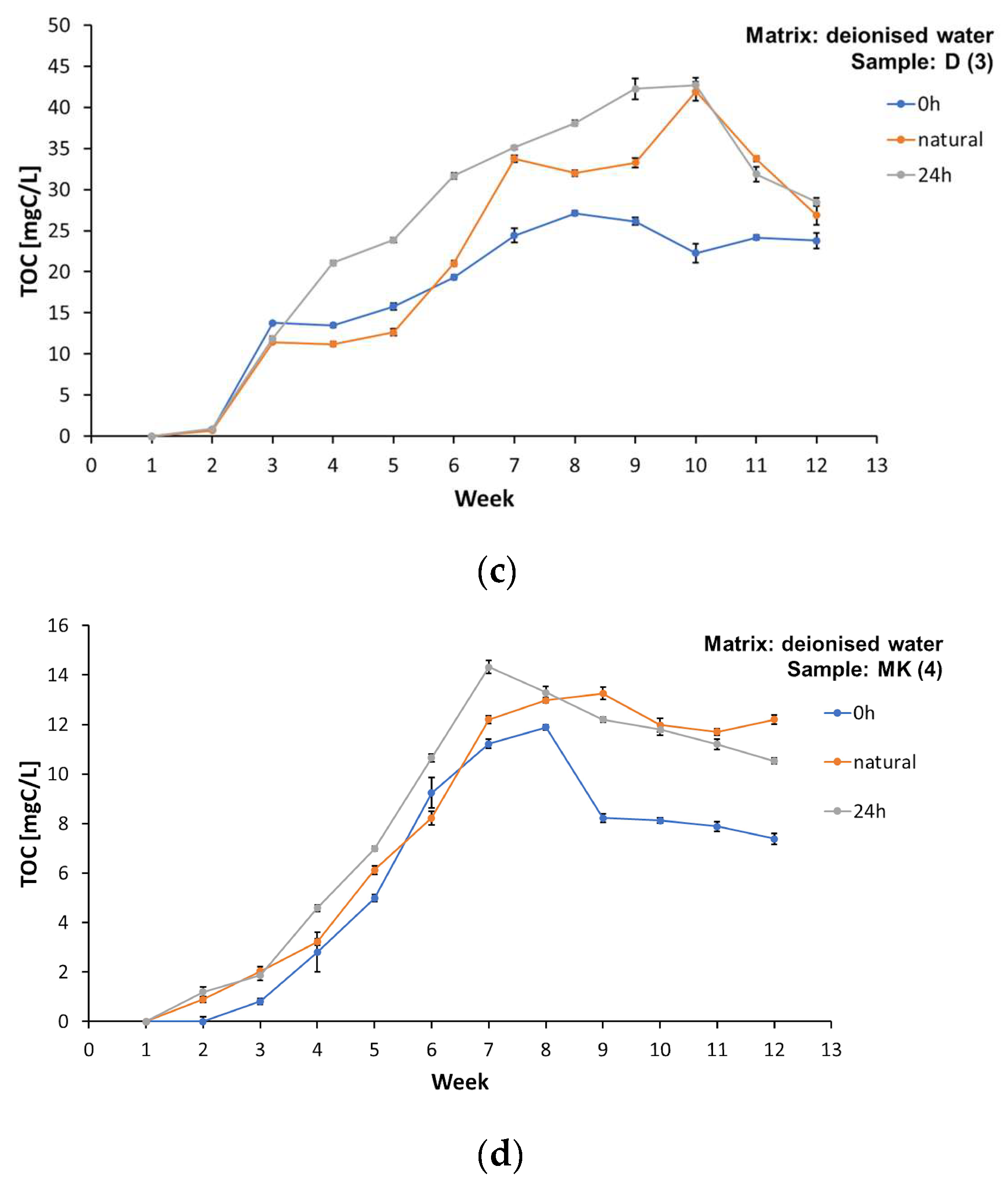
3.2. Analysis of the Change in the Organic Carbon Concentration in Water Matrices
3.3. Change in pH and Total Dissolved Solids (TDS)
3.4. The Impact of Pollution on the Growth of Lemna Minor Fronds
3.5. The Impact of Pollution on the Germination of Sinapis alba and Lepidium sativum
4. Conclusions
Supplementary Materials
Funding
Data Availability Statement
Conflicts of Interest
Statements and Declarations
References
- Iniguez, M.E.; Conesa, J.A.; Fullana, A. Recyclability of four types of plastics exposed to UV irradiation in a marine environment. Waste Manag. 2018, 79, 339–345. [Google Scholar] [PubMed]
- Zhang, K.; Hamidian, A.H.; Tubić, A.; Zhang, Y.; Fang, J.K.H.; Wu, C.; Lam, P.K.S. Understanding plastic degradation and microplastic formation in the environment: A review. Environ. Pollut. 2021, 274, 116554. [Google Scholar] [PubMed]
- Li, L.; Zuo, J.; Duan, X.; Wang, S.; Hu, K.; Chang, R. Impacts and mitigation measures of plastic waste: A critical review. Environ. Impact Assess. Rev. 2021, 90, 106642. [Google Scholar]
- Bellas, J.; Gil, I. Polyethylene microplastics increase the toxicity of chlorpyrifos to the marine copepod Acartia tonsa. Environ. Pollut. 2020, 260, 114059. [Google Scholar]
- Ritchie, H. How much Plastic Waste Ends up in the Ocean? Available online: https://ourworldindata.org/how-much-plastic-waste-ends-up-in-the-ocean (accessed on 12 February 2025).
- Senga Green, D.; Boots, B.; Blockley, D.J.; Rocha, C.; Thompson, R. Impacts of Discarded Plastic Bags on Marine Assemblages and Ecosystem Functioning. Environ. Sci. Technol. 2015, 49, 5380–5389. [Google Scholar]
- Fauser, P.; Vorkamp, K.; Strand, J. Residual additives in marine microplastics and their risk assessment—A critical review. Marine Pollut. Bull. 2022, 177, 113467. [Google Scholar]
- Catrouillet, C.; Davranche, M.; Khatib, I.; Fauny, C.; Wahl, A.; Gigault, J. Metals in microplastics: Determining which are additive, adsorbed, and bioavailable. Environ. Sci. Process. Impact 2021, 4, 553–558. [Google Scholar]
- Julienne, F.; Delorme, N.; Lagarde, F. From macroplastics to microplastics: Role of water in the fragmentation of polyethylene. Chemosphere 2019, 236, 124409. [Google Scholar]
- Morales-Méndez, J.D.; Silva-Rodríguez, R. Environmental assessment of ozone layer depletion due to the manufacture of plastic bags. Heliyon 2018, 4, e01020. [Google Scholar]
- Du, H.; Xie, Y.; Wang, J. Microplastic degradation methods and corresponding degradation mechanism: Research status and future perspectives. J. Hazard. Mater. 2021, 418, 126377. [Google Scholar]
- Fotopoulou, K.N.; Karapanagioti, H.K. Degradation of Various Plastics in the Environment. In Hazardous Chemicals Associated with Plastics in the Marine Environment. The Handbook of Environmental Chemistry; Takada, H., Karapanagioti, H.K., Eds.; Springer: Cham, Switzerland, 2017; Volume 78, pp. 71–92. [Google Scholar]
- Alam, O.; Billah, M.; Yajie, D. Characteristics of plastic bags and their potential environmental hazards. Resour. Conserv. Recycl. 2018, 132, 121–129. [Google Scholar] [CrossRef]
- Laskar, N.; Kumar, U. Plastics and microplastics: A threat to environment. Environ. Technol. Innov. 2019, 14, 100352. [Google Scholar] [CrossRef]
- Borusiewicz, R.; Kowalski, R. Volatile organic compounds in polyethylene bags: A forensic perspective. Forensic Sci. Int. 2016, 266, 462–468. [Google Scholar] [CrossRef] [PubMed]
- Izdebska-Podsiadły, J. Flexographic Printing. In Printing on Polymers: Fundamentals and Applications; Izdebska-Podsiadły, J., Sabu, T., Eds.; Elsevier: Amsterdam, The Netherlands, 2016; pp. 1–20. [Google Scholar]
- Balea, A.; Monte, M.C.; de la Fuente, E.; Negro, C.; Blanco, A. Application of cellulose nanofibers to remove water-based flexographic inks from wastewaters. Environ. Sci. Pollut. Res. 2017, 24, 5049–5059. [Google Scholar] [CrossRef]
- Bejgarn, S.; MacLeod, M.; Bogdal, C.; Breitholtz, M. Toxicity of leachate from weathering plastics: An exploratory screening study with Nitocra spinipes. Chemosphere 2015, 132, 114–119. [Google Scholar] [CrossRef]
- Ernstgård, L.; Löf, A.; Wieslander, G.; Norbäck, D.; Johanson, G. Acute effects of some volatile organic compounds emitted from water-based paints. Environ. Sci. Pollut. Res. Int. 2007, 49, 880–889. [Google Scholar] [CrossRef]
- Gajadhur, M.; Łuszczyńska, A. Influence of pearlescent pigments on light-fastness of water-based flexographic inks. Dye. Pigment. 2017, 138, 119–128. [Google Scholar] [CrossRef]
- Izdebska, J.; Żołek-Tryznowska, Z.; Świętoński, A. Correlation between plastic films properties and flexographic prints quality. J. Graph. Eng. Des. 2015, 6, 19–25. [Google Scholar] [CrossRef]
- Potter, B.B.; Wimsatt, J. Method 415.3, Rev. 1.2: Determination of Total Organic Carbon and Specific UV Absorbance at 254 nm in Source Water and Drinking Water; U.S. Environmental Protection Agency: Washington, DC, USA, 2009.
- OECD. Test No. 221: Lemna sp. Growth Inhibition Test. In OECD Guidelines for the Testing of Chemicals, Section 2; OECD Publishing: Paris, France, 2006. [Google Scholar]
- Baran, A.; Tarnawski, M. Phytotoxkit/Phytotestkit and Microtox® as tools for toxicity assessment of sediments. Ecotoxicol. Environ. Saf. 2012, 98, 19–27. [Google Scholar] [CrossRef]
- Hoekstra, N.J.; Bosker, T.; Lantinga, E.A. Effects of cattle dung from farms with different feeding strategies on germination and initial root growth of cress (Lepidium sativum L.). Agric. Ecosyst. Environ. 2002, 93, 189–196. [Google Scholar] [CrossRef]
- United States Environmental Protection Agency. Methods for Measuring the Acute Toxicity of Effluents and Receiving Waters to Freshwater and Marine Organisms. EPA-821-R-02-012; U.S. Environmental Protection Agency: Washington, DC, USA, 2002.
- United States Environmental Protection Agency. Chronic Marine and Estuarine Manual. EPA 821-R-02-014; U.S. Environmental Protection Agency: Washington, DC, USA, 2002.
- Persoone, G.; Marsalek, B.; Blinova, I.; Törökne, A.; Zarina, D.; Manusadzianas, L.; Nałecz-Jawecki, G.; Tofan, L.; Stepanova, N.; Tothova, L.; et al. A Practical and User Friendly Toxicity Classification System with Microbiotests for Natural Waters and Wastewaters. Environ. Toxicol. 2003, 18, 395–402. [Google Scholar] [CrossRef]
- Ali, S.S.; Elsamahy, T.; Koutra, E.; Kornaros, M.; El-Sheekh, M.; Abdelkarim, E.A.; Zhu, D.; Sun, J. Degradation of conventional plastic wastes in the environment: A review on current status of knowledge and future perspectives of disposal. Sci. Total Environ. 2021, 771, 144719. [Google Scholar] [CrossRef] [PubMed]
- Chamas, A.; Moon, H.; Zheng, J.; Qiu, Y.; Tabassum, T.; Jang, J.H.; Abu-Omar, M.; Scott, S.L.; Suh, S. Degradation Rates of Plastics in the Environment. ACS Sustain. Chem. Eng. 2020, 8, 3494–3511. [Google Scholar] [CrossRef]
- Wayman, C.; Niemann, H. The fate of plastic in the ocean environment—A minireview. Environ. Sci. Process. Impacts 2021, 23, 198–212. [Google Scholar] [CrossRef] [PubMed]
- Coyle, R.; Hardiman, G.; O’ Driscoll, K. Microplastics in the marine environment: A review of their sources, distribution processes, uptake and exchange in ecosystems. Case Stud. Chem. Environ. Eng. 2020, 2, 100010. [Google Scholar] [CrossRef]
- Schwarz, A.E.; Ligthart, T.N.; Boukris, E.; van Harmelen, T. Sources, transport, and accumulation of different types of plastic litter in aquatic environments: A review study. Mar. Pollut. Bull. 2019, 143, 92–100. [Google Scholar] [CrossRef]
- Ding, R.; Tong, L.; Zhang, W. Microplastics in Freshwater Environments: Sources. Fates and Toxicity. Water Air Soil Pollut. 2021, 232, 181. [Google Scholar] [CrossRef]
- Napper, I.E.; Thompson, R.C. Environmental Deterioration of Biodegradable. Oxo-biodegradable, Compostable, and Conventional Plastic Carrier Bags in the Sea, Soil, and Open-Air Over a 3-Year Period. Environ. Sci. Technol. 2019, 53, 4775–4783. [Google Scholar] [CrossRef]
- Yuan, J.; Ma, J.; Sun, Y.; Zhou, T.; Zhao, Y.; Yu, F. Microbial degradation and other environmental aspects of microplastics/plastics. Sci. Total Environ. 2020, 715, 136968. [Google Scholar] [CrossRef]
- Almeida, M.P.D.; Gaylarde, C.; Pompermayer, F.C.; Lima, L.D.S.; Delgado, J.D.F.; Scott, D.; Neves, C.V.; Vieira, K.S.; Baptista Neto, J.A.; Fonseca, E.M. The Complex Dynamics of Microplastic Migration through Different Aquatic Environments: Subsidies for a Better Understanding of Its Environmental Dispersion. Microplastics 2023, 2, 62–77. [Google Scholar] [CrossRef]
- Michel, A.; Schaefli, B.; Wever, N.; Zekollari, H.; Lehning, M.; Huwald, H. Future water temperature of rivers in Switzerland under climate change investigated with physics-based models. Hydrol. Earth Syst. Sci. 2022, 26, 1063–1087. [Google Scholar]
- Woolway, R.I.; Kraemer, B.M.; Lenters, J.D.; Merchant, C.J.; O’Reilly, C.M.; Sharma, S. Global lake responses to climate change. Nat. Rev. Earth Environ. 2020, 1, 388–403. [Google Scholar]
- Ferreira, M.; Thompson, J.; Paris, A.; Rohindra, D.; Rico, C. Presence of microplastics in water, sediments and fish species in an urban coastal environment of Fiji, a Pacific small island developing state. Mar. Pollut. Bull. 2020, 153, 110991. [Google Scholar] [PubMed]
- Li, Y.; Liu, C.; Yang, H.; He, W.; Li, B.; Zhu, X.; Liu, S.; Jia, S.; Li, R.; Tang, K.H.D. Leaching of chemicals from microplastics: A review of chemical types, leaching mechanisms and influencing factors. Sci. Total Environ. 2024, 906, 167666. [Google Scholar]
- Romera-Castillo, C.; Mallenco-Fornies, R.; Saá-Yánez, M.; Álvarez-Salgado, X.A. Leaching and bioavailability of dissolved organic matter from petrol-based and biodegradable plastics. Mar. Environ. Res. 2022, 176, 105607. [Google Scholar]
- Bridson, J.H.; Gaugler, E.C.; Smith, D.A.; Northcott, G.L.; Gaw, S. Leaching and extraction of additives from plastic pollution to inform environmental risk: A multidisciplinary review of analytical approaches. J. Hazard. Mater. 2021, 414, 125571. [Google Scholar]
- Oberbeckmann, S.; Labrenz, M. Marine Microbial Assemblages on Microplastics: Diversity, Adaptation, and Role in Degradation. Ann. Rev. Mar. Sci. 2020, 2, 209–232. [Google Scholar]
- Romera-Castillo, C.; Pinto, M.; Langer, T.M.; Álvarez-Salgado, X.A.; Herndl, G.J. Dissolved organic carbon leaching from plastics stimulates microbial activity in the ocean. Nat. Comm. 2018, 9, 1430. [Google Scholar]
- Shetty, A.; Goyal, A. Total organic carbon analysis in water—A review of current methods. Mater. Today Proc. 2022, 65, 3881–3886. [Google Scholar]
- Kaplan, L.A.; Newbold, J.D. 10—Surface and Subsurface Dissolved Organic Carbon. Streams and Ground Waters. In Aquatic Ecology; Jones, J.B., Mulholland, P.J., Eds.; Academic Press: Cambridge, MA, USA, 2000; pp. 237–258. [Google Scholar]
- Abdulrazzak, I.A.; Bierk, H.; Abdulrazzaq, A.A. Monitoring and evaluation of the water pollution. IOP Conf. Ser. Mater. Sci. Eng. 2020, 881, 012101. [Google Scholar]
- Balestri, E.; Menicagli, V.; Ligorini, V.; Fulignati, S.; Raspolli Galletti, A.M.; Lardicci, C. Phytotoxicity assessment of conventional and biodegradable plastic bags using seed germination test. Ecol. Indic. 2019, 102, 569–580. [Google Scholar]
- Kalčíková, G.; Gotvajn, A.Ž.; Kladnik, A.; Jemec, A. Impact of polyethylene microbeads on the floating freshwater plant duckweed Lemna Minor. Environ. Pollut. 2017, 230, 1108–1115. [Google Scholar] [CrossRef] [PubMed]
- Chen, Q.; Gao, Z.; Wu, Y.; Li, H.; Jiang, J.; Yang, Y.; Xu, L.; Shi, H. Insight into chemical features of migrated additives from plastics and associated risks to estuarine ecosystem. J. Hazard. Mat. 2023, 448, 130861. [Google Scholar] [CrossRef]
- Chen, Q.; Allgeier, A.; Yin, D.; Hollert, H. Leaching of endocrine disrupting chemicals from marine microplastics and mesoplastics under common life stress conditions. Environ. Int. 2019, 130, 104938. [Google Scholar]
- Gewert, B.; Plassmanna, M.M.; MacLeod, M. Pathways for degradation of plastic polymers floating in the marine environment. Environ. Sci. Process. Impacts 2015, 17, 1513. [Google Scholar] [CrossRef]
- Yang, H.; Li, X.; Guo, M.H.; Cao, X.; Zheng, X.; Bao, D. UV-induced microplastics (MPs) aging leads to comprehensive toxicity. Mar. Pollut. Bull. 2023, 189, 114745. [Google Scholar]
- Xu, S.; Ma, J.; Ji, R.; Pan, K.; Miao, A.-J. Microplastics in aquatic environments: Occurrence, accumulation, and biological effects. Sci. Total Environ. 2020, 703, 134699. [Google Scholar]
- Zhu, K.; Jia, H.; Sun, Y.; Dai, Y.; Zhang, C.; Guo, X.; Wang, T.; Zhu, L. Long-term phototransformation of microplastics under simulated sunlight irradiation in aquatic environments: Roles of reactive oxygen species. Water Res. 2020, 173, 115564. [Google Scholar]
- Mateos-Cárdenas, A.; Scott, D.T.; Seitmaganbetova, G.; van Pelt Frank, N.A.M.; O’Halloran, J.; Jansen Marcel, A.K. Polyethylene microplastics adhere to Lemna minor (L.), yet have no effects on plant growth or feeding by Gammarus duebeni (Lillj.). Sci. Total Environ. 2019, 689, 413–421. [Google Scholar]
- Pflugmacher, S.; Sulek, A.; Mader, H.; Heo, J.; Noh, J.H.; Penttinen, O.P.; Kim, Y.; Kim, S.; Esterhuizen, M. The Influence of New and Artificial Aged Microplastic and Leachates on the Germination of Lepidium sativum L. Plants 2020, 7, 339. [Google Scholar]
- Pflugmacher, S.; Tallinen, S.; Kim, Y.J.; Kim, S.; Esterhuizen, M. Ageing affects microplastic toxicity over time: Effects of aged polycarbonate on germination, growth, and oxidative stress of Lepidium sativum. Sci. Total Environ. 2021, 790, 148166. [Google Scholar] [PubMed]
- Schiavo, S.; Oliviero, M.; Chiavarini, S.; Dumontet, S.; Manzo, S. Polyethylene, Polystyrene, and Polypropylene leachate impact upon marine microalgae Dunaliella tertiolecta. J. Toxicol. Env. Health Part A 2020, 84, 249–260. [Google Scholar]
- Luo, H.; Liu, C.; He, D.; Sun, J.; Li, J.; Pan, X. Effects of aging on environmental behavior of plastic additives: Migration, leaching, and ecotoxicity. Sci. Total Environ. 2022, 849, 157951. [Google Scholar] [CrossRef] [PubMed]














| Parameter (Unit) | Matrix | ||
|---|---|---|---|
| Deionised Water | Spring Water | Tap Water * | |
| pH (-) | 5.92 ± 0.08 | 7.82 ± 0.12 | 7.25 ± 0.16 |
| EC (µS/cm) | 3.24 ± 0.16 | 382.00 ± 2.18 | 535.00 ± 2.26 |
| Turbidity (NTU) | 0.00 ± 0.00 | 0.00 ± 0.00 | 0.00 ± 0.00 |
| TDS (ppm) | 0.00 ± 0.00 | 0.28 ± 0.12 | 0.32 ± 0.18 |
| UV254 (m−1) | 0.00 ± 0.00 | 0.00 ± 0.00 | 1.20 ± 0.28 |
| TC (mgC/L) | 5.56 ± 0.28 | 36.19 ± 0.89 | 47.49 ± 0.68 |
| TOC (mgC/L) | 0.00 ± 0.00 | 0.82 ± 0.12 | 0.08 ± 0.02 |
| DOC (mgC/L) | 0.00 ± 0.00 | 0.00 ± 0.00 | 0.00 ± 0.00 |
Disclaimer/Publisher’s Note: The statements, opinions and data contained in all publications are solely those of the individual author(s) and contributor(s) and not of MDPI and/or the editor(s). MDPI and/or the editor(s) disclaim responsibility for any injury to people or property resulting from any ideas, methods, instructions or products referred to in the content. |
© 2025 by the author. Licensee MDPI, Basel, Switzerland. This article is an open access article distributed under the terms and conditions of the Creative Commons Attribution (CC BY) license (https://creativecommons.org/licenses/by/4.0/).
Share and Cite
Łaskawiec, E. Evaluation of the Migration Potential of Printed Plastic Films into the Aquatic Environment. Resources 2025, 14, 58. https://doi.org/10.3390/resources14040058
Łaskawiec E. Evaluation of the Migration Potential of Printed Plastic Films into the Aquatic Environment. Resources. 2025; 14(4):58. https://doi.org/10.3390/resources14040058
Chicago/Turabian StyleŁaskawiec, Edyta. 2025. "Evaluation of the Migration Potential of Printed Plastic Films into the Aquatic Environment" Resources 14, no. 4: 58. https://doi.org/10.3390/resources14040058
APA StyleŁaskawiec, E. (2025). Evaluation of the Migration Potential of Printed Plastic Films into the Aquatic Environment. Resources, 14(4), 58. https://doi.org/10.3390/resources14040058

