Next Article in Journal
Turning Knowledge into Innovation: The Systemic Role of Knowledge Management Capability, Intellectual Capital, and Knowledge Utilization
Previous Article in Journal
Research on User Experience of Hotel Service Robots from the Perspective of Human–Machine Collaborative Value Creation
 
 
Font Type:
Arial Georgia Verdana
Font Size:
Aa Aa Aa
Line Spacing:
Column Width:
Background:
Article

Does Innovation in New Energy Vehicle Enterprises Always Enhance Enterprise Value? Evidence from China

1
School of Economics and Management, Beijing Jiaotong University, Beijing 100044, China
2
School of Economics and Business Administration, Chongqing University, Chongqing 400044, China
*
Author to whom correspondence should be addressed.
Systems 2026, 14(2), 178; https://doi.org/10.3390/systems14020178
Submission received: 18 December 2025 / Revised: 29 January 2026 / Accepted: 3 February 2026 / Published: 5 February 2026
(This article belongs to the Section Systems Practice in Social Science)

Abstract

Although innovation is widely recognized as an important driving force for enterprise development, there may not be a simple linear relationship between innovation and enterprise value. An in-depth investigation of the relationship between enterprise innovation and enterprise value is of great significance for the development of new energy vehicle (NEV) enterprises and the industry. Utilizing the sample of Chinese NEV listed companies from 2012 to 2022, this study empirically examines the effects of enterprise innovation on enterprise value from two perspectives: innovation input and innovation output. The results indicate that enterprise innovation does not necessarily promote the growth of enterprise value in all cases. Innovation input exhibits a U-shaped effect on enterprise value, while innovation output has a linear positive impact. And the operational efficiency of enterprises plays a partial mediating role. Furthermore, we explore the effects of internal and external environments on the relationship. High internal control costs weaken the U-shaped relationship of innovation input and reduce the positive impact of innovation output on value. In contrast, greater market competition attenuates the U-shaped effect of innovation input but strengthens the positive effect of innovation output on enterprise value. These findings highlight the contingent nature of innovation value creation in complex industrial systems and provide insights for strategy and policy in the NEV industry.

1. Introduction

With the increasing pressure from climate change and the global energy transition, green and low-carbon development has become a central policy objective for governments worldwide. In this context, new energy vehicles (NEV) have emerged as a critical technological alternative to traditional fuel vehicles and a key driver of transformation in the global automotive industry [1]. According to the International Energy Agency (IEA), NEVs accounted for approximately 18% of global vehicle sales in 2023. China, as the world’s largest NEV market, plays a pivotal role in this transition. Data from the China Association of Automobile Manufacturers (CAAM) show that NEV sales in China reached about 9.5 million units in 2023, ranking first globally for nine consecutive years.
Despite rapid market expansion, the NEV industry continues to face substantial technological and structural challenges. Core technologies—particularly batteries and electric drive systems—still suffer from limitations related to driving range, low-temperature performance, safety, charging infrastructure, and charging speed [2]. Additionally, the NEV industrial chain remains immature, particularly in terms of supply, recovery, and recycling of key battery materials. Existing projections indicate that demand for lithium, cobalt, and nickel, driven by NEV development, may increase dramatically between 2021 and 2050 [3]. The growing dependence on critical materials such as lithium, cobalt, and nickel further amplifies uncertainty and cost pressure, exposing firms to geopolitical and technological risks.
Against this background, technological innovation has become a central strategic response for NEV enterprises [4]. Policy initiatives such as China’s 14th Five-Year Plan and the New Energy Vehicle Industry Development Plan (2021–2035) explicitly emphasize innovation-driven development and enterprise-led technological upgrading. At the firm level, innovation is widely viewed as a key means to enhance competitiveness, improve production efficiency, and sustain long-term growth [5]. Most studies suggest that investment in research and development (R&D) helps enterprises accumulate new technologies and knowledge. Regardless of company size or ownership structure, firms that do not engage in R&D and technological innovation are bound to face decline and failure. For instance, Baumann and Kritikos [6] used a sample of German enterprises and found that investment in R&D improves productivity for both small and medium-sized enterprises (SMEs) and large enterprises. However, technological innovation requires substantial R&D investment, which may divert resources from other potential investment opportunities. Crowley and McCann [7] also pointed out that differences in firm characteristics, industry conditions, external economic environments (such as resource endowment), and national contexts may lead to varying research outcomes. However, innovation in the NEV industry is also associated with intensive R&D expenditure, high uncertainty, and delayed returns. Many firms are simultaneously navigating the transition from traditional vehicles to NEVs, with organizational routines, production processes, and cost structures still undergoing adjustment [8].
As a result, an important question arises: does enterprise innovation necessarily enhance enterprise value, or can it exert adverse effects at certain stages of the innovation process? Existing studies provide mixed evidence: while innovation investment may enhance productivity and long-term growth, it also involves substantial costs, long development cycles, and uncertain returns [9,10]. In the NEV industry, where enterprises often operate under rapid technological change and transitional production systems, innovation activities may disrupt existing organizational routines and resource allocations, potentially suppressing firm performance in the short term [11]. These conflicting effects suggest that the innovation–value relationship may be nonlinear, context-dependent, and shaped by internal organizational mechanisms.
From a systems perspective, enterprises can be viewed as adaptive systems composed of interrelated subsystems—such as innovation activities, operational processes, governance structures, and market interactions. Innovation may initially generate shocks to these subsystems, with enterprise value emerging only through subsequent adjustment, learning, and feedback processes [12]. Yet, current research rarely integrates nonlinearity, internal transmission mechanisms, and contextual conditions into a unified framework, particularly at the firm level within the NEV sector.
Against this background, the primary objective of this study is to systematically examine how enterprise innovation affects enterprise value in the NEV industry by explicitly accounting for nonlinear effects, internal mechanisms, and contextual moderators. To achieve this objective, this study addresses the following research questions: (1) Does innovation input exhibit a nonlinear relationship with enterprise value in NEV firms, and how does this differ from the effect of innovation output? (2) Through what internal mechanism does innovation influence enterprise value, and what role does operational efficiency play in this process? (3) How do internal control costs and external market competition condition the innovation–value relationship in NEV enterprises?
To address these questions, this study employs firm-level panel data from Chinese listed NEV enterprises and distinguishes between innovation input and innovation output. This analysis develops a unified framework to explain the nonlinear effects of innovation and the mediating role of operational efficiency. In addition, the study incorporates both internal organizational factors and external market conditions to capture the broader system within which enterprise innovation operates. This study offers several incremental yet substantive contributions to the literature on innovation and enterprise value. First, rather than focusing on a single dimension of innovation, the analysis explicitly distinguishes between innovation input and innovation output and examines their asymmetric effects on enterprise value. By allowing for nonlinear dynamics, the study provides evidence that innovation investment may initially constrain firm value before generating positive outcomes, while realized innovation outputs contribute more directly and consistently [13]. This distinction helps clarify previously mixed findings in innovation–performance research, particularly in innovation-intensive industries. Second, the study goes beyond direct innovation–value linkages by identifying operational efficiency as an internal transmission mechanism. Viewing firms as adaptive systems, the analysis shows how innovation-induced disruptions are absorbed through organizational adjustment and efficiency reconfiguration, offering a process-oriented explanation for how innovation translates into value over time. This perspective complements existing theories by emphasizing internal feedback and adaptation rather than static resource accumulation. Third, the study incorporates both internal governance conditions and external market environments into a unified analytical framework. By examining the moderating roles of control costs and market competition, the findings illustrate that innovation outcomes are contingent on organizational and competitive contexts. In addition, the firm-level evidence from China’s NEV industry—characterized by high uncertainty, long innovation cycles, and strong system interdependencies—extends empirical understanding of innovation-driven value creation in emerging and technology-intensive sectors.
The remaining parts of the study proceedings are as follows: Section 2 provides a literature review and proposes the research hypotheses. Section 3 describes the methodology, including the sample, data, variable selection and model construction. Section 4 presents the empirical results. Section 5 further develops the mechanism of action test and moderating effect analysis. Section 6 discusses the theoretical and managerial implications, and Section 7 concludes the study.

2. Literature Background and Research Hypotheses

2.1. Innovation and Enterprise Value

Existing research on the relationship between innovation and enterprise value presents mixed findings. Some studies suggest that innovation significantly enhances firm value by strengthening competitiveness and supporting long-term growth potential [14,15]. Others argue that innovation does not always generate positive effects and may even reduce enterprise value in the short term [16]. A third stream emphasizes the possibility of nonlinear effects, including threshold effects or U-shaped and inverted U-shaped relationships between innovation and enterprise value [13,17].
In the context of NEV enterprises, innovation investment is often accompanied by substantial uncertainty and long payback periods. On the one hand, innovation activities require continuous financial support and are usually associated with rising expenditures on human capital [18], administrative coordination [19], and technological safety and security [20]. These costs may crowd out resources for production and market expansion, resulting in short-term pressure on profitability. On the other hand, despite the rapid growth of the NEV industry, firms exhibit significant heterogeneity in their innovation capabilities and strategic orientations. Enterprises with insufficient innovation capacity or weak absorptive ability often face financial distress or even exit the market [21]. Moreover, NEV firms typically operate under conditions of high R&D intensity, long innovation cycles, and elevated technological risks. In the early stages of innovation, firms frequently encounter technological bottlenecks, managerial inexperience, and limited cost-control effectiveness. As a result, innovation input may initially suppress enterprise value.
However, the negative impact of innovation input on enterprise value is unlikely to persist over time. As innovation activities accumulate, enterprises gradually transform R&D investment into technological capability and organizational experience. Innovation theory suggests that sustained innovation is a fundamental source of long-term competitiveness and value creation. Empirical evidence also shows that increased R&D investment enables firms to develop proprietary technologies and intellectual property, strengthen market positioning, and enhance value creation capacity [22]. In addition, technological accumulation and learning effects derived from innovation activities can improve production efficiency and managerial coordination, reduce operating costs, and ultimately support the sustainable growth of enterprise value [23].
Compared with innovation input, innovation output more directly reflects the effectiveness and quality of a firm’s innovation activities. Innovation output, often measured by patents, captures the extent to which R&D investment is transformed into economically valuable knowledge. Prior studies indicate that innovation output can improve sales performance, profitability, and product differentiation, thereby generating higher commercial returns [24]. According to the theory of knowledge-based view, knowledge is a critical strategic resource that underpins sustained competitive advantage due to its value, scarcity, and difficulty of imitation [25]. For NEV enterprises, innovation output represents an important channel through which technological knowledge is embedded into products and production processes. On the one hand, patents help firms establish technological leadership and improve the matching between technology, products, and markets. On the other hand, strong innovation output enhances corporate reputation and signals technological capability to investors and customers, which supports long-term enterprise value growth [26].
Based on the above analysis, innovation input and innovation output may influence enterprise value through distinct pathways. Innovation input is likely to exhibit an “inflection point,” whereby its impact on enterprise value shifts from negative to positive as innovation activities mature. In contrast, innovation output is expected to have a stable and positive effect on enterprise value. Accordingly, we propose the following hypotheses:
Hypothesis 1a (H1a):
Innovation input of NEV enterprises has a U-shaped effect on enterprise value.
Hypothesis 1b (H1b):
Innovation output of NEV enterprises significantly increases enterprise value.

2.2. The Influence Mechanism of Innovation on Enterprise Value

This study constructs its theoretical framework by integrating the resource-based view, endogenous growth theory, and Schumpeterian innovation theory. The resource-based view emphasizes that enterprise value depends on the effective allocation and utilization of internal resources, with operational efficiency reflecting firms’ capability to reorganize resources. Endogenous growth theory highlights the cumulative and path-dependent nature of innovation investment, suggesting that its economic effects emerge gradually over time. Schumpeterian theory focuses on the disruptive nature of innovation, indicating that innovation activities may temporarily disturb existing production structures before generating new value. The integration of these perspectives provides a theoretical explanation for the nonlinear effect of innovation input and the value-enhancing role of innovation output.
At the firm level, innovation reshapes production processes, resource allocation, and organizational routines. These changes directly affect operational efficiency, which represents a firm’s ability to transform inputs into outputs effectively. Therefore, operational efficiency can be viewed as a critical internal mechanism linking innovation activities to enterprise value. From the perspective of innovation input, existing studies suggest that the long-term and uncertain nature of R&D investment may temporarily undermine operational efficiency. When a substantial proportion of firm resources is allocated to R&D rather than production and sales, firms may face liquidity pressure and reduced asset utilization efficiency [27]. Cai et al. [28] further argue that increasing R&D investment often triggers a reallocation of internal resources, which may disrupt established production routines and weaken operational efficiency in the short run. For NEV enterprises, this effect is particularly pronounced. In the early stages of innovation, firms are often engaged in exploratory technological activities, while key technical barriers have not yet been overcome. R&D investment at this stage may not translate into immediate production expansion or revenue growth [4]. Moreover, innovation activities usually require the adjustment of production processes, organizational structures, and equipment, which reduces coordination efficiency and increases internal complexity [29]. As a result, operational efficiency may initially decline.
In the long run, however, sustained innovation input becomes an important driver of efficiency improvement. As firms accumulate technological knowledge and organizational experience, learning effects and scale effects gradually emerge. R&D investment enables firms to optimize factor allocation, improve process management, and reduce unit costs [30]. For NEV enterprises, continuous innovation enhances technological maturity, product performance, and market acceptance, which strengthens competitive advantage and supports higher operational efficiency [31]. At this stage, the productivity gains from innovation outweigh the initial coordination and adjustment costs.
Innovation output influences enterprise value through a more direct efficiency-enhancing channel. Innovative outcomes, such as patents, reflect successful knowledge creation and technological application. Prior research shows that innovation output can improve production processes, upgrade management models, and enhance overall operational performance [32]. Firms with strong innovation output are more capable of attracting external resources and high-quality inputs, which further reinforces operational efficiency [33]. According to the resource-based view, both tangible and intangible resources, including technological knowledge, are fundamental sources of value creation [34]. Improvements in operational efficiency indicate that firms are effectively integrating and utilizing these resources in response to external environmental changes. Consequently, higher operational efficiency facilitates the achievement of strategic objectives and contributes to enterprise value enhancement. From this perspective, operational efficiency captures the internal state of the firm during the innovation process. Changes in operational efficiency reflect how effectively firms absorb innovation input and output, and transform innovation into coordinated production and management activities. As such, operational efficiency serves as a key transmission channel linking innovation activities to enterprise value.
Taken together, innovation input does not influence operational efficiency in a static or linear manner. Instead, it initiates an internal adjustment process within the firm. In the early stage, innovation activities disrupt existing production routines and organizational coordination, leading to temporary inefficiencies. As innovation investment accumulates, firms gradually adapt their internal structures through learning, experimentation, and managerial adjustment. Over time, this adaptive process allows firms to reconfigure resources more effectively, transforming initial inefficiencies into productivity gains. The resulting U-shaped pattern therefore reflects a dynamic trade-off between short-term coordination costs and long-term efficiency improvement. Additionally, innovation output can promote operational efficiency more directly. Operational efficiency acts as an important transmission channel through which innovation affects enterprise value. Therefore, we propose the following hypotheses:
Hypothesis 2a (H2a):
Operational efficiency mediates the relationship between innovation input and enterprise value, such that innovation input initially reduces operational efficiency, which gradually improves as innovation activities accumulate.
Hypothesis 2b (H2b):
Operational efficiency mediates the positive effect of innovation output on enterprise value, such that higher innovation output improves operational efficiency, which in turn enhances enterprise value.

2.3. Moderating Effects of Control Costs and Degree of Market Competition

The relationship between innovation and enterprise value does not operate in isolation but is influenced by both internal organizational conditions and the external market environment. This study examines the moderating roles of internal control costs and the degree of market competition.
(1)
Moderating effect of internal control costs
According to cost management theory, control costs refer to the expenses incurred by firms in supervising, coordinating, and controlling internal production and organizational activities. These costs reflect managerial efficiency and governance quality and thus shape the effectiveness of innovation activities. On the one hand, innovation re-quires flexibility and timely decision-making, particularly in industries characterized by rapid technological change, such as the NEV sector [35]. Excessive control costs are often associated with rigid organizational structures and complex approval processes, which reduce decision-making efficiency and delay in-novation implementation [36]. On the other hand, rising control costs may divert managerial attention away from core innovation and market-oriented activities [37]. This misallocation of managerial resources weakens the ability of innovation input and output to translate into economic value.
According to the above analysis, when the control cost is too high, innovation activities may face inhibitory effects from management efficiency and decision-making flexibility. This inhibitory effect weakens the role of innovation activities on enterprise value through inefficient resource allocation and decision delay. When a certain control cost threshold is reached, an enterprise’s innovation investment may no longer be an effective driver of enterprise value growth, but may become a burden, leading to a decline in enterprise value. Therefore, we propose the following hypotheses:
Hypothesis 3a (H3a):
Control costs weaken the U-shaped relationship between innovation input and enterprise value.
Hypothesis 3b (H3b):
Control costs weaken the positive relationship between innovation output and enterprise value.
(2)
Moderating effects of the degree of external market competition
Market competition represents a key external condition shaping the innovation–value relationship. In highly competitive markets, innovation remains essential, but its value-creation effect may vary. Some studies argue that intense competition can weaken the impact of innovation input on enterprise value due to technological homogeneity [38], price competition [39], and diminishing marginal returns to innovation [40]. Under such conditions, excessive innovation investment may crowd out resources needed for marketing, supply chain management, or strategic flexibility [41]. As a result, the value-enhancing effect of innovation input may be weakened.
In contrast, market competition may strengthen the relationship between innovation output and enterprise value. In competitive environments, patents serve as effective tools for protecting technological advantages and differentiating products from competitors [42]. Innovation output also plays a strong signaling role, conveying information about a firm’s technological capability and growth potential to investors and customers [43]. Firms with strong patent portfolios are more likely to gain market recognition, attract capital, and enhance brand value, thereby improving enterprise value.
Based on the above analysis, the following hypotheses are proposed:
Hypothesis 4a (H4a):
The degree of market competition can weaken the U-shaped relationship between innovation input and enterprise value.
Hypothesis 4b (H4b):
The degree of market competition can enhance the positive relationship between innovation output and enterprise value.
Despite extensive research on the impact of innovation on enterprise value, several issues remain. First, most studies focus on a single form of innovation, such as R&D expenditure or innovation mode, and pay limited attention to a systematic analysis of both innovation input and output, as well as the potential nonlinear effects of innovation input. Second, existing empirical studies are largely concentrated on traditional manufacturing industries or macro-level analyses, while firm-level evidence in the NEV sector remains scarce. NEV enterprises are characterized by high R&D intensity, long innovation cycles, and substantial technological uncertainty, which may cause innovation input to temporarily suppress enterprise value in the early stages before generating positive effects later. Finally, although previous research has suggested that operational efficiency, control costs, and market competition may influence the relationship between innovation and firm value, the combined effects of these internal and external factors in NEV enterprises have not been systematically examined. Building on these considerations, this study analyzes firm-level data from Chinese NEV listed companies, investigating the differential impacts of innovation input and output on enterprise value, the nonlinear characteristics of innovation input, the mediating role of operational efficiency, and the moderating effects of control costs and market competition. Based on this analysis, a theoretical research model is developed, as illustrated in Figure 1.

3. Research Design

3.1. Sample and Data

This study selects Chinese A-share listed NEV enterprises from 2012 to 2022 as the initial research sample. The “Decision of the State Council on Accelerating the Cultivation and Development of Strategic Emerging Industries” (Guo Fa [2010] No. 32), issued in 2010, included the NEV industry in the key development areas of China’s strategic emerging industries, which spurred the development of the NEV sector. In 2012, the State Council issued the “Energy Conservation and New Energy Vehicle Industry Development Plan (2012–2020),” which established the strategic direction for the development of the NEV industry. Due to significant data gaps for NEV enterprises in 2010–2011, this paper sets the start year of the sample as 2012, thereby defining the sample period as 2012–2022.
Based on the initial sample database, this study performs the following treatments on the sample enterprises: (1) Excluding enterprises whose main business is not related to NEV; (2) Excluding enterprises that were categorized as ST, SST, or *ST during the sample period; (3) Excluding listed enterprises in the financial and insurance industries; (4) Excluding enterprises with a significant amount of missing data during the sample period. After these adjustments, a balanced panel dataset of 100 A-share listed NEV enterprises for the period 2012–2022 is formed, with a total of 1100 observations. The basic information of enterprises, financial indicators, and enterprise value data used in this paper are sourced from the CSMAR database and the China National Research Data Service Platform (CNRDS).

3.2. Variables Measurement

3.2.1. Dependent Variable

Enterprise Value. Existing literature often uses indicators such as Tobin’s Q, return on total assets, and return on equity to measure enterprise value. Among these, return on total assets and return on equity mainly reflect a company’s ability to generate profits through financial metrics, while Tobin’s Q reflects the market value of the enterprise from a market perspective [44]. Tobin’s Q can also reflect an enterprise’s performance and competitive advantages. Therefore, this paper selects Tobin’s Q as the proxy variable for enterprise value, which is the ratio of market value to total assets.

3.2.2. Independent Variables

RD and Patent. Following Molden and Clausen [45], this study examines enterprise innovation from two dimensions: innovation input and innovation output. In the input dimension, the logarithm of the enterprise’s R&D expenditure (RD) is used; in the output dimension, the number of patents filed by the enterprise in the current year (Patent) is employed. This measure is constructed as the logarithm of the total number of invention patents, utility model patents, and design patents applied for, plus one.

3.2.3. Control Variables

To improve the accuracy of the model estimation, this study draws on existing research [46,47] and includes a series of control variables (Controls), including enterprise size (Size), enterprise age (Age), leverage ratio (Lev), net operating profit margin (OP), current ratio (CR), and shareholding ratio of the top ten shareholders (Top10_hold). Additionally, to control for potential effects arising from time trends, firm characteristics, and industry factors, year effects (Year), firm effects (Firm), and industry effects (Industry) are included in the regression analysis.

3.2.4. Mechanism Variable

Enterprise operational efficiency. This study draws on existing research [48] and uses the Total Asset Turnover Ratio (TATO) as an indicator. TATO reflects a company’s operational efficiency by measuring the ratio of operating revenue to total assets. The higher the total asset turnover ratio, the more revenue a company can generate with the same asset base, indicating higher operational efficiency.

3.2.5. Moderating Variables

Control costs and degree of market competition. The relationship between technological innovation and enterprise value may be influenced by both internal factors and external environmental characteristics. From the internal dimension, internal management costs are a key indicator of a firm’s managerial efficiency, and are measured using the Management Expense Ratio (MER) [49]. A higher MER indicates higher management costs for the enterprise. From the external perspective, variations in market competition can affect resource allocation, and firms may adopt different business strategies. This study uses the Herfindahl–Hirschman Index (HHI) to capture the level of market competition [50]. HHI is calculated as the sum of the squares of the proportion of each firm’s main business revenue to total industry revenue. A lower HHI indicates higher market competition. Detailed definitions of all variables are presented in Table 1.

3.3. Model Specification

In order to test the impact of technological innovation on enterprise value of NEV enterprises, this study constructs the following baseline regression model. Referring to prior studies on modeling nonlinear relationships between innovation and enterprise performance [51,52], the model incorporates both linear and squared terms of innovation input to capture potential nonlinearity in the innovation–value relationship. Accordingly, the following baseline regression specification is established.
T o b i n s Q i , t , d = α 0 + α 1 R D i , t , d + α 2 R D i , t , d 2 + C o n t r o l s + Y e a r + F i r m + I n d u s t r y + ε i , t , d
T o b i n s Q i , t , d = α 0 + α 1 P a t e n t i , t , d + C o n t r o l s + Y e a r + F i r m + I n d u s t r y + ε i , t , d
In order to investigate the transmission mechanism through which innovation affects enterprise value via operational efficiency, following established approaches in the literature on mediation effect testing [53], we construct mediation effect test models (3)–(6) based on the baseline specifications.
When the independent variable is innovation input:
T A T O i , t , d = β 0 + β 1 R D i , t , d + β 2 R D i , t , d 2 + C o n t r o l s + Y e a r + F i r m + I n d u s t r y + ε i , t , d
T o b i n s Q i , t , d = β 0 + β 1 R D i , t , d + β 2 R D i , t , d 2 + β 3 T A T O i , t , d 2 + C o n t r o l s + Y e a r + F i r m + I n d u s t r y + ε i , t , d
When the independent variable is innovation output:
T A T O i , t , d = β 0 + β 1 P a t e n t i , t , d + C o n t r o l s + Y e a r + F i r m + I n d u s t r y + ε i , t , d
T o b i n s Q i , t , d = β 0 + β 1 P a t e n t i , t , d + β 2 T A T O i , t , d + C o n t r o l s + Y e a r + F i r m + I n d u s t r y + ε i , t , d
where T o b i n s Q i , t , d is the Tobin’s Q value of the enterprise i in industry d in year t ; R D represents the innovation input of the enterprise; P a t e n t represents the innovation output of the enterprise; T A T O represents the mediator variable of the enterprise’s operational efficiency; C o n t r o l s represents the set of control variables; F i r m , Y e a r , I n d u s t r y represent the fixed effects at the enterprise, year, and industry levels, respectively; and ε i , t , d is the random error term.
The relationship between enterprise innovation and enterprise value is influenced not only by firms’ internal capabilities but also by the external environment. Therefore, we further examine the moderating effects of internal control costs and the degree of market competition. Referring to the approach of Xie et al. (2022) [54] in constructing moderating effect models for nonlinear relationships, we introduce interaction terms between innovation variables and the moderating factors and specify the following regression models.
T o b i n s Q i , t , d = δ 0 + δ 1 R D i , t , d + δ 2 R D i , t , d 2 + δ 3 R D i , t , d × M i , t , d + δ 4 R D i , t , d 2 × M i , t , d + δ 5 M i , t , d + C o n t r o l s + Y e a r + F i r m + I n d u s t r y + ε i , t , d
T o b i n s Q i , t , d = δ 0 + δ 1 P a t e n t i , t , d + δ 2 P a t e n t i , t , d × M i , t , d + δ 3 M i , t , d + C o n t r o l s + Y e a r + F i r m + I n d u s t r y + ε i , t , d
where M is the moderating variable, including control costs M E R and market competition degree H H I , and other variables have the same meaning as in the baseline model. In model (7), δ 1 + δ 3 × M i , t , d is the slope term, and δ 2 + δ 4 × M i , t , d is the curvature term. When the curvature term is significant, regardless of whether the slope term is significant, there is a nonlinear relationship between R D and T o b i n s Q . Conversely, when the curvature term is not significant but the slope term is, it indicates a linear relationship. The curvature term includes the moderating variable, so when δ 4 is significant, it proves that the moderating variable M can adjust the curve relationship between R D and T o b i n s Q .
To avoid multicollinearity issues, innovation input ( R D ), innovation output ( P a t e n t ), control costs ( M E R ) and market competition degree ( H H I ) are each centered. The interaction terms are then generated by multiplying the centered independent variables with the moderating variables.

4. Results

4.1. Descriptive Statistics

The descriptive statistics of the variables in this study are presented in Table 2. The mean of enterprise value (TobinsQ) is 1.878, with a minimum value of 0.684 and a maximum value of 11.513, indicating significant variation in enterprise value across different NEV enterprises. Moreover, most enterprises have relatively low enterprise value, so maybe only a few enterprises are performing well. The number of patent applications (Patent) has a minimum value of 0, a maximum value of 8.095, and a standard deviation of 2.063, with a large range. The mean (2.660) and median (2.602) are close to each other, indicating some variation in the innovation output of different NEV enterprises, which roughly follows a normal distribution. We further test whether there is multicollinearity between variables by Variance Inflation Factor (VIF). The results show that the average VIF is 2.58, and the VIF values of all variables are less than 10, indicating that there is no significant multicollinearity issue among the variables.

4.2. Baseline Regression Results

We use panel data regression method to estimate the models. First, the Hausman test found that all regression results rejected the random effect model. Therefore, the fixed effects model is chosen for the regression analysis, and the regression results are presented in Table 3. Model (1) takes enterprise value as the dependent variable and includes control variables for the baseline regression. Model (2) introduces the linear term of R&D investment, and the results show that the regression coefficient of 0.081 is not statistically significant, indicating that the impact of R&D investment on enterprise value is not linear. Model (3) presents the quadratic term of R&D investment, and the regression results show that the coefficient of R&D investment is −1.229, while the coefficient of its square term is 0.035, both of which are statistically significant (p < 0.01). This indicates that enterprise value initially decreases and then increases as R&D investment rises, suggesting a U-shaped relationship between R&D investment and enterprise value, supporting H1a. Model (4) uses innovation output as the independent variable, and the regression coefficient is 0.076, which is significant at the 1% level, indicating that innovation output has a positive effect on enterprise value, supporting H1b.
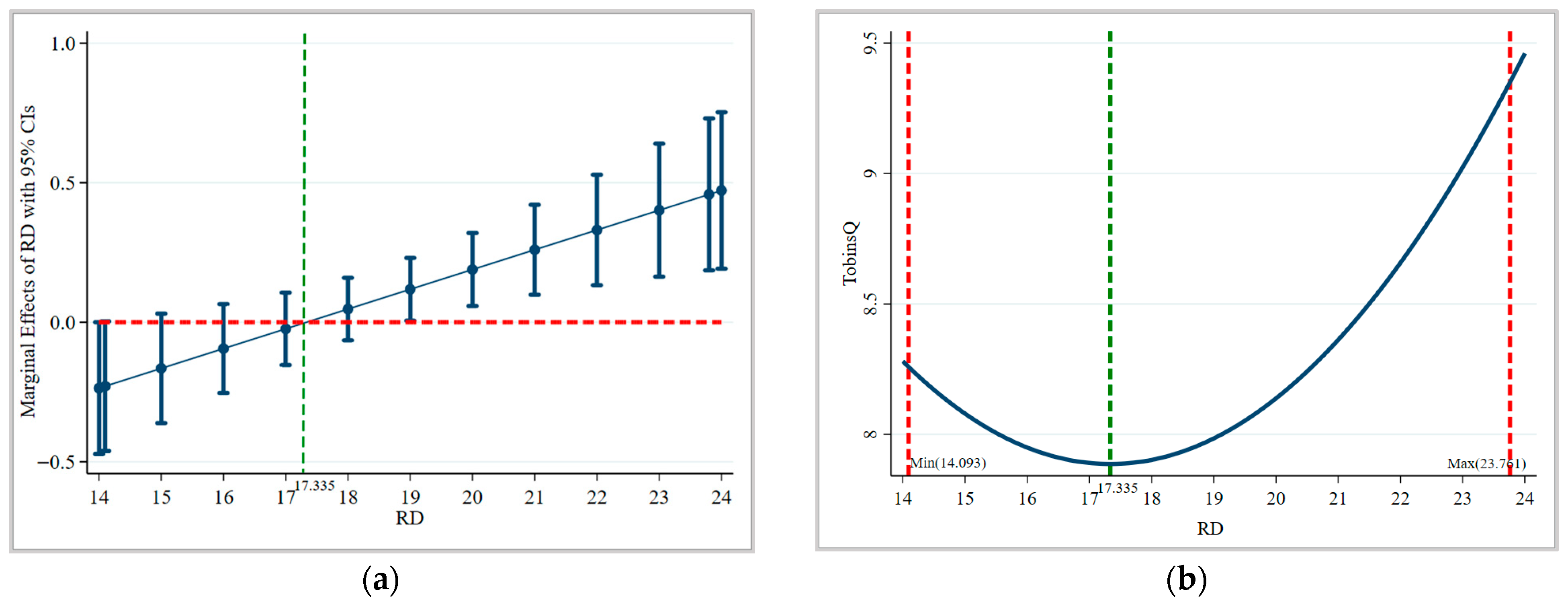
Additionally, to further verify the U-shaped relationship between innovation input and enterprise value: ① The utest command is used to test the U-shaped relationship, and the results show that the slope of innovation input on enterprise value is negative (−0.230, p < 0.05) at first, then positive (0.455, p < 0.01). The turning point of innovation input occurs at 17.335, which falls within the 95% Fieller confidence interval [14.255, 18.914]. The p-value for the overall test of the U-shaped relationship is 0.027, which is less than 0.05, thus rejecting the null hypothesis and confirming the existence of a U-shaped relationship between innovation input and enterprise value. ② We draw the marginal effect graph of innovation input on enterprise value according to the regression results. Figure 2a illustrates the process where the marginal effect changes from negative to positive, with the marginal effect being 0 at RD = 17.335. Therefore, a U-shaped relationship exists between innovation input and enterprise value in NEV enterprises. Figure 2b provides a more intuitive display of the U-shaped relationship, with the turning point at 17.335. To the left of the turning point, innovation input negatively affects enterprise value, while to the right of the turning point, innovation input positively affects enterprise value. The two graphs correspond to each other, proving once again the existence of the U-shaped relationship.

4.3. Robustness Checks

4.3.1. U-Shaped Relationship Retested

According to Haans, Pieters [52], if the cubic term of the independent variable is significant when included in the baseline model, it suggests that the relationship between innovation input and enterprise value is S-shaped rather than U-shaped. Therefore, this study introduces the cubic term of innovation input to determine whether an S-shaped relationship exists. The results, presented in column (1) of Table 4, show that the coefficient of the cubic term of RD is not significant, indicating that there is no S-shaped relationship between innovation input and enterprise value.

4.3.2. Adjustment the Sample Period

Considering the impact of the large-scale outbreak of COVID-19 in 2020, and to further ensure the reliability of the estimation results, this study adopts a shortened sample period by removing data from 2020 to 2022 for robustness checks. The results are presented in columns (2) and (3) of Table 4. Column (2) shows the regression results for innovation input and enterprise value after excluding the three years of data. The coefficient of the quadratic term remains significantly positive, and there is no major change in the U-shaped relationship compared to the baseline model, indicating that the results are robust. Column (3) presents the regression results for innovation output and enterprise value after excluding the three years of data. The coefficient remains significantly positive, indicating that innovation output continues to positively promote the improvement of enterprise value, thus confirming the robustness of the results.

4.3.3. Replacing the Indicator of Enterprise Value

Given that alternative measures of enterprise value may influence the estimation results, we conduct additional robustness checks by replacing the dependent variable with alternative proxies. First, we construct an alternative Tobin’s Q measure (TobinsQB), defined as market capitalization divided by total assets net of intangible assets and goodwill. Columns (4) and (5) of Table 4 present the corresponding regression results, which show that the signs and statistical significance of the key coefficients remain broadly consistent with the baseline findings. We further replace the dependent variable with industry-adjusted return on assets (AdjROA). The coefficients on RD2 and Patent continue to exhibit the same signs and remain significant at the 5% level (see Columns (6) and (7) of Table 4), providing additional support for the robustness of our results.

4.3.4. GMM Dynamic Panel Estimation

Considering that current enterprise value may be influenced by past innovation input and output, this paper incorporates the lagged enterprise value variable (L.TobinsQ), to construct a dynamic panel model, and applies the two-step GMM method for regression. The results are shown in Table 5. Column (1) presents the regression results with lagged values and innovation input as the independent variable, while Column (2) presents the regression results with lagged values and innovation output as the independent variable. In both regression models, the AR(1) p-value is close to 0, and the AR(2) p-value and Hansen test p-value are both greater than 0.1, indicating the validity of the model. From the sign and significance of the regression coefficients, the effect of innovation input on lagged enterprise value remains U-shaped, while innovation output has a significantly positive impact on lagged enterprise value, consistent with the baseline regression results.

4.3.5. Endogeneity Test

To address potential endogeneity concerns, this study employs an instrumental variable strategy based on the average innovation input and output of other firms in the same industry in the previous period. The use of lagged peer innovation captures industry-level technological spillovers and competitive pressure, while mitigating reverse causality and contemporaneous common shocks. In addition, industry–year fixed effects are included to absorb time-varying industry-specific factors, further strengthening the exogeneity of the instruments.
Table 6 presents the regression results using the two-stage least squares (2SLS) method. Columns (1)~(3) show the regression results with the average R&D investment as the instrumental variable. The Kleibergen–Paap rk LM statistic is 61.679, which is significant at the 1% level, indicating that there is no issue of under-identification of the instrument. In the first stage of the 2SLS, both F-statistics are well above 10, with the Cragg–Donald Wald F value of 26.87 being greater than the critical value of 7.03 for the 10% level in the Stock–Yogo weak identification test, confirming the absence of weak instrument issues. These validate the appropriateness and reliability of the chosen instrumental variable. In Column (3), after considering the instrumental variable, both RD and RD2 are significant at the 1% level, and their signs are consistent with the baseline regression results, indicating that the U-shaped relationship between innovation input and enterprise value is robust to endogeneity correction. Columns (4) and (5) report the results using the lagged industry-average patent output as the instrumental variable. Similar diagnostic tests support the relevance of this instrument. The estimates in Column (5) show that Patent remains significantly positive at the 1% level, which is also consistent with the baseline findings.

4.4. Heterogeneity Analysis

4.4.1. Different Stages of the Industry Chain

To explore differences in the impact of enterprise innovation on enterprise value across different stages of the industry chain, the sample is divided into three segments: upstream, midstream, and downstream. The results of the group regressions are reported in Table 7.
As shown in Table 7, the coefficients of RD are not statistically significant, whereas the coefficients of RD2 are significantly positive (0.054, 0.033, and 0.057, respectively), indicating a U-shaped relationship between innovation input and enterprise value across the upstream, midstream, and downstream segments of the industry chain. Consistent with the U-shaped pattern illustrated in Figure 3a, this effect is most pronounced among upstream enterprises, which exhibit the steepest curvature, followed by downstream enterprises, while the midstream segment shows the flattest curve. With respect to innovation output, upstream and downstream enterprises show a significant positive effect on enterprise value, with a stronger impact observed for upstream enterprises. In contrast, no significant effect is found for midstream enterprises, as illustrated in Figure 3b.
The upstream segment of the industry chain mainly involves raw materials and core components. On the one hand, technological innovation by upstream enterprises can directly affect NEV performance, thereby enhancing the competitiveness and value of the entire industry chain through technological spillovers and cost optimization. On the other hand, market demand in this segment is highly dependent on technological development, particularly innovations related to battery technology and charging infrastructure. As a result, innovation input by upstream enterprises can respond more rapidly to market demands. While midstream enterprises also play an important role in technological innovation, their activities are often closely tied to vehicle manufacturing. This relatively tight integration limits their innovation flexibility and scope, leading to a weaker impact on enterprise value.

4.4.2. Ownership Structure

Considering that differences in the ownership structure of enterprises can lead to disparities in resource endowment, and that in some developing countries state-owned enterprises (SOEs) have a significant advantage in resource acquisition [55], this paper divides the sample into state-owned and non-state-owned enterprises for grouped regression analysis, with the results presented in Table 8. Columns (1)~(3) show the regression results for state-owned enterprises. Unlike the baseline regression results, the impact of innovation input on enterprise value for state-owned enterprises is linear and significantly positive. Columns (4) to (6) show the regression results for non-state-owned enterprises, where the relationship between innovation input and enterprise value remains U-shaped, as illustrated in Figure 4a.
State-owned enterprises typically enjoy more stable sources of capital and government support, which enables them to bear higher innovation input and research and development (R&D) risks. Compared to non-state-owned enterprises, they are less pressured by R&D funding constraints, so innovation investment does not lead to a decrease in enterprise value. Furthermore, as shown in Figure 4b, innovation output has a stronger positive impact on enterprise value for non-state-owned enterprises than for state-owned ones. Non-state-owned enterprises often face more intense market competition, and this competitive pressure forces them to innovate in order to establish technological barriers and improve product differentiation. Innovation output becomes a crucial tool for attracting investors and enhancing shareholder value, helping firms stand out in a highly competitive market. Therefore, its impact on enterprise value is more significant.

5. Additional Analysis

5.1. Mechanism Analysis

Based on the theoretical analysis above, enterprise innovation input and output can promote enterprise value by influencing operational efficiency. To verify this mechanism, this study applies a three-step mediation effect test, and the results are reported in Table 9.
Columns (1) and (2) present the mediating effect of operational efficiency between innovation input and enterprise value. As shown in Column (1), the coefficient of the squared term of RD is significantly positive, indicating that as R&D investment increases, operational efficiency first decreases and then increases, exhibiting a U-shaped relationship. In Column (2), after introducing the mediator variable, the coefficient of RD2 remains significantly positive, while the coefficient of TATO is 0.294 and significant at the 10% level, suggesting that operational efficiency contributes positively to enterprise value. Overall, these results confirm the mediating effect of operational efficiency. However, compared with Column (3) in Table 3, the coefficient of RD2 decreases, indicating that operational efficiency plays a partial mediating role. These findings support Hypothesis 2a.
Columns (3) and (4) report the mediating effect of operational efficiency between innovation output and enterprise value. As shown in Column (3), the coefficient of innovation output (Patent) is positive and significant at the 10% level, indicating that innovation output enhances operational efficiency. In Column (4), after introducing the mediator variable, Patent remains positively significant at the 1% level, and TATO is also positive and significant at the 5% level. These results further confirm the presence of a mediating effect. Compared with Column (4) in Table 3, the coefficient of innovation output decreases, suggesting that operational efficiency again plays a partial mediating role. This indicates that innovation output in the NEV industry promotes enterprise value by improving operational efficiency, thus supporting Hypothesis 2b.

5.2. Moderating Effect Analysis

5.2.1. Internal: The Moderating Effect of Control Costs

The results of the moderating effect of control costs on the relationship between enterprise innovation and enterprise value are presented in Column (1) and Column (3) of Table 10.
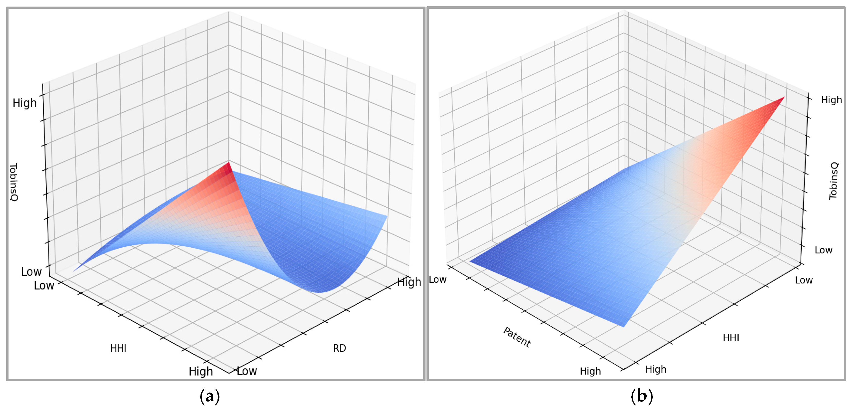
Column (1) represents the moderating effect of control costs on the relationship between innovation input and enterprise value. The coefficient of the interaction term between the squared term of innovation input and control costs (RD2 × MER) is significantly negative, indicating that control costs weaken the U-shaped relationship between innovation input and enterprise value, thus confirming Hypothesis 3a. To better illustrate this, we take one standard deviation above and below the mean of the moderating variable to demonstrate the extent of its impact, and plot the moderating effect graph, as shown in Figure 5a. To more clearly show the influence trend of the moderating variable on the U-shaped relationship, we also plot a 3-D graph of the moderating effect, as shown in Figure 6a. Interestingly, the higher the control costs (High MER), the greater the impact on the U-shaped relationship, even causing the U-shaped curve to flip, turning it into an inverted U-shape. When control costs are lower (Low MER), the impact on the U-shaped curve is reduced, but it can also make the U-shape turn into a linear relationship.
This may be because when a company has high control costs, lower investment in innovation activities implies that the scale of operations and innovation activities are subject to certain constraints. In such cases, the company can effectively implement refined management practices, reduce resource waste, and maintain profitability, thereby enhancing enterprise value. However, when the company continues to invest in technological innovation, excessively high control costs may become a “burden” on innovation, leading to the misallocation of resources. Under these circumstances, innovation input may result in a loss of enterprise value.
Column (3) of Table 10 shows the moderating effect of control costs on the impact of innovation output on enterprise value: the interaction term between innovation output and control costs (Patent × MER) is significantly negative ( δ = 0.697 ,   p < 0.05 ), suggesting that control costs diminish the positive impact of innovation output on enterprise value, and Hypothesis 3b is confirmed. In Figure 5b and Figure 6b, it can also be observed that high MER flattens the linear relationship and reduces the positive contribution of innovation output to enterprise value.

5.2.2. External: The Moderating Effect of the Degree of Market Competition

The results of the moderating effect of market competition on the relationship between enterprise innovation and enterprise value are shown in Column (2) and Column (4) of Table 10.
Column (2) shows the moderating effect of the degree of market competition on the relationship between innovation input and enterprise value. The coefficient of the interaction term between the squared term of innovation input and market competition (RD2 × HHI) is significantly positive, indicating that market competition (with a lower HHI representing higher market competition) weakens the U-shaped relationship between innovation input and enterprise value. Therefore, Hypothesis 4a is confirmed. Accordingly, two-dimensional (2D) and three-dimensional (3D) moderating effect plots are presented in Figure 7a and Figure 8a. The lower the market competition (High HHI), the steeper the U-shape between innovation input and enterprise value. In other words, in a highly competitive market, lower levels of innovation input result in a slower decline in enterprise value, and once innovation input exceeds a certain threshold, the rate at which innovation input contributes to increasing enterprise value also slows down. Additionally, under the moderating effect of market competition, the turning point of the curve shifts to the left, indicating that when market competition is stronger, the impact of enterprise innovation input on enterprise value is weaker. This is because, in highly competitive markets, new technologies and methods emerge quickly, and enterprises’ innovation input often faces diminishing marginal returns, thereby reducing the value-added effect of innovation input on enterprise value.
Column (4) of Table 8 presents the results of the moderating effect of market competition on the relationship between innovation output and enterprise value. The interaction term between innovation output and market competition (Patent × HHI) has a significantly negative coefficient, suggesting that market competition (with a lower HHI indicating more intense competition) amplifies the positive impact of innovation output on enterprise value. This supports the validation of Hypothesis 4b. As illustrated in Figure 7b and Figure 8b, higher market competition results in a steeper slope of the line, further strengthening the effect of innovation output on enterprise value. This could be because, in highly competitive markets, technological innovation becomes a critical factor for an enterprise to differentiate itself. Compared to innovation input, patents, as a key indicator of innovative achievements, play a more substantial role in shaping external expectations regarding an enterprise’s future growth potential. In particular, in technology-driven sectors, patents often signal that the company is likely to lead future technological advancements, thereby enhancing investor confidence, increasing stock valuation, and ultimately boosting the enterprise’s overall value.

6. Discussion

6.1. Theoretical Implications

This study advances theoretical understanding of enterprise innovation and value creation by framing NEV enterprises as adaptive systems rather than static entities. Firstly, it highlights the nonlinear nature of innovation effects, showing that innovation input may initially constrain performance due to disruptions in organizational routines and resource allocations, but ultimately enhances enterprise value through accumulated knowledge and process adaptation [56]. This dynamic pattern underscores the importance of incorporating feedback mechanisms and path-dependent processes into models of innovation, moving beyond conventional linear or descriptive approaches.
Secondly, by identifying operational efficiency as a mediating mechanism, the study demonstrates how internal organizational capacities translate innovation into measurable performance outcomes. From a systems perspective, operational efficiency reflects the firm’s ability to reorganize internal subsystems—production, coordination, and resource allocation—in response to innovation-induced shocks [57,58]. The findings thus extend the resource-based view and endogenous growth theory by linking innovation investment to internal adaptive processes, illustrating how firms achieve sustained value creation over time.
Thirdly, the study reveals that contextual conditions moderate innovation effects, with internal control costs limiting resource flexibility and market competition shaping the external recognition of innovation outcomes [59]. These results illustrate that innovation performance depends not solely on investment magnitude but on the alignment between internal governance structures and the external environment, emphasizing a systemic view where enterprise value emerges from the interaction of multiple interdependent factors [60]. By integrating nonlinear effects, internal mechanisms, and contextual moderators, this research provides a more comprehensive conceptualization of innovation as a complex organizational phenomenon.

6.2. Managerial Implications

The findings offer actionable insights for managers and policymakers seeking to enhance enterprise value through innovation. Firstly, firms should recognize the dynamic, non-linear relationship between innovation input and performance, ensuring sufficient investment scale and duration to overcome initial inefficiencies. Managers need to monitor the early-stage impact of innovation on operational efficiency, mitigating potential disruptions through targeted process adjustments and resource allocation strategies.
Secondly, improving operational efficiency is critical for translating innovation into value. Firms can strengthen internal feedback loops by optimizing production processes, enhancing managerial coordination, and fostering organizational learning. Strategic interventions that support adaptive capabilities—such as cross-functional collaboration and technology absorption—can amplify the benefits of both innovation input and output.
Thirdly, innovation strategies must be context-sensitive. High internal control costs can impede value creation, while competitive market conditions influence how innovation outcomes are rewarded externally. Managers should calibrate innovation efforts according to the internal capacity and the competitive landscape, balancing investment intensity with outcome realization. For policymakers, supporting frameworks that reduce operational bottlenecks and encourage knowledge dissemination can enhance the systemic effectiveness of innovation across the industry.
Although the analysis focuses on the NEV industry, the underlying mechanisms identified in this study are not industry-specific. Industries characterized by high technological uncertainty, long innovation cycles, and strong system interdependencies—such as renewable energy, advanced manufacturing, biotechnology, and digital platforms—may exhibit similar nonlinear innovation–value dynamics. The framework proposed in this study can therefore be extended to other sectors to explore how innovation-induced disruptions, organizational adaptation, and feedback processes jointly shape long-term value creation.

7. Conclusions

Based on firm-level data from Chinese listed NEV enterprises (2012–2022), this study examines the nonlinear effects of enterprise innovation on enterprise value, the mediating role of operational efficiency, and the moderating influences of internal and external contextual factors.
The findings show that innovation does not exert a uniform or immediate effect on enterprise value. Innovation input displays a U-shaped relationship with enterprise value, while innovation output has a stable and positive effect. This nonlinearity reflects a dynamic adjustment process within enterprises, where early-stage innovation investment disrupts existing organizational routines and resource allocations, temporarily constraining performance. As innovation accumulates and firms adapt their internal processes, feedback mechanisms gradually restore coordination and efficiency, allowing innovation input to generate value-enhancing outcomes. Innovation output, by contrast, represents realized technological capabilities and signals organizational maturity, enabling a more direct contribution to enterprise value.
Operational efficiency is identified as a key internal transmission channel through which innovation affects enterprise value. From a systems perspective, operational efficiency captures the firm’s capacity to reconfigure internal subsystems—such as production, coordination, and resource utilization—in response to innovation-induced shocks. The mediating results suggest that innovation-driven value creation is not linear but emerges through iterative feedback between technological activities and organizational efficiency.
The moderating roles of internal control costs and market competition illustrate that the effectiveness of innovation is context-dependent. High control costs can constrain the efficient use of resources and reduce the value created from innovation, while intense market competition influences how innovation outcomes are rewarded and recognized. These findings suggest that enterprise value is shaped not only by the level of innovation investment but also by the surrounding internal and external conditions that facilitate or hinder the translation of innovation into performance.
Additionally, the impact of innovation varies across stages of the industrial chain and ownership types. The results show that for both innovation input and output, upstream enterprises—such as component suppliers—experience the greatest value-enhancing effects, while midstream firms, primarily vehicle manufacturers, exhibit smaller impacts. This reflects differences in innovation demands and strategic positioning, with upstream firms needing continuous innovation to secure competitive advantages, whereas midstream firms face lower innovation intensity requirements.
Importantly, the added value of this study lies in integrating nonlinear innovation effects, internal efficiency mechanisms, and contextual moderators into a unified analytical framework. By treating enterprises as adaptive systems rather than static decision-making units, the study advances understanding of why innovation may initially hinder performance yet ultimately enhance enterprise value.
This study has several limitations that suggest avenues for future research. First, the analysis focuses solely on A-share listed NEV enterprises, which excludes unlisted but potentially highly innovative firms, and this may limit the generalizability of the findings to the broader NEV sector and other emerging industries. Second, the study is based on Chinese enterprises, and specific factors such as market structure, regulatory frameworks, and technological maturity may shape the observed relationships. Future research could extend this framework to other countries and high-tech industries, including renewable energy, advanced manufacturing, and biotechnology, to examine whether similar nonlinear innovation–value dynamics and internal mechanisms exist. Finally, while key mediating and moderating factors are explored, innovation remains a complex process, and additional elements such as organizational culture, collaboration networks, or policy support could be investigated to deepen the understanding of how enterprise innovation translates into sustainable value creation.

Author Contributions

J.S.: Writing—review and editing, Writing—original draft, Software, Methodology, Visualization, Formal analysis. X.L.: Conceptualization, Supervision, Resources, Project administration, Writing—review and editing. X.Z.: Data curation, Methodology, Software, Visualization. All authors have read and agreed to the published version of the manuscript.

Funding

This research was supported by the National Natural Science Foundation of China, grant number 72573026.

Data Availability Statement

All data used in the study are available from public sources cited in the manuscript.

Conflicts of Interest

The authors declare no conflicts of interest.

Abbreviations

The following abbreviations are used in this manuscript.
NEVNew energy vehicle
R&DResearch and experimental development
TATOTotal Asset Turnover Ratio
MERManagement Expense Ratio
HHIHerfindahl–Hirschman Index
SOEsState-owned enterprises

References

  1. Chen, Y.F.; Ni, L.F.; Liu, K.L. Innovation efficiency and technology heterogeneity within China’s new energy vehicle industry: A two-stage NSBM approach embedded in a three-hierarchy meta-frontier framework. Energy Policy 2022, 161, 112708. [Google Scholar] [CrossRef]
  2. Liu, Q.; Wen, X.N.; Peng, H.T.; Cao, Q.W. Key technology breakthrough in new energy vehicles: Configuration path evolution from innovative ecosystem perspective. J. Clean. Prod. 2023, 423, 138635. [Google Scholar] [CrossRef]
  3. Niri, A.J.; Poelzer, G.A.; Zhang, S.E.; Rosenkranz, J.; Pettersson, M.; Ghorbani, Y. Sustainability challenges throughout the electric vehicle battery value chain. Renew. Sustain. Energy Rev. 2024, 191, 114176. [Google Scholar] [CrossRef]
  4. Ren, J.Z. New energy vehicle in China for sustainable development: Analysis of success factors and strategic implications. Transp. Res. Part D-Transp. Environ. 2018, 59, 268–288. [Google Scholar] [CrossRef]
  5. Bohnsack, R.; Kolk, A.; Pinkse, J.; Bidmon, C.M. Driving the electric bandwagon: The dynamics of incumbents’ sustainable innovation. Bus. Strategy Environ. 2020, 29, 727–743. [Google Scholar] [CrossRef]
  6. Baumann, J.; Kritikos, A.S. The link between R&D, innovation and productivity: Are micro firms different? Res. Policy 2016, 45, 1263–1274. [Google Scholar] [CrossRef]
  7. Crowley, F.; McCann, P. Firm innovation and productivity in Europe: Evidence from innovation-driven and transition-driven economies. Appl. Econ. 2018, 50, 1203–1221. [Google Scholar] [CrossRef]
  8. Calvo, A.G. Production Networks and Innovation in the Semi-periphery: The Transition to Electric Vehicles in South Korea and Spain. Stud. Comp. Int. Dev. 2024, 59, 690–711. [Google Scholar] [CrossRef]
  9. Camilleri, M.A.; Troise, C.; Strazzullo, S.; Bresciani, S. Creating shared value through open innovation approaches: Opportunities and challenges for corporate sustainability. Bus. Strategy Environ. 2023, 32, 4485–4502. [Google Scholar] [CrossRef]
  10. Singh, S.K.; Gupta, S.; Busso, D.; Kamboj, S. Top management knowledge value, knowledge sharing practices, open innovation and organizational performance. J. Bus. Res. 2021, 128, 788–798. [Google Scholar] [CrossRef]
  11. Cui, W.J.; Li, L.; Chen, G. Market-value oriented or technology-value oriented?—Location impacts of industry-university-research (IUR) cooperation bases on innovation performance. Technol. Soc. 2022, 70, 102025. [Google Scholar] [CrossRef]
  12. Cai, B.W.; Liu, Y.Q. Automotive industry development versus environment and policy: An integration of system dynamics and life cycle assessment. Int. Rev. Econ. Financ. 2025, 103, 104382. [Google Scholar] [CrossRef]
  13. Xie, X.M.; Hoang, T.T.; Zhu, Q.W. Green process innovation and financial performance: The role of green social capital and customers’ tacit green needs. J. Innov. Knowl. 2022, 7, 100165. [Google Scholar] [CrossRef]
  14. Rajapathirana, R.P.J.; Hui, Y. Relationship between innovation capability, innovation type, and firm performance. J. Innov. Knowl. 2018, 3, 44–55. [Google Scholar] [CrossRef]
  15. Rauter, R.; Globocnik, D.; Perl-Vorbach, E.; Baumgartner, R.J. Open innovation and its effects on economic and sustainability innovation performance. J. Innov. Knowl. 2019, 4, 226–233. [Google Scholar] [CrossRef]
  16. Wang, Y.; Jiang, Z.Z.; Li, X.; Chen, Y.; Cui, X.; Wang, S.P. Research on antecedent configurations of enterprise digital transformation and enterprise performance from the perspective of dynamic capability. Financ. Res. Lett. 2023, 57, 104170. [Google Scholar] [CrossRef]
  17. Booltink, L.W.A.; Saka-Helmhout, A. The effects of R&D intensity and internationalization on the performance of non-high-tech SMEs. Int. Small Bus. J.-Res. Entrep. 2018, 36, 81–103. [Google Scholar]
  18. Dughera, S.; Quatraro, F.; Vittori, C. Innovation, on-the-job learning, and labor contracts: An organizational equilibria approach. J. Institutional Econ. 2022, 18, 605–620. [Google Scholar] [CrossRef]
  19. Gao, K.; Wang, L.; Liu, T.T.; Zhao, H.Q. Management executive power and corporate green innovation—Empirical evidence from China’s state-owned manufacturing sector. Technol. Soc. 2022, 70, 102043. [Google Scholar] [CrossRef]
  20. Soluk, J.; Miroshnychenko, I.; Kammerlander, N.; De Massis, A. Family Influence and Digital Business Model Innovation: The Enabling Role of Dynamic Capabilities. Entrep. Theory Pract. 2021, 45, 867–905. [Google Scholar] [CrossRef]
  21. Yu, F.F.; Wang, L.T.; Li, X.T. The effects of government subsidies on new energy vehicle enterprises: The moderating role of intelligent transformation. Energy Policy 2020, 141, 111463. [Google Scholar] [CrossRef]
  22. Fu, Y.Y. Enterprises’ internationalization, R&D investment and enterprise performance. Financ. Res. Lett. 2024, 67, 105721. [Google Scholar]
  23. Mogos, S.; Davis, A.; Baptista, R. High and sustainable growth: Persistence, volatility, and survival of high growth firms. Eurasian Bus. Rev. 2021, 11, 135–161. [Google Scholar] [CrossRef]
  24. Ernst, H.; Conley, J.; Omland, N. How to create commercial value from patents: The role of patent management. R D Manag. 2016, 46, 677–690. [Google Scholar] [CrossRef]
  25. Pereira, V.; Bamel, U. Extending the resource and knowledge based view: A critical analysis into its theoretical evolution and future research directions. J. Bus. Res. 2021, 132, 557–570. [Google Scholar] [CrossRef]
  26. Chen, Y.F.; Ni, L.F.; Liu, K.L. Does China’s new energy vehicle industry innovate efficiently? A three-stage dynamic network slacks-based measure approach. Technol. Forecast. Soc. Change 2021, 173, 121161. [Google Scholar] [CrossRef]
  27. McKinley, W.; Latham, S.; Braun, M. Organizational decline and innovation: Turnarounds and downward spirals. Acad. Manag. Rev. 2014, 39, 88–110. [Google Scholar] [CrossRef]
  28. Cai, X.L.; Zhou, B.; Cai, C.C.; Pu, T.L.; Wang, Q.W. Impacts of decreasing subsidies for photovoltaic enterprises in China: A perspective from industrial chain segments. Environ. Dev. Sustain. 2024, 27, 15627–15648. [Google Scholar] [CrossRef]
  29. Acemoglu, D.; Restrepo, P. The Race Between Man and Machine: Implications of Technology for Growth, Factor Shares, and Employment. Am. Econ. Rev. 2018, 108, 1488–1542. [Google Scholar] [CrossRef]
  30. Zhang, Y.F. Competitive investments between basic R&D and applied R&D with information spillovers. Int. Rev. Econ. Financ. 2022, 82, 707–722. [Google Scholar]
  31. Feng, X.; Li, Y.Y.; Huang, B. Research on manufacturer’s investment strategy and green credit policy for new energy vehicles based on consumers’ preferences and technology adoption. Technol. Forecast. Soc. Change 2023, 191, 122476. [Google Scholar] [CrossRef]
  32. Lv, X.J.; Zhao, B.S.; Cheng, D.F.; Xia, C.Y. Patent strategies in the digital revolution: How businesses use digital technology patents to optimize resource allocation efficiency. Financ. Res. Lett. 2024, 67, 105835. [Google Scholar] [CrossRef]
  33. Yuan, S.; Pan, X.F. Inherent mechanism of digital technology application empowered corporate green innovation: Based on resource allocation perspective. J. Environ. Manag. 2023, 345, 118841. [Google Scholar] [CrossRef]
  34. Barney, J.B.; Ketchen, D.J.; Wright, M. Resource-Based Theory and the Value Creation Framework. J. Manag. 2021, 47, 1936–1955. [Google Scholar] [CrossRef]
  35. De Blick, T.; Paeleman, I.; Laveren, E. Financing constraints and SME growth: The suppression effect of cost-saving management innovations. Small Bus. Econ. 2024, 62, 961–986. [Google Scholar] [CrossRef]
  36. Katz-Navon, T.; Naveh, E.; Ebenstein-Ziv, N. Lean Management and Innovation-A Paradox? Reinventing the Role of Problem-Solving Within Organizations. IEEE Trans. Eng. Manag. 2024, 71, 7669–7680. [Google Scholar] [CrossRef]
  37. Wang, D.L.; Mao, J.Q.; Cui, R.; Yu, J.; Shi, X.P. Impact of inter-provincial power resource allocation on enterprise production behavior from a multi-scale correlation perspective. Energy Econ. 2022, 114, 106323. [Google Scholar] [CrossRef]
  38. Peng, H.T.; Zhou, C.; Sadowski, B.M.; Sun, T.S. Does an Imitation Strategy Promote Long-Term Firm Growth in a Dynamic Environment? A Meta-Analysis. Front. Psychol. 2021, 12, 774071. [Google Scholar] [CrossRef]
  39. Marshall, G.; Parra, A. Announcing High Prices to Deter Innovation. Manag. Sci. 2021, 67, 2448–2465. [Google Scholar] [CrossRef]
  40. Wang, T.; Libaers, D. Nonmimetic Knowledge and Innovation Performance: Empirical Evidence from Developing Countries. J. Prod. Innov. Manag. 2016, 33, 570–588. [Google Scholar] [CrossRef]
  41. Xie, Z.Y.; Wang, J.; Miao, L. Big data and emerging market firms’ innovation in an open economy: The diversification strategy perspective. Technol. Forecast. Soc. Change 2021, 173, 121091. [Google Scholar] [CrossRef]
  42. Amankwah-Amoah, J.; Medase, S.K. Extracting Innovation Value from Intellectual Property: Evidence from sub-Saharan Africa. J. Knowl. Econ. 2024, 15, 8933–8967. [Google Scholar] [CrossRef]
  43. Benzidia, S.; Luca, R.M.; Boiko, S. Disruptive innovation, business models, and encroachment strategies: Buyer’s perspective on electric and hybrid vehicle technology. Technol. Forecast. Soc. Change 2021, 165, 120520. [Google Scholar] [CrossRef]
  44. Tang, T.Y.; Zhang, S.L.; Peng, J.P. The value of marketing innovation: Market-driven versus market-driving. J. Bus. Res. 2021, 126, 88–98. [Google Scholar] [CrossRef]
  45. Molden, L.H.; Clausen, T.H. Playing 3D chess, or how firms can thrive under complexity: The mediating role of innovation capabilities in the use of innovation input. J. Bus. Res. 2021, 125, 1–13. [Google Scholar] [CrossRef]
  46. Feng, N.; Tu, S.X.; Guo, F. Big-data analytics capability, value creation process, and collaboration innovation quality in manufacturing enterprises: A knowledge-based view. Comput. Ind. Eng. 2024, 187, 109804. [Google Scholar] [CrossRef]
  47. Zhang, Y.J.; Zhang, L. Innovation Input on Enterprise Value: Based on the Moderating Effect of Ownership Structure. Emerg. Mark. Financ. Trade 2022, 58, 1078–1088. [Google Scholar] [CrossRef]
  48. Özbugday, F.C.; Findik, D.; Özcan, K.M.; Basçi, S. Resource efficiency investments and firm performance: Evidence from European SMEs. J. Clean. Prod. 2020, 252, 119824. [Google Scholar] [CrossRef]
  49. Markovitch, D.G.; Huang, D.L.; Ye, P.F. Marketing intensity and firm performance: Contrasting the insights based on actual marketing expenditure and its SG&A proxy. J. Bus. Res. 2020, 118, 223–239. [Google Scholar] [CrossRef]
  50. Amini, S.; Kumar, R.; Shome, D. Product market competition and corporate investment: An empirical analysis. Int. Rev. Econ. Financ. 2024, 94, 103405. [Google Scholar] [CrossRef]
  51. Wang, X.M.; Han, X.; Li, H.M. The impact of innovation openness on innovation performance of manufacturing corporates -Moderating effect based on knowledge reorganization. Financ. Res. Lett. 2023, 55, 103917. [Google Scholar] [CrossRef]
  52. Haans, R.F.J.; Pieters, C.; He, Z.L. Thinking about U: Theorizing and testing U- and inverted U-shaped relationships in strategy research. Strateg. Manag. J. 2016, 37, 1177–1195. [Google Scholar] [CrossRef]
  53. Wang, J.R.; Xue, Y.J.; Yang, J. Can proactive boundary-spanning search enhance green innovation? The mediating role of organizational resilience. Bus. Strategy Environ. 2023, 32, 1981–1995. [Google Scholar] [CrossRef]
  54. Xie, X.M.; Wu, Y.H.; Devece, C. Is collaborative innovation a double-edged sword for firms? The contingent role of ambidextrous learning and TMT shared vision. Technol. Forecast. Soc. Change 2022, 175, 121340. [Google Scholar] [CrossRef]
  55. Liu, J.L.; Chen, Y.Y.; Liang, F.H. The effects of digital economy on breakthrough innovations: Evidence from Chinese listed companies. Technol. Forecast. Soc. Change 2023, 196, 122866. [Google Scholar] [CrossRef]
  56. Drivas, K.; Economidou, C.; Ketteni, E.; Kottaridi, K. Firms’ knowledge investment and market responses. Empir. Econ. 2021, 61, 2363–2394. [Google Scholar] [CrossRef]
  57. Alam, M.S.; Atif, M.; Chien-Chi, C.; Soytas, U. Does corporate R&D investment affect firm environmental performance? Evidence from G-6 countries. Energy Econ. 2019, 78, 401–411. [Google Scholar] [CrossRef]
  58. Andersén, J. A relational natural-resource-based view on product innovation: The influence of green product innovation and green suppliers on differentiation advantage in small manufacturing firms. Technovation 2021, 104, 102254. [Google Scholar] [CrossRef]
  59. Bu, J.; Cuervo-Cazurra, A. Informality costs: Informal entrepreneurship and innovation in emerging economies. Strateg. Entrep. J. 2020, 14, 329–368. [Google Scholar] [CrossRef]
  60. de Bettignies, J.E.; Liu, H.F.; Robinson, D.T.; Gainulline, B. Competition and Innovation in Markets for Technology. Manag. Sci. 2023, 69, 4753–4773. [Google Scholar] [CrossRef]
Figure 1. Theoretical research model. Source: Created by the authors.
Figure 1. Theoretical research model. Source: Created by the authors.
Systems 14 00178 g001
Figure 2. Relationship between innovation input and enterprise value. (a) Marginal effect; (b) U-shaped relationship. Source: Generated by the authors using Stata 16 based on the regression results.
Figure 2. Relationship between innovation input and enterprise value. (a) Marginal effect; (b) U-shaped relationship. Source: Generated by the authors using Stata 16 based on the regression results.
Systems 14 00178 g002
Figure 3. Heterogeneity of different stages in the industry chain. (a): Innovation input and enterprise value; (b): innovation output and enterprise value. Source: Generated by the authors using Stata based on the regression results.
Figure 3. Heterogeneity of different stages in the industry chain. (a): Innovation input and enterprise value; (b): innovation output and enterprise value. Source: Generated by the authors using Stata based on the regression results.
Systems 14 00178 g003
Figure 4. Heterogeneity of ownership structure. (a): Innovation input and enterprise value; (b): innovation output and enterprise value. Source: Generated by the authors using Stata based on the regression results.
Figure 4. Heterogeneity of ownership structure. (a): Innovation input and enterprise value; (b): innovation output and enterprise value. Source: Generated by the authors using Stata based on the regression results.
Systems 14 00178 g004
Figure 5. Moderating effect of control costs (2-D graph). (a): Innovation input and enterprise value; (b): innovation output and enterprise value. Source: Generated by the authors using Stata based on the regression results.
Figure 5. Moderating effect of control costs (2-D graph). (a): Innovation input and enterprise value; (b): innovation output and enterprise value. Source: Generated by the authors using Stata based on the regression results.
Systems 14 00178 g005
Figure 6. Moderating effect of control costs (3-D graph). (a): Innovation input and enterprise value; (b): innovation output and enterprise value. Source: Generated by the authors using Python 3.11 based on the regression results.
Figure 6. Moderating effect of control costs (3-D graph). (a): Innovation input and enterprise value; (b): innovation output and enterprise value. Source: Generated by the authors using Python 3.11 based on the regression results.
Systems 14 00178 g006
Figure 7. Moderating effect of the degree of market competition (2-D graph). (a): Innovation input and enterprise value; (b): innovation output and enterprise value. Source: Generated by the authors using Stata based on the regression results.
Figure 7. Moderating effect of the degree of market competition (2-D graph). (a): Innovation input and enterprise value; (b): innovation output and enterprise value. Source: Generated by the authors using Stata based on the regression results.
Systems 14 00178 g007
Figure 8. Moderating effect of the degree of market competition (3-D graph). (a): Innovation input and enterprise value; (b): innovation output and enterprise value. Source: Generated by the authors using Python based on the regression results.
Figure 8. Moderating effect of the degree of market competition (3-D graph). (a): Innovation input and enterprise value; (b): innovation output and enterprise value. Source: Generated by the authors using Python based on the regression results.
Systems 14 00178 g008
Table 1. Definition of variables.
Table 1. Definition of variables.
Variable TypesVariable NameVariable CodeDefinition
Dependent variableEnterprise valueTobinsQRatio of market value to total assets
Independent variableInvestment dimension: R&D investmentRDLogarithm of an enterprise’s total R&D investment
Output dimension:
number of patent applications
PatentLogarithm of the total number of patent applications filed by the firm in a given year, plus one
Control variablesEnterprise sizeSizeLogarithm of total enterprise assets
Enterprise ageAgeLogarithm of the difference between the year of observation of the sample and the time of establishment of the enterprise
Leverage RatioLevRatio of total liabilities to total assets
Net operating profit marginOPRatio of net profit to operating income
Current ratioCRRatio of current assets to current liabilities
Shareholding ratio of the top ten shareholdersTop10_holdSum of shareholdings of top ten shareholders
Mechanism variableEnterprise operational efficiencyTATOTotal asset turnover, ratio of operating income to total assets
Moderating variableInternal: Control costsMERManagement expense ratio, ratio of management expenses to operating income
External: degree of market competitionHHIHerfindahl–Hirschman Index, sum of the squares of the proportion of each firm’s main business revenue to total industry main business revenue
Table 2. Descriptive statistics.
Table 2. Descriptive statistics.
VariablesNMeanSDMinP50Max
TobinsQ11001.8781.0210.6841.57611.513
RD110019.0851.51814.09318.89623.761
Patent11002.6602.06302.6028.095
Size110022.8411.31120.32822.64727.621
Age11002.9300.3081.6092.9963.497
Lev11000.4710.1810.0520.4700.977
OP11000.0510.147−1.3700.0550.908
CR11001.9491.3930.1061.51419.212
Top10_hold110054.72415.74113.28155.891101.160
TATO11000.6870.3640.0770.6202.593
MER11000.0740.0430.0090.0660.503
HHI11000.1410.12400.0911
Table 3. Baseline regression results.
Table 3. Baseline regression results.
Variables(1)(2)(3)(4)
TobinsQTobinsQTobinsQTobinsQ
RD 0.081−1.229 ***
(0.056)(0.444)
RD2 0.035 ***
(0.012)
Patent 0.076 ***
(0.025)
Size−0.254 ***−0.323 ***−0.369 ***−0.257 ***
(0.062)(0.078)(0.079)(0.062)
Age0.749 *0.775 *0.825 *0.900 **
(0.440)(0.440)(0.439)(0.441)
Lev0.0220.0530.0280.012
(0.312)(0.313)(0.312)(0.311)
OP0.658 ***0.664 ***0.664 ***0.605 ***
(0.169)(0.169)(0.168)(0.169)
CR−0.063 **−0.059 **−0.070−0.059 **
(0.028)(0.028)(0.028)(0.028)
Top10_hold−0.001−0.000−0.002−0.001
(0.003)(0.003)(0.003)(0.003)
Constant5.607 ***5.509 ***18.534 ***5.046 ***
(1.840)(1.841)(4.752)(1.842)
FirmYESYESYESYES
YearYESYESYESYES
IndustryYESYESYESYES
Observations1100110011001100
Adjusted R-squared0.5830.5840.5870.587
Notes: * p < 0.1, ** p < 0.05, *** p < 0.01. Standard errors are given in parentheses.
Table 4. Robustness test results.
Table 4. Robustness test results.
VariablesU-Shaped RelationshipAdjustment the Sample PeriodReplacing the Indicator of Enterprise Value
(1)(2)(3)(4)(5)(6)(7)
TobinsQTobinsQTobinsQTobinsQBTobinsQBAdjROAAdjROA
RD1.977−0.754 −1.458 *** −0.059 **
(3.915)(0.502) (0.488) (0.030)
RD2−0.1340.023 * 0.040 *** 0.002 **
(0.206)(0.014) (0.013) (0.001)
RD30.003
(0.004)
Patent 0.052 ** 0.083 *** 0.004 **
(0.026) (0.027) (0.002)
ControlsYESYESYESYESYESYESYES
FirmYESYESYESYESYESYESYES
YearYESYESYESYESYESYESYES
IndustryYESYESYESYESYESNONO
Observations11008008001100110011001100
Adjusted R-squared0.5870.6400.6370.5960.5960.5040.372
Notes: * p < 0.1, ** p < 0.05, *** p < 0.01. Standard errors are given in parentheses.
Table 5. GMM estimation results.
Table 5. GMM estimation results.
Variables(1)(2)
TobinsQTobinsQ
L.TobinsQ0.305 ***0.594 ***
(0.025)(0.007)
RD−1.004 ***
(0.378)
RD20.026 **
(0.010)
Patent 0.059 ***
(0.005)
ControlsYESYES
FirmYESYES
YearYESYES
Observations10001000
AR(1) p-value0.0000.000
AR(2) p-value0.3170.670
Hansen test76.69(0.331)85.46(0.895)
Notes: ** p < 0.05, *** p < 0.01. Standard errors are given in parentheses. Hansen test is p value in parentheses.
Table 6. Endogeneity test results.
Table 6. Endogeneity test results.
VariablesFirst-Stage RegressionSecond-Stage RegressionFirst-Stage RegressionSecond-Stage Regression
(1)(2)(3)(4)(5)
RDRD2TobinsQPatentTobinsQ
RD −1.821 ***
(0.613)
RD2 0.049 ***
(0.018)
RDIV−3.039 ***−38.709 ***
(0.561)(10.267)
RDIV20.051 ***1.017 **
(0.016)(0.479)
Patent 0.068 ***
(0.022)
PatentIV 0.932 ***
(0.027)
ControlsYESYESYESYESYES
FirmYESYESYESYESYES
Year × IndustryYESYESYESYESYES
Observations11001100110011001100
F-value (first-stage)44.9235.10 135.3
Kleibergen–Paap rk LM statistic61.679 ***153.347 ***
Cragg–Donald Wald F statistic26.87 > 10% maximal IV size271.26 > 10% maximal IV size
Notes: ** p < 0.05, *** p < 0.01. Standard errors are given in parentheses.
Table 7. Heterogeneity regression results for different stages of the industry chain.
Table 7. Heterogeneity regression results for different stages of the industry chain.
VariablesTobinsQ
UpstreamMidstreamDownstream
(1)(2)(3)(4)(5)(6)(7)(8)(9)
RD0.101−1.856 *** −0.011−1.400 ** 0.184−1.817 *
(0.075)(0.657) (0.064)(0.600) (0.163)(0.933)
RD2 0.054 *** 0.033 ** 0.057 **
(0.018) (0.014) (0.026)
Patent 0.103 *** −0.009 0.067 **
(0.036) (0.024) (0.032)
ControlsYESYESYESYESYESYESYESYESYES
FirmYESYESYESYESYESYESYESYESYES
YearYESYESYESYESYESYESYESYESYES
IndustryYESYESYESYESYESYESYESYESYES
Observations715715715219219219176176176
Adjusted R-squared0.5820.5800.5790.5310.5430.5310.5480.5600.423
Notes: * p < 0.1, ** p < 0.05, *** p < 0.01. Standard errors are given in parentheses.
Table 8. Regression results on the heterogeneity of ownership structure.
Table 8. Regression results on the heterogeneity of ownership structure.
VariablesSOENon-SOE
(1)(2)(3)(4)(5)(6)
TobinsQTobinsQTobinsQTobinsQTobinsQTobinsQ
RD0.163 **−0.326 0.043−1.719 ***
(0.071(0.693) (0.076)(0.576)
RD2 0.013 0.047 ***
(0.018) (0.016)
Patent 0.030 * 0.103 ***
(0.018) (0.033)
ControlsYESYESYESYESYESYES
FirmYESYESYESYESYESYES
YearYESYESYESYESYESYES
IndustryYESYESYESYESYESYES
Observations340340341759759759
Adjusted R-squared0.6810.7320.4990.5670.5750.572
Notes: * p < 0.1, ** p < 0.05, *** p < 0.01. Standard errors are given in parentheses.
Table 9. Results of the mechanism test.
Table 9. Results of the mechanism test.
Variables(1)(2)(3)(4)
TATOTobinsQTATOTobinsQ
RD−0.317 ***−1.051 **
(0.091)(0.441)
RD20.012 ***0.029 **
(0.002)(0.012)
TATO 0.294 * 0.349 **
(0.155) (0.145)
Patent 0.010 *0.073 ***
(0.005)(0.025)
ControlsYESYESYESYES
FirmYESYESYESYES
YearYESYESYESYES
IndustryYESYESYESYES
Observations1100110011001100
Adjusted R-squared0.8630.5880.8410.589
Notes: * p < 0.1, ** p < 0.05, *** p < 0.01. Standard errors are given in parentheses.
Table 10. Results of the moderating effect.
Table 10. Results of the moderating effect.
Variables(1)(2)(3)(4)
TobinsQTobinsQTobinsQTobinsQ
RD−0.858 **−0.835
(0.306)(0.567)
RD20.020 **0.026 *
(0.008)(0.015)
Patent 0.123 ***0.066 ***
(0.034)(0.025)
MER−217.377 *** 1.268
(63.268) (1.077)
RD × MER23.502 ***
(7.405)
RD2 × MER−0.631 **
(0.217)
HHI 72.628 * −0.243
(37.767) (0.355)
RD × HHI −6.813 *
(3.702)
RD2 × HHI 0.157 *
(0.091)
Patent × MER −0.697 **
(0.353)
Patent × HHI −0.226 **
(0.114)
Constant10.756 **11.614 **5.181 ***6.804 ***
(3.160)(5.624)(1.877)(0.632)
ControlsYESYESYESYES
FirmYESYESYESYES
YearYESYESYESYES
IndustryYESYESYESYES
Observations1100110011001100
Adjusted R-squared0.2490.5900.5870.336
Notes: * p < 0.1, ** p < 0.05, *** p < 0.01. Standard errors are given in parentheses.
Disclaimer/Publisher’s Note: The statements, opinions and data contained in all publications are solely those of the individual author(s) and contributor(s) and not of MDPI and/or the editor(s). MDPI and/or the editor(s) disclaim responsibility for any injury to people or property resulting from any ideas, methods, instructions or products referred to in the content.

Share and Cite

MDPI and ACS Style

Sun, J.; Li, X.; Zhao, X. Does Innovation in New Energy Vehicle Enterprises Always Enhance Enterprise Value? Evidence from China. Systems 2026, 14, 178. https://doi.org/10.3390/systems14020178

AMA Style

Sun J, Li X, Zhao X. Does Innovation in New Energy Vehicle Enterprises Always Enhance Enterprise Value? Evidence from China. Systems. 2026; 14(2):178. https://doi.org/10.3390/systems14020178

Chicago/Turabian Style

Sun, Jingxiao, Xuemei Li, and Xiaolei Zhao. 2026. "Does Innovation in New Energy Vehicle Enterprises Always Enhance Enterprise Value? Evidence from China" Systems 14, no. 2: 178. https://doi.org/10.3390/systems14020178

APA Style

Sun, J., Li, X., & Zhao, X. (2026). Does Innovation in New Energy Vehicle Enterprises Always Enhance Enterprise Value? Evidence from China. Systems, 14(2), 178. https://doi.org/10.3390/systems14020178

Note that from the first issue of 2016, this journal uses article numbers instead of page numbers. See further details here.

Article Metrics

Back to TopTop