Modeling Affective Mechanisms in Relaxing Video Games: Sentiment and Topic Analysis of User Reviews
Abstract
1. Introduction
- (1)
- To what extent do players express anxiety and emotional relief in their game reviews?
- (2)
- Are slow-paced game mechanics and pastoral esthetics associated with positive emotional responses?
- (3)
- Do emotional and mechanical mechanisms correspond to increased playtime, thereby indicating deeper behavioral engagement?
2. Literature Review
2.1. Social Acceleration and Anxiety
2.2. Slow Media and Emotional Design
2.3. Casual Gameplay and Behavior
2.4. Self-Determination Theory and Digital Needs
2.5. Gameplay Duration and Emotion
2.6. Emotion Modeling and Game Design
2.7. Automated Emotional Valuation Frameworks
2.8. Research Gap
3. Materials and Methods
3.1. Research Framework
- RQ1: To what extent do players express anxiety and emotional relief in their game reviews?
- RQ2: Are slow-paced game mechanics and pastoral esthetics associated with positive emotional responses?
- RQ3: Do emotional and mechanical mechanisms correspond to increased playtime, indicating deeper behavioral engagement?
- Dual-Stage Topic Modeling (Module 1): Identifies dominant themes and emotional vocabulary across the corpus to provide context for RQ1 and RQ2. Latent Dirichlet Allocation (LDA) was applied to both the full corpus and a relaxation-related subset to extract latent semantic themes. Although models such as NMF, Top2Vec, BERTopic, and CorEx offer complementary strengths in interpretability, semantic depth, or temporal modeling, LDA was selected due to its probabilistic structure, well-established performance, and transparency in generating interpretable topic-word and document-topic distributions [45,52]. This makes LDA particularly suitable for thematic comparison across large corpora.
- Sentiment Classification (Module 2): Quantifies expressions of anxiety, relief, and neutrality, directly addressing RQ1. We used a GPT-based large language model to classify each review into one of three emotional states—anxiety, relief, or neutral—based on zero-shot contextual understanding. This method outperforms traditional lexicon-based and supervised models in interpreting informal, multilingual, and affectively nuanced expressions, especially without requiring domain-specific labeled training data [52,53].
- Mechanism Tagging (Module 3): Connects player sentiment to gameplay structures, particularly slow-paced mechanics and pastoral esthetics, addressing RQ2. Using the same model architecture, each review was annotated with one or more gameplay-related mechanism tags (e.g., emotional relief, escapism, slow-paced design). The zero-shot, multi-label classification capability of GPT is well-suited for identifying latent experiential patterns embedded in user discourse.
- Regression Analysis (Module 4): Tests whether emotional or mechanical features predict playtime, serving as a behavioral indicator for RQ3. We implemented multiple linear regression models to explore how emotional states and gameplay-related mechanisms may be associated with playtime. Rather than focusing solely on statistical significance, our analysis aimed to identify potential patterns linking emotional experiences and mechanical features to behavioral engagement. This allowed us to evaluate whether specific emotional or mechanical experiences tend to correspond with a longer playtime, thereby offering empirical insight into RQ3.
3.2. Data Collection and Platform Background
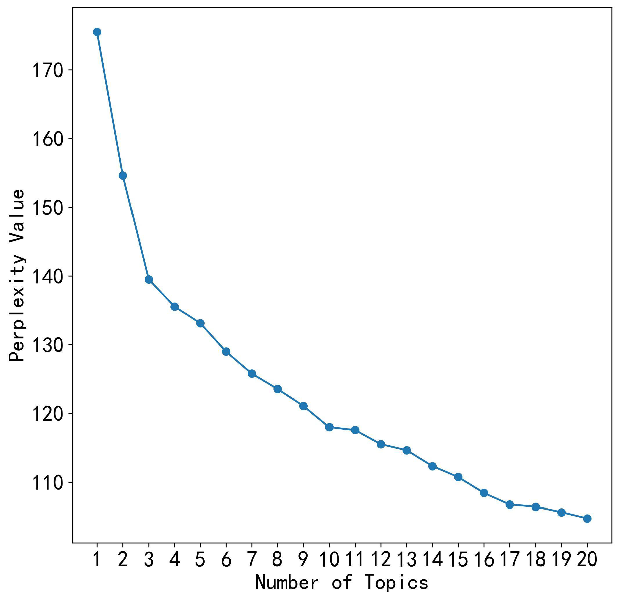
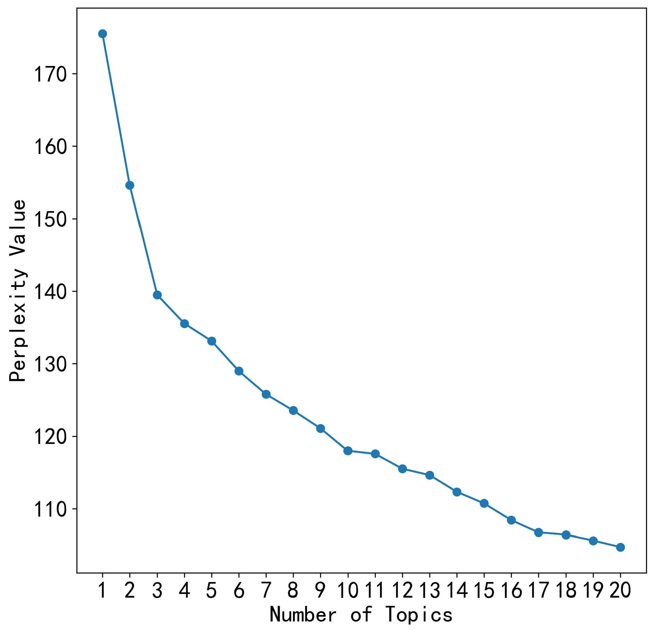
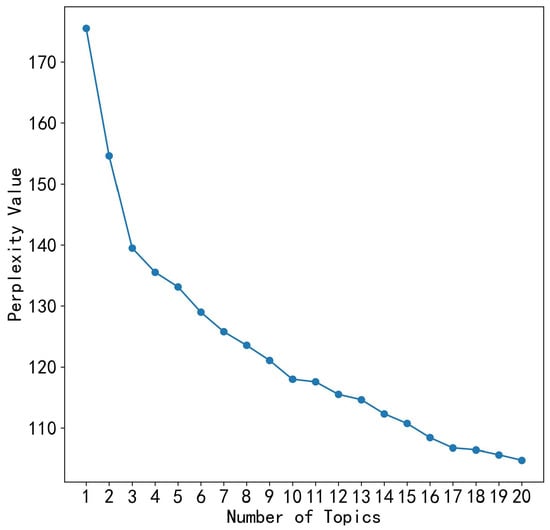
3.3. Topic Modeling (LDA)—Full Corpus
3.4. Topic Modeling (LDA)—Slow-Paced Subset
3.5. Sentiment Analysis
3.5.1. Model Choice and Motivation
3.5.2. Prompt Engineering and Classification Logic
3.5.3. Batch Processing and Storage
3.6. Mechanism Tagging
3.6.1. Motivation and Conceptual Framework
3.6.2. Implementation via GPT
3.6.3. Pipeline and Storage
3.6.4. Results Summary and Visualization
3.7. Regression Modeling
- Model 1 (Full Specification) included all the relevant predictors to provide a comprehensive analysis. These predictors comprised player characteristics (e.g., number of games owned, number of reviews), gameplay mechanisms (e.g., emotional relief, pastoral healing, escapism, Control/Low Stakes), sentiment categories (Sentiment_anxiety, Sentiment_relief), and topic distributions (Topic 1–7). Additionally, control variables such as the number of reviews, language, review length, and recommendation status were included. This holistic model aimed to elucidate the combined influence of player attributes, gameplay mechanics, emotional sentiment, and contextual factors on player engagement, as reflected by the total playtime.
- Model 2 (Mechanism-Only) focused exclusively on the six gameplay mechanisms and two sentiment labels, isolating their independent effects on player engagement. The predictors in this model included mechanisms such as emotional relief, pastoral healing, escapism, and Control/Low Stakes, alongside sentiment labels like Sentiment_anxiety and Sentiment_relief. By excluding control variables and topic distributions, Model 2 sought to evaluate the direct relationship between gameplay mechanisms, emotional expression, and playtime, free from the influence of extraneous factors.
- Model 3 (Mechanism + Sentiment + Control Variables) extended Model 2 by incorporating control variables, such as language, review length, and positive rating, in addition to the gameplay mechanisms and sentiment labels. This model was designed to examine the extent to which these contextual factors, when considered alongside gameplay mechanisms and emotional sentiment, could further account for the variance in playtime, thereby providing a more robust understanding of player engagement.
4. Results and Analysis
4.1. Topic Modeling Results
4.1.1. Model of Full Corpus
4.1.2. Model of the Slow-Paced Subset
4.1.3. Similarity Analysis of Full Corpus and Slow-Paced Subset Topics
- Strong Correlation between Certain Topics: There is a notable strong similarity between topics from the full corpus and those from the slow-paced subset. For example, the topic “All comments1” from the full corpus has a high similarity score of 0.71 with “Slow rhythm1” from the slow-paced subset, suggesting that themes related to emotional release and relaxation in the full corpus strongly resonate with slow-paced game elements such as calm gameplay mechanics and immersive experiences.
- Correlations between Game Mechanics and Emotional Relief: The pair, “All comments3” and “Slow rhythm2,” shows a similarity score of 0.82, indicating a strong correlation between game mechanics, player evaluation, and slow-paced features such as peaceful gameplay and daily routines. This reflects how game mechanics designed for emotional relief are a prominent feature across both datasets.
- Weaker Correlation for Niche Topics: Some topics, such as “All comments4” and “All comments5,” show weaker correlations with the slow-paced subset. These topics are more related to entertainment-focused aspects like game addiction or pure entertainment, which appear less connected to the slower-paced, therapeutic features of the game.
- Internal Similarities within Slow-Paced Themes: Within the slow-paced subset, topics like “Slow rhythm3” and “Slow rhythm4” exhibit higher internal similarity, with a score of 0.72. This demonstrates that themes focusing on rural life and emotional engagement are closely associated with other slow-paced game elements, such as community interaction and immersive farming activities.
4.2. Sentiment Analysis Results
4.2.1. Distribution of Sentiment Categories
4.2.2. Sentiment Keyword Visualization
4.3. Mechanism Tagging Results
4.3.1. Tag Frequency
4.3.2. Co-Occurrence Patterns
4.4. Regression Modeling Results
- Model 1: All Variables. This model included all the independent variables: gameplay mechanisms, sentiment labels, topic distributions, and control variables. It explained 3.6% of the variance in the total playtime (R2 = 0.036). Significant predictors included emotional relief (β = 0.0463, p = 0.001), pastoral healing (β = 0.0715, p < 0.001), escapism (β = 0.1345, p < 0.001), and Control/Low Stakes (β = 0.1941, p < 0.001). Anxiety Expression negatively affected playtime (β = −0.0584, p = 0.001). Control variables such as the number of reviews (β = −0.0797, p < 0.001), language (β = −0.2008, p < 0.001), and review length (β = 0.0199, p = 0.001) were also statistically significant. Positive rating (β = 1.2808, p < 0.001) showed the strongest positive effect on playtime.
- Model 2: Mechanism + Sentiment. This reduced model retained only gameplay mechanisms and sentiment labels, isolating their direct effects. It explained 1.5% of the variance (R2 = 0.015). Emotional relief (β = 0.0531, p < 0.001) and escapism (β = 0.1938, p < 0.001) remained significant. Anxiety Expression (β = −0.0456, p = 0.010) showed a weaker but still significant negative effect.
- Model 3: Mechanism + Sentiment + Control Variables. In this extended model, language, review length, and positive rating were added to the previous predictors. It explained 2.7% of the variance (R2 = 0.027). Emotional relief (β = 0.0461, p = 0.001), escapism (β = 0.1820, p < 0.001), and positive rating (β = 1.3187, p < 0.001) remained strong predictors. However, Anxiety Expression (β = −0.0273, p = 0.124) and slow-paced gameplay (β = 0.0075, p = 0.621) became statistically insignificant after including contextual factors.
5. Discussion
5.1. Emotional Design, Player Sentiment, and Psychological Needs
5.2. Mechanism Interactions and Behavioral Implications
5.3. Summary of the Key Findings and Future Directions
6. Conclusions
- Our findings suggest that low-pressure, slow-paced gameplay predominantly evokes emotional relief, with dominant affective themes related to calmness, routine, and immersive pastoral settings. Regression analysis confirmed that mechanisms such as emotional relief and escapism significantly predict an increased playtime, underscoring the behavioral relevance of emotional design. Moreover, the game’s structure aligns with SDT [13] by fulfilling psychological needs for autonomy, competence, and relatedness, thus supporting its efficacy as an emotionally supportive environment.
- Methodologically, this study contributes a novel multi-layered approach to investigating affective mechanisms in digital play, integrating large-scale NLP-driven annotation with behavioral outcome modeling. This computational framework is transferable to other game titles and interactive environments, offering a systematic tool for exploring affective engagement in digital media.
- From an applied perspective, the results offer actionable insights for the design of emotionally aware interactive systems. Developers may enhance the emotional support by embedding features such as customizable environments, self-directed pacing, and non-punitive goal structures. Mental health practitioners and educational institutions may also consider integrating slow-paced games into stress management and emotional support programs.
Supplementary Materials
Author Contributions
Funding
Data Availability Statement
Conflicts of Interest
References
- Rosa, H. High-Speed Society: Social Acceleration, Power and Modernity; Pennsylvania State University Press: University Park, PA, USA, 2009; ISBN 978-0-271-03417-1. [Google Scholar]
- Mental Health and COVID-19: Early Evidence of the Pandemic’s Impact: Scientific Brief, 2 March 2022. Available online: https://www.who.int/publications/i/item/WHO-2019-nCoV-Sci_Brief-Mental_health-2022.1 (accessed on 3 April 2025).
- Slow Media—“One Might Almost Say That Truth Itself Depends on the Tempo, the Patience and Perseverance of Lingering with the Particular” (Twa). Available online: https://en.slow-media.net/ (accessed on 10 April 2025).
- Pallavicini, F.; Orena, E.; Achille, F.; Cassa, M.; Vuolato, C.; Stefanini, S.; Caragnano, C.; Pepe, A.; Veronese, G.; Ranieri, P.; et al. Psychoeducation on Stress and Anxiety Using Virtual Reality: A Mixed-Methods Study. Appl. Sci. 2022, 12, 9110. [Google Scholar] [CrossRef]
- Park, C.; Angelica, P.; Trisnadi, A.I. Global Impacts of Video Gaming Behavior on Young Adults’ Mental Health during the COVID-19 Pandemic: A Systematic Literature Review. Soc. Sci. Humanit. Open 2025, 11, 101229. [Google Scholar] [CrossRef]
- Wagener, G.L.; Schulz, A.; Melzer, A. A Plague(d) Tale: Are Violent Video Games Effective in Reducing Stress Levels? Int. J. Psychophysiol. 2025, 209, 112518. [Google Scholar] [CrossRef]
- López-Guerrero, J.; Rivero, F.J.; Barrada, J.R.; Muela, I.; Perales, J.C.; López-Guerrero, J.; Navas, J.F.; García-Gómez, E.-A.; Brevers, D.; Ciudad-Fernández, V. Untangling the Role of Emotion Regulation in Gambling and Video Gaming Cravings: A Replication and Extension Study. Addict. Behav. 2025, 170, 108393. [Google Scholar] [CrossRef]
- Stardew Valley on Steam. Available online: https://store.steampowered.com/app/413150/Stardew_Valley/ (accessed on 15 April 2025).
- Casu, M.; Triscari, S.; Battiato, S.; Guarnera, L.; Caponnetto, P. AI Chatbots for Mental Health: A Scoping Review of Effectiveness, Feasibility, and Applications. Appl. Sci. 2024, 14, 5889. [Google Scholar] [CrossRef]
- Croissant, M.; Schofield, G.; McCall, C. Emotion Design for Video Games: A Framework for Affective Interactivity. Games Res. Pract. 2023, 1, 1–24. [Google Scholar] [CrossRef]
- Benlamine, M.S.; Dufresne, A.; Beauchamp, M.H.; Frasson, C. BARGAIN: Behavioral Affective Rule-Based Games Adaptation Interface–towards Emotionally Intelligent Games: Application on a Virtual Reality Environment for Socio-Moral Development. User Model. User-Adapt. Interact. 2021, 31, 287–321. [Google Scholar] [CrossRef]
- Ninaus, M.; Greipl, S.; Kiili, K.; Lindstedt, A.; Huber, S.; Klein, E.; Karnath, H.-O.; Moeller, K. Increased Emotional Engagement in Game-Based Learning—A Machine Learning Approach on Facial Emotion Detection Data. Comput. Educ. 2019, 142, 103641. [Google Scholar] [CrossRef]
- Deci, E.L.; Ryan, R.M. The “What” and “Why” of Goal Pursuits: Human Needs and the Self-Determination of Behavior. Psychol. Inq. 2000, 11, 227–268. [Google Scholar] [CrossRef]
- Rosa, H. Social Acceleration: A New Theory of Modernity; New directions in critical theory; Columbia University Press: New York, NY, USA, 2013; ISBN 978-0-231-14834-4. [Google Scholar]
- Twenge, J.M. iGEN: Why Today’s Super-Connected Kids Are Growing up Less Rebellious, More Tolerant, Less Happy-and Completely Unprepared for Adulthood-and What This Means for the Rest of Us; First Atria Paperback edition; Atria Paperback: New York, NY, USA, 2018; ISBN 978-1-5011-5201-6. [Google Scholar]
- McGonigal, J. Reality Is Broken: Why Games Make Us Better and How They Can Change the World; Penguin Press: New York, NY, USA, 2011; ISBN 978-0-14-312061-2. [Google Scholar]
- Granic, I.; Lobel, A.; Engels, R.C.M.E. The Benefits of Playing Video Games. Am. Psychol. 2014, 69, 66–78. [Google Scholar] [CrossRef]
- Greenfield, P.M. Video Games as Cultural Artifacts. J. Appl. Dev. Psychol. 1994, 15, 3–12. [Google Scholar] [CrossRef]
- Snodgrass, J.G.; Lacy, M.G.; Francois Dengah, H.J.; Fagan, J.; Most, D.E. Magical Flight and Monstrous Stress: Technologies of Absorption and Mental Wellness in Azeroth. Cult. Med. Psychiatry 2011, 35, 26–62. [Google Scholar] [CrossRef]
- Yang, Z.; Kong, X.; Sun, J.; Zhang, Y. Switching to Green Lifestyles: Behavior Change of Ant Forest Users. Int. J. Environ. Res. Public. Health 2018, 15, 1819. [Google Scholar] [CrossRef] [PubMed]
- Deterding, S. The Lens of Intrinsic Skill Atoms: A Method for Gameful Design. Hum. –Comput. Interact. 2015, 30, 294–335. [Google Scholar] [CrossRef]
- Reinecke, L. Games and Recovery: The Use of Video and Computer Games to Recuperate from Stress and Strain. J. Media Psychol. 2009, 21, 126–142. [Google Scholar] [CrossRef]
- Pendergrass Boomer, T.M.; Hoerner, L.A.; Fernandes, C.-S.F.; Maslar, A.; Aiudi, S.; Kyriakides, T.C.; Fiellin, L.E. A Digital Health Game to Prevent Opioid Misuse and Promote Mental Health in Adolescents in School-Based Health Settings: Protocol for the PlaySmart Game Randomized Controlled Trial. PLoS ONE 2023, 18, e0291298. [Google Scholar] [CrossRef]
- Kneer, J.; Glock, S.; Beskes, S.; Bente, G. Are Digital Games Perceived as Fun or Danger? Supporting and Suppressing Different Game-Related Concepts. Cyberpsychol. Behav. Soc. Netw. 2012, 15, 604–609. [Google Scholar] [CrossRef]
- Ryan, R.M.; Rigby, C.S.; Przybylski, A. The Motivational Pull of Video Games: A Self-Determination Theory Approach. Motiv. Emot. 2006, 30, 344–360. [Google Scholar] [CrossRef]
- Tamborini, R.; Grizzard, M.; David Bowman, N.; Reinecke, L.; Lewis, R.J.; Eden, A. Media Enjoyment as Need Satisfaction: The Contribution of Hedonic and Nonhedonic Needs. J. Commun. 2011, 61, 1025–1042. [Google Scholar] [CrossRef]
- Kumar, A.; Dodda, S.; Kamuni, N.; Vuppalapati, V.S.M. The Emotional Impact of Game Duration: A Framework for Understanding Player Emotions in Extended Gameplay Sessions; IEEE: New York, NY, USA, 2024. [Google Scholar]
- Bringula, R.; Lugtu, K.P.M.; Uy, M.A.D.; Aviles, A. How Do You Feel: Emotions Exhibited While Playing Computer Games and Their Relationship with Gaming Behaviors. arXiv 2020, arXiv:2011.10265. [Google Scholar] [CrossRef]
- Jenkins, R.; Othieno, C.; Ongeri, L.; Ongecha, M.; Sifuna, P.; Omollo, R.; Ogutu, B. Malaria and Mental Disorder: A Population Study in an Area Endemic for Malaria in Kenya. World Psychiatry 2017, 16, 324–325. [Google Scholar] [CrossRef] [PubMed]
- Picard, R.W. Affective Computing, 1. paperback ed.; MIT Press: Cambridge, MA, USA, 2000; ISBN 978-0-262-66115-7. [Google Scholar]
- Mandryk, R.L.; Atkins, M.S. A Fuzzy Physiological Approach for Continuously Modeling Emotion during Interaction with Play Technologies. Int. J. Hum. -Comput. Stud. 2007, 65, 329–347. [Google Scholar] [CrossRef]
- Yannakakis, G.N.; Melhart, D. Affective Game Computing: A Survey. Proc. IEEE 2023, 111, 1423–1444. [Google Scholar] [CrossRef]
- Sekhavat, Y.A.; Roohi, S.; Mohammadi, H.S.; Yannakakis, G.N. Play with One’s Feelings: A Study on Emotion Awareness for Player Experience. IEEE Trans. Games 2020, 14, 3–12. [Google Scholar] [CrossRef]
- Toh, W.; Kirschner, D. Developing Social-Emotional Concepts for Learning with Video Games. Comput. Educ. 2023, 194, 104708. [Google Scholar] [CrossRef]
- Melhart, D.; Liapis, A.; Yannakakis, G.N. The Arousal Video Game AnnotatIoN (AGAIN) Dataset. IEEE Trans. Affect. Comput. 2022, 13, 2171–2184. [Google Scholar] [CrossRef]
- Byl, P. de A Conceptual Affective Design Framework for the Use of Emotions in Computer Game Design. Cyberpsychol. J. Psychosoc. Res. Cyberspace 2015, 9, 4. [Google Scholar] [CrossRef]
- Thelwall, M.; Buckley, K.; Paltoglou, G. Sentiment Strength Detection for the Social Web. J. Am. Soc. Inf. Sci. Technol. 2012, 63, 163–173. [Google Scholar] [CrossRef]
- Chanel, G.; Kronegg, J.; Grandjean, D.; Pun, T. Emotion Assessment: Arousal Evaluation Using EEG’s and Peripheral Physiological Signals. In Multimedia Content Representation, Classification and Security; Gunsel, B., Jain, A.K., Tekalp, A.M., Sankur, B., Eds.; Lecture Notes in Computer Science; Springer Berlin Heidelberg: Berlin/Heidelberg, Germany, 2006; Volume 4105, pp. 530–537. ISBN 978-3-540-39392-4. [Google Scholar]
- Koelstra, S.; Muhl, C.; Soleymani, M.; Jong-Seok, L.; Yazdani, A.; Ebrahimi, T.; Pun, T.; Nijholt, A.; Patras, I. DEAP: A Database for Emotion Analysis; Using Physiological Signals. IEEE Trans. Affect. Comput. 2012, 3, 18–31. [Google Scholar] [CrossRef]
- Laaber, F.; Koch, T.; Hubert, M.; Florack, A. Young People’s Digital Maturity Relates to Different Forms of Well-Being through Basic Psychological Need Satisfaction and Frustration. Comput. Hum. Behav. 2024, 152, 108077. [Google Scholar] [CrossRef]
- Martínez-Maldonado, A. From Pixels to Choices: Understanding the Influence of Video Games on Decision-Making Skills. Entertain. Comput. 2025, 54, 100953. [Google Scholar] [CrossRef]
- Smith, J.; MacLean, K. Communicating Emotion through a Haptic Link: Design Space and Methodology. Int. J. Hum. -Comput. Stud. 2007, 65, 376–387. [Google Scholar] [CrossRef]
- Basari, A.S.H.; Hussin, B.; Ananta, I.G.P.; Zeniarja, J. Opinion Mining of Movie Review Using Hybrid Method of Support Vector Machine and Particle Swarm Optimization. Procedia Eng. 2013, 53, 453–462. [Google Scholar] [CrossRef]
- Wang, X.; Liu, Y.; Chu, H.K.; Wong, S.Y.; Yang, X. Relationships of Internet Gaming Engagement, History, and Maladaptive Cognitions and Adolescent Internet Gaming Disorder: A Cross-Sectional Study. PLoS ONE 2023, 18, e0290955. [Google Scholar] [CrossRef]
- Blei, D.M. Probabilistic Topic Models. Commun. ACM 2012, 55, 77–84. [Google Scholar] [CrossRef]
- Grootendorst, M. BERTopic: Neural Topic Modeling with a Class-Based TF-IDF Procedure. arXiv 2022, arXiv:2203.05794. [Google Scholar]
- Griffiths, T.L.; Steyvers, M. Finding Scientific Topics. Proc. Natl. Acad. Sci. USA 2004, 101, 5228–5235. [Google Scholar] [CrossRef]
- Karr-Wisniewski, P.; Lu, Y. When More Is Too Much: Operationalizing Technology Overload and Exploring Its Impact on Knowledge Worker Productivity. Comput. Hum. Behav. 2010, 26, 1061–1072. [Google Scholar] [CrossRef]
- Liu, B. Sentiment Analysis and Opinion Mining; Synthesis Lectures on Human Language Technologies; Springer International Publishing: Cham, Switzerland, 2012; ISBN 978-3-031-01017-0. [Google Scholar]
- Cambria, E.; Schuller, B.; Xia, Y.; Havasi, C. New Avenues in Opinion Mining and Sentiment Analysis. IEEE Intell. Syst. 2013, 28, 15–21. [Google Scholar] [CrossRef]
- James, G.; Witten, D.; Hastie, T.; Tibshirani, R. An Introduction to Statistical Learning; Springer Texts in Statistics; Springer New York: New York, NY, USA, 2013; Volume 103, ISBN 978-1-4614-7137-0. [Google Scholar]
- Alghamdi, R.; Alfalqi, K. A Survey of Topic Modeling in Text Mining. Int. J. Adv. Comput. Sci. Appl. 2015, 6, 147–153. [Google Scholar] [CrossRef]
- Brown, T.B.; Mann, B.; Ryder, N.; Subbiah, M.; Kaplan, J.; Dhariwal, P.; Neelakantan, A.; Shyam, P.; Sastry, G.; Askell, A.; et al. Language Models Are Few-Shot Learners. Adv. Neural Inf. Process. Syst. 2020, 33, 1877–1901. [Google Scholar]
- Blei, D.M.; Lafferty, J.D. Dynamic Topic Models. In Proceedings of the 23rd international conference on Machine learning—ICML 2006, Pittsburgh, PA, USA, 25–29 June 2006; ACM Press: Pittsburgh, PA, USA, 2006; pp. 113–120. [Google Scholar]
- Steam Store. Available online: https://store.steampowered.com/ (accessed on 12 June 2025).
- Wikipedia. Steam (Service) 2025. Available online: https://en.wikipedia.org/wiki/Steam_(service) (accessed on 12 May 2025).
- Topic Modeling Algorithms and Applications: A Survey. Inf. Syst. 2023, 112, 102131. [CrossRef]



















| Label | Definition |
|---|---|
| Anxiety Expression | Expressions of stress, tiredness, emotional exhaustion, or negative states |
| Emotional Relief | Descriptions of calm, joy, comfort, or emotional healing |
| Slow-paced Gameplay | References to relaxed progression, absence of pressure, or low-speed design |
| Pastoral Healing | Rural symbols such as farming, nature, animals, or a simple life |
| Control/Low Stakes | Elements of autonomy, sandbox systems, or minimal failure consequences |
| Escapism | Desires to forget reality or immerse oneself in alternative worlds |
| Topic | Top 10 Keywords |
|---|---|
| Topic 1: Emotional Release and Relaxation | game, great, relax, cozy, update, haley, perfect, work, free, masterpiece |
| Topic 2: Social and Emotional Connection | love, farm, concernedape, farmer, fantastic, comfort, absolute, peak, playful, couple |
| Topic 3: Game Mechanics and Player Evaluation | game, good, play, hours, farming, buy, amazing, mods, update, years |
| Topic 4: Game Experience and Entertainment | fun, play, friend, super, recommend, addictive, modding, lot, highly, hours |
| Topic 5: Game Expansion and Player Feedback | game, good, play, hours, farming, buy, amazing, mods, update, years |
| Topic 6: Rural Life and Game Experience | valley, Stardew, play, life, day, sim, star, real, labor, live |
| Topic 7: Game Experience and Player Feedback | game, farm, time, feel, enjoy, character, story, gameplay, experience, recommend |
| Topic | Theme Name | Top 10 Keywords |
|---|---|---|
| Topic1 | Serene Daily Routines | game, relax, play, time, fun, good, day, great, long, lot |
| Topic2 | Cozy and Immersive Ambiance | game, cozy, play, chill, fun, love, relaxing, recommend, great, nice |
| Topic3 | Immersive Farmstead Experience | game, Stardew, valley, farm, experience, gameplay, feel, character, player, community |
| Topic4 | Tranquil Village Connections | life, Stardew, valley, farm, game, feel, time, town, day, love |
Disclaimer/Publisher’s Note: The statements, opinions and data contained in all publications are solely those of the individual author(s) and contributor(s) and not of MDPI and/or the editor(s). MDPI and/or the editor(s) disclaim responsibility for any injury to people or property resulting from any ideas, methods, instructions or products referred to in the content. |
© 2025 by the authors. Licensee MDPI, Basel, Switzerland. This article is an open access article distributed under the terms and conditions of the Creative Commons Attribution (CC BY) license (https://creativecommons.org/licenses/by/4.0/).
Share and Cite
Xing, Y.; Ma, W.; You, Q.; Li, J. Modeling Affective Mechanisms in Relaxing Video Games: Sentiment and Topic Analysis of User Reviews. Systems 2025, 13, 540. https://doi.org/10.3390/systems13070540
Xing Y, Ma W, You Q, Li J. Modeling Affective Mechanisms in Relaxing Video Games: Sentiment and Topic Analysis of User Reviews. Systems. 2025; 13(7):540. https://doi.org/10.3390/systems13070540
Chicago/Turabian StyleXing, Yuxin, Wenbao Ma, Qiang You, and Jiaxing Li. 2025. "Modeling Affective Mechanisms in Relaxing Video Games: Sentiment and Topic Analysis of User Reviews" Systems 13, no. 7: 540. https://doi.org/10.3390/systems13070540
APA StyleXing, Y., Ma, W., You, Q., & Li, J. (2025). Modeling Affective Mechanisms in Relaxing Video Games: Sentiment and Topic Analysis of User Reviews. Systems, 13(7), 540. https://doi.org/10.3390/systems13070540

