Are Land Use and Cover Changes and Socioeconomic Factors Associated with the Occurrence of Dengue Fever? A Case Study in Minas Gerais State, Brazil
Abstract
1. Introduction
2. Materials and Methods
2.1. Study Area
2.2. Obtaining Data
2.2.1. Changes in Land Use and Cover
2.2.2. Dengue Occurrence
2.2.3. Socioeconomic and Climatic Factors
2.2.4. Statistical Analysis
3. Results
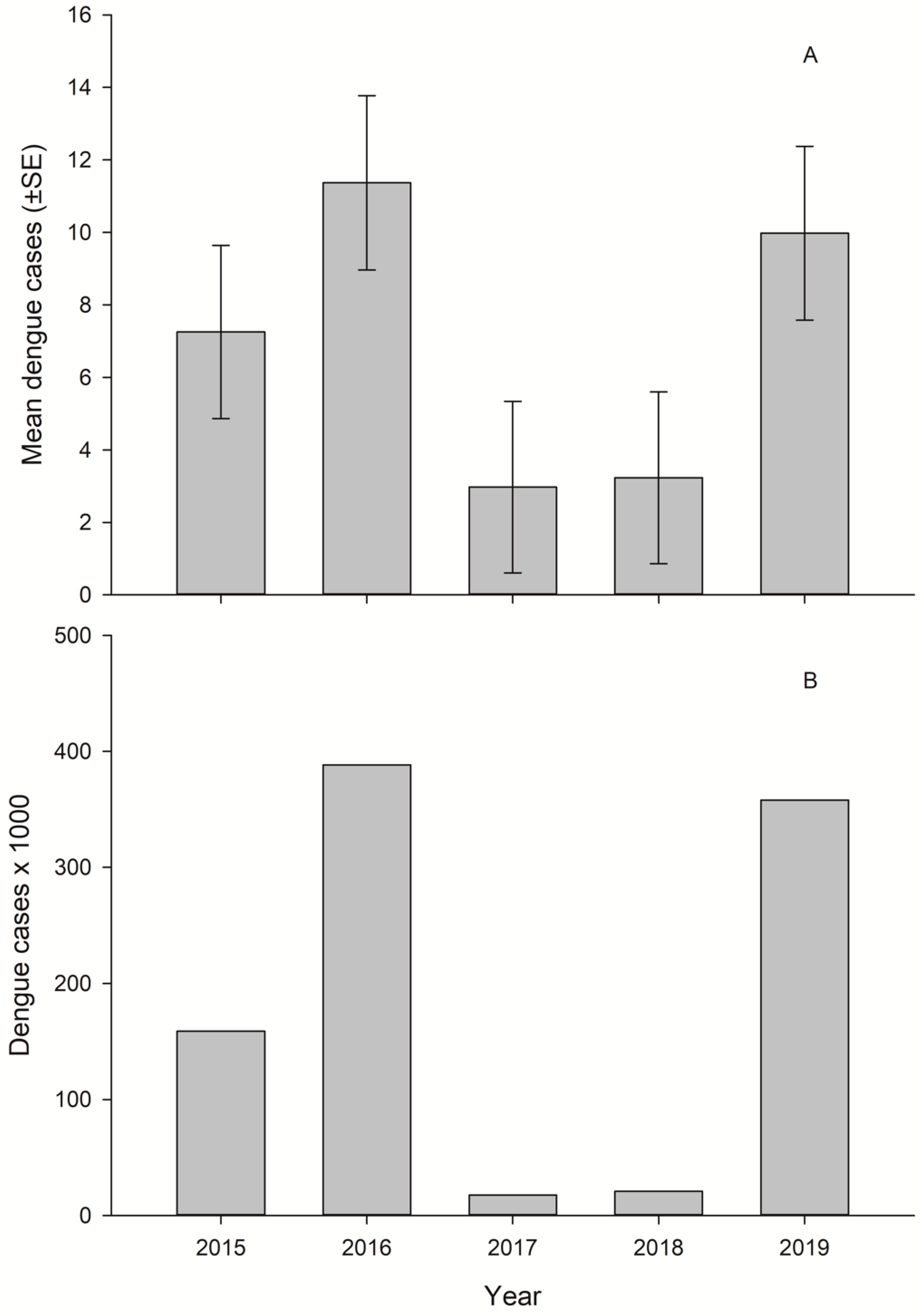
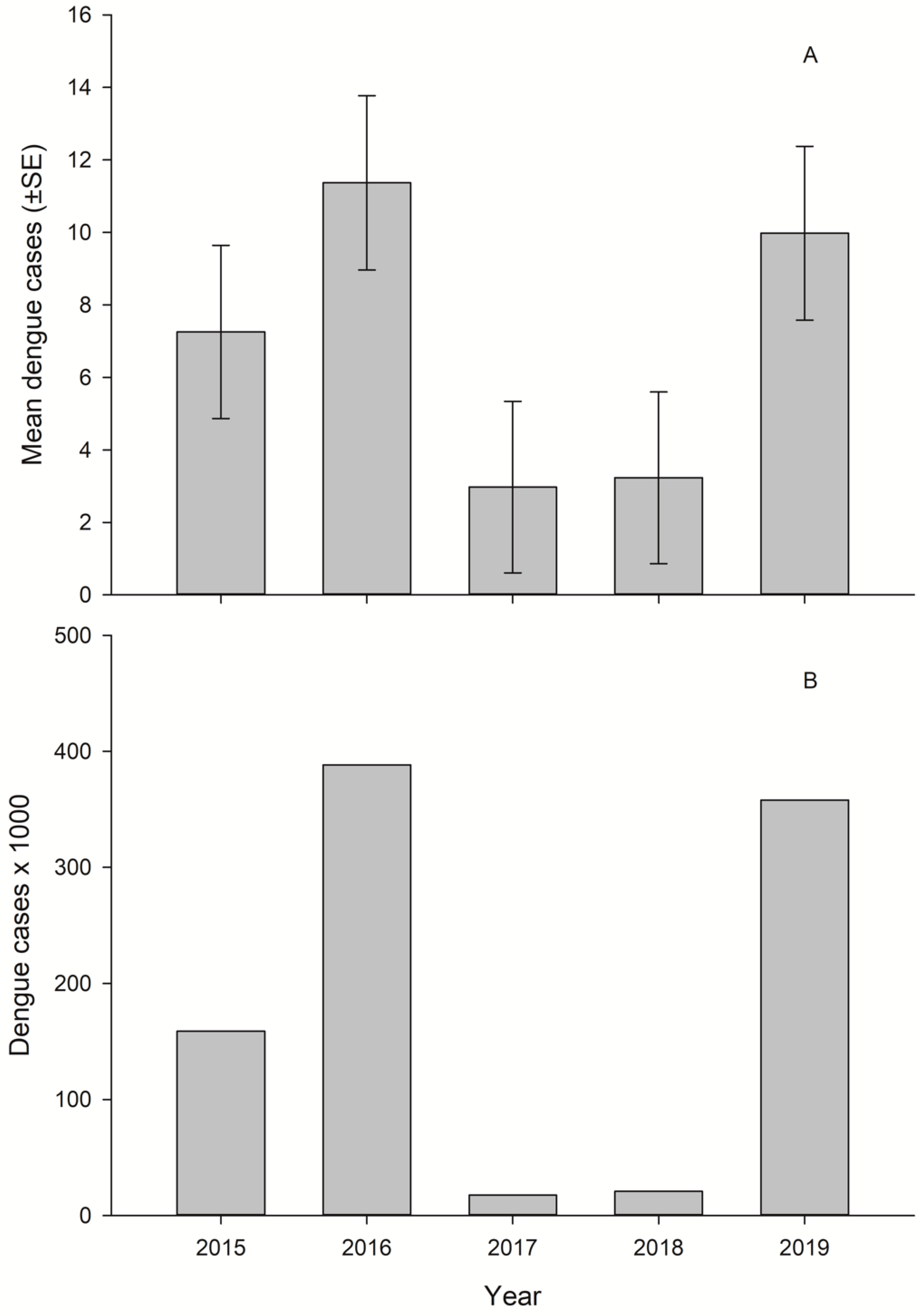
3.1. Occurrence of Dengue in Minas Gerais State
3.2. Changes in Land Use and Land Cover
3.3. Socioeconomic and Climatic Factors
3.4. Factors Associated to Dengue Occurrence
4. Discussion
5. Conclusions
Supplementary Materials
Author Contributions
Funding
Data Availability Statement
Conflicts of Interest
References
- Ujvari, S.C. A history and its epidemics: Man’s coexistence with microorganisms. Rev. Inst. Med. Trop. São Paulo 2003, 45, 212. [Google Scholar] [CrossRef]
- Wu, X.; Lu, Y.; Zhou, S.; Chen, L.; Xu, B. Impact of climate change on human infectious diseases: Empirical evidence and human adaptation. Environ. Int. 2016, 86, 14–23. [Google Scholar] [CrossRef] [PubMed]
- Zahouli, J.B.Z.; Koudou, B.G.; Mueller, P.; Malone, D.; Tano, Y.; Utzinger, J. Effect of land-use changes on the abundance, distribution, and host-seeking behavior of Aedes arbovirus vectors in oil palm-dominated landscapes, southeastern Côte d’Ivoire. PLoS ONE 2017, 12, e0189082. [Google Scholar] [CrossRef] [PubMed]
- Vieiro, D.; Ignoti, V.E. The occurrence of dengue and meteorological variations in Brazil: Systematic review. Rev. Bras. Epidemiol. 2013, 2, 240–253. [Google Scholar]
- Vijay, V.; Pimm, S.L.; Jenkins, C.N.; Smith, S.J. The impacts of oil palm on recent deforestation and biodiversity loss. PLoS ONE 2016, 11, e0159668. [Google Scholar] [CrossRef] [PubMed]
- Burket-Cadena, N.; Vittor, A.Y. Deforestation and vector-borne disease: Forest conversion favors important mosquito vectors of human pathogens. Natl. Libr. Med. 2018, 26, 101–110. [Google Scholar] [CrossRef]
- Chan, K.; Tusting, L.S.; Bottomley, C.; Saito, K.; Djouaka, R.; Lines, J. Malaria transmission and prevalence in rice-growing versus non-rice-growing villages in Africa: A systematic review and meta-analysis. Lancet Planet Health 2022, 6, 257–269. [Google Scholar] [CrossRef] [PubMed]
- Hopkins, S.R.; Sokolow, S.H.; Buck, J.C.; De Leo, G.A.; Jones, I.J.; Kwong, L.H.; LeBoa, C.; Lund, A.J.; MacDonald, A.J.; Nova, N.; et al. How to identify win–win interventions that benefit human health and conservation. Nat. Sustain. 2020, 4, 298–304. [Google Scholar] [CrossRef]
- Hopkins, S.R.; Lafferty, K.D.; Wood, C.L.; Olson, S.H.; Buck, J.C.; A De Leo, G.; Fiorella, K.J.; Fornberg, J.L.; Garchitorena, A.; Jones, I.J.; et al. Evidence gaps and diversity among potential win–win solutions for conservation and human infectious disease control. Lancet Planet. Health 2022, 6, 694–705. [Google Scholar] [CrossRef]
- Ilacqua, R.C.; Medeiros-Sousa, A.R.; Ramos, D.G.; Obara, M.T.; Ceretti-Junior, W.; Mucci, L.F.; Marrelli, M.T.; Laporta, G.Z. Reemergence of yellow fever in Brazil: The role of distinct landscape fragmentation thresholds. J. Environ. Public Health 2021, 7, 8230789. [Google Scholar] [CrossRef]
- Kolimenakis, A.; Heinz, S.; Wilson, M.L.; Winkler, V.; Yakob, L.; Michaelakis, A.; Papachristos, D.; Richardson, C.; Horstick, O. The role of urbanization in the spread of Aedes mosquitoes and the diseases they transmit—A systematic review. PLoS Neglected Trop. Dis. 2021, 15, e0009631. [Google Scholar] [CrossRef] [PubMed]
- Gubler, D.J. Dengue, urbanization and globalization: The unholy trinity of the 21st century. Trop. Med. Health 2011, 39, 3–11. [Google Scholar] [CrossRef] [PubMed]
- Pignatti, M. Health and environment: Emergent diseases in Brazil. Ambiente Soc. 2004, 7, 133–147. [Google Scholar] [CrossRef]
- Schmidt, R.A.C. Environmental issues on health promotion: A multi-professional action on emerging diseases. Scielo Public Health 2006, 17, 373–392. [Google Scholar]
- Combe, M.; Velvin, C.J.; Morris, A.; Garchitorena, A.; Carolan, K.; Sanhueza, D.; Roche, B.; Couppié, P.; Guégan, J.F.; Gozlan, R.E. Global and local environmental changes as drivers of Bauru ulcer emergence. Emerg. Microbes Infect. 2017, 6, e21. [Google Scholar] [PubMed]
- Borinelli, B. Environmental problems and the limits of environmental policy. Serv. Soc. Rev. 2011, 13, 63–84. [Google Scholar] [CrossRef]
- Ellwanger, J.H.; Kulmann-Leal, B.; Kaminski, V.L.; Valverde-Villegas, J.M.; Da Veiga, A.B.G.; Spilki, F.R.; Fearnside, P.M.; Caesar, L.; Giatti, L.L.; Wallau, G.L.; et al. Beyond loss of diversity and climate change: Impacts of Amazon deforestation on infectious diseases and public health. Rev. Acad. Bras. Ciênc. 2020, 92, e20191375. [Google Scholar] [CrossRef] [PubMed]
- Marengo, J.A. Global Climate Change and Its Effects on Biodiversity: Characterization of the Current Climate and Definition of Climate Change for the Brazilian Territory Throughout the 21st Century, 2nd ed.; Ministério do Meio Ambiente: Brasília, Brazil, 2007.
- Herrera-Basto, E.; Prevots, D.R.; Zarate, M.L.; Silva, J.L.; Sepulveda-Amor, J. First reported outbreak of classical dengue fever at 1700 meters above sea level in Guerrero state, Mexico. Am. J. Trop. Med. Hyg. 1992, 46, 649–653. [Google Scholar] [CrossRef]
- Metcalf, C.J.E.; Walter, K.S.; Wesolowski, A.; Buckee, C.O.; Shevliakova, E.; Tatem, A.J.; Boos, W.R.; Weinberger, D.M.; Pitzer, V.E. Identifying climate drivers of infectious disease dynamics: Recent advances and challenges ahead. Proc. R. Soc. Biol. Sci. 2017, 284, 20170901. [Google Scholar] [CrossRef]
- Brancalion, P.H.; Broadbent, E.N.; De-Miguel, S.; Cardil, A.; Rosa, M.R.; Almeida, C.T.; Almeida, D.R.; Chakravarty, S.; Zhou, M.; Gamarra, J.G.; et al. Emerging threats linking tropical deforestation and the COVID-19 pandemic. Perspect. Ecol. Conserv. 2020, 18, 243–246. [Google Scholar] [CrossRef]
- Chaves, L.F.; Cohen, J.M.; Pascual, M.; Wilson, M.L. Social exclusion modifies climate and deforestation impacts on a vector-borne disease. PLoS Neglected Trop. Dis. 2008, 2, e176. [Google Scholar] [CrossRef] [PubMed]
- Lima-Camara, T.N. Emerging arboviruses and public health challenges in Brazil. Rev. Saúde Pública 2016, 50, 36. [Google Scholar] [CrossRef] [PubMed]
- Oliveira, R.M. Dengue in Rio de Janeiro: Rethinking popular participation in health. Cad. Saúde Pública 1998, 14, 69–78. [Google Scholar] [CrossRef] [PubMed]
- Castro, M.C.; Baeza, A.; Codeço, C.T.; Cucunubá, Z.M.; Dal’asta, A.P.; De Leo, G.A.; Dobson, A.P.; Carrasco-Escobar, G.; Lana, R.M.; Lowe, R.; et al. Development, environmental degradation, and disease spread in the Brazilian Amazon. PLoS Biol. 2019, 17, e3000526. [Google Scholar] [CrossRef] [PubMed]
- Câmara, F.P.; Gomes, A.F.; Santos, G.T.; Câmara, D.C. Clima e epidemias de dengue no Estado do Rio de Janeiro. Rev. Soc. Bras. Med. Trop. 2009, 42, 137–140. [Google Scholar] [CrossRef] [PubMed]
- Miceli, B.S.; Fonseca, A.B.A. Dengue and public health in the city of Rio de Janeiro, Brazil. Rev. Sustinere 2017, 5, 260–278. [Google Scholar]
- Medronho, R.A. Geoprocessing and Health: A New Approach to Space in the Health-Disease Process; Fiocruz—Fundação Oswaldo Cruz: Rio de Janeiro, Brazil, 1995. [Google Scholar]
- Cardim, M.F.M.; Guirado, M.M.; Dibo, M.R.; Chiaravalloti Neto, F. Visceral leishmaniasis in the state of São Paulo, Brazil: Spatial and spatio-temporal analysis. Public Health Mag. 2016, 50, 48. [Google Scholar]
- Gontijo, C.M.F.; Melo, M.N. Leishmaniose visceral no Brasil: Quadro atual, desafios e perspectivas. Rev. Bras. Epidemiol. 2004, 7, 338–349. [Google Scholar] [CrossRef]
- Silva, A.A.P.; Franquelino, A.R.; Teodoro, P.E.; Montanari, R.; Faria, G.A.; Silva, C.H.R.; Silva, D.B.; Ribeiro-Júnior, W.A.; Muchalak, F.; Souza, K.M.C.; et al. The fewer, the better fare: Can the loss of vegetation in the Cerrado drive the increase in dengue fever cases infection? PLoS ONE 2022, 17, e0262473. [Google Scholar]
- Brasil—Ministério da Saúde. Dengue: Epidemiological Aspects, Diagnosis and Treatment; Ministério da Saúde: Brasília, Brazil, 2002; n°176.
- Powell, G., Jr.; Gloria-Soria, A.; Kotsakiozi, P. Recent history of Aedes aegypti: Vector genomics and epidemiology records. Bioscience 2018, 68, 854–860. [Google Scholar] [CrossRef]
- Brady, O.J.; Hay, S.I. The global expansion of dengue: How Aedes aegypti mosquitoes enabled the first pandemic arbovirus. Annu. Rev. Entomol. 2019, 65, 191–208. [Google Scholar] [CrossRef] [PubMed]
- Funasa—Fundação Nacional de Saúde. Temporal Evolution of Notifiable Diseases in Brazil 1980–1998; Boletim Eletrônico Epidemiológico Edição Especial; Funasa—Fundação Nacional de Saúde: Rio Branco, Brazil, 1999. [Google Scholar]
- Churakov, M.; Villabona-Arenas, C.J.; Kraemer, M.U.G.; Salje, H.; Cauchemez, S. Spatio-temporal dynamics of dengue in Brazil: Seasonal traveling waves and determinants of regional synchrony. PLoS Neglected Trop. Dis. 2019, 13, e0007012. [Google Scholar] [CrossRef] [PubMed]
- Moraes, B.C.; Souza, E.B.; Sodré, G.R.C.; Ferreira, D.B.S.; Ribeiro, J.B.M. Seasonality in dengue notifications from Amazonian capitals and the impacts of El Niño/La Niña. Cad. Saúde Pública 2019, 35, e00123417. [Google Scholar] [CrossRef] [PubMed]
- Halstead, S.B. Dengue in the Americas and southeast Asia: Do they differ? Rev. Panam. Salud Publica 2006, 20, 407–415. [Google Scholar] [CrossRef]
- Jetten, T.H.; Focks, D.A. Potential changes in the distribution of dengue transmission under climate warming. Am. J. Trop. Med. Hyg. 1997, 57, 285–297. [Google Scholar] [CrossRef] [PubMed]
- Teixeira, M.G.; Barreto, M.L.; Guerra, Z. Recent shift in age pattern of dengue hemorrhagic fever, Brazil. Emerg. Infect. Dis. 2008, 10, e1663. [Google Scholar] [CrossRef] [PubMed]
- Teixeira, M.G.; Barreto, M.L.; Guerra, Z. Dengue Epidemiology and Prevention Measures; Informe Epidemiológico do SUS; Ministério da Saúde: Brasília, Brazil, 1999.
- Fujita, D.M.; Salvador, F.S.; da Silva Nali, L.H.; de Andrade Júnior, H.F. Dengue and climate changes: Increase of DENV-1 in São Paulo/Brazil–2023. Travel Med. Infect. Dis. 2023, 56, 102668. [Google Scholar] [CrossRef] [PubMed]
- Braga, I.A.; Valle, D. Aedes aegypti: History of control in Brazil. Epidemiol. E Serv. Saúde 2007, 6, 113–118. [Google Scholar]
- Poncio, L.C.; dos Anjos, F.A.; de Oliveira, D.A.; Rosa, A.D.O.D.; Silva, B.P.; Rebechi, D.; Pedrosa, J.M.; Franciscato, D.A.D.C.; de Souza, C.; Paldi, N. Prevention of a dengue outbreak via the large-scale deployment of Sterile Insect Technology in a Brazilian city: A prospective study. Lancet Reg. Health Am. 2023, 21, 100498. [Google Scholar]
- Kallás, E.G.; Cintra, M.A.T.; Moreira, J.A.; Patiño, E.G.; Braga, P.E.; Tenório, J.C.V.; Infante, V.; Palacios, R.; de Lacerda, M.V.G.; Pereira, D.B.; et al. Live, attenuated, tetravalent Butantan–Dengue vaccine in children and adults. N. Engl. J. Med. 2024, 390, 397–408. [Google Scholar] [CrossRef]
- Kaimowitz, D.; Angelsen, A. Economic Models of Tropical Deforestation: A Review; Center for International Forestry Research: Bogor, Indonesia, 1998. [Google Scholar]
- IBGE—Instituto Brasileiro de Geografia e Estatística. Estimates of the Resident Population in Brazil and Federation Units with a Reference Date of 1 July 2021; Instituto Brasileiro de Geografia e Estatística: Rio de Janeiro, Brazil, 2021.
- Antunes, F.Z. Climatic characterization of the state of Minas Gerais: Agricultural climatology. Agric. Rep. 1986, 12, 9–13. [Google Scholar]
- IBGE—Instituto Brasileiro de Geografia e Estatística. Biomas e Sistema Costeiro-Marinho do Brasil; Instituto Brasileiro de Geografia e Estatística: Rio de Janeiro, Brazil, 2019.
- IEF—Instituto Estadual de Florestas. Minas Gerais: Vegetation Coverage of Minas Gerais; Instituto Estadual de Florestas: Belo Horizonte, Brazil, 2012.
- MapBiomas. Getting to Know MapBiomas: Who We Are. 2022. Available online: https://brasil.mapbiomas.org/ (accessed on 15 December 2023).
- Thomas, G. Analysis of Experiment with Single Repetition Using the Intraclass Correlation Coefficient. Bachelor’s Thesis, Universidade Federal do Rio Grande do Sul, Porto Alegre, Brazil, 2015. [Google Scholar]
- IBGE—Instituto Brasileiro de Geografia e Estatística. Mapas Municipais do Brasil; Instituto Brasileiro de Geografia e Estatística: Rio de Janeiro, Brazil, 2020.
- Guimarães, D.P.; Reis, R.J.; Landau, E.C. Índices Pluviométricos em Minas Gerais. Boletim de Pesquisa e Desenvolvimento; EMBRAPA: Sete Lagoas, Brazil, 2010. [Google Scholar]
- R Development Team. R: A Language and Environment for Statistical Computing; R Development Team: Vienna, Austria, 2015. [Google Scholar]
- Neri, M.C. Desigualdade de Impactos Trabalhistas na Pandemia; FGV Social: Rio de Janeiro, Brazil, 2021. [Google Scholar]
- Dupin, M.G.V.; Espírito-Santo, M.M.; E Leite, M.; Silva, J.O.; Rocha, A.M.; Barbosa, R.S.; Anaya, F.C. Land use policies and deforestation in Brazilian tropical dry forests between 2000 and 2015. Environ. Res. 2018, 13, 035008. [Google Scholar] [CrossRef]
- Espírito-Santo, M.M.D.; Rocha, A.M.; Leite, M.E.; Silva, J.O.; Silva, L.A.P.; Sanchez-Azofeifa, G.A. Biophysical and socioeconomic factors associated with deforestation and forest recovery in Brazilian tropical dry forests. Front. For. Glob. Chang. 2020, 3, 569184. [Google Scholar] [CrossRef]
- Bauhoff, S.; Busch, J. Does deforestation increase malaria prevalence? Evidence from satellite data and health surveys. World Dev. 2020, 127, 104734. [Google Scholar] [CrossRef]
- Yasuoka, J.; Levins, R. Impact of deforestation and agricultural development on anopheline ecology and malaria epidemiology. J. Trop. Med. Hyg. 2007, 76, 450–460. [Google Scholar] [CrossRef]
- Amaral, P.M. Analysis of the Influence of Socio-Environmental and Climatic Factors on the Incidence of Dengue, Malaria, and Tuberculosis. Bachelor’s Thesis, Universidade Federal do Espírito Santo, Vitória, Brazil, 2015. [Google Scholar]
- Horta, M.A.P.; Ferreira, A.; Bruniera, R.; Wermelinger, E.D. The effects of urban growth on dengue. Rev. Bras. Promoção Saúde 2013, 26, 539–547. [Google Scholar]
- MacDonald, A.J.; Mordecai, E.A. Amazon deforestation drives malaria transmission, and malaria burden reduces forest clearing. Proc. Natl. Acad. Sci. USA 2019, 116, 22212–22218. [Google Scholar] [CrossRef] [PubMed]
- Moura, P.M.; Docile, T.N.; Arnóbio, A.; Figueiró, R. Deforestation and disordered urban growth in the state of Rio de Janeiro: Impacts on the dynamics of dengue. Cad. UniFOA 2014, 9, 77–85. [Google Scholar] [CrossRef]
- Kalbus, A.; Sampaio, V.S.; Boenecke, J.; Reintjes, R. Exploring the influence of deforestation on dengue fever incidence in the Brazilian Amazonas state. PLoS ONE 2021, 16, e0242685. [Google Scholar] [CrossRef]
- Morais, M.M. Is the Proportion of Atlantic Forest Remaining around Urban Areas Related to the Incidence of Dengue Fever? Master’s Dissertation, Universidade Federal de Minas Gerais, Belo Horizonte, Brazil, 2011. [Google Scholar]
- Sousa, S.C.; Carneiro, M.; Eiras, Á.E.; Bezerra, J.M.T.; Barbosa, D.S. Factors associated with the occurrence of dengue epidemics in Brazil: A systematic review. Rev. Panam. Salud Públ. 2021, 45, e84. [Google Scholar] [CrossRef]
- Barata, R.C.B. The challenge of emerging diseases and the revaluation of descriptive epidemiology. Public Health Mag. 1997, 31, 531–537. [Google Scholar]
- Whiteman, A.; Loaiza, J.R.; Yee, D.A.; Poh, K.C.; Watkins, A.S.; Lucas, K.J.; Rapp, T.J.; Kline, L.; Ahmed, A.; Chen, S.; et al. Do socioeconomic factors drive Aedes mosquito vectors and their arboviral diseases? A systematic review of dengue, chikungunya, yellow fever, and Zika Virus. One Health 2020, 11, 100188. [Google Scholar] [CrossRef] [PubMed]
- Mendonça, F. Global warming and health: A geographic perspective—Introductory notes. Ver. Terra Livre 2003, 1, 205–221. [Google Scholar]
- Alves, M.A.A. Relationship of Dengue Cases in Minas Gerais with Meteorological and Socioeconomic Variables. Master’s Dissertation, Universidade Federal de Itajubá, Itabira, Brazil, 2015. [Google Scholar]
- Tauil, P.L. Urbanization and ecology of the dengue mosquito. Cad. Saúde Pública 2001, 17, 99–102. [Google Scholar] [CrossRef] [PubMed]
- Carmo, R.F.; Silva-Júnior, J.V.J.; Pastor, A.F.; Souza, C.D.F. Spatiotemporal dynamics, risk areas and social determinants of dengue in Northeastern Brazil, 2014–2017: An ecological study. Infect. Dis. Poverty 2020, 9, 1–16. [Google Scholar] [CrossRef] [PubMed]
- Coutinho, H.S.; Silva, J.O.; Santana, G.B.A.; Carmo, R.F.D.; Souza, S.O.; Faria, M.D.; Matos, T.S.; Silva, T.F.A.; Bezerra-Santos, M.; de Souza, C.D.F. Temporal trend, space risk and factors associated with the occurrence of dengue in northeast Brazil, 2009–2018. Trans. R. Soc. Trop. Med. Hyg. 2022, 116, 853–867. [Google Scholar] [CrossRef] [PubMed]
- Reiter, P. Climate change and mosquito-borne disease. Environ. Health Perspect. 2001, 109, 141–161. [Google Scholar] [PubMed]
- McMichael, A.J.; Woodruff, R.E.; Hales, S. Climate change and human health: Present and future risks. Lancet 2006, 367, 859–869. [Google Scholar] [CrossRef]
- Thai, K.T.; Anders, K.L. The role of climate variability and change in the transmission dynamics and geographic distribution of dengue. Exp. Biol. Med. 2011, 236, 944–954. [Google Scholar] [CrossRef]
- Reboita, M.S.; Rodrigues, M.; Silva, L.F.; Alves, M.A. Climatic aspects of the state of Minas Gerais. Revver. Bras. Climatol. 2015, 17, 206–226. [Google Scholar]
- Blank, D.M.P. The context of climate change and its victims. Mercator 2015, 14, 157–172. [Google Scholar] [CrossRef]
- IPCC. Summary for policymakers. In Climate Change 2021: The Physical Science Basis. Contribution of Working Group I to the Sixth Assessment Report of the Intergovernmental Panel on Climate Change; Masson-Delmotte, V., Zhai, P., Pirani, A., Connors, S.L., Pe, C., Berger, S., Caud, N., Chen, Y., Goldfarb, L., Gomis, M.I., et al., Eds.; Cambridge University Press: Cambridge, UK, 2021; pp. 3–32. [Google Scholar]
- Pedrosa, M.C.; Borges, M.A.Z.; Eiras, E.; Caldas, S.; Cecílio, A.B.; Brito, M.F.; Ribeiro, S.P. Invasion of tropical montane cities by Aedes aegypti and Aedes albopictus (Diptera: Culicidae) depends on continuous warm winters and suitable urban biotopes. J. Med. Entomol. 2020, 58, 333–342. [Google Scholar] [CrossRef]
- Vecchia, A.D.; Beltrame, V.; D’Agostini, F.M. Panorama of dengue in the southern region of Brazil from 2001 to 2017. Cogitare Enferm. 2018, 23, e53782. [Google Scholar]









| Parameter | Average Value (±Standard Deviation) |
|---|---|
| Annual precipitation (mm) | 1282.29 ± 228.75 |
| Gini Index | 0.473 ± 0.05 |
| Health expenses per capita (Brazilian reais) | 3924.46 ± 1574.60 |
| Households with inadequate water supply and sewage system (%) | 3.9 ± 5.16 |
| Human Development Index | 0.668 ± 0.05 |
| Per capita GDP (Brazilian reais) | 19,993.18 ± 22,124.84 |
| Population density | 72.08 ± 339.8 |
| Vulnerability to poverty (%) | 40.70 ± 15.69 |
| Total urban area (km2) | 424.83 ± 1376.2 |
| Response Variable | Parameter | Explained Variance (%) * | DF | Deviance | F | p |
|---|---|---|---|---|---|---|
| Number of dengue cases | % change in natural vegetation | 1.483 | 808 | 411.48 | 13.12 | <0.001 |
| Gini index | 0.816 | 814 | 160.15 | 5.19 | <0.001 | |
| Health expenses | 0.009 | 815 | 2.33 | 0.07 | 0.78 | |
| Households with inadequate water supply and sewage system (%) | 0.191 | 811 | 113.82 | 3.63 | 0.57 | |
| Human Development Index | 8.893 | 813 | 1677.75 | 53.52 | <0.001 | |
| Per capita GDP (Brazilian reais) | <0.001 | 809 | 0.21 | 6.0 | 0.93 | |
| Population density | 1.92 | 817 | 461.16 | 14.71 | <0.001 | |
| Precipitation | 0.002 | 816 | 0.47 | 0.01 | 0.90 | |
| Total urban area (km2) | 0.098 | 810 | 9.34 | 298.0 | 0.59 | |
| Vulnerability to poverty (%) | 0.398 | 812 | 19.61 | 625.0 | 0.43 |
Disclaimer/Publisher’s Note: The statements, opinions and data contained in all publications are solely those of the individual author(s) and contributor(s) and not of MDPI and/or the editor(s). MDPI and/or the editor(s) disclaim responsibility for any injury to people or property resulting from any ideas, methods, instructions or products referred to in the content. |
© 2024 by the authors. Licensee MDPI, Basel, Switzerland. This article is an open access article distributed under the terms and conditions of the Creative Commons Attribution (CC BY) license (https://creativecommons.org/licenses/by/4.0/).
Share and Cite
Andrade, A.C.; Falcão, L.A.D.; Borges, M.A.Z.; Leite, M.E.; Espírito Santo, M.M.d. Are Land Use and Cover Changes and Socioeconomic Factors Associated with the Occurrence of Dengue Fever? A Case Study in Minas Gerais State, Brazil. Resources 2024, 13, 38. https://doi.org/10.3390/resources13030038
Andrade AC, Falcão LAD, Borges MAZ, Leite ME, Espírito Santo MMd. Are Land Use and Cover Changes and Socioeconomic Factors Associated with the Occurrence of Dengue Fever? A Case Study in Minas Gerais State, Brazil. Resources. 2024; 13(3):38. https://doi.org/10.3390/resources13030038
Chicago/Turabian StyleAndrade, Ana Clara, Luiz Alberto Dolabela Falcão, Magno Augusto Zazá Borges, Marcos Esdras Leite, and Mário Marcos do Espírito Santo. 2024. "Are Land Use and Cover Changes and Socioeconomic Factors Associated with the Occurrence of Dengue Fever? A Case Study in Minas Gerais State, Brazil" Resources 13, no. 3: 38. https://doi.org/10.3390/resources13030038
APA StyleAndrade, A. C., Falcão, L. A. D., Borges, M. A. Z., Leite, M. E., & Espírito Santo, M. M. d. (2024). Are Land Use and Cover Changes and Socioeconomic Factors Associated with the Occurrence of Dengue Fever? A Case Study in Minas Gerais State, Brazil. Resources, 13(3), 38. https://doi.org/10.3390/resources13030038

