Evaluating the Well-Being Effects of a Carbon Emissions Trading System: Evidence from 273 Chinese Cities
Abstract
1. Introduction
2. Literature Review
2.1. Measurement of People’s Well-Being and Its Determinants
2.2. Assessment of the Effect of a Carbon Emission Trading System
3. Theoretical Analysis and Research Hypothesis
3.1. Direct Impact of the Carbon Emission Trading System on People’s Well-Being
3.2. Impact Mechanism of the Carbon Emissions Trading System on People’s Well-Being
3.3. Moderating and Threshold Effects
- Fiscal expenditure decentralization
- 2.
- Marketization degree
3.4. The Heterogeneous Impact of the Carbon Emissions Trading System on People’s Well-Being
4. Research Design
4.1. Model Construction
4.1.1. Benchmark Regression Model Construction
4.1.2. Mechanism Testing Model Construction
4.1.3. Moderating Effects Model Construction
4.1.4. Threshold Effect Model Construction
4.2. Variable Selection
4.2.1. Explained Variable
4.2.2. Explanatory Variable
4.2.3. Control Variables
4.2.4. Mechanism Variable
4.2.5. Moderating and Threshold Variables
- (1)
- Fiscal expenditures decentralization (FED): The traditional theory of fiscal expenditures decentralization holds that fiscal expenditures decentralization can promote local governments to increase financial inputs tilted toward livelihood areas, which in turn is conducive to the enhancement of people’s well-being. Following Cai et al. [53], this study measures fiscal expenditure decentralization by the share of per capita fiscal expenditure at the prefecture-level city in the total per capita fiscal expenditure across the prefecture-level city, provincial, and national levels.
- (2)
4.3. Data Description and Descriptive Statistics
5. Result and Analysis
5.1. Measurement Results and Analysis of People’s Well-Being
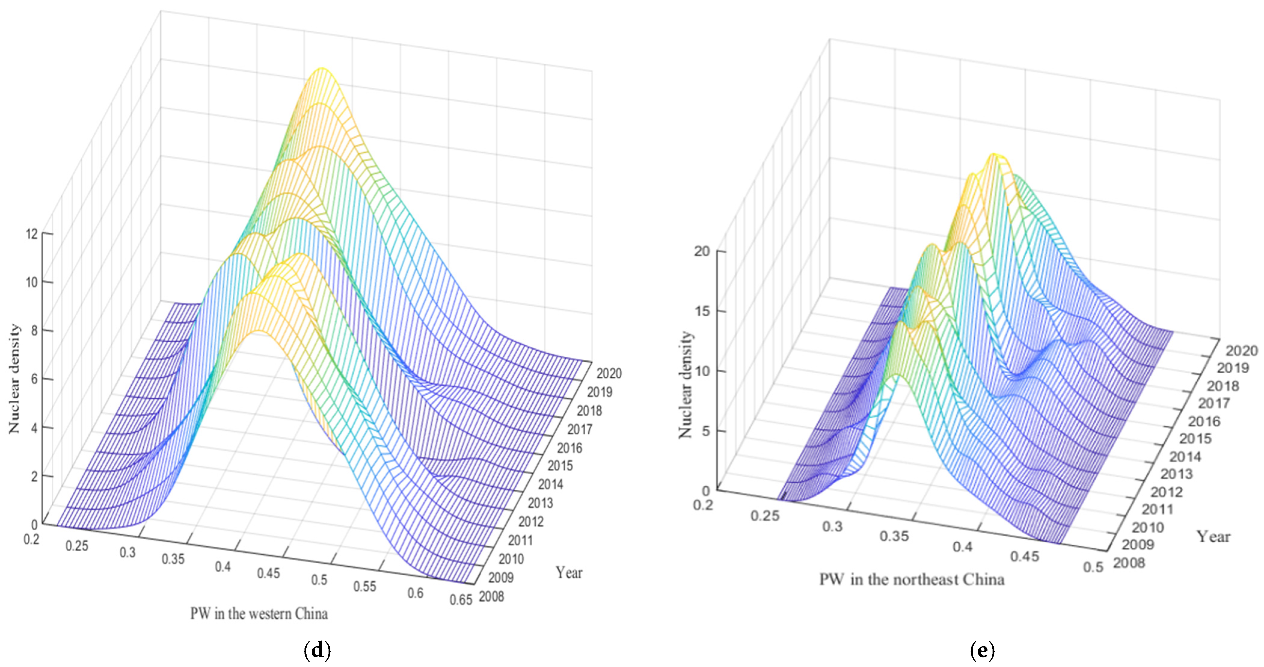
5.1.1. Time Evolution Analysis of People’s Well-Being
5.1.2. Dynamic Evolution Analysis of People’s Well-Being
5.2. Variable Correlation Analysis
5.3. Parallel Trend Test
5.4. Benchmark Regression
5.5. Dimension-Specific Regression
5.6. Robustness Test
5.6.1. Replace the Explained Variable
5.6.2. Removal of Outliers
- Winsorized test
- 2.
- Excluding the Interference of Linear Interpolation
5.6.3. Excluding the Interference of Non-Random Selection of Pilot Cities
5.6.4. Removing Interference from Other Policy
5.6.5. Propensity Score Matching-Differences in Differences (PSM-DID)
5.6.6. Goodman-Bacon Decomposition
5.6.7. Placebo Test
6. Further Analysis
6.1. Impact Mechanisms Analysis
6.1.1. Green Technology Innovation
6.1.2. Other Potential Mechanisms
- PM2.5 concentration
- 2.
- Social security and employment expenditure
6.2. Moderating Effects Analysis
6.2.1. The Moderating Effect of Fiscal Expenditures Decentralization
6.2.2. The Moderating Effect of Marketization Degree
6.3. Threshold Effect
6.3.1. The Threshold Effect of Fiscal Expenditures Decentralization
6.3.2. The Threshold of Marketization Degree
6.4. Heterogeneity Analysis
6.4.1. Heterogeneity Analysis of the YREB
6.4.2. Heterogeneity Analysis of the Resource Endowment
6.5. Spatial Spillover Effect
6.5.1. Spatial Econometric Models Construction
6.5.2. Spatial Autocorrelation Test
6.5.3. Selection of Spatial Econometric Models
6.5.4. Spatial Econometric Model Regression Analysis
7. Conclusions and Policy Recommendations
7.1. Conclusions and Discussion
7.2. Policy Recommendations
- Policy design should be optimized based on local conditions to enhance regional adaptability. The carbon emissions trading system exerts heterogeneous effects on the well-being of different types of cities, reflecting significant regional disparities in economic development, industrial structure, and resource endowment. A uniform institutional arrangement is therefore difficult to fully align with local realities. Therefore, policy design should follow the principles of differentiation and precision, with implementation plans formulated according to the specific characteristics of each region. For cities in the YREB, policy design should fully account for the region’s industrial characteristics, such as the high proportion of heavy and chemical industries, the strong interconnection of industrial chains, and the ease of carbon cost transmission along upstream and downstream sectors. In quota allocation and sectoral constraint design, the benchmark-based approach to quota formation and dynamic calibration can be further strengthened, while simultaneously considering differences in marginal abatement costs across industries. At the same time, institutionalized information disclosure should be strengthened to mitigate firms’ overreactions under uncertainty. In addition, supporting resources should be more strategically allocated to job stabilization and skill enhancement to strengthen labor reallocation and industrial absorption capacities, thereby fostering favorable conditions for the transition of policy effects from short-term suppression to long-term improvement.
- 2.
- Enhance the green technology innovation system to strengthen the effectiveness of policy outcomes. Research results demonstrate that green technology innovation constitutes the primary mechanism through which carbon emissions trading system influence people’s well-being. Accordingly, incentive mechanisms and institutional supply should be further improved. On the one hand, expanding fiscal subsidies, green finance, and R&D investments can reduce both the costs and risks faced by enterprises in pursuing green innovation. On the other hand, strengthening intellectual property protection and improving technology diffusion platforms can facilitate the broader application of advanced green technologies. At the same time, an innovation network characterized by “government guidance, enterprise leadership, and research collaboration” should be established to foster the deep integration of green innovation with industrial and value chains, thereby creating a long-term mechanism for enhancing people’s well-being.
- 3.
- Enhance the alignment between fiscal expenditure decentralization and corresponding responsibilities, and promote targeted policy measures and institutional optimization. Empirical results show that fiscal expenditure decentralization exerts a negative moderating effect on the impact of the carbon emissions trading system on people’s well-being. Therefore, it is crucial to clearly define fiscal authority and expenditure responsibilities, and to further delineate the boundaries of responsibility between the central and local governments within the carbon emissions trading system. Specifically, the central government should take responsibility for formulating a unified national carbon market framework, developing the top-level design for total emission control and quota systems, and establishing standardized regulations for accounting, verification, and information disclosure to maintain system coherence. Meanwhile, under controllable risk conditions, local governments should be endowed with an appropriate level of fiscal autonomy to improve their ability to manage and integrate fiscal funds and revenues from carbon trading. In addition, it is necessary to further explore differentiated models of fiscal expenditure decentralization. For regions with a lower level of fiscal decentralization, higher-level governments should appropriately delegate operational coordination authority, allowing local governments to make more targeted expenditure arrangements in areas such as employment and social security. For regions with a medium level of decentralization, emphasis should be placed on optimizing assessment mechanisms and budget constraints to mitigate the crowding-out effect of short-term incentives on green transition investments. This approach would promote closer coordination between carbon trading revenues and the general public budget. For regions with higher decentralization and stronger coordination capacity, greater budgetary discretion should be granted, provided that information transparency and accountability mechanisms are strengthened. This would increase investment in areas such as green technology research and development, and improving the quality and efficiency of public services, thereby better unleashing the positive welfare effects of the carbon emissions trading system. For regions with higher decentralization and stronger coordination capacity, greater budgetary discretion should be granted, provided that information transparency and accountability mechanisms are reinforced. This would facilitate increased investment in green technology research and development and the improvement of public service quality and efficiency, thereby better unleashing the positive effects of the carbon emissions trading system on people’s well-being.
- 4.
- Strengthen institutional frameworks and regulatory mechanisms to ensure alignment with the degree of marketization. Empirical results show that the degree of marketization does not exhibit a linear moderating effect. However, the threshold test results indicate that once the degree of marketization exceeds a certain level, the positive impact of the carbon emissions trading system on people’s well-being significantly weakens. This suggests that the transformation of market mechanisms into sustained policy effects does not depend solely on a unidirectional increase in the degree of marketization. Rather, it depends more on whether the supply of rules, regulatory constraints, and related mechanisms can be strengthened in step with the level of market activity. When institutional supply lags behind, the uncertainty of carbon price signals rises, making it difficult for firms to form stable expectations. Consequently, the positive impact of the carbon emissions trading system on people’s well-being tends to weaken in highly marketized regions. Therefore, in regions with a higher degree of marketization, it is essential to strengthen mechanisms for monitoring and addressing abnormal transactions, enhance the quality of information disclosure, and impose stricter penalties for trading violations. At the same time, the quality of market operations should be enhanced through rule refinement. This approach can maintain strong emission-reduction incentives while mitigating volatility risks, stabilize firms’ long-term expectations for green technology innovation, and thereby promote the sustained improvement of people’s well-being under the carbon emissions trading system. In regions with a lower degree of marketization, the monitoring, reporting, and verification system should be strengthened to improve the accuracy of emissions data, refine quota registration procedures, and tighten default and penalty rules. These measures can align carbon prices more closely with marginal abatement costs and provide effective decision-making signals. As a result, enterprises would be encouraged to lower their long-term compliance costs through green technology innovation, thereby creating the necessary conditions for improving people’s well-being under the carbon emissions trading system.
7.3. Limitations and Future Research
Author Contributions
Funding
Data Availability Statement
Conflicts of Interest
Abbreviations
| EWM-TOPSIS | Entropy Weight Method-Technique for Order Performance by Similarity to Ideal Solution |
| DID | Difference-in-Differences |
| YREB | Yangtze River Economic Belt |
| SDGs | Sustainable Development Goals |
| EU ETS | European Union Emissions Trading System |
| NIE | New Institutional Economics |
| NSEE | New Structural Environmental Economics |
| HDI | Human Development Index |
| SEDA | Sustainable Economic Development Assessment |
| LCCP | Low carbon city pilot policy |
| HCPP | Health City Pilot Policy |
| BCPP | Broadband China Pilot Policy |
| PSM-DID | Propensity Score Matching-Differences in Differences |
| TWFE | Two-Way Fixed Effects |
| LM | Lagrange Multiplier |
| LR | Likelihood Ratio |
| NZ ETS | New Zealand Emissions Trading Scheme |
References
- Shi, B.B.; Li, N.; Gao, Q.; Li, G.Q. Market Incentives, Carbon Quota Allocation and Carbon Emission Reduction: Evidence from China’s Carbon Trading Pilot Policy. J. Environ. Manag. 2022, 319, 115650. [Google Scholar] [CrossRef]
- Lv, M.C.; Bai, M.Y. Evaluation of China’s Carbon Emission Trading Policy from Corporate Innovation. Financ. Res. Lett. 2021, 39, 101565. [Google Scholar] [CrossRef]
- Xiao, Y.; Huang, H.; Qian, X.M.; Chen, L. Can Carbon Emission Trading Pilot Facilitate Green Development Performance? Evidence From a Quasi-Natural Experiment in China. J. Clean. Prod. 2023, 400, 136755. [Google Scholar] [CrossRef]
- Assa, J. Less is More: The Implicit Sustainability Content of the Human Development Index. Ecol. Econ. 2021, 185, 107045. [Google Scholar] [CrossRef]
- Resce, G. Wealth-Adjusted Human Development Index. J. Clean. Prod. 2021, 318, 128587. [Google Scholar] [CrossRef]
- Woodhouse, E.; Homewood, K.M.; Beauchamp, E.; Celments, T.; McCabe, J.T.; Wilkie, D.; Milner-Gulland, E.J. Guiding Principles for Evaluating the Impacts of Conservation Interventions on Human Well-Being. Philos. Trans. R. Soc. B-Biol. Sci. 2015, 370, 20150103. [Google Scholar] [CrossRef]
- Cui, Y.Z.; Wang, W.X.; Yu, L.H.; Zhou, W.; Fu, Z.T. Influence of Livelihood Capital Level and Structure on Rural Households’ Payment Willingness for Rural Human Settlement Improvement: Evidence from Hubei Province, China. Agriculture 2022, 12, 1808. [Google Scholar] [CrossRef]
- Zhang, Y.M.; Zhong, C.Y.; Wang, Y. Measurement, Spatial Differences and Driving Effects of Well-Being Levels in China. PLoS ONE 2024, 19, e0311291. [Google Scholar]
- Counted, V.; Cowden, R.G.; Lomas, T. Global Diversity in Spatial (Rural-Urban) Well-Being in over 100 Countries. Cities 2024, 149, 104987. [Google Scholar] [CrossRef]
- Kimbu, A.N.; Adam, I.; Dayour, F.; De Jong, A. COVID-19-Induced Redundancy and Socio-Psychological Well-Being of Tourism Employees: Implications for Organizational Recovery in a Resource-Scarce Context. J. Travel Res. 2023, 62, 55–74. [Google Scholar] [CrossRef]
- Zhang, X.; Cheng, L.; Ma, G.S. Eliciting Eudaimonic Well-Being in the Tourism Experiential Space: Evidence from Online Reviews. Tour. Manag. 2024, 105, 104955. [Google Scholar] [CrossRef]
- Choung, Y.; Chatterjee, S.; Pak, T.Y. Digital Financial Literacy and Financial Well-Being. Financ. Res. Lett. 2023, 58, 104438. [Google Scholar] [CrossRef]
- Zhang, C.T.; Zhao, L.; Song, X.Y.; Zhang, Q.J.; Zhang, X.B. Spatial-Temporal Coupling Characteristics and Interaction Effects of Economic Resilience and People’s Livelihoods and Well-Being: An Analysis of 78 Cities in the Yellow River Basin. Sustain. Cities Soc. 2024, 112, 105638. [Google Scholar] [CrossRef]
- Ahmadiani, M.; Ferreira, S. Well-Being Effects of Extreme Weather Events in the United States. Resour. Energy Econ. 2021, 64, 101213. [Google Scholar] [CrossRef]
- Zhang, G.F.; Li, J.Y.; Ma, J.; Liu, Z.H. Pro-Growth or Limit on: How Environmental Regulations Affect Residents’ Well-Being. Econ. Anal. Policy 2024, 84, 1509–1520. [Google Scholar] [CrossRef]
- Paramati, S.R.; Di, M.; Huang, R.X. The Role of Financial Deepening and Green Technology on Carbon Emissions: Evidence from Major OECD Economies. Financ. Res. Lett. 2021, 41, 101794. [Google Scholar] [CrossRef]
- Jia, L.J.; Zhang, X.; Wang, X.N.; Chen, X.L.; Xu, X.F.; Song, M.L. Impact of Carbon Emission Trading System on Green Technology Innovation of Energy Enterprises in China. J. Environ. Manag. 2024, 360, 121229. [Google Scholar] [CrossRef] [PubMed]
- Xin, L.G.; Ahmad, M.; Khattak, S.I. Impact of Innovation in Marine Energy Generation, Distribution, or Transmission-Related Technologies on Carbon Dioxide Emissions in the United States. Renew. Sustain. Energy Rev. 2022, 159, 112225. [Google Scholar] [CrossRef]
- Lyu, X.H.; Shi, A.N.; Wang, X. Research on the Impact of Carbon Emission Trading System on Low-Carbon Technology Innovation. Carbon Manag. 2020, 11, 183–193. [Google Scholar] [CrossRef]
- Chen, Z.F.; Zhang, X.; Chen, F.L. Do Carbon Emission Trading Schemes Stimulate Green Innovation in Enterprises? Evidence from China. Technol. Forecast. Soc. Change 2021, 168, 120744. [Google Scholar] [CrossRef]
- Zhang, W.; Li, G.X.; Guo, F.Y. Does Carbon Emissions Trading Promote Green Technology Innovation in China? Appl. Energy 2022, 315, 119012. [Google Scholar] [CrossRef]
- Anderson, B.; Di Maria, C. Abatement and Allocation in the Pilot Phase of the EU ETS. Environ. Resour. Econ. 2011, 48, 83–103. [Google Scholar]
- Wang, Q.; Zhang, F.Y.; Li, R.R. Free Trade and Carbon Emissions Revisited: The Asymmetric Impacts of Trade Diversification and Trade Openness. Sustain. Dev. 2024, 32, 876–901. [Google Scholar] [CrossRef]
- Yang, J.; Liu, C.L.; Liu, X. Do Carbon Emissions Trading Pilots Effectively Reduce CO2 emissions? County-Level Evidence from Eastern China. Int. J. Technol. Manag. 2024, 95, 156–172. [Google Scholar] [CrossRef]
- Ehigiamusoe, K.U.; Dogan, E.; Ramakrishnan, S.; Binsaeed, R.H. How Does Technological Innovation Moderate the Environmental Impacts of Economic Growth, Natural Resource Rents and Trade Openness? J. Environ. Manag. 2024, 371, 123229. [Google Scholar] [CrossRef]
- Loschel, A.; Luta, B.Z.; Managi, S. The Impacts of the EU ETS on Efficiency and Economic Performance—An Empirical Analyses for German Manufacturing Firms. Resour. Energy Econ. 2019, 56, 71–95. [Google Scholar]
- Gao, M.; Song, M.L.; Liu, Y.; Chen, J.D. The Impact of Carbon Emission Trading Schemes on China’s Economic Inequalities Between and Within Urban and Rural Areas Based on the Satellite Data: A County-Level Analysis. Clim. Policy 2024, 24, 1096–1111. [Google Scholar] [CrossRef]
- Wang, Q.; Zhang, F.Y. The Effects of Trade Openness on Decoupling Carbon Emissions from Economic Growth—Evidence from 182 countries. J. Clean. Prod. 2021, 279, 123838. [Google Scholar] [PubMed]
- Salman, M.; Long, X.L.; Dauda, L.; Mensah, C.N. The Impact of Institutional Quality on Economic Growth and Carbon Emissions: Evidence from Indonesia, South Korea and Thailand. J. Clean. Prod. 2019, 241, 118331. [Google Scholar] [CrossRef]
- Tang, C.H.; Rosland, A.; Yasmeen, R.; Long, Y.F. The Threshold Analysis of Economic Growth, FDI and Trade on Environment Pollution in China Using Provincial Panel Data. Environ. Dev. Sustain. 2024, 26, 25071–25090. [Google Scholar]
- Thombs, R.P. The Asymmetric Effects of Fossil Fuel Dependency on The Carbon Intensity of Well-Being: A US State-Level Analysis, 1999–2017. Glob. Environ. Change-Hum. Policy Dimens. 2022, 77, 102605. [Google Scholar] [CrossRef]
- Yang, M.M.; Liang, X.Y.; Ma, Y.H.; Lu, W.J.; Zhao, R.J. Exploring The Carbon Inequality Embodied in China’s Interregional Trade Based on a Human Well-Being Equity Perspective. J. Clean. Prod. 2023, 420, 138367. [Google Scholar] [CrossRef]
- Colmer, J.; Martin, R.; Muûls, M.; Wagner, U.J. Does Pricing Carbon Mitigate Climate Change? Firm-Level Evidence from the European Union Emissions Trading System. Rev. Econ. Stud. 2025, 92, 1625–1660. [Google Scholar] [CrossRef]
- Liu, J.Y.; Woodward, R.T.; Zhang, Y.J. Has Carbon Emissions Trading Reduced PM2.5 in China? Environ. Sci. Technol. 2021, 55, 6631–6643. [Google Scholar] [CrossRef]
- Xie, Y.; Zhong, H.; Weng, Z.X.; Guo, X.B.; Kim, S.E.; Wu, S.W. PM2.5 Concentration Decline Saves Health Expenditure in China. Front. Environ. Sci. Eng. 2023, 17, 90. [Google Scholar] [CrossRef]
- Qi, L.L.; Zhao, L.; Zhang, Y.Q.; Jiang, S.Q.; Lin, X.Y.; Ren, Y.S. Computable General Equilibrium Analysis of Neutral Carbon Trading Scheme and Revenue Recycling Impacts on Income Distribution in China. Humanit. Soc. Sci. Commun. 2024, 11, 101794. [Google Scholar]
- Oates, W.E. An Essay on Fiscal Federalism. J. Econ. Lit. 1999, 37, 1120–1149. [Google Scholar] [CrossRef]
- Porter, M.E.; Vanderlinde, C. Toward a New Conception of the Environment-Competitiveness Relationship. J. Econ. Perspect. 1995, 9, 97–118. [Google Scholar] [CrossRef]
- Romer, P.M. Endogenous Technological Change. J. Political Econ. 1990, 98, S71–S102. [Google Scholar] [CrossRef]
- Lee, C.; Wang, C.; He, Z.; Xing, W.; Wang, K. How Does Green Finance Affect Energy Efficiency? The Role of Green Technology Innovation and Energy Structure. Renew. Energy 2023, 219, 119417. [Google Scholar] [CrossRef]
- Wang, H.; Ye, S.; Chen, H.; Yin, J.Y. The Impact of Carbon Emission Trading Policy on Overcapacity of Companies: Evidence from China. Energy Econ. 2023, 126, 106929. [Google Scholar] [CrossRef]
- Li, X.Y.; Ke, D.; Li, G.D.; Tsai, S.B. Financialization, Heterogeneous Environmental Regulation, and Corporate Green Innovation: Evidence from China. Pol. J. Environ. Stud. 2024, 33, 2739–2760. [Google Scholar] [CrossRef]
- Mengesha, I.; Roy, D. Carbon Pricing Drives Critical Transition to Green Growth. Nat. Commun. 2025, 16, 1321. [Google Scholar] [CrossRef]
- Lin, Y.F.; Fu, C.H.; Zheng, J. New Structural Environmental Economics: New Framework and New Insights. Econ. Theory Bus. Manag. 2023, 43, 4–17. [Google Scholar]
- Chen, L.; Zhao, J.Y.; Wang, J.B.; Ren, Q.; Liu, W.; Liu, Q.Y. Measuring and Optimizing Pathways for Regional Economic and Low-Carbon Coordination Effects: A Case Study of the Yangtze River Economic Belt. Energy Strategy Rev. 2025, 59, 101725. [Google Scholar] [CrossRef]
- Cui, Y.F.; Li, L.; Lei, Y.L.; Wu, S.M. The Performance and Influencing Factors of High-Quality Development of Resource-Based Cities in the Yellow River Basin Under Reducing Pollution and Carbon Emissions Constraints. Resour. Policy 2023, 88, 104488. [Google Scholar] [CrossRef]
- Chen, Y.; Jiang, C.L.; Peng, L.; Zhao, S.; Chen, C. Digital Infrastructure Construction and Urban Industrial Chain Resilience: Evidence from the “Broadband China” Strategy. Sustain. Cities Soc. 2025, 121, 106228. [Google Scholar] [CrossRef]
- Chen, Z.; Shi, Y.; Ding, R.J. Assessing the Utility of Low-Emission Pilot Policies for Facilitating Pollution Reduction and Carbon Mitigation: An Empirical Investigation Using Multi-Temporal Double Difference Analysis. J. Environ. Manag. 2024, 371, 123196. [Google Scholar] [CrossRef] [PubMed]
- Hansen, B.E. Threshold Effects in Non-Dynamic Panels: Estimation, Testing, and Inference. J. Econom. 1999, 93, 345–368. [Google Scholar] [CrossRef]
- Zheng, X.X.; Qiu, H.L.; Liao, W.M.; Sun, X. Does National Forest City Construction Promote the Synergistic Development of Environment and Welfare? J. Environ. Manag. 2025, 391, 126578. [Google Scholar] [CrossRef] [PubMed]
- Ke, L.A.; Jiang, Q.L.; Lu, Y.; Zhang, S.L.; Lei, N.; Yin, C.K.; Wang, Q.M.; Gai, M. Coupling Analysis of Resident Well-Being and Ecosystem Services Under Sustainable Development Goals: A Case Study of China’s Coastal Regions. Ecol. Indic. 2025, 179, 114234. [Google Scholar] [CrossRef]
- Chen, X.H.; Zhou, P.; Hu, D.B. Influences of the Ongoing Digital Transformation of the Chinese Economy on Innovation of Sustainable Green Technologies. Sci. Total Environ. 2023, 875, 162708. [Google Scholar] [CrossRef] [PubMed]
- Cai, Z.Y.; Ding, X.H.; Zhou, Z.Q.; Han, A.X.; Yu, S.Q.; Yang, X.Y.; Jiang, P. Fiscal Decentralization’s Impact on Carbon Emissions and its Interactions with Environmental Regulations, Economic Development, and Industrialization: Evidence from 288 cities in China. Environ. Impact Assess. Rev. 2024, 110, 107681. [Google Scholar] [CrossRef]
- Liu, L.; Jia, S.M.; Liu, P.Z. The Impact of Financial Centrality on Urban Financial Risks in China. Prog. Geogr. 2024, 43, 2413–2426. [Google Scholar]
- Fan, G.; Wang, X.L.; Zhang, L.W.; Zhu, H.P. Marketization Index for China’s Provinces. Econ. Res. J. 2003, 3, 9–18. [Google Scholar]
- Liu, W.M.; Qiu, Y.T.; Jia, L.J.; Zhou, H. Carbon Emissions Trading and Green Technology Innovation—A Quasi-Natural Experiment Based on a Carbon Trading Market Pilot. Int. J. Environ. Res. Public Health 2022, 19, 16700. [Google Scholar] [CrossRef]
- Wang, C.; Liao, L.G.; Zhang, X.M.; Lin, L.T.; Chen, B. The Health and Welfare Effects of Environmental Governance: Evidence from China. Environ. Int. 2024, 185, 108579. [Google Scholar] [CrossRef]
- Liu, Y.W.; Liu, K.; Zhang, X.; Guo, Q. Does Digital Infrastructure Improve Public Health? A Quasi-Natural Experiment Based on China’s Broadband Policy. Soc. Sci. Med. 2024, 344, 116624. [Google Scholar] [CrossRef]
- Goodman, B.A. Difference-in-differences with Variation in Treatment Timing. J. Econom. 2021, 225, 254–277. [Google Scholar] [CrossRef]
- Wang, H.J.; Yang, L.; Feng, Y.C. How Does Digital Economy Affect the Industry Chain Resilience in China? Humanit. Soc. Sci. Commun. 2024, 11, 1529. [Google Scholar] [CrossRef]
- Wang, H.; Deng, H.M.; Liu, L.J.; Jiang, H.D.; Purohit, P.; Liang, Q.M. Air Pollution and Climate Change Drive Health Inequities Across China’s Provinces (2000–2023). iScience 2025, 28, 113582. [Google Scholar] [CrossRef]
- Zhou, C.Y.; Zhu, J.X.; Chen, Z. Fiscal Decentralization, Environmental Regulation, and Green Technological Innovation: Evidence from China. Sustainability 2024, 16, 4385. [Google Scholar] [CrossRef]
- Yu, H.X.; Wang, H.; Liang, C.Y.; Liu, Z.H.; Wang, S.S. Carbon Market Volatility Analysis Based on Structural Breaks: Evidence from EU-ETS and China. Front. Environ. Sci. 2022, 10, 973855. [Google Scholar] [CrossRef]
- Li, S.; Samour, A.; Irfan, M.; Ali, M. Role of Renewable Energy and Fiscal Policy on Trade Adjusted Carbon Emissions: Evaluating the role of Environmental Policy Stringency. Renew. Energy 2023, 205, 156–165. [Google Scholar] [CrossRef]
- Tian, G.L.; Ban, Q.Q.; Jing, X.D.; Wang, M.; Jin, Y.T. Spatio-Temporal Changes and Root-Cause Identification for Embodied Carbon Emissions based on Production and Consumption in China’s Yangtze River Economic Belt. Environ. Sci. Pollut. Res. 2023, 30, 117503–117518. [Google Scholar] [CrossRef] [PubMed]
- Gong, Q.X. Green Transformation Paths of Resource-Based Cities in China from the Configuration Perspective. Reg. Sustain. 2024, 5, 100158. [Google Scholar] [CrossRef]
- Li, Z.; Sun, P.J.; Cao, N.G.; Li, Z.H. The Spatial Spillover Effect and Nonlinear Influence Mechanism of Digital Economy on Urban Shrinkage. Cities 2026, 171, 106762. [Google Scholar] [CrossRef]
- Perdana, S.; Vielle, M. Regional Inequality of European ETS-2. Energy Policy 2026, 208, 114891. [Google Scholar] [CrossRef]
- Diaz-Rainey, I.; Tulloch, D.J. Carbon Pricing and System Linking: Lessons from the New Zealand Emissions Trading Scheme. Energy Econ. 2018, 73, 66–79. [Google Scholar] [CrossRef]
- Calel, R.; Dechezleprêtre, A. Environmental Policy and Directed Technological Change: Evidence from the European Carbon Market. Rev. Econ. Stat. 2016, 98, 173–191. [Google Scholar] [CrossRef]
- Jung, H.; Song, S.; Ahn, Y.H.; Hwang, H.; Song, C.K. Effects of Emission Trading Schemes on Corporate Carbon Productivity and Implications for Firm-Level Responses. Sci. Rep. 2021, 11, 11679. [Google Scholar] [CrossRef] [PubMed]
- Basaglia, P.; Grunau, J.; Drupp, M.A. The European Union Emissions Trading System Might Yield Large Co-Benefits from Pollution Reduction. Proc. Natl. Acad. Sci. USA 2024, 121, e2319908121. [Google Scholar] [CrossRef] [PubMed]









| First Level Indicator | Secondary Indicators | Specific Indicators |
|---|---|---|
| Economic abundance | Economic development | GDP per capita |
| Per capita disposable income | ||
| Consumer spending | Total retail sales of consumer goods per capita | |
| The government has taken action | Government supply | Total investment in fixed assets per capita |
| Government support | General public budget expenditure | |
| Cultural boom | Cultural recreation | Public library holdings |
| Cultural education | Number of full-time teachers in general higher education | |
| Number of students enrolled in general higher education | ||
| Social order | Social security | Number of participants in basic old-age insurance |
| Number of participants in basic medical insurance | ||
| Number of participants in unemployment insurance | ||
| Medical level | Number of hospitals | |
| Number of hospital beds | ||
| Number of health technicians | ||
| Employment level | Average wage of employed workers | |
| Urban registered unemployment rate | ||
| Ecological civilization | Pollution control | Centralized treatment rate of sewage treatment plants |
| Non-hazardous treatment rate of domestic waste | ||
| Ecological quality | Greening coverage in built-up areas | |
| Per capita green space in parks |
| Variable | Obs | Mean | Std.dev. | Min | Max |
|---|---|---|---|---|---|
| PW | 3549 | 0.3661 | 0.0443 | 0.2150 | 0.6394 |
| CETS | 3549 | 0.0857 | 0.2799 | 0.0000 | 1.0000 |
| Urban | 3549 | 0.5386 | 0.0512 | 0.4455 | 0.6245 |
| Fin | 3549 | 0.9523 | 0.5887 | 0.1122 | 7.4502 |
| Open | 3549 | 0.1879 | 0.3111 | 2.72 × 10−6 | 3.2786 |
| FP | 3549 | 2.8141 | 1.7397 | 0.6488 | 18.0250 |
| Industry | 3549 | 0.9627 | 0.5392 | 0.1387 | 5.3482 |
| GTI | 3549 | 4.6195 | 1.7811 | 0.0000 | 10.2519 |
| FED | 3549 | 0.4060 | 0.0125 | 0.3765 | 0.4197 |
| Market | 3549 | 11.1526 | 2.5916 | 3.7433 | 19.6944 |
| PW | CETS | Urban | Fin | Open | FP | Industry | GTI | FED | Market | |
|---|---|---|---|---|---|---|---|---|---|---|
| PW | 1.000 | 0.119 *** | 0.391 *** | 0.455 *** | 0.197 *** | −0.269 *** | 0.365 *** | 0.667 *** | 0.200 *** | 0.404 *** |
| CETS | 0.139 *** | 1.000 | 0.183 *** | 0.048 *** | 0.166 *** | −0.020 | 0.135 *** | 0.220 *** | −0.011 | 0.156 *** |
| Urban | 0.398 *** | 0.201 *** | 1.000 | 0.544 *** | 0.481 *** | −0.612 *** | 0.288 *** | 0.614 *** | 0.456 *** | 0.276 *** |
| Fin | 0.372 *** | 0.020 | 0.522 *** | 1.000 | 0.334 *** | −0.309 *** | 0.600 *** | 0.573 *** | 0.345 *** | 0.342 *** |
| Open | 0.150 *** | 0.133 *** | 0.454 *** | 0.219 *** | 1.000 | −0.608 *** | 0.141 *** | 0.451 *** | 0.203 *** | 0.067 *** |
| FP | −0.209 *** | −0.042 ** | −0.468 *** | −0.190 *** | −0.305 *** | 1.000 | 0.036 ** | −0.521 *** | −0.354 *** | −0.000 |
| Industry | 0.286 *** | 0.115 *** | 0.284 *** | 0.565 *** | 0.117 *** | 0.072 *** | 1.000 | 0.419 *** | 0.073 *** | 0.352 *** |
| GTI | 0.670 *** | 0.242 *** | 0.607 *** | 0.503 *** | 0.353 *** | −0.436 *** | 0.335 *** | 1.000 | 0.273 *** | 0.450 *** |
| FED | 0.227 *** | 0.004 | 0.456 *** | 0.225 *** | 0.345 *** | −0.208 *** | 0.085 *** | 0.299 *** | 1.000 | 0.172 *** |
| Market | 0.396 *** | 0.152 *** | 0.233 *** | 0.237 *** | −0.009 | −0.033 * | 0.277 *** | 0.440 *** | 0.145 *** | 1.000 |
| VIF | 1.14 | 2.38 | 2.01 | 1.38 | 1.54 | 1.64 | 2.31 | 1.34 | 1.36 |
| Variable | (1) | (2) | (3) | (4) | (5) | (6) |
|---|---|---|---|---|---|---|
| PW | PW | PW | PW | PW | PW | |
| CETS | 0.0026 ** (2.02) | 0.0024 * (1.80) | 0.0025 * (1.89) | 0.0034 ** (2.48) | 0.0036 *** (2.63) | 0.0029 ** (2.10) |
| Urban | −0.0102 * (−1.65) | −0.0101 (−1.64) | −0.0117 * (−1.90) | −0.0141 ** (−2.27) | −0.0157 ** (−2.55) | |
| Fin | 0.0010 (0.88) | 0.0011 (1.02) | 0.0018 (1.60) | 0.0028 ** (2.49) | ||
| Open | 0.0070 *** (2.82) | 0.0076 *** (3.07) | 0.0070 *** (2.83) | |||
| FP | −0.0013 *** (−3.84) | −0.0011 *** (−3.20) | ||||
| Industry | −0.0049 *** (−3.83) | |||||
| _cons | 0.3241 *** (367.19) | 0.3286 *** (114.33) | 0.3280 *** (110.47) | 0.3269 *** (109.30) | 0.3309 *** (104.76) | 0.3343 *** (102.10) |
| N | 3549 | 3549 | 3549 | 3549 | 3549 | 3549 |
| 0.7295 | 0.7297 | 0.7298 | 0.7304 | 0.7316 | 0.7329 |
| Variable | (1) | (2) | (3) | (4) | (5) |
|---|---|---|---|---|---|
| EA | GE | CP | SO | EC | |
| CETS | −0.0081 *** | 0.0190 *** | −0.0013 | 0.0050 *** | 0.0014 |
| (−4.34) | (9.40) | (−0.48) | (2.65) | (0.52) | |
| Urban | 0.0131 | 0.0660 *** | −0.0427 *** | 0.0040 | −0.0399 *** |
| (1.55) | (7.20) | (−3.45) | (0.47) | (−3.33) | |
| Fin | 0.0021 | −0.0134 *** | −0.0055 ** | 0.0027 * | 0.0060 *** |
| (1.36) | (−7.90) | (−2.42) | (1.74) | (2.70) | |
| Open | 0.0030 | 0.0098 *** | −0.0138 *** | −0.0033 | 0.0279 *** |
| (0.87) | (2.66) | (−2.77) | (−0.95) | (5.79) | |
| FP | −0.0086 *** | 0.0023 *** | −0.0013 * | −0.0005 | −0.0014 ** |
| (−18.61) | (4.58) | (−1.86) | (−1.12) | (−2.07) | |
| Industry | −0.0017 | −0.0137 *** | −0.0117 *** | 0.0017 | −0.0091 *** |
| (−0.95) | (−7.23) | (−4.59) | (0.99) | (−3.67) | |
| _cons | 0.3242 *** | 0.3596 *** | 0.4795 *** | 0.4381 *** | 0.2039 *** |
| (72.22) | (74.14) | (73.30) | (97.48) | (32.12) | |
| N | 3548 | 3548 | 3548 | 3548 | 3548 |
| 0.9771 | 0.9153 | 0.4826 | 0.3683 | 0.4532 |
| Variable | Replace the Explained Variable | Tailwind at the 1% Level | Excluding the Interference of Linear Interpolation | Excluding the Interference of Non-Random Selection of Pilot Cities | Removing Interference from Other Policy | PSM-DID | |||
|---|---|---|---|---|---|---|---|---|---|
| LCCP | HCPP | BCPP | |||||||
| (1) | (2) | (3) | (4) | (5) | (6) | (7) | (8) | (9) | |
| PW1 | PW1 | PW | PW | PW | PW | PW | PW | PW | |
| CETS | 0.1011 *** (4.88) | 0.0821 *** (3.92) | 0.0027 ** (1.97) | 0.0029 ** (2.11 | 0.0024 * (1.74) | 0.0038 *** (2.71) | 0.0220 *** (12.87) | 0.0205 *** (11.85) | 0.0030 ** (2.23) |
| _cons | −1.5946 *** (−113.97) | −1.4102 *** (−28.10) | 0.3362 *** (97.24) | 0.3342 *** (102.10) | 0.3311 *** (90.43) | 0.3366 *** (97.45) | 0.2434 *** (78.96) | 0.2466 *** (79.01) | 0.3380 *** (91.05) |
| Z×Trend | Yes | ||||||||
| Control | Yes | Yes | Yes | Yes | Yes | Yes | Yes | Yes | Yes |
| City FE | Yes | Yes | Yes | Yes | Yes | Yes | Yes | Yes | Yes |
| Year FE | Yes | Yes | Yes | Yes | Yes | Yes | Yes | Yes | Yes |
| N | 3549 | 3549 | 3549 | 3549 | 3549 | 3549 | 3549 | 3549 | 3366 |
| 0.9336 | 0.9386 | 0.7335 | 0.7329 | 0.7348 | 0.7344 | 0.5178 | 0.5222 | 0.7328 | |
| Treatment Effect | Beta | Weight |
|---|---|---|
| Treated Earlier vs. Later | −0.0017 | 0.0090 |
| Treated Later vs. Earlier | −0.0022 | 0.0075 |
| Treated vs. Never Treated | 0.0027 | 0.9834 |
| Variable | Impact Mechanisms | Moderating Effects | ||||||
|---|---|---|---|---|---|---|---|---|
| Green Technology Innovation | Other Potential Mechanisms | = FED | = Market | |||||
| (1) | (2) | (3) | (4) | (5) | (6) | |||
| GTI | PW | PM2.5 | PW | SSEE | PW | PW | PW | |
| CETS | 0.2068 *** (5.37) | 0.0025 * (1.81) | −0.9698 * (−1.79) | 0.0030 ** (2.22) | 0.1213 *** (7.92) | 0.0025 * (1.73) | 0.0164 ** (2.52) | 0.0163 ** (2.22) |
| GTI | 0.0019 *** (3.06) | |||||||
| PM2.5 | −0.0002 *** (−5.10) | |||||||
| SSEE | 0.0031 * (1.91) | |||||||
| −0.0356 ** (−2.26) | −0.0006 (−1.05) | |||||||
| 0.0261 ** (2.41) | 0.0099 *** (38.46) | |||||||
| _cons | 2.8127 *** (30.52) | 0.3289 *** (88.70) | 100.6273 *** (59.86) | 0.1507 *** (24.70) | 3.0830 *** (64.74) | 0.1185 *** (17.79) | 0.3274 *** (66.38) | 0.2385 *** (74.89) |
| Control | Yes | Yes | Yes | Yes | Yes | Yes | Yes | Yes |
| City FE | Yes | Yes | Yes | Yes | Yes | Yes | Yes | Yes |
| Year FE | Yes | Yes | Yes | Yes | Yes | Yes | Yes | Yes |
| N | 3549 | 3549 | 3549 | 3549 | 3549 | 3549 | 3549 | 3549 |
| 0.8465 | 0.7336 | 0.5774 | 0.7345 | 0.9169 | 0.7284 | 0.7281 | 0.6660 | |
| Threshold Variable | Threshold Test | F-Value | p-Value | Boundary Value | ||
|---|---|---|---|---|---|---|
| 1% | 5% | 10% | ||||
| FED | Single threshold | 80.44 | 0.0020 | 68.3589 | 58.4631 | 50.8584 |
| Double threshold | 34.51 | 0.0040 | 32.4923 | 24.8386 | 21.1511 | |
| Triple threshold | 21.03 | 0.6860 | 54.9680 | 45.8817 | 42.2337 | |
| Market | Single threshold | 118.75 | 0.0000 | 40.8400 | 34.4920 | 30.9010 |
| Double threshold | 17.74 | 0.6300 | 151.7890 | 129.1770 | 116.5370 | |
| Triple threshold | 10.56 | 0.3120 | 26.2870 | 20.9030 | 17.8260 | |
| Variable and Threshold Value | PW |
|---|---|
| FED ≤ 0.3852 | −1.2967 *** (−10.21) |
| 0.3852 < FED ≤ 0.4082 | −0.7301 *** (−7.54) |
| FED > 0.4082 | 0.0046 *** (3.36) |
| Market ≤ 10.1572 | 1.6380 *** (10.50) |
| Market > 10.1572 | 0.0027 ** (2.08) |
| Variable | (1) | (2) | (3) | (4) |
|---|---|---|---|---|
| YREB Cities | Non-YREB Cities | Resource-Based City | Non-Resource-Based Cities | |
| PW | PW | PW | PW | |
| CETS | −0.0115 *** (−6.35) | 0.0092 *** (5.27) | −0.0012 (−0.30) | 0.0036 *** (2.85) |
| Control | Yes | Yes | Yes | Yes |
| City FE | Yes | Yes | Yes | Yes |
| Year FE | Yes | Yes | Yes | Yes |
| _cons | 0.3979 *** (3.74) | 0.3636 *** (3.04) | 0.4437 *** (2.72) | 0.3435 *** (3.72) |
| N | 1365 | 2184 | 1378 | 2171 |
| 0.8162 | 0.6923 | 0.6559 | 0.7877 | |
| Fisher’s Permutation test (p-value) | 0.020 *** (0.000) | 0.006 * (0.083) | ||
| Year | Moran’s I | E(I) | Sd(I) | Z | p-Value |
|---|---|---|---|---|---|
| 2008 | 0.212 | −0.004 | 0.031 | 6.999 | 0.000 |
| 2009 | 0.185 | −0.004 | 0.031 | 6.101 | 0.000 |
| 2010 | 0.164 | −0.004 | 0.031 | 5.440 | 0.000 |
| 2011 | 0.165 | −0.004 | 0.031 | 5.461 | 0.000 |
| 2012 | 0.149 | −0.004 | 0.031 | 4.957 | 0.000 |
| 2013 | 0.119 | −0.004 | 0.031 | 3.990 | 0.000 |
| 2014 | 0.111 | −0.004 | 0.031 | 3.745 | 0.000 |
| 2015 | 0.138 | −0.004 | 0.031 | 4.581 | 0.000 |
| 2016 | 0.122 | −0.004 | 0.031 | 4.064 | 0.000 |
| 2017 | 0.121 | −0.004 | 0.031 | 4.045 | 0.000 |
| 2018 | 0.120 | −0.004 | 0.031 | 3.998 | 0.000 |
| 2019 | 0.127 | −0.004 | 0.031 | 4.233 | 0.000 |
| 2020 | 0.109 | −0.004 | 0.031 | 3.648 | 0.000 |
| Test | Statistics | p-Value |
|---|---|---|
| LM-error | 8.293 | 0.0040 |
| LM-Lag | 19.324 | 0.0000 |
| Robust LM-error | 5.692 | 0.0170 |
| Robust LM-Lag | 16.723 | 0.0000 |
| LR-error | 11.44 | 0.0033 |
| LR-Lag | 11.93 | 0.0026 |
| Hausman | 146.91 | 0.0000 |
| Variable | Main Effect | Total Effect | Direct Effect | Indirect Effect |
|---|---|---|---|---|
| CETS | 0.0040 *** (3.05) | 0.0131 *** (2.94) | 0.0043 *** (3.12) | 0.0088 ** (2.18) |
| Control variables | Yes | Yes | Yes | Yes |
| City FE | Yes | Yes | Yes | Yes |
| Time FE | Yes | Yes | Yes | Yes |
| N | 3549 | 3549 | 3549 | 3549 |
Disclaimer/Publisher’s Note: The statements, opinions and data contained in all publications are solely those of the individual author(s) and contributor(s) and not of MDPI and/or the editor(s). MDPI and/or the editor(s) disclaim responsibility for any injury to people or property resulting from any ideas, methods, instructions or products referred to in the content. |
© 2026 by the authors. Licensee MDPI, Basel, Switzerland. This article is an open access article distributed under the terms and conditions of the Creative Commons Attribution (CC BY) license.
Share and Cite
Zheng, Y.; Wang, J.; Zhao, Z.; Guo, J. Evaluating the Well-Being Effects of a Carbon Emissions Trading System: Evidence from 273 Chinese Cities. Systems 2026, 14, 59. https://doi.org/10.3390/systems14010059
Zheng Y, Wang J, Zhao Z, Guo J. Evaluating the Well-Being Effects of a Carbon Emissions Trading System: Evidence from 273 Chinese Cities. Systems. 2026; 14(1):59. https://doi.org/10.3390/systems14010059
Chicago/Turabian StyleZheng, Yanhong, Jiying Wang, Zhaoyang Zhao, and Jinyun Guo. 2026. "Evaluating the Well-Being Effects of a Carbon Emissions Trading System: Evidence from 273 Chinese Cities" Systems 14, no. 1: 59. https://doi.org/10.3390/systems14010059
APA StyleZheng, Y., Wang, J., Zhao, Z., & Guo, J. (2026). Evaluating the Well-Being Effects of a Carbon Emissions Trading System: Evidence from 273 Chinese Cities. Systems, 14(1), 59. https://doi.org/10.3390/systems14010059

