Abstract
The global atmospheric transport of microplastics (MPs) plays a crucial role in the contamination of remote, especially higher-elevation, environments. Precipitation is considered the main source of MP pollution. Meanwhile, plastic waste generated from, for example, tourism activities can be a local source of MP pollution. In this study, we specify which of the mentioned sources of MP, global or local, have a higher impact on the pollution level in the high-elevation oligotrophic lakes of Tatra National Park in Poland. Due to its unique natural value, it is listed by UNESCO as an international biosphere reserve and meets the criteria for Natura 2000 areas. We comprehensively analyzed the morphometric and anthropogenic features of 11 lakes in terms of the contamination level, color, shape, and polymer type of the MPs found in the surface waters. MP fibers were found to be present in all studied lakes, with contamination ranging from 25 to 179 items/m3. Polypropylene, polyethylene terephthalate, and natural or semi-natural cellulose fibers—black or red in color with a length of 0.2–1.0 mm—predominated, which corresponds with other studies conducted on remote mountain ecosystems. We did not find any correlation of the number of MPs with local anthropogenic pressure characteristics. In turn, the significant correlation with lake area, coastline length, lake volume, and catchment area indicated airborne sources, including global transport of MPs to the lakes with reduced water outflow.
1. Introduction
Microplastics (MPs), defined as plastic debris 1 μm to 5 mm in size [1], have been detected in every environment worldwide, despite their anthropogenic origin. They have even been reported in remote areas with no permanent human settlements, such as polar ecosystems, high-elevation glaciers, caves and underground waters, deep ocean layers, and isolated lakes [2,3,4,5]. The presence of MPs in these remote environments indicates that the most likely source of MP pollution in these ecosystems is atmospheric transport. The global dispersion and deposition mechanisms of airborne MPs in the atmosphere, caused by wind, turbulence, and downward air movement, result in the settlement of MPs at different elevations [6,7]. MPs enter the upper atmosphere through wind and settle in high-elevation ecosystems through rainfall or snowfall [8,9]. Atmospheric circulation appears to be an important factor explaining the long-distance movement of MPs [10]. In the literature, the most frequently reported MP shape in aquatic environments is fiber, accounting for up to 94% of all MP fractions [4,9,11]. They are found in Arctic ice and snow and in Tibetan glaciers and are most easily transported by wind [12,13].
Another important source of MP contamination in remote ecosystems is the local anthropogenic impact caused by human activities such as tourism in a specific area (e.g., scientific field stations). It is then possible to observe a correlation between the level of MP pollution and the distance from field stations, high-elevation shelters, or trails. This correlation has been reported for tundra lakes in the north of the Arctic Circle of the Kola Peninsula [14]. In addition, high MP contamination in snow during the winter period along the trails has been reported in the Carpathian and Sudetes mountains in Poland [15]. The more popular trails compared to extreme ones are characterized by a higher concentration of MPs and different types of polymers. The MP contamination level associated with human activities has also been reported for the Tibetan Plateau [16]. Furthermore, the examination of glacial lakes of Sierra Nevada National Park in southern Spain indicated that the MP concentration was related to the number of mountaineers visiting the park [17].
Previous studies have indicated that the global atmospheric transport of MPs plays a crucial role in the contamination of remote, especially high-elevation, environments; however, local plastic sources from field stations, tourism, and occasional visitors may also be relevant contributors to the pollution caused by plastics. The aim of this study is to specify which of the mentioned sources of MPs, global or local, have a higher impact on the pollution level in the high-elevation oligotrophic lakes in Central Europe and the consequences that this contamination has on water quality and ecosystems. For this purpose, we comprehensively analyzed the morphometric and anthropogenic features of 11 lakes in the Polish High Tatra Mountains, listed by UNESCO as an international biosphere reserve that meets the criteria of Natura 2000 areas (SPA and SAC) in terms of the contamination level, color, shape, and polymer type of MPs found in the surface waters. To our knowledge, this is the first study of MP contamination of lakes in this protected area.
2. Materials and Methods
2.1. Study Area and Sampling Site Description
This research was conducted in the Tatra Mountains, which are the highest range in the Carpathian Mountains. The Tatra Mts. are the most significant non-glacierized alpine mountains of Central Europe, with typical high-alpine postglacial relief, glacial cirques, and numerous high-elevation oligotrophic lakes [18]. These mountains are built of crystalline, predominantly granite, rock. The geographical location of Poland favors the inflow of various air masses, which is related to the changing distribution of atmospheric pressure. The following circulation types in the Tatra Mountains predominate: westerly cyclonic, north-westerly cyclonic, and south-westerly cyclonic [19]. Days with strong (≥10 m/s) and very strong (>15 m/s) winds occur most often compared to other parts of Central Europe. The air becomes thinner with increasing elevation, the mutual friction of air particles decreases, and thus the wind speed increases. About 125 days with strong wind and 29 days with very strong wind a year are noticed at the peak of Kasprowy Wierch. Most of these days occur in the cold half-year (November–April), mainly in December, as a result of the impact of the south-westerly cyclonic circulation type (22.2%). The mean yearly wind speed is 6 m/s [19]. The streams and lakes in these mountains are fed by rainwater, snowmelt, water from multi-annual snow patches, and underground water. The lakes are covered with ice for 6–10 months of the year [20]. During the study, we sampled water from 11 lakes in the Polish High Tatra Mountains, which are entirely within the boundaries of Tatra National Park (Figure 1).
Figure 1.
The Polish High Tatra Mountain area has sample collection sites in the lakes of the Rybi Potok Valley (MS and MO—Morskie Oko, CS—Czarny Staw pod Rysami, and ZMS—Zadni Mnichowy Staw), the Five Polish Lakes Valley (PP—Przedni Staw Polski, PW—Wielki Staw Polski, PC—Czerny Staw Polski, and PZ—Zadni Staw Polski), and the Gąsienicowa Valley (SG—Czarny Staw Gąsienicowy, DG—Długi Staw Gąsienicowy, Z—Zielony Staw Gąsienicowy, and ZG—Zadni Staw Gąsienicowy).
The investigated lakes were located in three valleys: the Rybi Potok Valley, the Five Polish Lakes Valley, and the Gąsienicowa Valley. The Polish High Tatra area is part of the European watershed, and waters from this area flow north feeding the Dunajec River and then the Vistula River, which are parts of the Baltic Sea catchment area. The investigated lakes differed considerably in size, catchment area, elevation, and tourism pressure intensity. The elevation of the lake water tables ranged from 1393 to 2070 m above sea level (a.s.l.), the area of the lakes ranged from 0.028 to 35.28 ha, and the catchment area varied from 2 to 623 ha (Table A1). The number of tourist visits in summer varied from the accidental presence of individual persons to thousands of tourists a day, while the tourism pressure for the different lakes varied from very small to very large (Table A1).
2.2. Morphometric Characteristics of Lakes
The physical characteristics of the lakes—elevation a.s.l., lake area, lake volume, and maximal and mean depths—were adopted from Łajczak [20]. Coastline length and the tourist access section length were measured with high-resolution air images using tools provided by the Tatra National Park’s online service available at https://geoportaltatry.pl/ accessed on 6 March 2024. The tourist access section was defined as a part of the coastline that is easily available and used by tourists who spend time there in immediate proximity to the lake. It is expressed as an absolute length measure for a lake (in m) and as a measure relative to the total coastline of a lake (in %). The lake catchment area was measured with a high-resolution digital terrain model and a topographic map using ArcGIS Pro 3.2.2 software. The visitor number index is a rough estimation of the maximum number of tourists in the immediate proximity of a lake per day during the summer season, where 1 indicates incidental presence, 2 indicates several to a dozen or so, 3 indicates several dozen, 4 indicates hundreds, and 5 indicates thousands. The tourism pressure index is a subjective measure based on the visitor number but also takes into account the behavior of tourists and the time they spend at a lakeside. Some lakes are destinations for one-day trips, where tourists spend much of their time (minutes to hours), while other lakes are places dedicated to taking short breaks on the way or passed most often without breaks at their lakesides. Therefore, the higher the number of visitors and the longer time they spend by a lakeside, the higher the value of the tourism pressure index. This index has five levels of tourism pressure intensity: 1—very small, 2—small, 3—medium, 4—large, and 5—very large. Both indexes, visitor number and tourism pressure, were assigned subjectively to the investigated lakes based on expert knowledge provided by the nature monitoring and research staff of the Tatra National Park.
2.3. Sample Collection and Preparation
One hundred and twenty water samples, ten samples per study site, were collected at the same time in September 2022. Each sample was collected from a different point of a 14 m lake transect near the shore from 12 sampling sites of the 11 lakes in the Polish High Tatra Mountains. Two sampling sites (MO and MS) in a large lake Morskie Oko, frequently visited by tourists, were established on opposite lakesides. Three lakes were investigated in the Rybi Potok Valley—Czarny Staw pod Rysami (CS) and Zadni Mnichowy Staw (ZMS) and Morskie Oko (MO and MS). Four lakes were studied in the Five Polish Lakes Valley—Przedni Staw Polski (PP), Wielki Staw Polski (PW), Czarny Staw Polski (PC), and Zadni Staw Polski (PZ). Four lakes were studied in the Gąsienicowa Valley—Czarny Staw Gąsienicowy (SG), Długi Staw Gąsienicowy (DG), Zielony Staw Gąsienicowy (Z), and Zadni Stawi Gąsienicowy (ZG). To collect the samples, we used a dense plankton net of 20 µm, which was flushed three times before sampling. The net, with an inlet diameter of 23 cm, was trawled just below the water surface on a transect of 14 m near the shore. For each sample, 100 L of water was passed through the plankton net to obtain a volume of approximately 50 mL. Care was taken to avoid contamination from the researchers’ clothing during the sampling. There was a low probability of contamination of the field samples from the net fibers, which were transparent and had a larger diameter compared to the microfibers from the field samples, which were thin and colored. The samples were placed in 100 mL containers with screw caps. After being transported to the laboratory, the samples were transferred into glass flasks and dried at 60 °C. According to Kaliszewicz et al.’s [21] widely used methodology, which we modified slightly, the dried samples were immersed in 30% hydrogen peroxide. Next, the samples were filtered using a Labor s. c. PL2/1 SN 1309 vacuum pump kit with glass microfiber filters that had a diameter of 47 mm and a pore size of 1.2 µm (Whatman, GF/CTM). The filters were placed in individual glass Petri dishes with lids and left to dry for 24 h. Each filter was scanned using a Keyence VHX-7000 digital microscope. The MPs were photographed at 500–1000× magnification. They were manually counted and individually measured from the images using the software of the microscope.
To assess the potential contamination of the samples in the laboratory, we used clean glass microfiber filters and the same Whatman, GF/CTM as described above. The filters were placed in open Petri dishes (three replicates), soaked in 2 mL of deionized water, and left for 2 h in the working area of the laboratory. Each control filter was visually analyzed in the same way as the sample filters.
2.4. MP Identification
Raman spectroscopy is one of the most common and versatile experimental methods used for the identification of MPs [22,23]. In this study, 12 sets of fiber samples taken from the surface water of 11 lakes of Tatra National Park (two sets were taken from the large lake Morskie Oko) were prepared for spectroscopy investigation. The Raman spectra of the MPs and natural fibers were recorded using a Renishaw inVia Raman microscope equipped with a thermoelectrically cooled CCD detector and a semiconductor laser-emitting light in the near-infrared region of 785 nm wavelength. The spectra were recorded in the range of 100–3200 cm−1 with a resolution higher than 2 cm−1. The power of the laser beam that was focused on the sample with a 100× objective lens was kept below 10 mW. The position of the peaks was calibrated using crystalline Si before collecting the data. The spectral parameters of the bands, such as peak center position, intensity, integral intensity, and full width at half maximum, were determined using the fitting procedure provided in Wire 3.4 software. To identify the plastic type, the spectra were compared with a spectral database of commonly known polymers.
2.5. Statistical Analyses
Fiber length classes and colors, as well as the distribution of fiber colors within length classes, for the studied lakes were summarized as percentage shares. The relationship between the fiber content and lake characteristics was assessed using a regression analysis by employing linear mixed-effects models [24]. In the analysis, the lake characteristics were used as continuous fixed effects and the sampled lake was used as a random model component. In addition, eleven sampling sites, one from each lake, were included; one site from Morskie Oko (MO) was excluded to not repeat the environmental characteristics of the same lake in the analysis. The differences in the number and total length of the MP fibers in 1 m3 of water in the investigated lakes were assessed for the 10 water samples collected from each lake. Because the data were not normally distributed, as verified using the Shapiro–Wilk test, a non-parametric Kruskal–Wallis test followed by post hoc Wilcoxon’s pairwise rank sum test was used. All statistical analyses were performed using R version 4.3.2 [25]. Linear mixed-effect models were used with the lmer function in the lme4 package [26]. The normality of the distribution was checked with the shapiro.test function, the non-parametric Kruskal–Wallis test was performed with the kruskal.test function, and post hoc Wilcoxon’s pairwise comparisons were performed with the pairwise.wilcox.test function, all of which were from the R base installation [25].
3. Results
3.1. Numbers, Length Fractions, and Colors of MPs
Fibers were the predominant (94%) type of MPs found in all investigated lakes in the Tatra Mountains, the remaining 6% consisted of fragments. The mean number of fibers in the water samples amounted to 71.5 items/m3 (median = 49.6; min–max: 0–337.3; 1Q–3Q: 29.8–89.3). The contamination level of the samples in the laboratory was estimated at 4.2%.
The mean value of the total fiber length was 75.6 mm/m3 (median = 61.3; min–max: 0–519.0; 1Q–3Q: 23.2–106.5).
The MP fibers detected in the lakes were divided into five classes according to their length: very small (0.01–0.1 mm), small (0.1–0.2 mm), medium (0.2–1.0 mm), large (1.0–5.0 mm), and mesoplastic (5.0–16.0 mm). Of these, the most abundant were medium and large fibers, with percentage shares of 57.7% and 29.1%, respectively, while the percentage shares of small, very small, and mesoplastic fibers were 8.6%, 2.9%, and 1.7% (Figure 2a).
Figure 2.
Percentage shares of fiber length classes (a), fiber colors (b), and fiber colors within fiber length classes (c) for all investigated lakes. Other fiber colors include gray, orange, and white.
Among all sampled fibers, the most common colors were black (65.8%) and red (22.0%) (Figure 2b) followed by blue (7.7%) and yellow (2.4%). Other colors that had a marginal share included white (1.0%), gray (0.7%), and orange (0.3%).
Similar to the general pattern of fibers, color distribution was observed for the small-, medium-, and large-fiber-length classes (Figure 2c). In the very small fiber class, the share of black fibers amounted to 76.0%, blue—12.0%, yellow—8.0%, and red—4.0%. A different pattern was observed for the class of mesoplastic fibers, where dominant red fibers had a 46.7% share, followed by black fibers—33.3%, gray—13.3%, and white—6.7%. When assessing the color distribution in the very small and mesoplastic fibers, caution was needed because both these classes had few fibers (25 and 15, respectively) (Figure 2a).
3.2. Relationships Between MP Fiber Content and Lake Characteristics
The number of fibers in the lakes was positively correlated with the size of the lake (Figure 3a–c) and lake catchment area (Figure 3d), as evidenced by the regression models. Increased lake area (p = 0.0382), coastline length (p = 0.0317), lake volume (p = 0.0242), and catchment area (p = 0.0286) had a significant relationship with an increase in the number of fibers (Figure 3a–d, Table A2). Elevation a.s.l. was not significantly related to the number of fibers (p = 0.3540); however, a slight trend of decreased fiber numbers in lakes at higher elevations was observed (Figure 3e). Contrary to the size-related traits of the lakes, all tourism pressure characteristics had a significant relationship with the number of fibers per m3 of water (Figure 3f–i).
Figure 3.
Regression models fitting the total number of fibers per m3 of water to physical and anthropological pressure. (a) Lake area; (b) Coastline length; (c) Lake volume; (d) Catchment area; (e) Elevation; (f) Tourist access section; (g) Relative tourist access section; (h) Visitors number index; (i) Tourism pressure index. P—p-value of the model significance test. Bands around the regression lines define a 0.95 confidence interval. Non-significant models at the 0.05 confidence level (ns) are marked with gray regression lines and gray confidence bands.
Similarly, the quantity of fibers in m3 of water, as expressed by total fiber length, was positively related with increasing lake area (p = 0.0182), coastline length (p = 0.0252), lake volume (p = 0.0093), and catchment area (p = 0.0075) (Figure 4a–d, Table A2). Elevation a.s.l. (Figure 4e) and tourism pressure traits (Figure 4f–i) had no significant relationship with the total fiber length per m3 of water.
Figure 4.
Regression models fitting total fiber length per m3 of water to the physical and anthropological characteristics of the lakes. (a) Lake area; (b) Coastline length; (c) Lake volume; (d) Catchment area; (e) Elevation; (f) Tourist access section; (g) Relative tourist access section; (h) Visitors number index; (i) Tourism pressure index. P—p-value of the model significance test. Bands around the regression lines define a 0.95 confidence interval. Non-significant models at the 0.05 confidence level (ns) are marked with gray regression lines and gray confidence bands.
3.3. Differences in MP Contamination Between Study Areas
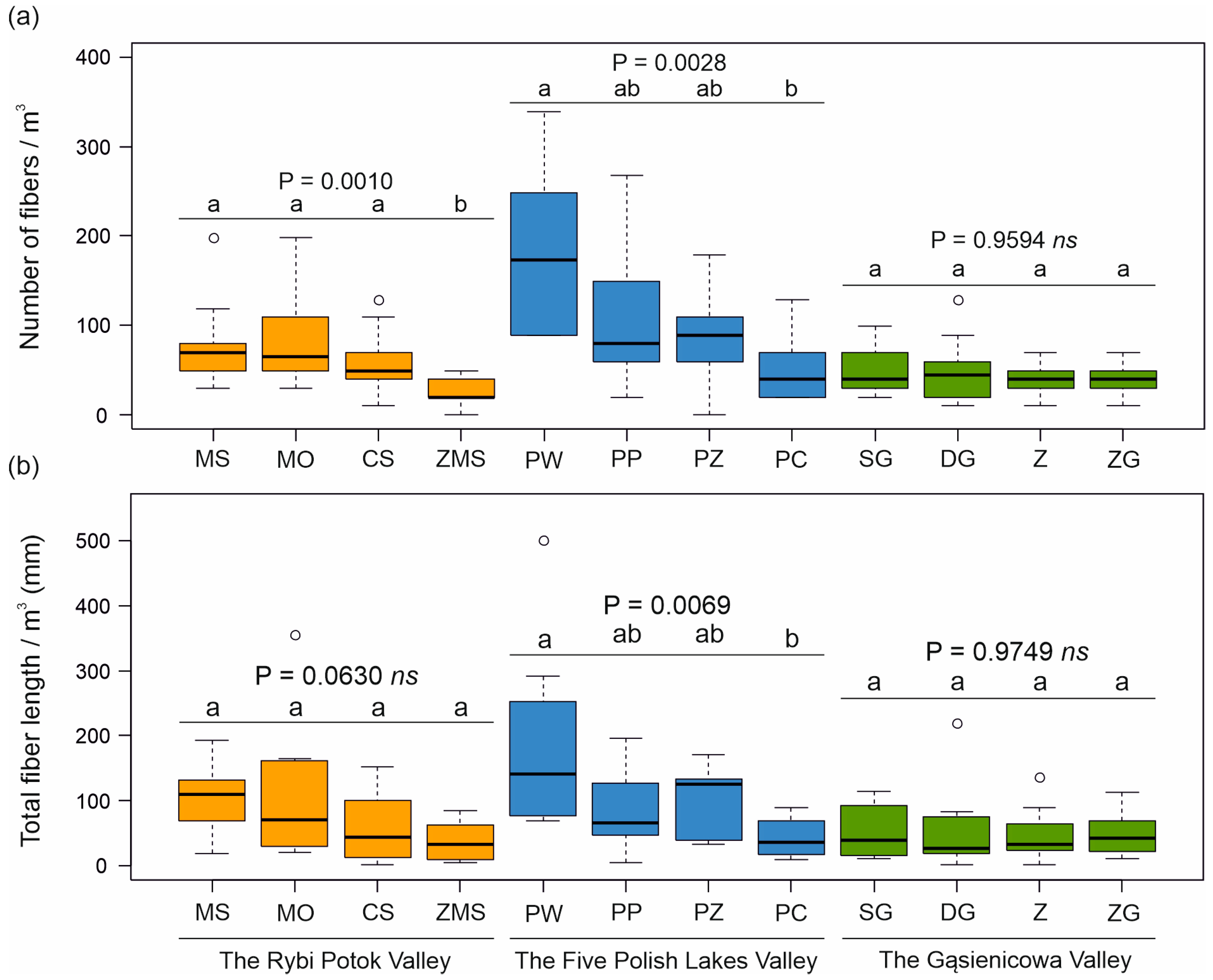
The mean number of fibers (p < 0.0001) as well as the total fiber length (p = 0.0014) in m3 of water differed between the investigated lakes. The highest number of fibers (mean = 178.6) and maximum total fiber length (mean = 181.2 mm) were found in Wielki Staw Polski Lake in the Five Polish Lakes Valley (PW, Figure 5a,b), whereas the lowest number of fibers (mean = 24.8) and minimum total fiber length were found in Zadni Mnichowy Staw Lake in the Rybi Potok Valley (ZMS, Figure 5a,b, Table A3).
Figure 5.
Comparison of the total number of fibers (a) and total fiber length (b) per m3 of water in the investigated lakes. The lakes within the valleys are ordered from left to right according to the decreasing catchment area. The above boxes indicate the results of Kruskal–Wallis tests and post hoc Wilcoxon’s multiple comparison tests. Lakes within valleys not sharing any letters are significantly different at the 0.05 level of significance. Horizontal lines within boxes represent medians, boxes define the interquartile range (IQR) (25–75%), and whiskers extend to IQR × 1.5 range, indicating possible outlier observations outside their range; ns—non-significant differences between lakes at 0.05 significance level. Lake abbreviations are listed in Table A1.
There were also significant differences in the mean number of fibers (p < 0.0001) and total fiber length (p = 0.0033) among the three valleys. The number of fibers in the lakes of the Five Polish Lakes Valley (mean = 107.9) was significantly higher than that in the lakes of the Rybi Potok Valley (mean = 54.9, p = 0.0016) and the Gąsienicowa Valley (mean = 43.9, p < 0.0001), whereas lakes of the Rybi Potok and Gąsienicowa valleys did not differ in this trait (p = 0.3120). The total length of fibers in the lakes of the Five Polish Lakes Valley (mean = 102.8 mm) was higher than that in the lakes of the Gąsienicowa Valley (mean = 48.8 mm, p = 0.0018), whereas the differences between the Five Polish Lakes Valley and the Rybi Potok Valley (mean = 66.2 mm, p = 0.1288), as well as between the Rybi Potok and the Gąsienicowa valleys, were not significant (p = 0.2475).
When analyzed within valleys, significant differences in the mean fiber number between the lakes (Figure 5a) occurred in the Rybi Potok Valley (p = 0.0010) and the Five Polish Lakes Valley (p = 0.0028), whereas the number of fibers in the Gąsienicowa valley did not differ between the lakes (p = 0.9594). In the Rybi Potok Valley, Zadni Mnichowy Staw Lake had a significantly lower number of fibers than other lakes (the highest p = 0.0378), while the differences between other sites were not significant. In the Five Polish Lakes Valley, the highest number of fibers was found in Wielki Staw Lake and the lowest was found in Czarny Staw Lake (Table A3) and the difference between these two lakes was statistically significant (p = 0.0056). There were no other significant differences in the fiber number between the lakes of the Five Polish Lakes Valley. For total fiber length (Figure 5b), significant differences within the valleys were found only in the Five Polish Lakes Valley. The maximum total fiber length was noted in Wielki Staw Lake and the minimum length was noted in Czarny Staw Lake (Table A3) and the difference was significant (p = 0.0063). There were no other significant differences in total fiber length between the lakes of the Five Polish Lakes Valley.
3.4. Percentage Share of MP Length Classes and Fiber Colors in Study Areas
The very small fibers (0.01–0.1 mm) were not present in two lakes—Zielony Staw Gąsienicowy Lake (Z) and Zadni Stawi Gąsienicowy Lake (ZG)—and had a maximum percentage share of 6.2% in Morskie Oko Lake (MS) (Figure 6a).
Figure 6.
Percentage shares of fiber length classes (a) and fiber colors (b) in the lakes of the three valleys (the Rybi Potok Valley, the Five Polish Lakes Valley, and the Gąsienicowa Valley). The lakes are ordered within valleys from left to right according to the decreasing catchment area. The other colors include gray, orange, and white. Lake abbreviations are listed in Table A1.
The percentage share of small fibers (0.1–0.2 mm) varied from 4.2% in Czarny Staw Gąsienicowy Lake (SG) to 15.4% in Czarny Staw Polski Lake (PC); the percentage share of medium fibers (0.2–1.0 mm) varied from 36.0% in Zadni Mnichowy Staw Lake (ZMS) to 71.2% in Przedni Staw Polski Lake (PP); and the percentage share of large fibers (1.0–5.0 mm) varied from 16.2% in Przedni Staw Polski Lake (PP) to 52.0% in Zadni Mnichowy Staw Lake (ZMS). The mesoplastic fibers (5.0–13.0 mm) were not present in three lakes—Zadni Mnichowy Staw (ZMS), Czarny Staw Polski (PC), and Zadni Staw Gąsienicowy (ZG)—and reached the highest percentage share of 3.4% in Czarny Staw pod Rysami Lake (CS). Generally, the spatial distribution of the fiber length classes was similar across the investigated lakes. However, in the two smallest lakes, there was a considerable increase in the fiber length fraction at the expense of the medium-fiber-length fraction. Namely, in Zadni Mnichowy Staw Lake (ZMS), the large fiber share amounted to 52.0% and medium-sized fibers amounted to 36.0%, and in Zadni Staw Gąsienicowy Lake, the large fiber fraction reached 43.6%, whereas the medium fiber fraction was 46.1%.
In all lakes except one, black fibers dominated, with a percentage share ranging from 47.9% in Długi Staw Gąsienicowy Lake to 82.0% in Zadni Staw Gąsienicowy Lake (Figure 6b). This was followed by red fibers, with the percentage share varying from 10% in Zadni Staw Gąsienicowy Lake to 40% in Czarny Staw Gąsienicowy Lake, and blue fibers, whose share varied from 2.4% in Zielony Staw Gąsienicowy Lake to 15.0% in Czarny Staw pod Rysami Lake. In Zadni Mnichowy Staw Lake, the black fibers had a percentage share of 68.0%, blue fibers—12.0%, orange fibers—8.0%, white fibers—8.0%, and red fibers—4.0%. The share of yellow fibers, which were found in 8 of the 11 lakes, varied from 1.1% in Wielki Staw Polski Lake and Zadni Staw Polski Lake to 10.0% in Czarny Staw Polski Lake.
3.5. Identified Polymers of MP Fibers
Among all 349 fibers prepared for the measurements, 287 (~82% of the total) were identified spectroscopically as polymeric materials or biopolymers (i.e., cellulose). The total percentage distribution of the types of fibers is presented in Figure 7.
Figure 7.
The bar graph presents the total percentage share of individual fiber types in the lakes of the three valleys (the Rybi Potok Valley, the Five Polish Lakes Valley, and the Gąsienicowa Valley) of Tatra National Park. Polymer abbreviations are explained in the text.
The percentage distribution of the type of fibers and unidentified features of the samples in the lakes of three valleys (the Rybi Potok Valley, the Five Polish Lakes Valley, and the Gąsienicowa Valley) is shown in Figure 8. The most commonly identified fibers were polypropylene (PP)—120; poly(ethylene terephthalate) (PET) pure, with dye and with certain amounts of PAN and PS—85; cellulose (Cell.) with dye—56; polystyrene (PS) pure, with dye and with amorphous carbon (A.C.) and glass (A.G.)—19; polyacrylonitrile (PAN)—4; and polyethylene (PE)—3. In the second group of materials, constituting 25 fibers, some fillers or additives were detected. Among them, amorphous glass was detected in 16 and amorphous carbon and quartz were identified in 9. In the entire population of collected fibers, 37 were identified neither as polymeric material nor as a filler or additive. This is related to a strong fluorescent background, probably caused by the organic matter that was not removed during the purification process.
Figure 8.
The bar graph presents the percentage share of individual types of microplastic fibers in the lakes of three valleys (the Rybi Potok Valley, the Five Polish Lakes Valley, and the Gąsienicowa Valley) of Tatra National Park. Colors are assigned to the materials, and the summary presents material distribution in the total population. Polymer abbreviations are explained in the text. Lake abbreviations are listed in Table A1.
The Raman spectra of PP, PET, PS, PAN, PE, and Cell. after baseline correction are presented in Figure 9. The spectra of PP, PET, PS, PAN, and PE consist of many strong and narrow Raman lines, while the signal-to-noise ratio of the spectrum of Cell. is worse. In the fingerprint region of the Raman spectrum of PP, a few strong bands recorded at 399, 808, 842, 1155, 1331, and 1458 cm−1 confirm polymer identification [27,28].
Figure 9.
Representative Raman spectra of the six most frequently identified fibers: polypropylene, poly(ethylene terephthalate), polystyrene, polyacrylonitrile, polyethylene, and cellulose.
The Raman spectrum of PET consists of many bands in the spectral range of 600–1750 cm−1 [29,30]. The Raman band at 1729 cm−1 is attributed to the stretching vibration of the C=O carbonyl group in the ester. This band is the most characteristic feature of the PET polymer.
The Raman spectrum of PS consists of a few bands with varying intensities [31,32]. The bands at around 622 and 1004 cm−1 are assigned to ring deformation and ring breathing modes, respectively, with the latter being the strongest mode in the spectrum.
The Raman spectrum of PAN consists of many bands below 1500 cm−1; however, one very strong band at around 2248 cm−1, attributed to triple CN bonds, is an indicator of PAN identification [33,34].
The Raman spectrum of PE consists of a few middle-intensity modes in the spectral range of 1000–1500 cm−1 [35]. The bands at 1062 and 1130 cm−1 are assigned to symmetric and asymmetric C–C stretching vibrations, respectively, whereas the band at 1296 cm−1 is attributed to the twisted vibrations of CH2 groups.
The representative spectrum of cellulose, cellulose with dyes, and cellulose derivatives, shown in Figure 9, is the worst-quality spectrum. Characteristic bands for cellulose are recorded in the spectral ranges of 900–1200 cm−1 and 1350–1500 cm−1 [36,37]. The ratio of Raman bands at 381 and 1094 cm−1 is directly correlated with the crystallinity of cellulose.
4. Discussion
Microplastic fibers were identified in all studied lakes, confirming their widespread presence even in remote areas and national parks. This comprehensive analysis of the morphometric and anthropologic features of the 11 lakes in Tatra National Park indicated potential global sources of MP contamination. The significant relationship observed between the increased number of MP fibers, which dominated in the samples, and increased lake area, coastline length, lake volume, and catchment area indicated atmospheric transport. Airborne MPs most probably entered the studied freshwater ecosystems with reduced lake water outflow through rainfall and snowfall after they were transported by wind into the lake catchment. Precipitation has been considered the main carrier of MPs for lakes, which are relatively closed systems and, consequently, prone to the accumulation of watershed pollutants [8,38,39]. In addition to rainwater catchments, local tourism activities have also been considered major sources of MP contamination in high-elevation ecosystems [40,41]. However, we did not find any correlation of the number of MPs with the local anthropogenic pressure characteristics: (1) visitor number; (2) tourist access section length; and (3) tourism pressure intensity. The studied lakes were without permanent human populations located on the shoreline; however, as the literature data show, the presence of permanent human settlements is not always correlated with an increase in MP pollution. The mountain lake located in the southern part of Western Siberia was characterized by an MP concentration decrease, despite the increase in population on the shoreline [42]. The irrelevant local tourist pressure indicates that airborne sources, including globally transported MPs, dominate in the studied Tatra Mountain lakes. Evidence of long-range MP transport has been provided by the presence of free tropospheric aerosol MPs [43].
The level of MP contamination varied within the range of 25–179 items/m3. This resulted from low-level pollution, which was smaller by one or two orders of magnitude compared to the results of other studies conducted in mountain ecosystems [40,42,44,45]. The dominant class of MPs comprised fibers of length 0.2–1.0 mm, which corresponds with MP particles with a predominant size of 0.02–1 mm found in Nainital Lake—located at a high altitude in the Indian Himalayas [40]—and small-sized fibers (<1 mm and 1–2 mm) found in remote areas.
Polymer identification indicated that PP, PET, and Cell. fibers were the predominant types of MPs found in the surface water of the studied mountain lakes. The last ones originated mainly from rayon and cotton clothes. Padha et al. [6] reported that PE, PP, PS, polyester, and polyvinyl chloride are common plastic polymers found in mountain environments. A higher abundance of PP and PE was found in the Himalayan lakes [40,41]. A dominating presence of PE, PS, PP, and polyester was noted in Italian Subalpine lakes and remote and high-altitude lakes of Gilgit Baltistan in Pakistan [46,47]. The PE, PP, and PET fibers from outdoor clothing can be easily released into the environment through abrasion and transported by wind to the lake’s catchment area [48]. Fine MPs originate from long-distance atmospheric transport, while rubber and larger particles found near highways and cities usually originate from local sources of plastic [49]. Even though we did not find any significant correlation between tourism pressure and lake MP content, the predominance of black fibers was noted, which is mainly associated with high-elevation sports footwear and clothing [15,48]. In addition, red, blue, and yellow fibers that come mainly from outdoor clothes also constitute a share. It is then possible that the MPs released from footwear and clothing elsewhere in the Tatra Mountains finally flew with rainwater or were transported with wind from the catchment area to the lakes. This could explain the fact that the number of MP fibers in the lakes was positively correlated with the lake catchment area. However, because in the catchment area MPs can settle from both global air transport and local tourism, we cannot separate these two sources of MPs unambiguously. The presence of fiber colors that are characteristic of sports footwear and clothing suggests that local tourism-related sources of MPs, together with global atmospheric transport, contribute significantly to the contamination of high-elevation lakes in the Tatra Mountains. Our results correspond well with the literature data concerning high-elevation ecosystems and show a global pollution problem with the same polymers, indicating similar sources of contamination.
The detected MP contamination was not indifferent to the mountain ecosystems and could have negative implications not only on the water quality but also on freshwater invertebrates and ichthyofauna of the studied lakes. Previous studies have indicated that MPs can enter food webs in different freshwater environments and can be ingested by feeding on MP-contaminated food [50]. Fish and tadpoles from Alpine lakes appear to be contaminated by MPs [48]; however, studies on the ecological and biological risks posed by MPs in remote mountain regions are still scarce [6]. The MP contamination of water, mainly through global atmospheric transportation and through trophic levels, can potentially impact not only the environmental conditions of high elevation in unique ecosystems but also humans.
Author Contributions
Conceptualization A.K., K.K. and P.K.; sample collection P.K., K.K. and A.K.; formal analysis P.K. and T.Z.-K.; investigation A.P., A.K., A.B., Z.S. and P.R.; methodology A.K., K.K., T.R., A.P. and P.K.; resources T.R.; visualization P.K., T.R. and P.R.; writing original draft A.K., P.K. and T.R.; writing, review, and editing T.Z.-K. and K.K. All authors have read and agreed to the published version of the manuscript.
Funding
This research was financed by the Research Projects of the Ministry of Science and Higher Education 0511/SBAD/2451 and the statutory grants of Cardinal Stefan Wyszynski University in Warsaw (DEC-INB-6/22).
Data Availability Statement
The data that support the findings of this study are available on request from the corresponding author.
Acknowledgments
We would like to thank Ewa Libera (Speleoklub Dąbrowa Górnicza, Polish Mountaineering Association PZA) for support regarding the collection of the water samples. We also thank the anonymous reviewers for their insightful comments and suggestions.
Conflicts of Interest
The authors declare no conflicts of interest.
Appendix A
Table A1.
Physical and tourism pressure characteristics of the investigated lakes in the Polish High Tatra Mountains. In Morskie Oko Lake, water was sampled from two sites (MS and MO) located on opposite lakesides (see Figure 1). Geographic coordinates of MO sample: N 49.193781, E 20.070153. For traits details see Section 2.
Table A1.
Physical and tourism pressure characteristics of the investigated lakes in the Polish High Tatra Mountains. In Morskie Oko Lake, water was sampled from two sites (MS and MO) located on opposite lakesides (see Figure 1). Geographic coordinates of MO sample: N 49.193781, E 20.070153. For traits details see Section 2.
| Lake Abbreviation | Lake Name | Elevation a.s.l (m) | Lake Area (ha) | Coastline Length (m) | Maximum Depth (m) | Mean Depth (m) | Lake Volume × 103 (m3) | Lake Catchment Area (ha) | Tourist Access Section Length (m) | Relative Tourist Access Section Length (%) | Visitors Number Index | Tourism Pressure Index | Geographic Coordinates of Samples |
|---|---|---|---|---|---|---|---|---|---|---|---|---|---|
| The Rybi Potok Valley | |||||||||||||
| MS | Morskie Oko | 1392.8 | 35.28 | 2550 | 50.8 | 28.4 | 9935 | 623 | 308 | 12.08 | 5 | 5 | N 49.201056, E 20.070998 |
| CS | Czarny Staw pod Rysami | 1579.5 | 20.36 | 1790 | 76.4 | 37.6 | 7762 | 183 | 252 | 14.08 | 4 | 3 | N 49.190197, E 20.074173 |
| ZMS | Zadni Mnichowy Staw | 2070.0 | 0.028 | 103 | 1.1 | 0.8 | 0.22 | 2 | 1 | 1.00 | 2 | 2 | N 49.190110, E 20.051732 |
| The Five Polish Lakes Valley | |||||||||||||
| PW | Wielki Staw Polski | 1664.6 | 34.35 | 2660 | 79.3 | 37.7 | 12967 | 579 | 26 | 1.00 | 3 | 2 | N 49.209998, E 20.036954 |
| PP | Przedni Staw Polski | 1668.3 | 7.707 | 1207 | 34.6 | 14.6 | 1130 | 104 | 251 | 20.79 | 4 | 4 | N 49.212102, E 20.046714 |
| PZ | Zadni Staw Polski | 1889.6 | 6.919 | 1189 | 31.6 | 14.2 | 918 | 55 | 1 | 0.08 | 1 | 1 | N 49.211788, E 20.014047 |
| PC | Czarny Staw Polski | 1722.1 | 12.74 | 1616 | 50.4 | 22.2 | 2826 | 49 | 23 | 1.42 | 1 | 2 | N 49.205472, E 20.030196 |
| The Gąsienicowa Valley | |||||||||||||
| SG | Czarny Staw Gąsienicowy | 1619.6 | 17.70 | 1961 | 51.0 | 21.1 | 3798 | 211 | 255 | 13.00 | 4 | 3 | N 49.232428, E 20.015093 |
| DG | Długi Staw Gąsienicowy | 1783.5 | 1.455 | 596 | 10.6 | 5.1 | 81 | 69 | 1 | 0.17 | 1 | 1 | N 49.226642, E 20.008316 |
| Z | Zielony Staw Gąsienicowy | 1671.7 | 3.786 | 885 | 15.1 | 6.8 | 260 | 44 | 132 | 14.92 | 3 | 3 | N 49.229044, E 20.000606 |
| ZG | Zadni Staw Gąsienicowy | 1851.9 | 0.483 | 391 | 8.0 | 2.9 | 15 | 30 | 1 | 0.26 | 1 | 2 | N 49.224033, E 20.009763 |
Table A2.
Regression model summaries for fitting fiber number (FN) and total fiber length (FL) in m3 of water to the lakes’ physical and tourism pressure characteristics. SE—standard error for model slope; t, P—test of model significance at the significance level of 0.05; ns—non-significant model.
Table A2.
Regression model summaries for fitting fiber number (FN) and total fiber length (FL) in m3 of water to the lakes’ physical and tourism pressure characteristics. SE—standard error for model slope; t, P—test of model significance at the significance level of 0.05; ns—non-significant model.
| Intercept | Slope | SE | t | P | |
|---|---|---|---|---|---|
| Lake area (ha) | |||||
| FN | 42.5672 | 2.1560 | 0.8886 | 2.426 | 0.0382 |
| FL | 43.5439 | 2.2818 | 0.7922 | 2.880 | 0.0182 |
| FN | 24.4625 | 0.0336 | 0.0132 | 2.540 | 0.0317 |
| FL | 27.3765 | 0.0334 | 0.0125 | 2.676 | 0.0252 |
| Lake volume × 103 (m3) | |||||
| FN | 46.9524 | 0.0064 | 0.0024 | 2.705 | 0.0242 |
| FL | 48.1017 | 0.0068 | 0.0021 | 3.305 | 0.0093 |
| FN | 46.9147 | 0.1312 | 0.0504 | 2.604 | 0.0286 |
| FL | 47.0577 | 0.1449 | 0.0420 | 3.444 | 0.0075 |
| Elevation a.s.l. (m) | |||||
| FN | 201.1097 | −0.0762 | 0.0780 | −0.976 | 0.3544 ns |
| FL | 195.5231 | −0.0714 | 0.0755 | −0.945 | 0.3689 ns |
| Tourist access section length (m) | |||||
| FN | 67.8686 | 0.0202 | 0.1144 | 0.177 | 0.8638 ns |
| FL | 72.2603 | 0.0055 | 0.1102 | 0.050 | 0.9609 ns |
| Relative tourist access section length (%) | |||||
| FN | 68.8560 | 0.1829 | 1.8730 | 0.100 | 0.9244 ns |
| FL | 75.8620 | −0.4130 | 1.7970 | −0.230 | 0.8233 ns |
| Visitors number index | |||||
| FN | 49.6420 | 7.785 | 9.3840 | 0.830 | 0.4282 ns |
| FL | 53.4340 | 7.3680 | 9.0300 | 0.816 | 0.4356 ns |
| Tourism pressure index | |||||
| FN | 61.4830 | 3.4100 | 11.9930 | 0.284 | 0.7825 ns |
| FL | 66.1540 | 2.6440 | 11.5530 | 0.229 | 0.8241 ns |
Table A3.
Summary statistics of fiber number (FN) and total fiber length (FL) in m3 of water in the Polish High Tatra lakes.
Table A3.
Summary statistics of fiber number (FN) and total fiber length (FL) in m3 of water in the Polish High Tatra lakes.
| Lake Abbreviation | Lake Name | Min. | 1st Quartile | Median | Mean | 3rd Quartile | Max. | |
|---|---|---|---|---|---|---|---|---|
| The Rybi Potok Valley | ||||||||
| MS | Morskie Oko | |||||||
| FN | FN | 29.8 | 52.1 | 69.4 | 80.4 | 79.4 | 198.4 | |
| FL | FL | 18.6 | 69.2 | 109.0 | 98.2 | 126.5 | 192.9 | |
| MO | Morskie Oko | |||||||
| FN | 29.8 | 49.6 | 64.5 | 86.3 | 106.7 | 198.4 | ||
| FL | 19.8 | 32.0 | 71.3 | 104.2 | 144.1 | 374.8 | ||
| CS | Czarny Staw pod Rysami | |||||||
| FN | 9.9 | 42.2 | 49.6 | 59.5 | 67.0 | 129.0 | ||
| FL | 2.0 | 12.9 | 44.0 | 59.7 | 98.0 | 152.2 | ||
| ZMS | Zadni Mnichowy Staw | |||||||
| FN | 0.0 | 19.8 | 19.8 | 24.8 | 37.2 | 49.6 | ||
| FL | 4.5 | 8.9 | 33.4 | 37.6 | 62.2 | 84.2 | ||
| The Five Polish Lakes Valley | ||||||||
| PW | Wielki Staw Polski | |||||||
| FN | 89.3 | 91.8 | 173.6 | 178.6 | 245.5 | 337.3 | ||
| FL | 68.7 | 79.8 | 141.2 | 181.2 | 229.7 | 519.0 | ||
| PP | Przedni Staw Polski | |||||||
| FN | 19.8 | 62.0 | 79.4 | 110.1 | 143.8 | 267.9 | ||
| FL | 5.0 | 49.2 | 65.2 | 87.2 | 125.4 | 195.4 | ||
| PZ | Zadni Staw Polski | |||||||
| FN | 0.0 | 64.5 | 89.3 | 91.3 | 106.7 | 178.6 | ||
| FL | 33.5 | 39.9 | 125.3 | 97.7 | 133.4 | 170.2 | ||
| PC | Czarny Staw Polski | |||||||
| FN | 19.8 | 22.3 | 39.7 | 51.6 | 67.0 | 129.0 | ||
| FL | 10.0 | 19.0 | 35.7 | 44.8 | 67.8 | 90.1 | ||
| The Gąsienicowa Valley | ||||||||
| SG | Czarny Staw Gąsienicowy | |||||||
| FN | 19.8 | 29.8 | 39.7 | 47.6 | 62.0 | 99.2 | ||
| FL | 10.8 | 16.4 | 38.5 | 50.3 | 85.5 | 114.6 | ||
| DG | Długi Staw Gąsienicowy | |||||||
| FN | 9.9 | 19.8 | 44.6 | 47.6 | 57.0 | 129.0 | ||
| FL | 1.1 | 20.2 | 26.8 | 52.1 | 67.9 | 218.8 | ||
| Z | Zielony Staw Gąsienicowy | |||||||
| FN | 9.9 | 32.2 | 39.7 | 41.7 | 49.6 | 69.4 | ||
| FL | 1.2 | 23.2 | 33.6 | 46.1 | 59.5 | 136.9 | ||
| ZG | Zadni Staw Gąsienicowy | |||||||
| FN | 9.9 | 29.8 | 39.7 | 38.7 | 47.1 | 69.4 | ||
| FL | 10.4 | 23.1 | 41.7 | 46.7 | 65.3 | 112.7 | ||
References
- Arthur, C.; Baker, J.; Bamford, H. In Proceedings of the International Research Workshop on the Occurrence, Effects, and Fate of Microplastic Marine Debris, Tacoma, WA, USA, 9–11 September 2008. NOAA technical memorandum NOS-OR&R-48 530.
- Woodall, L.C.; Sanchez-Vidal, A.; Canals, M.; Paterson, G.L.; Coppock, R.; Sleight, V.; Calafat, A.; Rogers, A.D.; Narayanaswamy, B.E.; Thompson, R.C. The deep sea is a major sink for microplastic debris. R. Soc. Open Sci. 2014, 1, 140317. [Google Scholar] [CrossRef] [PubMed]
- Ambrosini, R.; Azzoni, R.S.; Pittino, F.; Diolaiuti, G.; Franzetti, A.; Parolini, M. First evidence of microplastic contamination in the supraglacial debris of an alpine glacier. Environ. Pollut. 2019, 253, 297–301. [Google Scholar] [CrossRef] [PubMed]
- González-Pleiter, M.; Velázquez, D.; Edo, C.; Carretero, O.; Gago, J.; Barón-Sola, Á.; Hernández, L.E.; Yousef, I.; Quesada, A.; Leganés, F.; et al. Fibers spreading worldwide: Microplastics and other anthropogenic litter in an Arctic freshwater lake. Sci. Total Environ. 2020, 20, 137904. [Google Scholar] [CrossRef] [PubMed]
- Balestra, V.; Vigna, B.; De Costanzo, S.; Bellopede, R. Preliminary investigations of microplastic pollution in karst systems, from surface watercourses to cave waters. J. Contam. Hydrol. 2003, 252, 104117. [Google Scholar] [CrossRef] [PubMed]
- Padha, S.; Kumar, R.; Dhar, A.; Sharma, P. Microplastic pollution in mountain terrains and foothills: A review on source, extraction, and distribution of microplastics in remote areas. Environ. Res. 2022, 207, 112232. [Google Scholar] [CrossRef]
- Pastorino, P.; Elia, A.C.; Pizzul, E.; Bertoli, M.; Renzi, M.; Prearo, M. The old and the new on threats to high-mountain lakes in the Alps: A comprehensive examination with future research directions. Ecol. Indicat. 2024, 160, 111812. [Google Scholar] [CrossRef]
- Allen, S.; Allen, D.; Phoenix, V.R.; Le Roux, G.; Durántez Jiménez, P.; Simonneau, A.; Binet, S.; Galop, D. Atmospheric transport and deposition of microplastics in a remote mountain catchment. Nat. Geosci. 2019, 12, 339–344. [Google Scholar] [CrossRef]
- Zhang, K.; Su, J.; Xiong, X.; Wu, X.; Wu, C.; Liu, J. Microplastic pollution of lakeshore sediments from remote lakes in Tibet plateau, China. Environ. Pollut. 2016, 219, 450–455. [Google Scholar] [CrossRef]
- Dris, R.; Gasperi, J.; Saad, M.; Mirande, C.; Tassin, B. Synthetic fibers in atmospheric fallout: A source of microplastics in the environment? Mar. Pollut. Bull. 2016, 104, 290–293. [Google Scholar] [CrossRef]
- Lusher, A.L.; Tirelli, V.; O’Connor, I.; Officer, R. Microplastics in Arctic polar waters: The first reported values of particles in surface and sub-surface samples. Sci. Rep. 2015, 5, 14947. [Google Scholar] [CrossRef]
- Obbard, R.W.; Sadri, S.; Wong, Y.Q.; Khitun, A.A.; Baker, I.; Thompson, R.C. Global warming releases microplastic legacy frozen in Arctic Sea ice. Earth’s Future 2014, 2, 315–320. [Google Scholar] [CrossRef]
- Zhang, Y.; Gao, T.; Kang, S.; Allen, S.; Luo, X.; Allen, D. Microplastics in glaciers of the Tibetan Plateau: Evidence for the long-range transport of microplastics. Sci. Total Environ. 2021, 758, 143634. [Google Scholar] [CrossRef] [PubMed]
- Kaliszewicz, A.; Panteleeva, N.; Karaban, K.; Runka, T.; Winczek, M.; Beck, E.; Poniatowska, A.; Olejniczak, I.; Boniecki, P.; Golovanova, E.V.; et al. First evidence of microplastic occurrence in the marine and freshwater environments in a remote polar region of the Kola peninsula and a correlation with human presence. Biology 2023, 12, 259. [Google Scholar] [CrossRef] [PubMed]
- Lasota, J.; Błońska, E.; Piaszczyk, W.; Tabor, S. Microplastic on Mountain Trails—A Case Study from the Carpathian and Sudetes Mountains in Poland. Water Air Soil Pollut. 2023, 234, 612. [Google Scholar] [CrossRef]
- Feng, S.; Lu, H.; Tian, P.; Xue, Y.; Lu, J.; Tang, M.; Feng, W. Analysis of microplastics in a remote region of the Tibetan Plateau: Implications for natural environmental response to human activities. Sci. Total Environ. 2020, 739, 140087. [Google Scholar] [CrossRef]
- Godoy, V.; Calero, M.; González-Olalla, J.M.; Martín-Lara, M.A.; Olea, N.; Ruiz-Gutierrez, A.; Villar-Argaiz, M. The human connection: First evidence of microplastics in remote high mountain lakes of Sierra Nevada, Spain. Environ. Pollut. 2022, 311, 119922. [Google Scholar] [CrossRef]
- Mirek, Z. The Tatra Mountains and the Tatra National Park—General information. In Nature of the Tatra National Park; Mirek, Z., Ed.; Tatra National Park: Kraków, Poland, 1996; pp. 17–26. [Google Scholar]
- Adamczyk, A.D. Characteristics of strong and very strong winds in Poland. J. Inst. Geogr. Spat. Manag. PAS 1996, 37, 5–42. [Google Scholar]
- Łajczak, A. Hydrology. In Nature of the Tatra National Park; Mirek, Z., Ed.; Tatra National Park: Kraków, Poland, 1996; pp. 169–196. [Google Scholar]
- Kaliszewicz, A.; Winczek, M.; Karaban, K.; Kurzydłowski, D.; Górska, M.; Koselak, W.; Romanowski, J. The contamination of inland waters by microplastic fibres under different anthropogenic pressure: Preliminary study in Central Europe (Poland). WM&R 2020, 38, 1231–1238. [Google Scholar] [CrossRef]
- Koelmans, A.A.; Nor, N.H.M.; Hermsen, E.; Kooi, M.; Mintenig, S.M.; De France, J. Microplastics in freshwaters and drinking water: Critical review and assessment of data quality. Water Res. 2019, 155, 410–422. [Google Scholar] [CrossRef]
- Pan, Z.; Guo, H.; Chen, H.; Wang, S.; Sun, X.; Zou, Q.; Zhang, Y.; Lin, H.; Cai, S.; Huang, J. Microplastics in the Northwestern Pacific: Abundance, distribution, and characteristics. Sci. Total Environ. 2019, 650, 1913–1922. [Google Scholar] [CrossRef]
- Field, A.; Miles, J.; Field, Z. Discovering Statistics Using R; Sage Publications: London, UK, 2013. [Google Scholar]
- R Core Team. R: A Language and Environment for Statistical Computing; R Foundation for Statistical Computing: Vienna, Austria, 2023. [Google Scholar]
- Bates, D.; Maechler, M.; Bolker, B.; Walker, S. Fitting linear mixed-effects models using lme4. J. Stat. Soft. 2015, 67, 1–48. [Google Scholar] [CrossRef]
- Andreassen, E. Infrared and Raman spectroscopy of polypropylene. In Polypropylene: An A-Z Reference; Kluwer Publishers: Dordrecht, The Netherlands, 1999; pp. 320–328. [Google Scholar]
- Phan, S.; Padilla-Gamiño, J.L.; Luscombe, C.K. The effect of weathering environments on microplastic chemical identification with Raman and IR spectroscopy: Part I. polyethylene and polypropylene. Polym. Test. 2022, 116, 107752. [Google Scholar] [CrossRef]
- Ciera, L.W.; Beladjal, L.; Almeras, X.; Gheysens, T. Morphological and material properties of polyethyleneterephthalate (PET) Fibres with Spores Incorporated. FTEE 2014, 22, 29–36. [Google Scholar]
- Peñalver, R.; Zapata, F.; Arroyo-Manzanares, N.; López-García, I.; Viñas, P. Raman spectroscopic strategy for the discrimination of recycled polyethylene terephthalate in water bottles. J. Raman Spectrosc. 2023, 54, 107–112. [Google Scholar] [CrossRef]
- Mazilu, M.; De Luca, A.C.; Riches, A.; Herrington, C.S.; Dholakia, K. Optimal algorithm for fluorescence suppression of modulated Raman spectroscopy. Opt. Express 2010, 18, 11382. [Google Scholar] [CrossRef] [PubMed]
- Zhou, X.X.; Liu, R.; Hao, L.-T.; Liu, J.-F. Identification of polystyrene nanoplastics using surface enhanced Raman spectroscopy. Talanta 2021, 221, 121552. [Google Scholar] [CrossRef]
- Wang, Z.; Huang, B.; Huang, H.; Xue, R.; Chen, L.; Wang, F. Experimental Evidence of the Interaction Between Polyacrylonitrile and Ethylene Carbonate Plasticizer by Raman Spectroscopy. J. Raman Spectrosc. 1996, 27, 609–613. [Google Scholar] [CrossRef]
- Kuang, Y.; He, H.; Chen, S.; Wu, J. Adsorption behavior of CO2 on amine-functionalized polyacrylonitrile fiber. Adsorption 2019, 25, 693–701. [Google Scholar] [CrossRef]
- Sato, H.; Shimoyama, M.; Kamiya, T.; Amari, T. Raman spectra of high-density, low-density, and linear low-density polyethylene pellets and prediction of their physical properties by multivariate data analysis. J. Appl. Polym. Sci. 2002, 86, 443–448. [Google Scholar] [CrossRef]
- Cabrales, L.; Abidi, N.; Manciu, F. Characterization of Developing Cotton Fibers by Confocal Raman Microscopy. Fibers 2014, 2, 285–294. [Google Scholar] [CrossRef]
- Wu, C.M.L.; Wetzel, N.A.; Howe, C.A. Raman Spectroscopy Applied to Cellulose Materials. Rev. Analyt. Chem. 2017, 36, 109–135. [Google Scholar]
- Evangeliou, N.; Grythe, H.; Klimont, Z.; Heyes, C.; Eckhardt, S.; Lopez-Aparicio, S.; Stohl, A. Atmospheric transport is a major pathway of microplastics to remote regions. Nat. Commun. 2020, 11, 3381. [Google Scholar] [CrossRef]
- Hale, R.C.; Seeley, M.E.; La Guardia, M.J.; Mai, L.; Zeng, E.Y. A global perspective on microplastics. J. Geophys. Res. Oceans 2020, 125, e2018JC014719. [Google Scholar] [CrossRef]
- Jain, Y.; Govindasamy, H.; Kaur, G.; Ajith, N.; Ramasamy, K.; Robin, R.S.; Ramachandran, P. Microplastic pollution in high-altitude Nainital lake, Uttarakhand, India. Environ. Pollut. 2024, 346, 123598. [Google Scholar] [CrossRef]
- Wang, Z.; Kang, S.; Zhang, Y.; Luo, X.; Kang, Q.; Chen, P.; Guo, J.; Hu, Z.; Yang, Z.; Zheng, H.; et al. Microplastics in glaciers of Tibetan Plateau: Characteristics and potential sources. Sci. Total Environ. 2024, 954, 176370. [Google Scholar] [CrossRef]
- Malygina, N.; Mitrofanova, E.; Kuryatnikova, N.; Biryukov, R.; Zolotov, D.; Pershin, D.; Chernykh, D. Microplastic pollution in the surface waters from plain and mountainous lakes in Siberia, Russia. Water 2021, 13, 2287. [Google Scholar] [CrossRef]
- Allen, S.; Allen, D.; Baladima, F.; Phoenix, V.R.; Thomas, J.L.; Le Roux, G.; Sonke, J.E. Evidence of free tropospheric and long-range transport of microplastic at Pic du Midi Observatory. Nat. Commun. 2021, 12, 7242. [Google Scholar] [CrossRef]
- Velasco, A.D.J.N.; Rard, L.; Blois, W.; Lebrun, D.; Lebrun, F.; Pothe, F.; Stoll, S. Microplastic and fibre contamination in a remote mountain lake in Switzerland. Water 2020, 12, 2410. [Google Scholar] [CrossRef]
- Han, X.; Pan, B.; Li, D.; Liu, X.; Liu, X.; Hou, Y.; Li, G. Heterogenization of microplastic communities in lakes of the Qinghai-Tibetan Plateau driven by tourism and transport activities. J. Hazard. Mater. 2024, 477, 135255. [Google Scholar] [CrossRef]
- Sighicelli, M.; Pietrelli, L.; Lecce, F.; Iannilli, V.; Falconieri, M.; Coscia, L.; Di Vito, S.; Nuglio, S.; Zampetti, G. Microplastic pollution in the surface waters of Italian Subalpine Lakes. Environ. Pollut. 2018, 236, 645–651. [Google Scholar] [CrossRef]
- Mehboob, M.; Dris, R.; Tassin, B.; Gasperi, J.; Khan, M.U.; Malik, R.N. Microplastic assessment in remote and high mountain lakes of Gilgit Baltistan, Pakistan. Chemosphere 2024, 365, 143283. [Google Scholar] [CrossRef] [PubMed]
- Pastorino, P.; Anselmi, S.; Esposito, G.; Bertoli, M.; Pizzul, E.; Barceló, D.; Elia, A.C.; Dondo, A.; Prearo, M.; Renzi, M. Microplastics in biotic and abiotic compartments of high-mountain lakes from Alps. Ecol. Indic. 2023, 150, 110215. [Google Scholar] [CrossRef]
- Ohno, H.; Iizuka, Y. Microplastics in snow from protected areas in Hokkaido, the northern island of Japan. Sci. Rep. 2023, 13, 9942. [Google Scholar] [CrossRef] [PubMed]
- Lin, C.T.; Chiu, M.C.; Kuo, M.H. Effects of anthropogenic activities on microplastics in deposit–feeders (Diptera: Chironomidae) in an urban river of Taiwan. Sci. Rep. 2021, 11, 400. [Google Scholar] [CrossRef]
Disclaimer/Publisher’s Note: The statements, opinions and data contained in all publications are solely those of the individual author(s) and contributor(s) and not of MDPI and/or the editor(s). MDPI and/or the editor(s) disclaim responsibility for any injury to people or property resulting from any ideas, methods, instructions or products referred to in the content. |
© 2024 by the authors. Licensee MDPI, Basel, Switzerland. This article is an open access article distributed under the terms and conditions of the Creative Commons Attribution (CC BY) license (https://creativecommons.org/licenses/by/4.0/).








