Evolutionary Game Analysis of AI-Generated Disinformation Governance on UGC Platforms Based on Prospect Theory
Abstract
1. Introduction
2. Literature Review
2.1. Research on the Governance of AI-Generated Disinformation
2.2. Evolutionary Game Research on Disinformation Governance
2.3. Application of Prospect Theory in Evolutionary Games of Social Governance
2.4. Research Gaps and Innovations
3. Model Construction
3.1. Problem Description
3.2. Model Assumptions
3.3. Payoff Matrix Construction
3.4. Construction of the Replicator Dynamics Equation
4. Stability Analysis
4.1. Analysis of Players’ Evolutionary Stable Strategies
4.1.1. Analysis of the Platform’s Evolutionary Stable Strategy
4.1.2. Analysis of the User’s Evolutionary Stable Strategy
4.1.3. Analysis of the Government’s Evolutionary Stable Strategy
4.2. Stability Analysis of System Equilibrium Points
5. Simulation Analysis
5.1. Analysis of System Evolution Stability Test
5.2. Analysis of Influencing Factors
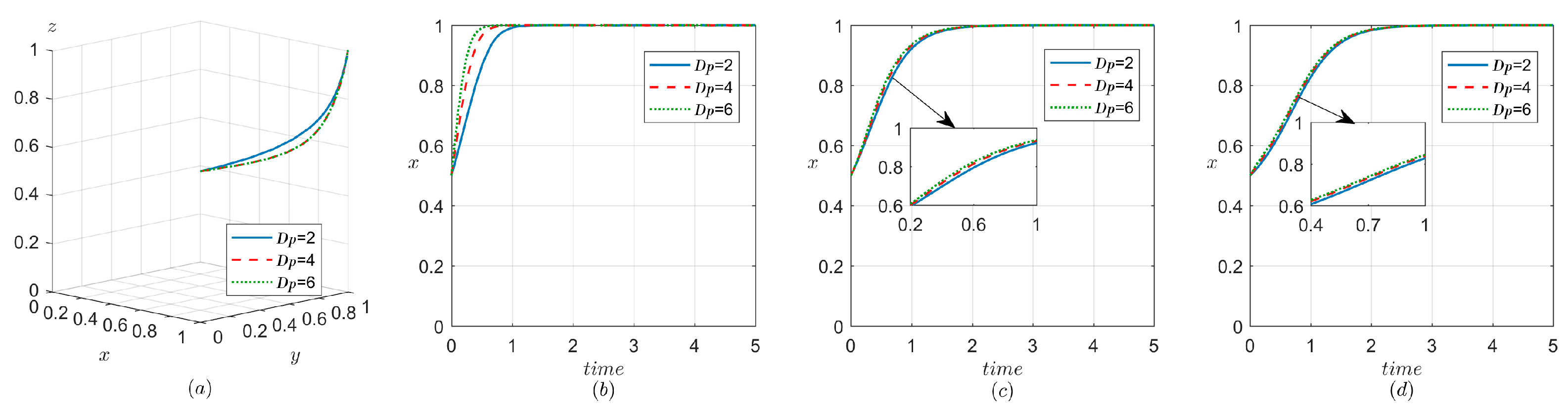
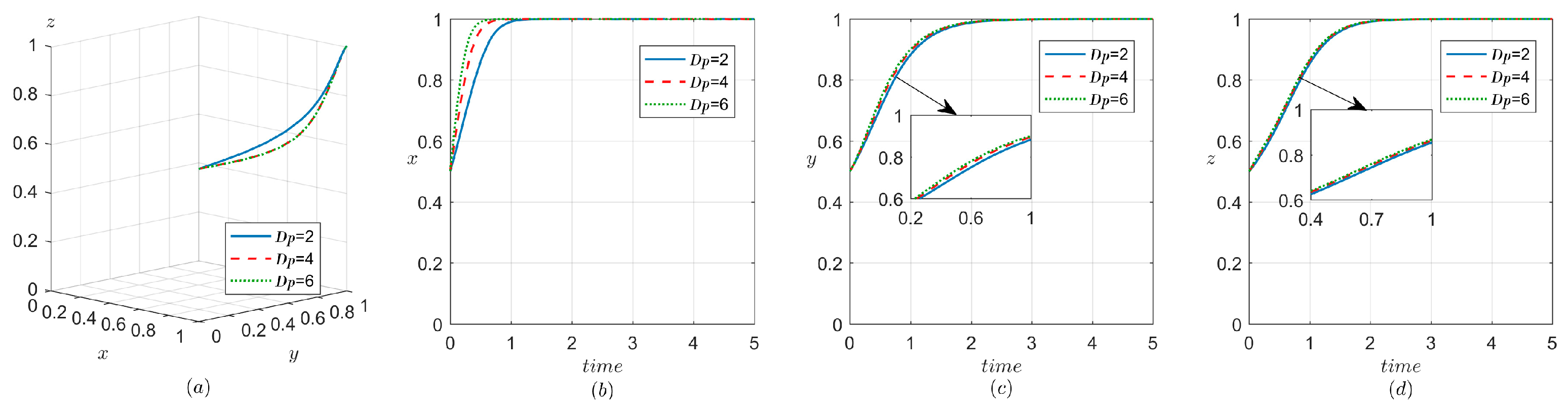
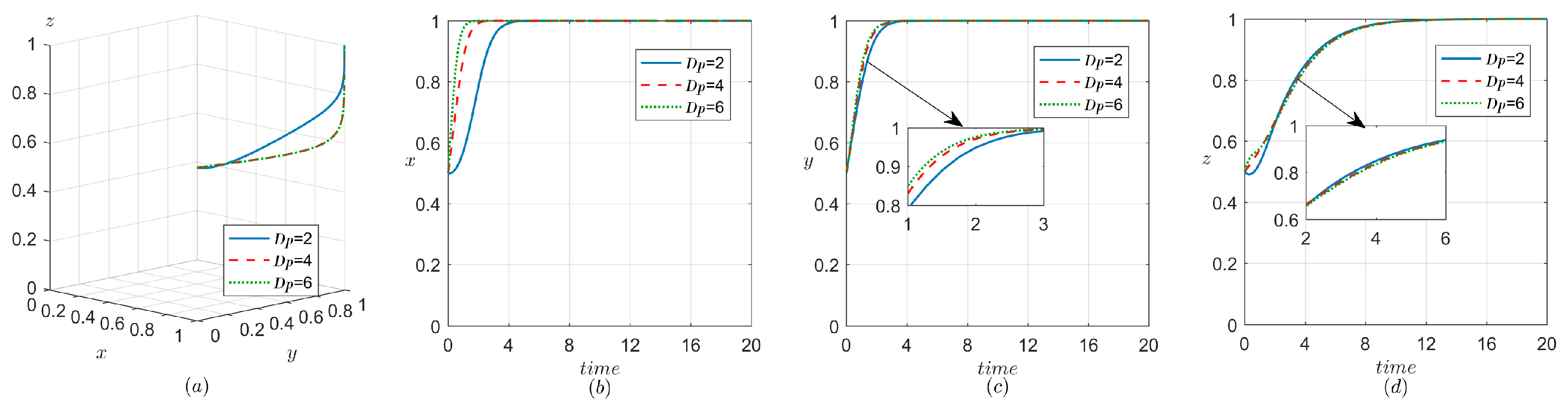
5.2.1. Impact of Government Reward–Penalty Mechanisms on Evolutionary Paths
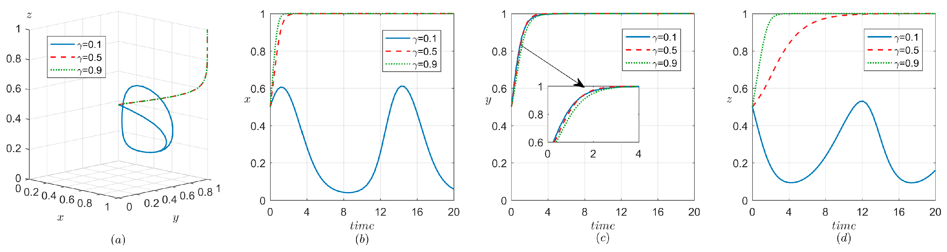
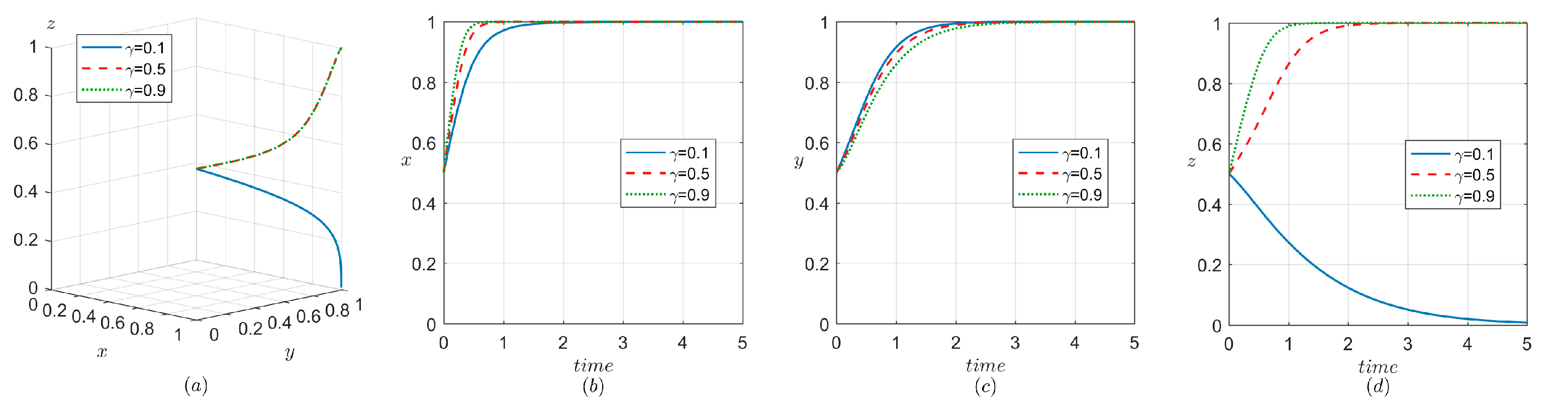
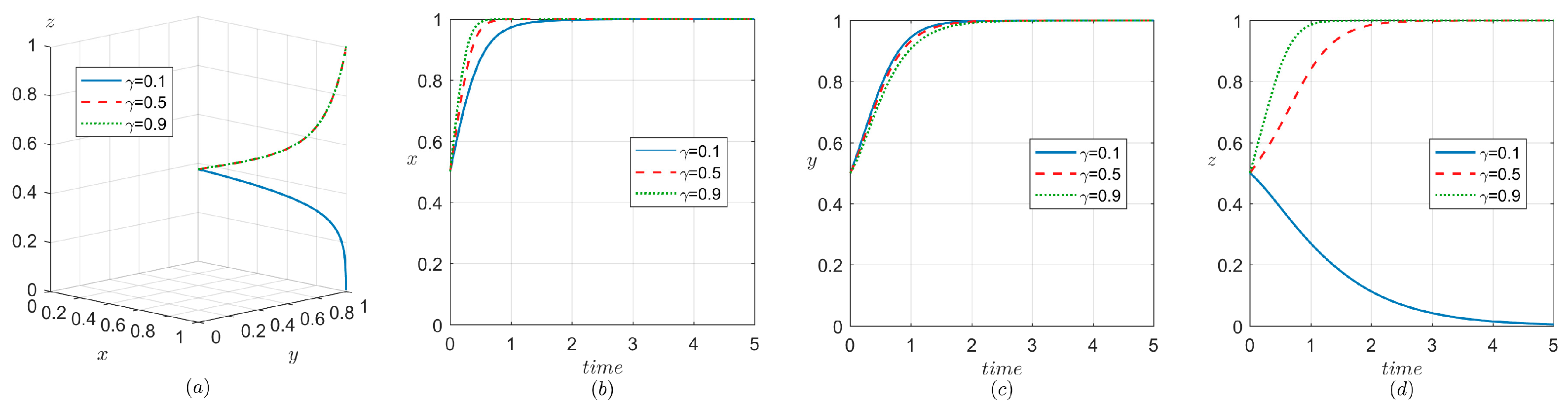
5.2.2. Impact of User Digital Literacy on Evolutionary Paths
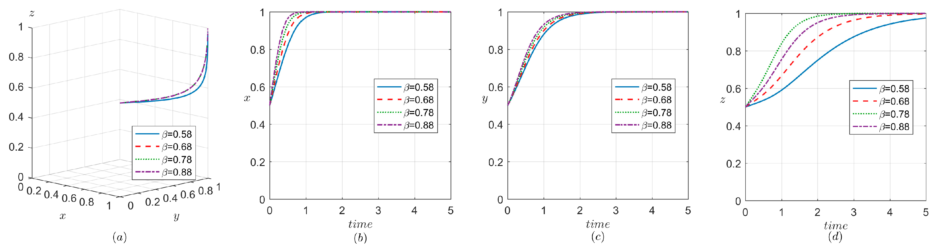
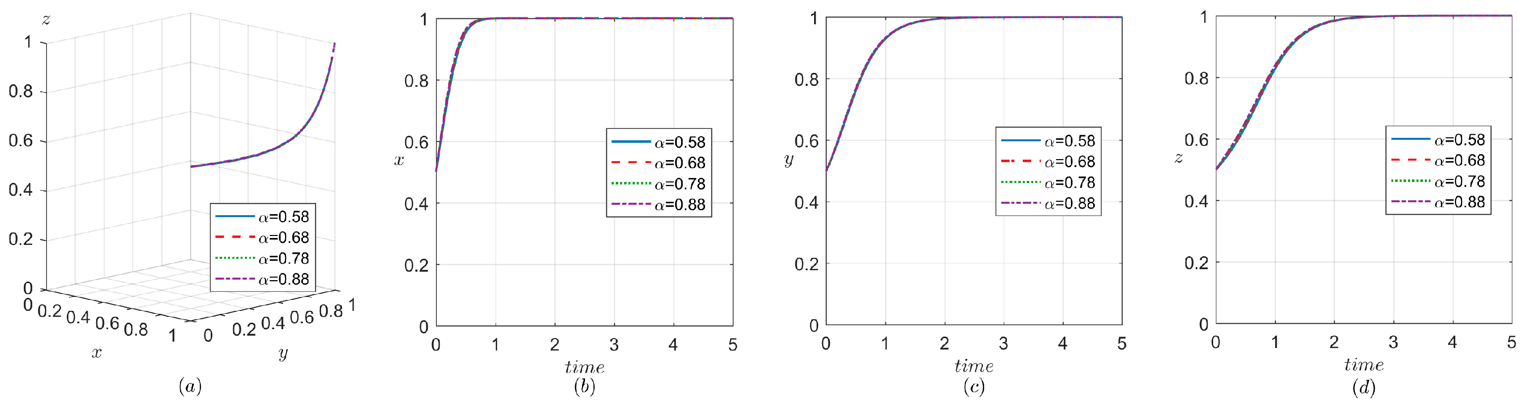
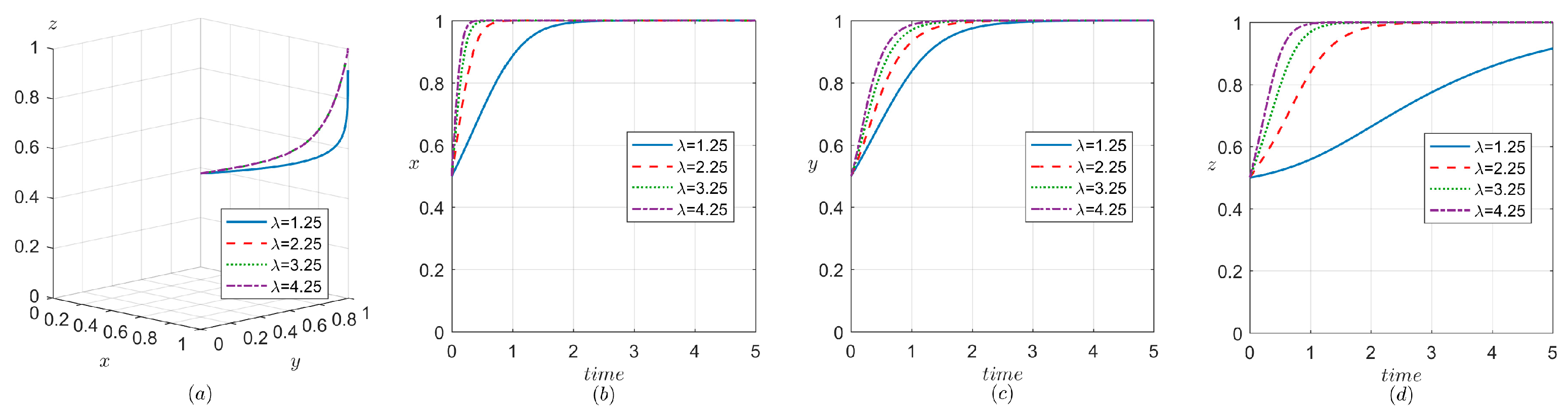
5.2.3. Impact of Risk Preference and Loss Aversion Coefficient on Evolutionary Paths
5.3. Practical Case Validation
6. Discussion
6.1. Conclusions
6.2. Recommendations
6.3. Limitations and Future Directions
Author Contributions
Funding
Data Availability Statement
Acknowledgments
Conflicts of Interest
Abbreviations
| GAI | Generative Artificial Intelligence |
| UGC | User-generated content |
| AIGC | Artificial intelligence-generated content |
| AIGD | Artificial intelligence-generated disinformation/AI-generated disinformation |
| LLMs | Large Language Models |
| ESS | Evolutionarily stable strategies |
| EGT | Evolutionary game theory |
| PT | Prospect theory |
| MCNs | Multi-Channel Networks |
Appendix A. Simulation Results Under Differentiated PT Parameters
Appendix A.1. Analysis of System Evolution Stability Test

Appendix A.2. Analysis of Influencing Factors





Appendix B. Simulation Results Under Perfect Rationality
Appendix B.1. Analysis of System Evolution Stability Test

Appendix B.2. Analysis of Influencing Factors





Appendix C. Simulation Result of α

References
- Tronnier, F.; Pomrehn, L.; Navakumaran, R. Motivated or Overwhelmed? A Qualitative Study on Technostress in Generative Artificial Intelligence Use. In Proceedings of the International Conference on Information Systems (ICIS 2025), Nashville, TN, USA, 13–17 December 2025; Available online: https://aisel.aisnet.org/icis2025/is_transformwork/is_transformwork/1 (accessed on 4 February 2026).
- Wang, Y.; Pan, Y.; Yan, M.; Su, Z.; Luan, T.H. A Survey on ChatGPT: AI-Generated Contents, Challenges, and Solutions. IEEE Open J. Comput. Soc. 2023, 4, 280–302. [Google Scholar] [CrossRef]
- Guo, D.; Chen, H.; Wu, R.; Wang, Y. AIGC Challenges and Opportunities Related to Public Safety: A Case Study of ChatGPT. J. Saf. Sci. Resil. 2023, 4, 329–339. [Google Scholar] [CrossRef]
- Kehkashan, T.; Riaz, R.A.; Al-Shamayleh, A.S.; Akhunzada, A.; Ali, N.; Hamza, M.; Akbar, F. AI-Generated Text Detection: A Comprehensive Review of Methods, Datasets, and Applications. Comput. Sci. Rev. 2025, 58, 100793. [Google Scholar] [CrossRef]
- Lyu, S. DeepFake the Menace: Mitigating the Negative Impacts of AI-Generated Content. Organ. Cybersecur. J. Pract. Process People 2024, 4, 1–18. [Google Scholar] [CrossRef]
- Eisenstein, M. Seven Technologies to Watch in 2024. Nature 2024, 625, 844–848. [Google Scholar] [CrossRef]
- Cyberspace Administration of China. Provisions on the Governance of the Online Information Content Ecosystem; Cyberspace Administration of China: Beijing, China, 2019. Available online: http://www.npc.gov.cn/npc/c2/c30834/201912/t20191223_303632.html (accessed on 3 September 2025). (In Chinese)
- He, Y.H.; Li, X. New Challenges and Countermeasures of False Information Governance in Generative Artificial Intelligence—Based on the Agile Governance Perspective. Gov. Stud. 2024, 40, 142–156+160. (In Chinese) [Google Scholar] [CrossRef]
- Taeihagh, A. Governance of Generative AI. Policy Soc. 2025, 44, 1–22. [Google Scholar] [CrossRef]
- Qi, H.X. Content Review Responsibility of Digital Publishing Platforms in AIGC Risk Governance. Publ. Res. 2024, 9, 79–86+31. (In Chinese) [Google Scholar] [CrossRef]
- Del Vicario, M.; Bessi, A.; Zollo, F.; Petroni, F.; Scala, A.; Caldarelli, G.; Stanley, H.E.; Quattrociocchi, W. The Spreading of Misinformation Online. Proc. Natl. Acad. Sci. USA 2016, 113, 554–559. [Google Scholar] [CrossRef] [PubMed]
- Zhang, F.M.; Zhang, L.Q.; Zhu, S.Q. A Method for Multi-Stage Mixed Information Decision-Making Based on Prospect Theory. Chin. J. Manag. 2024, 21, 605–615. (In Chinese) [Google Scholar] [CrossRef]
- Ren, G.; Jiang, L.; Huang, T.; Yang, Y.; Xie, R. LLM-Enhanced Multi-Task Joint Learning Model for Misinformation Detection. Inf. Process. Manag. 2025, 62, 104305. [Google Scholar] [CrossRef]
- Sun, Y.; Sheng, D.; Zhou, Z.; Wu, Y. AI Hallucination: Towards a Comprehensive Classification of Distorted Information in Artificial Intelligence-Generated Content. Humanit. Soc. Sci. Commun. 2024, 11, 1278. [Google Scholar] [CrossRef]
- Yan, S.; Wang, Z.; Dobolyi, D. An Explainable Framework for Assisting the Detection of AI-Generated Textual Content. Decis. Support Syst. 2025, 196, 114498. [Google Scholar] [CrossRef]
- Athira, A.B.; Kumar, S.D.M.; Chacko, A.M. Pretrained Transformers for Multimodal Fake News Detection: Explainability Using SHapley Additive exPlanations for Contributions from Text, Image, and Image Captions. Eng. Appl. Artif. Intell. 2025, 162, 112590. [Google Scholar] [CrossRef]
- Chen, X.; Huang, X.; Gao, Q.; Huang, L.; Liu, G. Enhancing Text-Centric Fake News Detection via External Knowledge Distillation from LLMs. Neural Netw. 2025, 187, 107377. [Google Scholar] [CrossRef]
- Xie, S.; Qiao, T.; Li, S.; Zhang, X.; Zhou, J.; Feng, G. DeepFake Detection in the AIGC Era: A Survey, Benchmarks, and Future Perspectives. Inf. Fusion 2026, 127, 103740. [Google Scholar] [CrossRef]
- Qi, C.H. Research on the Risks of Disinformation from Generative Artificial Intelligence and Its Governance Paths. Inf. Stud. Theory Appl. 2024, 47, 112–120. (In Chinese) [Google Scholar] [CrossRef]
- Cui, M.; Wang, Y.; Miao, C.; Yang, M.; Lin, Y.; Wang, C. Study on the Evolution of Public Opinion Dynamics and Control Strategies for Collaborative Management by Government, Mainstream Media, and Self-Media. IEEE Trans. Comput. Soc. Syst. 2025, early access. [Google Scholar] [CrossRef]
- Tsang, S.J.; Zhou, L. Understanding Public Preference for Misinformation Interventions: Support for Digital Platform Monitoring, Media Literacy Education and Legislation. Online Inf. Rev. 2025, 49, 791–807. [Google Scholar] [CrossRef]
- Meng, Y. Governing AI Virtual Anchors in China’s Live Streaming E-Commerce Ecosystem: Policy Challenges and Global Implications. Telecommun. Policy 2026, 50, 103109. [Google Scholar] [CrossRef]
- Zhao, H.; Liu, X.; Wang, Y. Tripartite Evolutionary Game Analysis for Rumor Spreading on Weibo Based on MA-PT. IEEE Access 2021, 9, 90043–90060. [Google Scholar] [CrossRef]
- Peng, Z.Y.; Xu, P.L.; Wang, Y.Q. Content Governance Strategy of UGC Platform: Tripartite Game with Participation of Intermediary. J. Syst. Manag. 2020, 29, 1101–1112. (In Chinese) [Google Scholar]
- Guo, Z.; Valinejad, J.; Cho, J.-H. Effect of Disinformation Propagation on Opinion Dynamics: A Game Theoretic Approach. IEEE Trans. Netw. Sci. Eng. 2022, 9, 3775–3790. [Google Scholar] [CrossRef]
- Li, X.; Li, Q.; Du, Y.; Fan, Y.; Chen, X.; Shen, F.; Xu, Y. A Novel Tripartite Evolutionary Game Model for Misinformation Propagation in Social Networks. Secur. Commun. Netw. 2022, 2022, 1136144. [Google Scholar] [CrossRef]
- Xie, J.; Wang, Z. The Influence of Injunctive Norm on the Effect of Misinformation Correction. Libr. Inf. Serv. 2024, 68, 102–112. (In Chinese) [Google Scholar] [CrossRef]
- Liu, J.; Song, M.; Fu, G. Intervention Analysis for Fake News Diffusion: An Evolutionary Game Theory Perspective. Nonlinear Dyn. 2024, 112, 14657–14675. [Google Scholar] [CrossRef]
- Guo, H.L.; Wei, J.J.; Liu, Z.S. Research on Collaborative Governance with Generative Artificial Intelligence in Disinformation. J. Intell. 2024, 43, 121–129+165. (In Chinese) [Google Scholar] [CrossRef]
- Wang, R.; Tai, Y. How Does Blockchain Mitigate False Advertising in Live Streaming E-Commerce? A Tripartite Stochastic Evolutionary Game Approach. J. Retail. Consum. Serv. 2025, 85, 104287. [Google Scholar] [CrossRef]
- Ma, R.; Wang, X.; Yang, G.-R. Fighting Fake News in the Age of Generative AI: Strategic Insights from Multi-Stakeholder Interactions. Technol. Forecast. Soc. Change 2025, 216, 124125. [Google Scholar] [CrossRef]
- Chu, J.; Fan, X. Research on the Multi-Dimensional Causes and Governance Strategies of Information Pollution in the AIGC Environment. Inf. Stud. Theory Appl. 2026, 49, 38–46. (In Chinese) [Google Scholar] [CrossRef]
- Nie, H.; Zhu, J. Two-Stage Decision-making Method in Response to Public Opinion Crisis Derived from Emergency Considering Emotion Evolution. Chin. J. Manag. Sci. 2025, 33, 112–125. (In Chinese) [Google Scholar] [CrossRef]
- Kahneman, D.; Tversky, A. Prospect Theory: An Analysis of Decision under Risk. Econometrica 1979, 47, 263–291. [Google Scholar] [CrossRef]
- Tversky, A.; Kahneman, D. Advances in Prospect Theory: Cumulative Representation of Uncertainty. J. Risk Uncertain. 1992, 5, 297–323. [Google Scholar] [CrossRef]
- Chen, Y.; Liu, X.; Tadikamalla, P.R.; Qu, M.; Wang, Y. Evolutionary Game Analysis for Multi-Level Collaborative Governance under Public Crisis in China: From a Value Perception Perspective. Risk Anal. 2024, 44, 582–611. [Google Scholar] [CrossRef]
- Chen, T.; Wu, X.; Wang, B.; Yang, J. The Role of Behavioral Decision-Making in Panic Buying Events during COVID-19: From the Perspective of an Evolutionary Game Based on Prospect Theory. J. Retail. Consum. Serv. 2025, 82, 104067. [Google Scholar] [CrossRef]
- Bu, Z.; Liu, J.; Liu, J. The Double-Edged Effect of Social Media in the Collaborative Governance of PPP Projects from a Value Perception Perspective. Sustain. Cities Soc. 2025, 128, 106468. [Google Scholar] [CrossRef]
- Hu, H.; Guo, X.; Liang, Y. Game Analysis of the Three-Way Evolution of Network Rumor Control under the Major Epidemic Based on Prospect Theory. Inf. Sci. 2021, 39, 45–53. (In Chinese) [Google Scholar] [CrossRef]
- Luo, J.B.; Xie, W.H. Research on Governance Mechanism of “Low Level” Vulgar Content on Live Broadcasting Platform Based on Non-participating Interactive Public. Oper. Res. Manag. Sci. 2022, 31, 227–233. (In Chinese) [Google Scholar]
- Hojati, A.; Nault, B.R. Content Moderation with Shadowbanning. Inf. Syst. Res. 2025, articles in advance. [Google Scholar] [CrossRef]
- Sun, Y.L.; Du, Y.W. Analysis on the Evolutionary Game of Technology Collaborative Innovation of Marine Ranching Enterprises from the Perspective of Prospect Theory. Sci. Technol. Manag. Res. 2023, 43, 154–167. (In Chinese) [Google Scholar] [CrossRef]
- Barberis, N.C. Thirty Years of Prospect Theory in Economics: A Review and Assessment. J. Econ. Perspect. 2013, 27, 173–196. [Google Scholar] [CrossRef]
- Yao, Y. The Political EconomyCauses for China’s Economic Success. Res. Econ. Manag. 2018, 39, 3–12. (In Chinese) [Google Scholar] [CrossRef]
- Seetharaman, A.; Gul, F.A.; Lynn, S.G. Litigation Risk and Audit Fees: Evidence from UK Firms Cross-Listed on US Markets. J. Account. Econ. 2002, 33, 91–115. [Google Scholar] [CrossRef]
- Mo, Z.Y.; Pan, D.Q.; Liu, H.; Zhao, Y.M. Analysis on AIGC False Information Problem and Root Cause from the Perspective of Information Quality. Doc. Inf. Knowl. 2023, 40, 32–40. (In Chinese) [Google Scholar] [CrossRef]
- Bromiley, P.; Rau, D. Some Problems in Using Prospect Theory to Explain Strategic Management Issues. Acad. Manag. Perspect. 2019, 36, 125–141. [Google Scholar] [CrossRef]
- Taylor, P.D.; Jonker, L.B. Evolutionary Stable Strategies and Game Dynamics. Math. Biosci. 1978, 40, 145–156. [Google Scholar] [CrossRef]
- Li, P.; Wu, B.; Wu, N. The Three-Party Evolutionary Game of Preannouncement Strategies for Platform’s AI Updates Considering Users’ Loyalties. Eng. Appl. Artif. Intell. 2025, 162, 112782. [Google Scholar] [CrossRef]
- Lei, L.; Gao, S.; Zeng, E. Regulation Strategies of Ride-Hailing Market in China: An Evolutionary Game Theoretic Perspective. Electron. Commer. Res. 2020, 20, 535–563. [Google Scholar] [CrossRef]
- Friedman, D. Evolutionary Games in Economics. Econometrica 1991, 59, 637–666. [Google Scholar] [CrossRef]
- Ma, R.; Mai, Y.; Hu, B. User-Generated Content Platforms: Managing the Relationship Triangle. Manuf. Serv. Oper. Manag. 2025, 27, 1258–1274. [Google Scholar] [CrossRef]
- Li, C.; Li, H.; Tao, C. Evolutionary Game of Platform Enterprises, Government and Consumers in the Context of Digital Economy. J. Bus. Res. 2023, 167, 113858. [Google Scholar] [CrossRef]
- Han, Y.; Li, X.; Feng, Z. Conceptual Connotation and Research Progress of Digital Literacy. Stud. Sci. Pop. 2025, 20, 48–57+125. (In Chinese) [Google Scholar] [CrossRef]













| Variable Type | Parameter | Definition | Parameter | Definition |
|---|---|---|---|---|
| Fundamental Variables | α | Risk preference coefficient in the perceived benefit function (α∈[0, 1]) | Positive network ecological externalities brought to the government by active platform governance | |
| β | Risk preference coefficient in the perceived loss function (β∈[0, 1]) | Positive network ecological externalities brought to users by active platform governance | ||
| λ | Loss aversion coefficient in the perceived loss function (λ∈[1, ∞)) | Economic benefits gained by the platform through active governance | ||
| x | Probability that the platform adopts an active governance strategy (x∈[0, 1]) | Economic benefits gained by the platform through passive governance | ||
| y | Probability that the user adopts a governance-participation strategy (y∈[0, 1]) | Posting benefits for users who use GAI normally | ||
| z | Probability that the government adopts a stringent supervision strategy (z∈[0, 1]) | Posting benefits for users who use GAI maliciously | ||
| m | Probability that the user maliciously uses GAI(Generative artificial intelligence) (m∈[0, 1]) | Negative network ecological externalities imposed on the government by passive platform governance | ||
| μ | The platform’s review intensity for AIGD(AI-generated disinformation) (μ∈[0, 1]) | Negative network ecological externalities imposed on users by passive platform governance | ||
| γ | Willingness of user participation in monitoring (γ∈[0, 1]) | Government’s reward for the platform’s active governance | ||
| ε | Government’s regulatory intensity on AIGD (ε∈[0, 1]) | Government’s penalty for the platform’s passive governance | ||
| Governance cost of the platform for active governance | Government’s reward for users’ participation in supervision | |||
| Supervision cost for users participating in supervision | Platform’s punishment for users’ malicious content creation | |||
| Creation cost for users when using GAI | Platform’s compensation to users for network ecological damage | |||
| Supervision cost of the government for stringent supervision | Loss of government credibility when users detect lenient government supervision | |||
| Loss of platform reputation when users detect passive platform governance | ||||
| Perceived Value Variables | Government’s perceived benefit from positive network ecological externalities | Users’ perceived benefit from government rewards | ||
| Users’ perceived benefit from positive network ecological externalities | Government’s perceived loss from rewarding users | |||
| Government’s perceived loss from negative network ecological externalities | Perceived losses perceived by malicious content users due to platform punishment | |||
| Users’ perceived loss from negative network ecological externalities | Platform’s perceived benefits from punishing malicious content users | |||
| Platform’s perceived benefit from government rewards | Users’ perceived benefit from compensation for network ecological damage | |||
| Government’s perceived loss from rewarding the platform | Platform’s perceived loss from compensation for network ecological damage | |||
| Platform’s perceived loss from government punishment | Government’s perceived loss from credibility loss | |||
| Government’s perceived benefit from punishing the platform | Platform’s perceived loss from reputation loss |
| Platform Strategy | User Strategy | Government Strategy | |
|---|---|---|---|
| Stringent Supervision (z) | Lenient Supervision (1 − z) | ||
| Active Governance (x) | Governance Participation (y) | ||
| Non-participation in Governance (1 − y) | |||
| Passive Governance (1 − x) | Governance Participation (y) | ||
| Non-participation in Governance (1 − y) | |||
| Potential Equilibrium Point | Eigenvalues of the Jacobian Matrix | ||
|---|---|---|---|
| E1(0,0,0) | −a | −e | −h |
| E2(1,0,0) | a | −e + d | −h + f |
| E3(0,1,0) | −a − b | e | g − h |
| E4(0,0,1) | −a − c | ) | h |
| E5(1,1,0) | a + b | e − d | −h + f + g |
| E6(1,0,1) | a + c | −e + d | h − f |
| E7(0,1,1) | ) | ) | h − g |
| E8(1,1,1) | ) | e − d | h − f − g |
| Parameter | Value | Parameter | Value | Parameter | Value |
|---|---|---|---|---|---|
| α | 0.88 | 5 | 2 | ||
| β | 0.88 | 1 | 4 | ||
| λ | 2.25 | 4 | 1 | ||
| m | 0.3 | 3 | 3 | ||
| μ | 0.5 | 6 | 2 | ||
| γ | 0.5 | 2 | 5 | ||
| ε | 0.5 | 5 | 4 |
| Parameter | Baseline Value | Douyin Platform Value | Basis for Assignment |
|---|---|---|---|
| 2.25 | 2.50 | Disinformation on Douyin tends to trigger large-scale public sentiment events, making the government highly sensitive to the loss of public credibility and exhibiting a high degree of loss aversion. | |
| 2.25 | 2.25 | The Douyin platform is sensitive to regulatory penalties and damage to brand reputation, exhibiting a strong tendency toward loss aversion. | |
| 2.25 | 2.00 | The Douyin user base is diverse, and ordinary individuals exhibit a relatively low degree of loss aversion. | |
| m | 0.3 | 0.25 | Douyin has strict labeling and review rules for AIGC content, resulting in a lower probability of users maliciously using GAI. |
| γ | 0.5 | 0.8 | Douyin has a large user base and a well-established reporting mechanism, resulting in users’ willingness to supervise being significantly higher than the industry average. |
| 5 | 4 | Douyin has mature AI-assisted review technologies and a high coverage rate of automated review, resulting in the governance cost per piece of content being significantly lower than the industry average. | |
| 1 | 0.8 | Douyin provides convenient reporting channels and rapid feedback, resulting in lower time costs for users to participate in supervision. | |
| 2 | 3 | The brand premium and traffic support benefits derived from Douyin’s compliant operations are higher, providing stronger positive incentives for active governance. | |
| 4 | 5 | AIGD has a broad reach and significant public sentiment impact, with regulatory penalties and reputational losses being more pronounced. | |
| 4 | 4.5 |
Disclaimer/Publisher’s Note: The statements, opinions and data contained in all publications are solely those of the individual author(s) and contributor(s) and not of MDPI and/or the editor(s). MDPI and/or the editor(s) disclaim responsibility for any injury to people or property resulting from any ideas, methods, instructions or products referred to in the content. |
© 2026 by the authors. Licensee MDPI, Basel, Switzerland. This article is an open access article distributed under the terms and conditions of the Creative Commons Attribution (CC BY) license.
Share and Cite
Lei, L.; Wu, Y.; Gao, S. Evolutionary Game Analysis of AI-Generated Disinformation Governance on UGC Platforms Based on Prospect Theory. Systems 2026, 14, 416. https://doi.org/10.3390/systems14040416
Lei L, Wu Y, Gao S. Evolutionary Game Analysis of AI-Generated Disinformation Governance on UGC Platforms Based on Prospect Theory. Systems. 2026; 14(4):416. https://doi.org/10.3390/systems14040416
Chicago/Turabian StyleLei, Licai, Yanyan Wu, and Shang Gao. 2026. "Evolutionary Game Analysis of AI-Generated Disinformation Governance on UGC Platforms Based on Prospect Theory" Systems 14, no. 4: 416. https://doi.org/10.3390/systems14040416
APA StyleLei, L., Wu, Y., & Gao, S. (2026). Evolutionary Game Analysis of AI-Generated Disinformation Governance on UGC Platforms Based on Prospect Theory. Systems, 14(4), 416. https://doi.org/10.3390/systems14040416
