Abstract
We calculate the excess energy transferred into two-dot and three-dot quantum dot cellular automata systems during switching events. This is the energy that must eventually be dissipated as heat. The adiabaticity of a switching event is quantified using the adiabaticity parameter of Landau and Zener. For the logically reversible operations of WRITE or ERASE WITH COPY, the excess energy transferred to the system decreases exponentially with increasing adiabaticity. For the logically irreversible operation of ERASE WITHOUT COPY, considerable energy is transferred and so must be dissipated, in accordance with the Landauer Principle. The exponential decrease in energy dissipation with adiabaticity (e.g., switching time) distinguishes adiabatic quantum switching from the usual linear improvement in classical systems.
1. Introduction
Understanding the limits of energy dissipation imposed by physics has become increasingly important as alternate approaches to Si-based transistors are being explored. This is because the continual need for enhanced performance in these transistors has led to shrinking of critical dimensions to a few nanometers with corresponding increasing areal power dissipation [1]. It has become clear that this is a fundamental issue independent of how logic devices are implemented. Making devices small is of no benefit if the heat generated threatens to melt the circuit.
Some have argued that encoding information with electronic charge, and therefore moving charge in switching events, must necessarily lead to power dissipation of at least [2]. Other state variables, it is argued, would be free of this limitation. This was shown to be incorrect by experiments on charge bits which measured energy dissipation of less than 0.01 , with a bit energy of [3]. Movement of charge is not the problem.
The Landauer Principle (LP) states that only logically irreversible operations (e.g., erasure of an unknown bit) must be accompanied by a minimum heat generation of [4]. LP sets no lower limit for reversible operations and is independent of the choice of state variable which represents information.
Quantum-dot cellular automata (QCA) is a promising candidate for storing and processing binary information. QCA uses the configuration of localized charge to represent bit information and quantum mechanical tunneling to enable switching between states [5]. Here we calculate the excess energy dissipated as a function of the adiabaticity of the switching operation for two-state and three-state quantum-dot systems. A two-state system captures the most basic elements of QCA operation. The three-state system is needed to implement clocked QCA, which enables both data flow control and power gain [6]. Implementations of three-state systems have been demonstrated in metal-dot QCA [7] and molecular systems [8].
In molecular QCA the role of the dot is played by a redox center within the molecule—a site that can be reversibly reduced or oxidized by adding or removing an electron. These are typically single metal atoms or boron cages. An electric field moves the electron from one redox site to another. The field can be that of an externally applied field acting as a clock [9] or that due to a neighboring molecule [10]. The molecule-molecule field coupling represents the flow of information within the QCA circuit [11]. Here we are focusing on the fundamental aspects of the electron switching from one dot (redox center) to another, as driven by the energy difference produced by the applied field.
The key to our approach here is that we are calculating the energy delivered as an excitation to the QCA cell. This is the energy that will subsequently be dissipated as heat to the environment. By focusing on the excitation of the system, we can treat switching as a unitary quantum process and avoid the complication of including explicit dissipation mechanisms which may introduce model-dependent features. The excitation energy due to the switching event is the main focus. We calculate the way this excitation energy depends on the adiabaticity, as quantified in what follows, of the switching event.
We are not here addressing the dissipation of energy that occurs in gradually charging up and discharging the electrodes that create the clocking signals for QCA. Because of the non-zero resistance of the conductors, this can be non-trivial, though in all but the highest operating frequency dissipation in the active devices is dominant [12].
2. Two-Dot System
2.1. Model
A two-state quantum-dot system is the simplest QCA element, consisting of two dots and a mobile charge, as illustrated schematically Figure 1. A dot is simply a region of space that localizes charge. In the molecular implementation, it is usually a metal center. The two states quantum states are or representing states with charge localized on the left dot (L) or right dot (R). If the charge is on the left dot, it represents a binary 0, and if it is on the right dot it represents a binary 1. Charge transport between dots is through quantum-mechanical tunneling.
Figure 1.
Schematic of a two-state quantum-dot system. The black circles represent the quantum dots, the lines connecting the dots represent the inter-dot tunneling paths, and the red circles denote the localized charge. When charge is localized on the left dot L , the system is in quantum state , representing a binary 0, and when charge is localized on the right dot R, the system is in quantum state , representing a binary 1.
The Hamiltonian for such a system can be written as
Here is the on-site energy of the right dot, independent of time, and is the on-site energy of the left dot. The tunneling energy between dots is . The characteristic time scale for dynamics is set by the Rabi oscillation period.
The switching dynamics are modeled by solving the quantum Liouville equation for the unitary evolution of the the density operator [13].
The instantaneous eigenstates of are denoted and with eigen-energies and ( respectively. From the density operator we can calculate the time-dependent probabilities of the charge being found on the left dot, the right dot, the ground state, or the excited state, and the expectation value of the energy.
For the two-dot system, the probability of being found in an excited state is just equal to (for comparison later with the three-dot system). We define the excess energy of the system as
2.2. Switching the Two-Dot System
We consider switching from the binary 0 to the binary 1 state, transferring the electron between left and right dots, by linearly ramping from to over the switching time T.
This is shown schematically in Figure 2. We define the change during the switch event
Figure 2.
Dot energies of two-state quantum-dot system during switching. System is initially in ground state localized on the left representing a 0 bit. The energy of the left dot is increased from a low to a high value. When the energy of the left dot crosses the right dot, charge transfer and localizes on the right dot, representing a 1 bit.
The initial density operator is taken to be . For convenience, we use energies appropriate to a molecular system for which relevant energy scales are in the electron volt range. For larger systems the energies would scale to smaller values appropriately. Equation (3) is solved with a Runge-Kutte method [14].
Figure 3 shows the switching dynamics of a two-dot system where we take , eV, and measure time in terms of from Equation (2). The energy of the left dot is switched from −2.5 to 2.5 eV over a switching time of as shown in Figure 3a. The instantaneous eigenstate energies and are shown in Figure 3b and demonstrate the expected anti-crossing behavior. Post-crossover, the expectation value of the energy is higher than the ground state and the difference between them is as defined in Equation (9). Because the switching in this case is very rapid compared to the system’s natural response time, there is considerable non-adiabiticity and excess energy is transferred into the system. Figure 3c shows the probability of dot occupancy shifting from left to right, with ringing evident after the crossover at . In Figure 3d we plot the probabilities of ground and excited state occupancy.
Figure 3.
Rapid unitary switching of a two-dot system. The results shown are from a numerical solution of Equation (3) with the Hamiltonian of Equation (1). Here eV and is increased from −2.5 to +2.5 eV over a switching time of . The right dot on-site potential is held constant. (a) The on-site energies for the left and right dot and . (b) The instantaneous energy eigenstates and , showing the expected avoided level crossing. After the cross-over, the energy expectation value is higher than . The difference between the two, , represents the energy deposited in the system during the switching event. (c) Probabilities are shown for the left and right dot occupancy. At time , the charge transfers from the left dot to the right dot. Because the switching is very rapid however, ringing is evident. (d) The state probabilities for the ground state and for the excited state. Switching is so rapid that the excited state probability is substantial at the end of the switching event.
We quantify the adiabaticity of the switching using two quantities: the excess energy deposited in the system at the end of the switching event, , and the probability of being found in the excited state (the “wrong” state) after the switching, . In this example, switching is significantly non-adiabatic. Most of the activity happens between and . Because the natural resonance time of the system is just , it can barely keep up with the switching and becomes excited. Please note that by a little time after , the probability is basically constant. The additional rise in can be understood as the trapped probability density being steadily raised in energy by the signal .
In a real system, this deposited energy would be dissipated to the environment through inelastic mechanisms, during or after the switching event itself. The unitary evolution we are considering here allows us to quantify the amount of excess energy that would have to be dissipated, without the need to adopt a specific model for coupling the system to the environment. If the dissipation was happening on a timescale more rapid than the switching, the net energy dissipation might be further reduced (the case of strong heat-sinking).
Now consider the more adiabatic switching operation shown in Figure 4, where the is switched between the same values (−2.5 to 2.5 eV), but over a time of 50. The switching operation is smoother as seen from the absence of ringing in and in Figure 4c. The expectation value of the energy tracks the ground state much more closely (Figure 4b) so is nearly zero (not visible on this scale). By switching more gradually, less energy builds up in the system and therefore less needs to be dissipated as heat.
Figure 4.
Quasi-adiabatic unitary switching in a two-dot system. The system is the same as that shown in Figure 3, but here the switching time is . (a) The on-site energies for the left and right dot and . (b) The instantaneous energy eigenstates and . In contrast to the situation shown in Figure 3, the expectation value of the energy here very closely tracks the low energy eigenvalue . Thus the excess energy deposited in the system is very small. (c) Probabilities are shown for the left and right dot occupancy. The switching is smoother with no apparent ringing. (d) The state probabilities for the ground state and for the excited state. The excitation probability is now extremely small throughout the switching event.
Switching will be more adiabatic if the switching time T is greater, or if is smaller, or if the tunneling energy is larger. The effect of each of these can be captured by defining the adiabaticity parameter for the switching :
Except for the constant, this result can be obtained by dimensional analysis. The correct value of the constant and a derivation was obtained by Landau and Zener [15,16] in the context of atomic scattering. For a recent derivation and discussion see reference [17].
Numerical results for obtained by directly solving Equation (3) for switching for with various values of and are shown in Figure 5a. The parameter here can be viewed as an appropriately scaled version of the switching time T. Changing , T, and such that remains constant yields the same result. The exponential decay in excitation probability with increasing , i.e., longer switching times, agrees with the Landau-Zener result for nine orders of magnitude (down to the limits of the numerical tolerance).
Figure 5.
Adiabaticity of two-state switching. The adiabaticity parameter (see Equation (12)) is 2 for the rapid switching shown in Figure 3 and 20 for the quasi-adiabatic switching shown in Figure 4. (a) The calculated probability of excited state occupancy decreases exponentially with increasing . The dotted line represents the relation (Equation (13)). The deviation from the dotted line is at the tolerance level () of the numerical method. (b) The excess energy transferred to the system during switching, also decreases exponentially with increasing adiabaticity . The dotted lines represent the relation (Equation (14)). and depend on the value of and not on individual values of , and T.
The excess energy deposited in the system during switching also decreases exponentially with increasing as evident in the numerical results shown in Figure 5b. For , we have , so to a very good approximation,
3. Three-Dot Clocked QCA System
3.1. Model
A three-dot QCA system, illustrated schematically in Figure 6, includes a middle dot which allows clocked control and memory. The three quantum basis states are , and denoting charge occupancy in left , middle, or right dot. As in the previous section, left and right dot occupancy represents a binary 0 or 1. If the middle dot is occupied, the system represents a null state, which contains no information (like a blank on a Turing machine tape). Clocking in QCA is achieved by raising and lowering the energy of the middle dot. This can be realized without requiring individual molecule-scale contacts, but rather by using local electric fields [10]. In Figure 6, the clocking field would point along the vertical axis of the figure, pulling the charge down into the middle null dot or pushing it up into the active dots.
Figure 6.
Schematic of a three-state quantum-dot system. In addition to the two binary states represented by a two-state quantum-dot system, there is a third state. When charge is localized on middle dot (M), the system is in the “null” state, which represents no stored information.
The Hamiltonian of a three-dot system can be written as:
Here is an applied bias which shifts the relative energies of the left and right dot. The bias may be from a neighboring molecular cell, or from an external field. The onsite energy of the middle dot represents the clocking signal. When is low, the ground state of the system is the null state, with the charge occupying the middle dot. If is high, the ground state of the system can be a 1 or a 0 state (or a superposition), depending on . As in Section 2, is the tunneling energy between dots and the characteristic time-scale for dynamics is given by Equation (2).
3.2. Switching in the Three-Dot QCA System
We model the the switching dynamics by solving the quantum Liouville Equation (3) for a given and . The instantaneous eigenstates of the Hamiltonian are denoted , and with eigen-energies , and respectively. Time-dependent probabilities are obtained from Equations (4)–(8), with the obvious extension for three-state system: and . The probability of finding the system in an excited state is now:
For a three-dot-system, there are three important operations to be considered, as shown schematically in Figure 7: writing a bit, erasing a bit when a copy of the existing bit is available, and erasing a bit when there is no copy.
Figure 7.
Dot energies of three-state quantum-dot system during switching operations. (a) The WRITE operation for writing a binary “1”. The system is initially in the ground state, which is a NULL state. The left dot is set to a higher energy with respect to the right dot by . The clock signal is increased from low to high, raising the energy of the middle dot. As the energy of the middle dot crosses the right dot, the charge transfers on the right dot, representing a 1 state. The bias can then be removed, storing the binary 1 in a long-lived metastable state. (b) The ERASE WITH COPY operation. The initial state is a binary 1, with the charge localized on the right dot. This must of necessity be a long-lived metastable state storing information. Using the copy of the information, we can raise the left dot energy with respect to the right dot by . This biases the system into the state it is already in, transforming the metastable 1 state into the ground state. The clock signal is then decreased from high to low. As the energy of the middle dot crosses the right dot, the charge transfers from right dot to middle dot, representing a NULL state. The bias can then be removed. (c) The ERASE WITHOUT COPY operation. The initial state shown holds a binary 1, with the charge on the right dot. With no copy of the bit, we cannot bias the cell into the state it is in, so left and right dots are held at the same energy (). The clock signal is then decreased from high to low. Energy of the middle dot crosses the energies of both left and right dots at the same time. This results in a loss of control of the stateand cannot be done adiabatically.
3.3. Writing a Bit
Prior to writing the bit, is low and the system is in the null state , which is also the ground state. Figure 7a shows the on-site energies during the WRITE operation. A bias is applied, as shown in the figure, which we will take here to be positive so that a binary 1 will be written. The applied bias shifts the energy of the left dot so that it is higher than the energy of the right dot, though both are still higher than the middle dot. This bias can result from the Coulomb influence of neighboring QCA cells in a circuit, or can be due to an externally applied in-plane field. The clocking energy then ramps up, passing the energy , and then , and continuing to increase until it is substantially higher than either. As a result, the new ground state for the system at the end of the writing event is , representing the 1 bit.
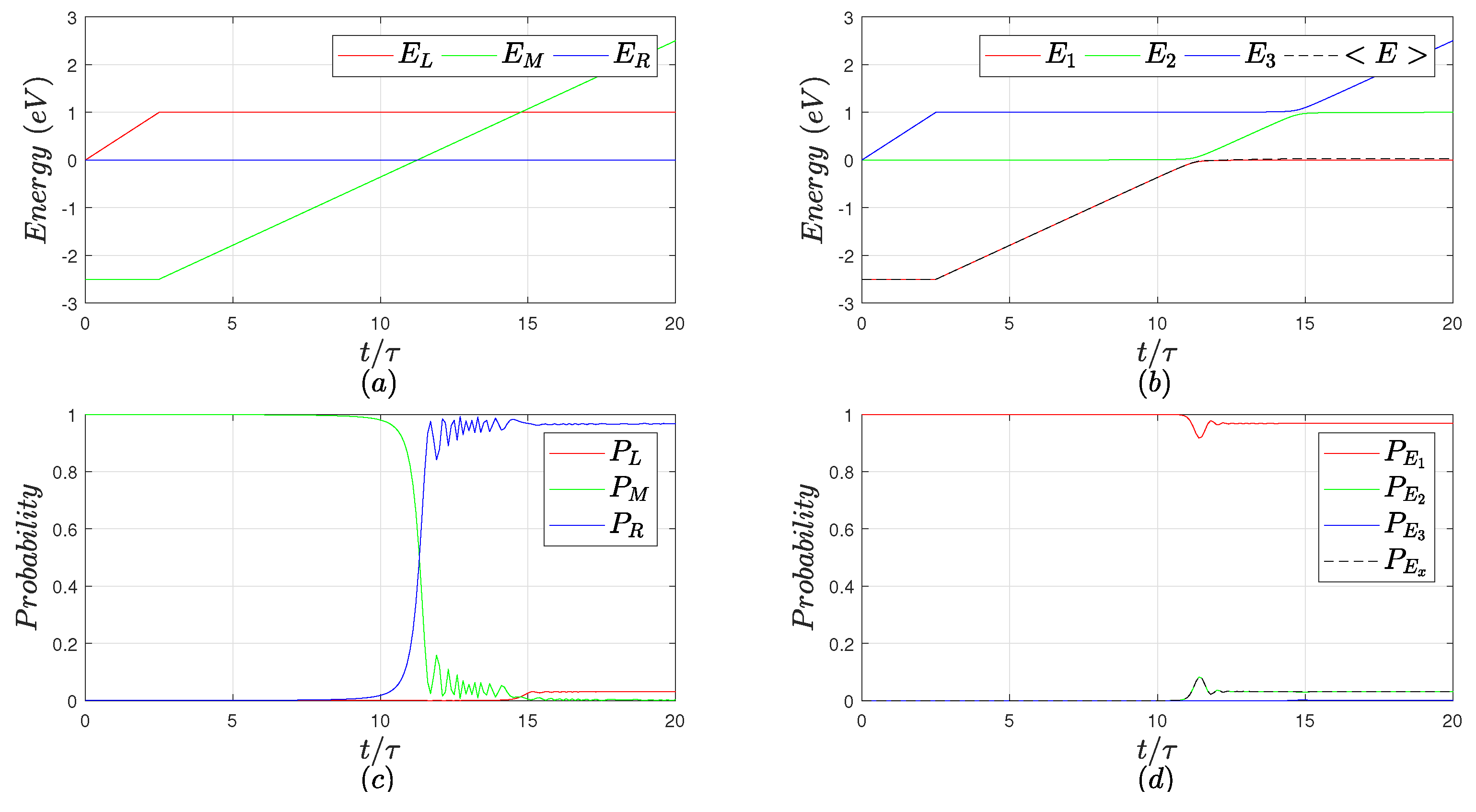
Figure 8 shows the results of a numerical solution of Equation (3) in the case when a 1 bit is written very rapidly into the cell. Here we have eV, and is switched linearly from −2.5 to +2.5 eV over a time of 17.5, as shown in Figure 8a. The applied bias is 1 V. Figure 8b shows the instantaneous energy eigenvalues as the bit is written. The anti-crossing behavior is visible both when crosses and again when it crosses . Because the switching happens within a time of a few , excess energy is transferred into the system; (dotted line) is elevated above the ground state . As with the two-state case, this energy excitation is evident both in the oscillations of dot probabilities seen in Figure 8c, and the finite excitation probability (dashed line) shown in Figure 8d. This excess energy must eventually be dissipated as heat.
Figure 8.
Dynamics of a rapid WRITE operation in a three-dot QCA system. (a) On-site dot energies. Initially, the ground state is localized on the middle dot, encoding a null value. The right dot energy is held constant at zero. An applied bias of eV is applied to the left dot (Figure 7a). This determines that a binary 1 will be written. The middle dot energy then linearly increases with clock signal from −2.5 to 2.5 eV over a time of . (b) The instantaneous energy eigenvalues during the WRITE operation. As the middle dot energy is raised, we see anti-crossing behavior when it passes first , and then . The writing occurs when becomes the new ground state of the system. Post-crossover, the expectation value of the energy deviates from the ground state energy . The difference between the two is , the amount of energy transferred into the system, which must ultimately be dissipated as heat. (c) Probabilities of dot occupancy. The charge is transferred from the middle to the right dot, but because of the speed of the switching, ringing is apparent, as is some residual occupancy of the middle dot. (d) Probabilities for the ground state and each excited state and . The dashed line shows the total probability of being found in an excited state. The residual non-adiabaticity is apparent. The adiabaticity parameter in this example is 3.45.
How does this excitation scale when we make the operation more adiabatic? We solve Equation (3) for the WRITE operation with various values of , , and switching time T. The results are shown in Figure 9 in terms of terms of the adiabatic parameter defined in Equation (12). We characterize the WRITE operation using , the probability of the system being in an excited state after the operation is complete, and , the expected value of the excitation energy. As shown in Figure 9a, decreases exponentially with . The probability depends on , irrespective of the individual value of , T and . This is the same relationship observed in a two-state system.
Figure 9.
Adiabaticity in the dynamics of the WRITE operation on the three-state QCA system. Dynamics are calculated from a numerical solution of Equation (3). Results for various values of , , and switching time T are shown. Value sets which give the same adiabaticity parameter (see Equation (12)) yield the same result. (a) The probability of excited state occupancy decreases exponentially with . The dashed line represents the relation . Deviation from the dotted line is at the tolerance level () of the numerical method. (b) Excess energy also decreases exponentially with increasing . The dashed line represent the relation .
Furthermore, the excess energy deposited in the system also decreases exponentially with increasing as shown in Figure 9b. To a very good approximation one can write
This can be understood by examining Figure 8b. After the switching, excitations from the ground state are dominated by excitations to the first excited state, which is above the ground state by an amount .
This exponential decay in the excess energy means there is a corresponding exponential decay in the amount of energy that needs to be dissipated due to a WRITE operation. This is in accord with the Landauer principle—there is no fundamental lower limit to the amount of energy that must be dissipated as heat to write a bit of information.
3.4. Erasure with Copy
The ERASE operation begins with the system in either the or (binary 0 or 1) state and at a high value, and ends with the system in the (null) state and at a low value. The initial state is a one-bit memory and as such cannot be an energy eigenstate of the system. A memory bit must have a state which depends on its past (which bit was written last) and not simply on the Hamiltonian of the system at the present moment. The stored bit must always be in a long-lived metastable state; this is a general feature of any physical memory.
One of Landauer’s key insights was that if there is a copy of the bit available, then the erasure process can use that information to construct an erasure protocol that is different for a 1 bit than for a 0 bit. This ERASE WITH COPY operation, as we will see, can be done with arbitrarily little energy dissipation. The essential step is to use the copy of the bit to initially bias the system into the state it is already in, as shown in Figure 10a. This has the effect of transforming the metastable memory-holding state into the system ground state. Figure 7b shows this schematically for a system holding a 1 bit with the biased already applied. The bias raises the energy of the left dot relative to the right dot so the initial state is in fact the ground state of the system. The middle dot is initially high, creating a large kinetic barrier for tunneling between left and right. As the on-site energy of the middle dot is lowered (clock goes to low), the charge will transfer from the right to the middle dot as the energy of the middle dot passes the energy of the right dot. Once the appropriate bias is applied, the ERASE WITH COPY operation (for a stored 1 bit) shown in Figure 7b is then just the time-reversed version of the WRITE operation for a 1 bit, shown in Figure 7a. Please note that if the initial bit were 0, then the sign of the applied bias would need to be reversed, again biasing the system into the state it is in. The ERASE WITH COPY operation is sometimes referred to as “erase a known bit”, or “conditional bit erasure” (because the erasure protocol is conditioned on the stored bit state).
Figure 10.
Dynamics of a rapid ERASE WITH COPY operation in a three-dot QCA system. (a) On-site dot energies. The right dot energy is held constant at zero. An applied bias of eV is applied to the left dot (Figure 7b). This biases the system so that its initial state is the ground-state. To apply this bias there must be a copy of the bit value somewhere else that determines whether the right or left dot energy is raised. The middle dot energy linearly decreases with clock signal from +2.5 to −2.5 eV over a time of . (b) The instantaneous energy eigenvalues during the ERASE WITH COPY operation. As the middle dot energy is lowered, we see anti-crossing behavior when it passes first , and then . The erasure occurs when becomes the new ground state of the system. Post-crossover (at time = ), the expectation value of the energy deviates from the ground state energy . The difference between the two is , the amount of energy transferred into the system, which must ultimately be dissipated as heat. (c) Probabilities of dot occupancy. The charge is transferred from the right to the middle dot, but because of the speed of the switching, ringing is apparent, as is some residual occupancy of the right dot. (d) Probabilities for the ground state and each excited state and . The dashed line shows the total probability of being found in an excited state. The non-adiabaticity is apparent because in this example.
Figure 10 shows the calculated energetics and probabilities for a rapid ERASE WITH COPY operation for a stored 1 bit. The parameters are chosen to display the residual non-adiabiticity. To see the scaling of the erasure with adiabticity, we calculate the unitary evolution of the ERASE WITH COPY operation using Equation (3) and find the excitation probability and the excess energy for various values of the parameters. The clocking potential on the middle dot changes from to in time T. The system is initially in a binary 1 state so the bias applied is eV (this biases the system into the state it is in). Figure 11a shows the exponential reduction in as is increased, just as in Equation (17). Figure 11b shows the exponential reduction in with increasing .
Figure 11.
Adiabaticity of the ERASE WITH COPY operation. The use of a copy allows an erasure protocol in which the system is first biased so that the initial state is the ground state of the system, as shown in Figure 7b for a stored 1 bit. (a) Probability of excited state occupation () decreases exponentially with increasing adiabaticity. The dotted line represents the relation (Equation (17)). Deviation from the dotted line is at the tolerance level () of the numerical method. (b) Excess energy () also decreases exponentially with increasing adiabaticity. The dotted lines represent the relation (Equation (19)). and depend on the value of and not on individual values of , and T.
3.5. Three-State System: Erasure without Copy
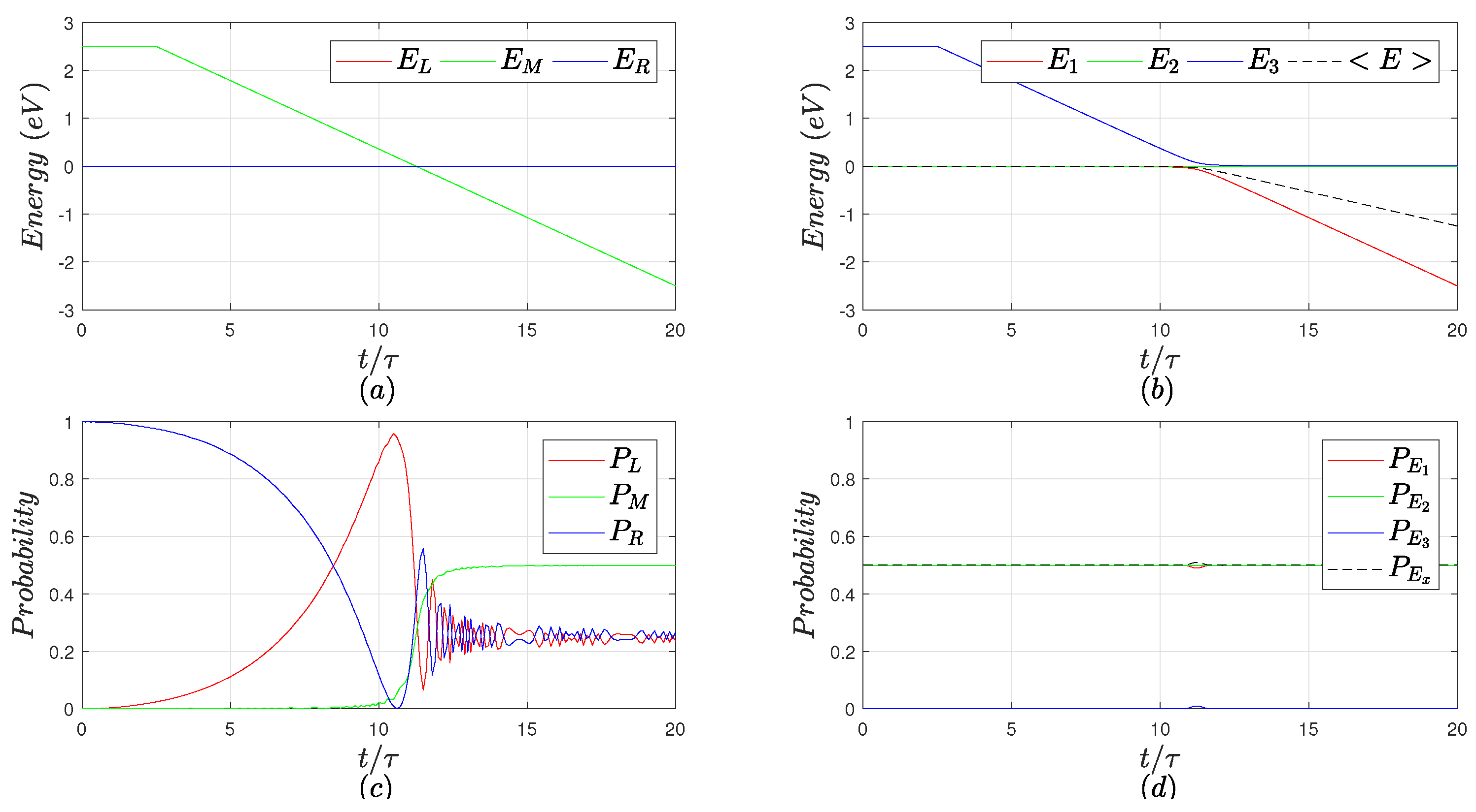
Unlike ERASE WITH COPY, where the system is biased in the state it is in, during an ERASE WITHOUT COPY operation the system cannot be biased into an the initial ground state of the system. The on-state energies of the left dot and right dot are equal throughout. During the switching, when the energy of the middle dot crosses the energies of left and right dot, there is an equal probability that the system will end up in the ground state or the first excited state. Figure 12 shows the calculated energetics and probabilities for such an operation. The probability oscillates rapidly and the system has a residual energy equal to 1.25 eV. This lack of adiabaticity, and the corresponding energy dissipation is unavoidable, without knowing the initial value of the bit and biasing appropriately. Figure 13 shows the excited state probability and the excess energy as a function of the adiabaticity parameter . When information is destroyed without a copy being left behind, significant energy dissipation as heat is inevitable, just as the Landauer Principle asserts.
Figure 12.
Dynamics of an ERASE WITHOUT COPY operation in a three-dot QCA system. (a) On-site dot energies. The energies of the left and right dot are identical. Because the there is no copy of the bit, this symmetry cannot be broken by an appropriately applied bias. The middle dot energy linearly decreases with clock signal from +2.5 to −2.5 eV over a time of 17.5 . (b) The instantaneous energy eigenvalues during the ERASE WITHOUT COPY operation. As the middle dot energy is lowered, it crosses the degenerate , and state. It cannot do this adiabatically. The expectation value of the energy is midway between and . The difference between the two is , the amount of energy transferred into the system, which must ultimately be dissipated as heat. (c) Probabilities of dot occupancy. The probability oscillates in an uncontrolled way between left, right, and middle dots. (d) Probabilities for the ground state and each excited state and . The dashed line shows the total probability of being found in an excited state is 1/2. The non-adiabaticity cannot be eliminated without having a copy of the original bit to break the initial symmetry so the system is biased into the state it is already in.
Figure 13.
Calculated results for the ERASE WITHOUT COPY operation on three-state QCA system initially in “1” state. (a) The probability of excited state occupation () quickly saturates at a value of 0.5. The dotted line represents the relation (Equation (17)), the results for the ERASE WITH COPY operation. (b) Excess energy () also saturates at a value of . The dotted lines represent the relation (Equation (19)). and depend on the value of and not on individual values of , and T. Without the availability of a copy to guide the erasure process, considerable energy must be dissipated to the environment as heat.
4. Discussion
The two-dot QCA system is the simplest switching device possible. We see that, in contrast to the classical result, there is an exponential reduction in excess energy delivered to the system when the switching time T is reduced. For adiabatic CMOS , for example, one achieves a linear decrease [18]. This is a dramatic difference and points to the possibility of realizing the ultra-low power dissipation required for molecular scale devices. We have connected this exponential decrease in power dissipation to the classic Landau-Zener result from atomic scattering theory.
The three-dot QCA system allows clocking and an exploration of erasure to a null state (this is the only unambiguous way to define erasure). We see that the WRITE operation and the ERASE WITH COPY operations require no fundamental minimum energy dissipation. In fact, as with the two-dot case, the reduction is exponential in the adiabatic parameter (typically the switching time). The ERASE WITHOUT COPY operation, necessarily dissipates the full bit energy (many times ). This is exactly what the Landauer Principle would require, though it does not predict the exponential quantum behavior.
Our analysis makes it clear that the origin of the exponential improvement is that by applying the correct bias, either for writing or erasing, quantum adiabatic time-evolution is possible. The adiabatic theorem [19] assures that if the time-dependent Hamiltonian is varied smoothly enough eigenstate probabilities will remain unchanged. The issue with erasure of an unknown bit (that is, without a copy) is that the initial state cannot be in an eigenstate, because the device itself is a memory bit. If a copy of the bit exists then the system can be biased into the state it is in, making the initial state an eigenstate. This state can then be smoothly moved past other eigenstates (with appropriate anti-crossing behavior) as seen in Figure 10b. This is the quantum mechanical basis for the Landauer Principle at its most fundamental level.
Using the copy of a bit to erase does not require increased circuit complexity. In typical QCA circuits such as shift registers and majority gates, this happens automatically [20]. The bit is represented by a bit packet that includes several cells, each of which provides a bias to the neighbors. Biasing each cell to the state it is already in therefore happens through Coulomb interaction with neighboring cells.
The exception is the “loser” input to a majority gate, which necessarily loses information and therefore dissipates the bit energy. If all three input bits to the majority gate are the same, there is no loss of information, no erasure, and no necessary energy dissipation. If exactly two of the input bits are the same, say 1, then the output will be a 1 no matter whether the third input is a 0 or a 1. That information is therefore lost (erased) and an amount of heat greater than will be dissipated.
The exponential adiabatic decrease in the excitation energy associated with switching QCA devices, and therefore the associated power dissipation, represents a potentially very significant advantage for this emerging paradigm.
Author Contributions
Both the authors contributed equally to the paper.
Funding
This research received no external funding.
Conflicts of Interest
The authors declare no conflict of interest.
References
- Wilson, L. International Technology Roadmap for Semiconductors (ITRS); Semiconductor Industry Association: Washington, DC, USA, 2013. [Google Scholar]
- Welser, J.J.; Bourianoff, G.I.; Zhirnov, V.V.; Cavin, R.K. The quest for the next information processing technology. J. Nanopart. Res. 2008, 10, 1–10. [Google Scholar] [CrossRef]
- Boechler, G.P.; Whitney, J.M.; Lent, C.S.; Orlov, A.O.; Snider, G.L. Fundamental limits of energy dissipation in charge-based computing. Appl. Phys. Lett. 2010, 97, 103502. [Google Scholar] [CrossRef]
- Landauer, R. Irreversibility and heat generation in the computing process. IBM J. Res. Dev. 1961, 5, 183–191. [Google Scholar] [CrossRef]
- Lent, C.S.; Tougaw, P.D. A device architecture for computing with quantum dots. Proc. IEEE 1997, 85, 541–557. [Google Scholar] [CrossRef]
- Kummamuru, R.K.; Timler, J.; Toth, G.; Lent, C.S.; Ramasubramaniam, R.; Orlov, A.O.; Bernstein, G.H.; Snider, G.L. Power gain in a quantum-dot cellular automata latch. Appl. Phys. Lett. 2002, 81, 1332–1334. [Google Scholar] [CrossRef]
- Orlov, A.O.; Kummamuru, R.; Ramasubramaniam, R.; Lent, C.S.; Bernstein, G.H.; Snider, G.L. A two-stage shift register for clocked quantum-dot cellular automata. J. Nanosci. Nanotechnol. 2002, 2, 351–355. [Google Scholar] [CrossRef] [PubMed]
- Christie, J.A.; Forrest, R.P.; Corcelli, S.A.; Wasio, N.A.; Quardokus, R.C.; Brown, R.; Kandel, S.A.; Lu, Y.; Lent, C.S.; Henderson, K.W. Synthesis of a Neutral Mixed-Valence Diferrocenyl Carborane for Molecular Quantum-Dot Cellular Automata Applications. Angew. Chem. 2015, 127, 15668–15671. [Google Scholar] [CrossRef]
- Qi, H.; Sharma, S.; Li, Z.H.; Snider, G.L.; Orlov, A.O.; Lent, C.S.; Fehlner, T.P. Molecular quantum cellular automata cells. Electric field driven switching of a silicon surface bound array of vertically oriented two-dot molecular quantum cellular automata. J. Am. Chem. Soc. 2003, 125, 15250–15259. [Google Scholar] [CrossRef] [PubMed]
- Lent, C.S.; Isaksen, B. Clocked molecular quantum-dot cellular automata. IEEE Trans. Electron Devices 2003, 50, 1890–1896. [Google Scholar] [CrossRef]
- Jiao, J.; Long, G.; Grandjean, F.; Beatty, A.; Fehlner, T. Building blocks for the molecular expression of Quantum Cellular Automata: Isolation and charactacterization of a covalently bonded square array of two ferrocenium and two ferrocene complexes. J. Am. Chem. Soc. 2003, 125, 7522–7523. [Google Scholar] [CrossRef] [PubMed]
- Blair, E.P.; Yost, E.; Lent, C.S. Power dissipation in clocking wires for clocked molecular quantum-dot cellular automata. J. Comput. Electron. 2010, 9, 49–55. [Google Scholar] [CrossRef]
- Griffiths, D.J.; Schroeter, D.F. Introduction to Quantum Mechanics; Cambridge University Press: Cambridge, UK, 2018. [Google Scholar]
- Shampine, L.F.; Reichelt, M.W. The matlab ode suite. SIAM J. Sci. Comput. 1997, 18, 1–22. [Google Scholar] [CrossRef]
- Landau, L.D. Zur theorie der energieubertragung II. Phys. Z. Sowjetunion 1932, 2, 1–13. [Google Scholar]
- Zener, C. Non-adiabatic crossing of energy levels. Proc. R. Soc. Lond. A 1932, 137, 696–702. [Google Scholar] [CrossRef]
- Wittig, C. The Landau- Zener Formula. J. Phys. Chem. B 2005, 109, 8428–8430. [Google Scholar] [CrossRef] [PubMed]
- Hänninen, I.; Lu, H.; Blair, E.P.; Lent, C.S.; Snider, G.L. Reversible and adiabatic computing: energy-efficiency maximized. In Field-Coupled Nanocomputing; Springer: Berlin, Germany, 2014; pp. 341–356. [Google Scholar]
- Comparat, D. General conditions for quantum adiabatic evolution. Phys. Rev. A 2009, 80, 012106. [Google Scholar] [CrossRef]
- Lent, C.S.; Liu, M.; Lu, Y. Bennett clocking of quantum-dot cellular automata and the limits to binary logic scaling. Nanotechnology 2006, 17, 4240. [Google Scholar] [CrossRef] [PubMed]
© 2018 by the authors. Licensee MDPI, Basel, Switzerland. This article is an open access article distributed under the terms and conditions of the Creative Commons Attribution (CC BY) license (http://creativecommons.org/licenses/by/4.0/).












