FFC NMR Relaxometer with Magnetic Flux Density Control
1
Department of Electrical Engineering ESTSetúbal, Instituto Politécnico de Setúbal and INESC-ID, Campus do IPS-Estefanilha, 2910-761 Setúbal, Portugal
2
DEEC AC-Energia, Instituto Superior Técnico, Universidade de Lisboa and INESC-ID, Av. Rovisco Pais 1, 1049-001 Lisboa, Portugal
3
Department of Physics & CeFEMA, Instituto Superior Técnico, Universidade de Lisboa, Av. Rovisco Pais 1, 1049-001 Lisboa, Portugal
4
CEI, ISEL-Instituo Superior de Engenharia de Lisboa, Instituto Politécnico de Lisboa and INESC-ID, Rua Conselheiro Emídio Navarro 1, 1959-007 Lisboa, Portugal
*
Author to whom correspondence should be addressed.
J. Low Power Electron. Appl. 2019, 9(3), 22; https://doi.org/10.3390/jlpea9030022
Received: 30 May 2019 / Revised: 8 July 2019 / Accepted: 10 July 2019 / Published: 13 July 2019
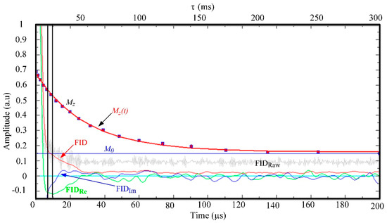
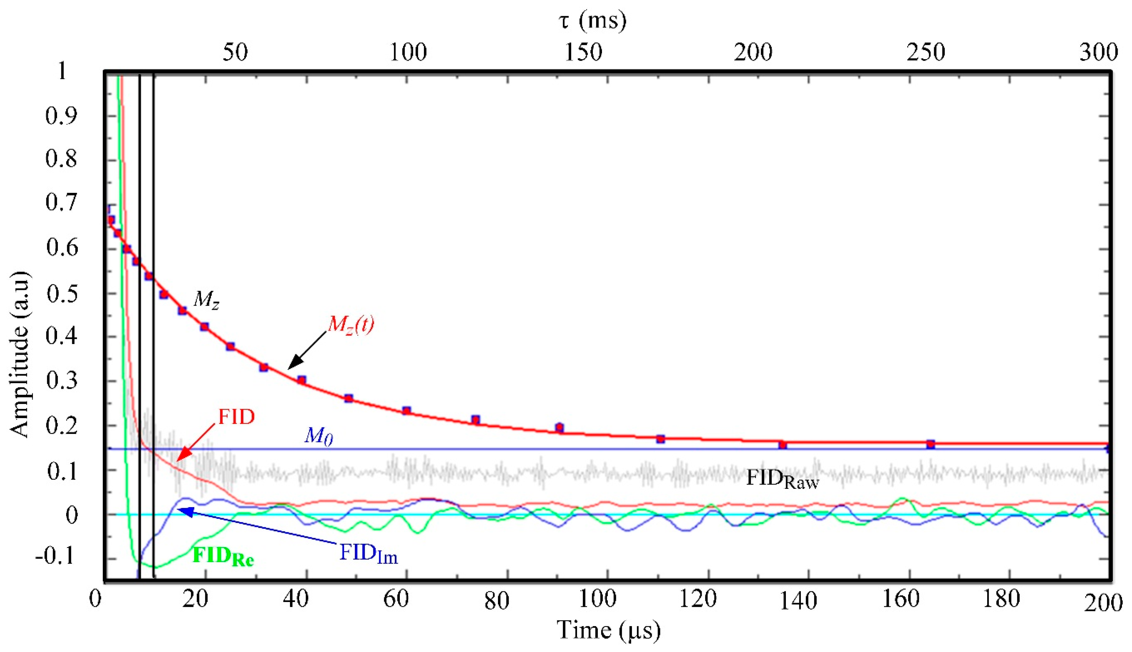
This paper describes an innovative solution for the power supply of a fast field cycling (FFC) nuclear magnetic resonance (NMR) spectrometer considering its low power consumption, portability and low cost. In FFC cores, the magnetic flux density must be controlled in order to perform magnetic flux density cycles with short transients, while maintaining the magnetic flux density levels with high accuracy and homogeneity. Typical solutions in the FFC NMR literature use current control to get the required magnetic flux density cycles, which correspond to an indirect magnetic flux density control. The main feature of this new relaxometer is the direct control of the magnetic flux density instead of the magnet current, in contrast with other equipment available in the market. This feature is a great progress because it improves the performance. With this solution it is possible to compensate magnetic field disturbances and parasitic magnetic fields guaranteeing, among other possibilities, a field control below the earth magnetic field. Experimental results validating the developed solution and illustrating the real operation of this type of equipment are shown.
View Full-Text
▼
Show Figures
This is an open access article distributed under the Creative Commons Attribution License which permits unrestricted use, distribution, and reproduction in any medium, provided the original work is properly cited
MDPI and ACS Style
Roque, A.; Sousa, D.M.; Sebastião, P.; Margato, E.; Marques, G. FFC NMR Relaxometer with Magnetic Flux Density Control. J. Low Power Electron. Appl. 2019, 9, 22.
Show more citation formats
Note that from the first issue of 2016, MDPI journals use article numbers instead of page numbers. See further details here.


