Assessment of Aerodynamic Plates Subjected to Von Kármán Vortex Street for Enhancing the Wind Energy Generation in Blade-Less Devices
Abstract
1. Introduction
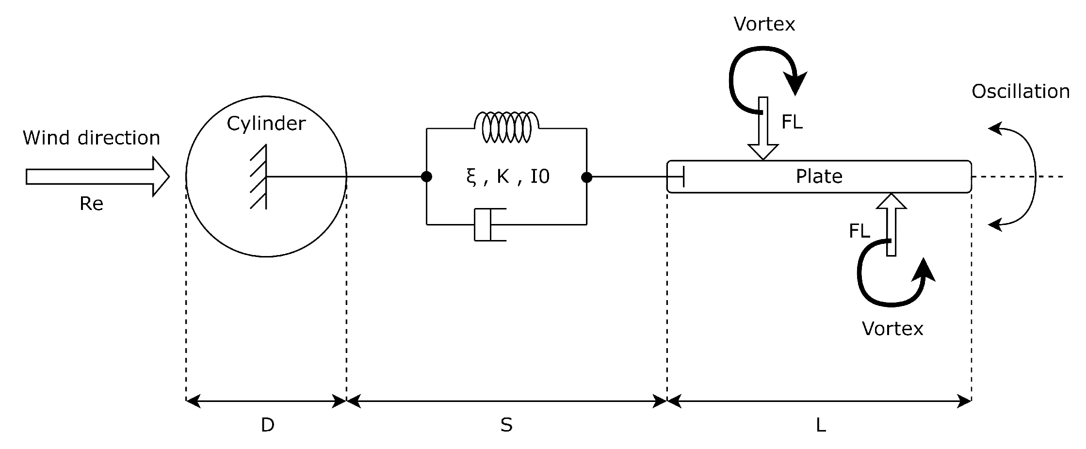
2. The Studied Problem: Device’s Structural Dynamics Responses
3. Methodology
3.1. Studied Variables
3.1.1. The Lift-Coefficient
3.1.2. The Strouhal Number
3.1.3. The Perpendicular Displacement
3.1.4. The Power Coefficient
3.2. The Surrogate Model
3.2.1. CFD Model
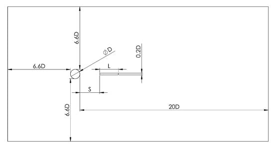
3.2.2. Model Setup
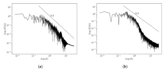
3.2.3. CFD Vortex Shedding Validation
- Mesh selection came from a validation process that reduced the discrepancy between the RMS lift coefficient and the Strouhal number predicted by the CFD simulation and the experimental values given by Norberg [17].
- The mesh implements an approach that defines the height of the first cell of the boundary layer to assure a lower than 1 [28], using the skin friction coefficient approximation from the author of [29]. The height value of the first cell attached to the wall is m, which represents 62% of the value predicted by the mentioned correlation.
3.2.4. Latin Hypercube Sampling (Design of Experiment)
3.2.5. CFD—Cylinder Plate Evaluation
3.2.6. Surrogate Model and Vortex Shedding Suppression
3.3. Structural Dynamics Modelling
3.4. Optimisation Process
The Weighted Global Criterion Method
4. Results Analysis
4.1. Mesh Sensitivity Analysis
4.2. Aerodynamic Behaviour of the Cylinder-Plate Configuration
4.3. Structural Behaviour of the Cylinder-Plate Configuration
5. Conclusions
- The Kriging surrogate model integrated with a classification method allowed identifying a zone within the sampling space where the vortex suppression occurs. To prevent this effect, a gap between the plate and the cylinder must be higher than for similar configurations and conditions.
- Results from the multi-objective optimisation showed that, under the given constraints, this type of wind generator produces a power coefficient of up to when its oscillation amplitude is at its maximum (0.5D). Moreover, from all the evaluated configurations, a design with , and provides the closest match to the utopian condition.
- Finally, the results obtained in this study suggest that the configuration with the minimum Euclidean distance to the Pareto frontier offers an increase of in the value of the power coefficient concerning the Vortex Nano blade-less generator in similarly windy conditions.
Author Contributions
Funding
Data Availability Statement
Acknowledgments
Conflicts of Interest
Abbreviations
| Lift force | |
| Density | |
| Free stream velocity | |
| s | Surface area |
| S | Separation distance |
| L | Plate length |
| RMS lift coefficient | |
| f | Vortex shedding frequency |
| l | Characteristic length |
| Inertia | |
| Damping coefficient | |
| Restoration coefficient | |
| Position | |
| External torque | |
| External torque frequency | |
| Damping factor | |
| U | Minimisation function |
| Utopic value | |
| Critical value | |
| Weight factor of objective function | |
| p | Minimisation function parameter |
| Maximum value of objective function | |
| Minimum value of objective function | |
| User setting for level of performance required |
References
- Sumathi, S.; Kumar, L.; Surekha, P. Solar PV and Wind Energy Conversion Systems: An Introduction to Theory, Modeling with MATLAB/SIMULINK, and the Role of Soft Computing Techniques; Green Energy and Technology; Springer International Publishing: Berlin/Heidelberg, Germany, 2015. [Google Scholar]
- Hau, E.; Renouard, H. Wind Turbines: Fundamentals, Technologies, Application, Economics; Springer: Berlin/Heidelberg, Germany, 2013. [Google Scholar]
- Yáñez Villarreal, D.J. VIV Resonant Wind Generators—Vortex Bladeless Wind Power. 2018. Available online: https://vortexbladeless.com/wp-content/uploads/2018/10/VortexGreenPaper_en.pdf (accessed on 2 February 2023).
- Cajas García, J.C.; Houzeaux, G.; Yáñez, D.J.; Mier-Torrecilla, M. SHAPE Project Vortex Bladeless: Parallel Multi-Code Coupling for Fluid-Structure Interaction in Wind Energy Generation; Partnership for Advanced Computing in Europe: Brussels, Belgium, 2016. [Google Scholar]
- Francis, S.; Umesh, V.; Shivakumar, S. Design and Analysis of Vortex Bladeless Wind Turbine. Mater. Today Proc. 2021, 47, 5584–5588. [Google Scholar] [CrossRef]
- Mane, A.; Kharade, M.; Sonkambale, P.; Tapase, S.; Kudte, S.S. Design & analysis of vortex bladeless turbine with gyro e-generator. Int. J. Innov. Res. Sci. Eng. 2017, 3, 445–452. [Google Scholar]
- Chizfahm, A.; Yazdi, E.A.; Eghtesad, M. Dynamic modeling of vortex induced vibration wind turbines. Renew. Energy 2018, 121, 632–643. [Google Scholar] [CrossRef]
- Shahat, A.E.; Hasan, M.; Wu, Y. Vortex Bladeless Wind Generator for Nano-Grids. In Proceedings of the 2018 IEEE Global Humanitarian Technology Conference (GHTC), San Jose, CA, USA, 18–21 October 2018; pp. 1–2. [Google Scholar]
- Tandel, R.; Shah, S.; Tripathi, S. A state-of-art review on Bladeless Wind Turbine. J. Phys. Conf. Ser. 2021, 1950, 012058. [Google Scholar] [CrossRef]
- Aballe, A.B.D.; Cruz, K.Y.C.; Rosa, V.J.H.D.; Magwili, G.V.; Ostia, C.F. Development of a Linear Generator With Spring Mechanism for Vortex Bladeless Wind Turbine. In Proceedings of the 2020 IEEE 12th International Conference on Humanoid, Nanotechnology, Information Technology, Communication and Control, Environment, and Management (HNICEM), Manila, Philippines, 3–7 December 2020; pp. 1–6. [Google Scholar] [CrossRef]
- Ordoñez, O.; Duke, A.R. Wind Resource Assessment: Analysis of the Vortex Bladeless Characteristics in Puerto Cortés, Honduras. Iop Conf. Ser. Earth Environ. Sci. 2021, 801, 012019. [Google Scholar] [CrossRef]
- Eldredge, J.D.; Pisani, D. Passive locomotion of a simple articulated fish-like system in the wake of an obstacle. J. Fluid Mech. 2008, 607, 279–288. [Google Scholar] [CrossRef]
- Wu, J.; Shu, C. Numerical study of flow characteristics behind a stationary circular cylinder with a flapping plate. Phys. Fluids 2011, 23, 073601. [Google Scholar] [CrossRef]
- Wang, H.; Zhai, Q.; Zhang, J. Numerical study of flow-induced vibration of a flexible plate behind a circular cylinder. Ocean Eng. 2018, 163, 419–430. [Google Scholar] [CrossRef]
- Eydi, F.; Mojra, A.; Abdi, R. Comparative analysis of the flow control over a circular cylinder with detached flexible and rigid splitter plates. Phys. Fluids 2022, 34, 113604. [Google Scholar] [CrossRef]
- Lee, C.M.; Paik, K.J.; Kim, E.S.; Lee, I. A fluid–structure interaction simulation on the wake-induced vibration of tandem cylinders with pivoted rotational motion. Phys. Fluids 2021, 33, 045107. [Google Scholar] [CrossRef]
- Norberg, C. Fluctuating lift on a circular cylinder: Review and new measurements. J. Fluids Struct. 2003, 17, 57–96. [Google Scholar] [CrossRef]
- White, G. Introduction to Machine Vibration; Reliabilityweb.com: Fort Myers, FL, USA, 2008. [Google Scholar]
- The-SciPy-Community. Fourier Transforms (Scipy.fft). 2023. Available online: https://docs.scipy.org/doc/scipy/tutorial/fft.html (accessed on 28 February 2023).
- Rao, K.R.; Yip, P. The Transform and Data Compression Handbook; CRC Press, Inc.: Boca Raton, FL, USA, 2000. [Google Scholar]
- Cengel, Y.A.; Cimbala, J.M. Mecánica De Fluidos 4a Edición; Mcgraw Hill: New York, NY, USA, 2018. [Google Scholar]
- Damiána, S.M.; Nigro, N.M. Comparison of single phase laminar and Large Eddy Simulation (LES) solvers using the Openfoam R suite. Mecánica Comput. 2010, 29, 3721–3740. [Google Scholar]
- Blazek, J. Computational Fluid Dynamics: Principles and Applications; Elsevier Science: Amsterdam, The Netherlands, 2015. [Google Scholar]
- OpenCFD-Ltd. OpenFOAM User Guide: Smagorinsky. Available online: https://www.openfoam.com/documentation/guides/latest/doc/guide-turbulence-les-smagorinsky.html (accessed on 17 November 2022).
- Berselli, L.; Iliescu, T.; Layton, W. Mathematics of Large Eddy Simulation of Turbulent Flows; Scientific Computation; Springer: Berlin/Heidelberg, Germany, 2006. [Google Scholar]
- Sagaut, P.; Meneveau, C. Large Eddy Simulation for Incompressible Flows: An Introduction; Scientific Computation; Springer: Berlin/Heidelberg, Germany, 2006. [Google Scholar]
- SimScale. Large Eddy Simulation—Flow over a Cylinder. Available online: https://www.simscale.com/docs/validation-cases/large-eddy-simulation-flow-over-a-cylinder/ (accessed on 8 March 2023).
- ANSYS, I. ANSYS FLUENT 12 User’s Guide; ANSYS Inc.: Canonsburg, PA, USA, 2009. [Google Scholar]
- White, F.M. Fluid Mechanics, 7th ed.; Mcgraw-Hill Series in Mechanical Engineering; McGraw-Hill: New York, NY, USA, 2011. [Google Scholar]
- Cao, Y.; Tamura, T. Numerical investigations into effects of three-dimensional wake patterns on unsteady aerodynamic characteristics of a circular cylinder at Re=1.3×105. J. Fluids Struct. 2015, 59, 351–369. [Google Scholar] [CrossRef]
- Spanelis, A.; Walker, A.D. A Multi-Objective Factorial Design Methodology for Aerodynamic Off-Takes and Ducts. Aerospace 2022, 9, 130. [Google Scholar] [CrossRef]
- Kleijnen, J.P. Design and Analysis of Simulation Experiments; International Series in Operations Research & Management Science; Springer: Berlin/Heidelberg, Germany, 2015. [Google Scholar]
- Chen, V.C.; Tsui, K.L.; Barton, R.R.; Meckesheimer, M. A review on design, modeling and applications of computer experiments. IIE Trans. 2006, 38, 273–291. [Google Scholar] [CrossRef]
- Simpson, T.W.; Poplinski, J.D.; Koch, P.N.; Allen, J.K. Metamodels for Computer-based Engineering Design: Survey and recommendations. Eng. Comput. 2001, 17, 129–150. [Google Scholar] [CrossRef]
- Murphy, B.; Yurchak, R.; Müller, S. GeoStat-Framework/PyKrige: v1.7.0. 2022. Available online: https://geostat-framework.readthedocs.io/_/downloads/pykrige/en/latest/pdf/ (accessed on 3 March 2023).
- Akilli, H.; Sahin, B.; Filiz Tumen, N. Suppression of vortex shedding of circular cylinder in shallow water by a splitter plate. Flow Meas. Instrum. 2005, 16, 211–219. [Google Scholar] [CrossRef]
- Dai, S.; Younis, B.A.; Zhang, H.; Guo, C. Prediction of vortex shedding suppression from circular cylinders at high Reynolds number using base splitter plates. J. Wind Eng. Ind. Aerodyn. 2018, 182, 115–127. [Google Scholar] [CrossRef]
- Shabana, A. Theory of Vibration: An Introduction; Mechanical Engineering Series; Springer International Publishing: Berlin/Heidelberg, Germany, 2019. [Google Scholar]
- Arora, J.S. (Ed.) Introduction to Optimum Design, 3rd ed.; Academic Press: Boston, MA, USA, 2011. [Google Scholar]
- Sons, J.W. (Ed.) The Wind Resource. In Wind Energy Handbook; John Wiley & Sons, Ltd.: Hoboken, NJ, USA, 2011; Chapter 2; pp. 9–38. [Google Scholar] [CrossRef]
























| Fluid | Air |
|---|---|
| () | 1.145 |
| Dynamic Viscosity | 1.1895 |
| Name | Type |
|---|---|
| Inlet | normal direction (free stream) |
| Outlet | Gauge pressure 0 Pa |
| Cylinder | Wall |
| Others | Symmetry |
| Name | Type |
|---|---|
| CFD Model | LES 3D |
| Algorithm | PISO |
| Numerical Scheme | 2nd Order Upwind |
| Sub-Grid Scale Model | Smagorinsky-Lilly |
| Time step | s |
| Flow time | 12 s |
| Case | Divisions | Number of cells |
|---|---|---|
| M1 | 74 | 91,155 |
| M2 | 116 | 138,765 |
| M3 | 181 | 212,985 |
| Case | Cl | St | Error Cl (%) | Error St (%) |
|---|---|---|---|---|
| Experimental | 0.500 | 0.198 | - | - |
| M1 | 0.550 | 0.208 | 10.067 | 5.422 |
| M2 | 0.511 | 0.192 | 2.142 | 2.816 |
| M3 | 0.501 | 0.197 | 0.285 | 0.238 |
| Case | Weight | Euclidian Distance | F1 Value (Normalised) | F2 Value (Normalised) | S/D Value | L/D Value | |
|---|---|---|---|---|---|---|---|
| P1 | 0.00–1.00 | 0.987 | 0.996 (0.987) | 0.008D (0.016) | 0.050 | 1.830 | 0.500 |
| P2 | 0.25–0.75 | 0.778 | 0.921 (0.739) | 0.122D (0.244) | 0.024 | 5.548 | 0.530 |
| P3 | 0.47–0.53 | 0.683 | 0.853 (0.513) | 0.226D (0.451) | 0.013 | 5.548 | 0.520 |
| P4 | 0.50–0.50 | 0.688 | 0.845 (0.488) | 0.242D (0.485) | 0.013 | 5.548 | 0.560 |
| P5 | 0.75–0.25 | 0.800 | 0.774 (0.252) | 0.380D (0.759) | 0.010 | 5.530 | 0.696 |
| P6 | 0.90–0.10 | 0.998 | 0.731 (0.109) | 0.496D (0.992) | 0.010 | 6.343 | 0.766 |
Disclaimer/Publisher’s Note: The statements, opinions and data contained in all publications are solely those of the individual author(s) and contributor(s) and not of MDPI and/or the editor(s). MDPI and/or the editor(s) disclaim responsibility for any injury to people or property resulting from any ideas, methods, instructions or products referred to in the content. |
© 2023 by the authors. Licensee MDPI, Basel, Switzerland. This article is an open access article distributed under the terms and conditions of the Creative Commons Attribution (CC BY) license (https://creativecommons.org/licenses/by/4.0/).
Share and Cite
Zuluaga, J.; Ricardo, S.; Oostra, A.; Materano, G.; Spanelis, A. Assessment of Aerodynamic Plates Subjected to Von Kármán Vortex Street for Enhancing the Wind Energy Generation in Blade-Less Devices. Resources 2023, 12, 90. https://doi.org/10.3390/resources12080090
Zuluaga J, Ricardo S, Oostra A, Materano G, Spanelis A. Assessment of Aerodynamic Plates Subjected to Von Kármán Vortex Street for Enhancing the Wind Energy Generation in Blade-Less Devices. Resources. 2023; 12(8):90. https://doi.org/10.3390/resources12080090
Chicago/Turabian StyleZuluaga, John, Santiago Ricardo, Andrés Oostra, Gilberto Materano, and Apostolos Spanelis. 2023. "Assessment of Aerodynamic Plates Subjected to Von Kármán Vortex Street for Enhancing the Wind Energy Generation in Blade-Less Devices" Resources 12, no. 8: 90. https://doi.org/10.3390/resources12080090
APA StyleZuluaga, J., Ricardo, S., Oostra, A., Materano, G., & Spanelis, A. (2023). Assessment of Aerodynamic Plates Subjected to Von Kármán Vortex Street for Enhancing the Wind Energy Generation in Blade-Less Devices. Resources, 12(8), 90. https://doi.org/10.3390/resources12080090

