Abstract
This study examines how a low-carbon manufacturer strategically adopts blockchain technology and selects sales modes with a dual-purpose e-commerce platform that focuses on both profit and consumer surplus. We develop six game-theoretic models by combining three sales modes (agency, reselling, and dual modes) with two blockchain scenarios (adoption vs. non-adoption). Using backward induction, we derive equilibrium strategies for supply chain members and analyze the impacts of key parameters. Building on these analyses, we further investigate the joint decision-making of blockchain adoption and sales mode selection, exploring how the platform’s consumer surplus concern influences manufacturer decisions, and evaluating the economic value created by blockchain under alternative sales modes, ultimately leading to three key findings: (1) The agency mode is generally preferred in most cases, especially when the platform has a moderate level of concern for consumer surplus. Blockchain adoption is only recommended when its unit operational cost is below certain thresholds, and it can significantly impact the choice between agency and dual modes based on the platform’s consumer surplus concern. (2) Platform’s degree of consumer surplus concern exerts a negligible effect on manufacturer’s sales mode selection without blockchain, but it becomes crucial and can trigger a shift to the dual mode when blockchain is adopted. (3) Blockchain generates the greatest economic value for the manufacturer under the dual mode, regardless of cost thresholds. For platforms, the optimal strategy depends on blockchain’s unit operational cost, with the reselling mode being optimal for low cost and the agency mode preferred for higher cost.
1. Introduction
With the growth of e-commerce and improvements in logistics, online purchases have emerged as a significant driver of consumer behavior. In 2023, China’s e-commerce transaction volume reached $5.8 trillion, marking an 11% year-on-year growth. The growing popularity of online shopping has led to the widespread use of e-commerce platforms. The rapid growth of e-commerce has revolutionized global retail, offering manufacturers unprecedented access to vast consumer markets. In this context, a growing number of manufacturers sell their products online, leading to the gradual emergence of the e-commerce supply chain (ECSC). Concurrently, increasing environmental awareness and stringent carbon neutrality policies have driven manufacturers to adopt low-carbon production strategies, transforming into low-carbon manufacturers to meet consumer demand for sustainable products. The 2024 China Sustainable Consumption Report indicates that approximately 70–80% of consumers are prepared to spend an extra 10–30% on sustainable products, a proportion which has been steadily increasing compared to previous years. However, a critical challenge persists in e-commerce supply chains: information asymmetry between low-carbon manufacturers and consumers. Consumers often struggle to verify the authenticity of a product’s eco-friendly attributes, leading to skepticism and reduced market trust [1]. Mark et al. conducted a survey of 1200 consumers, revealing that 54% of the respondents gave up purchasing low-carbon products because they were unable to verify the actual environmental protection performance of these products [2]. To address this issue, blockchain technology has emerged as a promising solution. Its decentralized, tamper-proof, and transparent features enable end-to-end traceability of carbon footprints, allowing consumers to access verified information about a product’s sustainability [3]. While blockchain adoption theoretically enhances trust, its economic viability for manufacturers remains contested due to high implementation costs and uncertain returns. For examples, Lenovo has effectively promoted information sharing between the firm and consumers and enhanced the transparency of the entire product lifecycle by adopting a “blockchain-supply chain integration” model [4]; IKEA employs blockchain technology to monitor the production process of office desks, ensuring that all sourced materials originate from certified sustainable timber in Indonesian forests. Similarly, Haier has developed COSMOPlat, a user-centric industrial Internet platform powered by blockchain technology. This platform engages users directly, enabling them to participate in product manufacturing throughout the entire value chain, thereby strengthening consumer trust.
Within the ECSC, agency, reselling and dual mode are three common sales modes for cooperation between manufacturers and platforms [5]. In the agency mode, the platform does not participate in the transaction. Instead, it charges a certain commission from the manufacturers who sell items directly to consumers through the platform. For example, the footwear brand Timberland chooses to sell products through its own online store on JD.com. In the reselling mode, the platform acquires products from the manufacturer and sells them to consumers. For instance, Christian Louboutin in beauty only engages with JD.com through reselling mode. In the dual mode, manufacturers utilize both the reselling and agency modes to distribute their products. Household appliance brand Midea is example of companies that sells through both self-operated store and their official flagship store on JD.com.
While prior researches explore sales modes in profit-driven contexts, few studies consider platforms with dual purpose that balances profit maximization with consumer surplus [6]. Modern platforms like JD.com and Alibaba, increasingly prioritize corporate social responsibility (CSR), emphasizing consumer surplus alongside profitability. JD.com initiated a substantial subsidy initiative worth 10 billion yuan aimed at reducing the cost of its merchandise for consumers, aiming to enhance consumer welfare. Taobao’s “88VIP” program is a strategy aimed at enhancing consumer welfare by offering extra benefits to consumers. This approach has effectively drawn a loyal customer base for the company. These dual-purpose platforms introduce new complexities, as platform decisions must reconcile economic and social goals. Motivated by the phenomena above, the key research questions are progressively outlined below:
Q1: How should the low-carbon manufacturer jointly optimize blockchain adoption decisions and sales mode selection (agency/reselling/dual) under dual-purpose e-commerce platform?
Q2: How does a dual-purpose platform’s consumer surplus concern reshape manufacturers’ blockchain adoption and sales mode selection strategies?
Q3: What economic value does blockchain technology create for different supply chain members under alternative sales modes?
These questions are systematically addressed through six game-theoretic models (Section 4), followed by integrated insights in Section 5 and Section 6. For the above purposes, this paper makes the following three contributions: First, simultaneously incorporate blockchain adoption and sales mode selection into the ECSC. This enables us to identify conditions where blockchain adoption amplifies or diminishes the advantages of specific sales modes; Second, introduce a dual-purpose platform (profit and consumer surplus) to study its influence on manufacturer strategies. This novel modeling approach allows us to quantify how platforms’ consumer surplus concern influences manufacturers’ operational decisions; Third, quantify the economic value of blockchain across sales modes to guide practical adoption, which provides actionable insights for managers to match blockchain investments with optimal sales mode selection strategies.
The rest of the paper is outlined below. Literature reviews are presented in Section 2. The model description and assumption are illustrated in Section 3. Section 4 derives the equilibrium outcomes for six models. Section 5 provides a comparative analysis of these equilibrium outcomes. Section 6 conducts an integrated analysis of joint decision-making and the economic value of blockchain. Concluding remarks and managerial implications are discussed in Section 7.
2. Literature Reviews
This research mainly involves three distinct bodies of literature: e-commerce supply chain, dual-purpose firms and blockchain in supply chains.
2.1. E-Commerce Supply Chain
Some researchers have concentrated on low-carbon manufacturers operating on E-commerce platform. Li et al. explored optimal strategies of green manufacturers marketing sustainable goods through dual channels under centralized and decentralized decision-making respectively [7]. Xia et al. analyzed the financial constraint issues faced by low-carbon manufacturers when they adopt the dual-channel sales mode of offline and online to sell low-carbon products [8]. Barman et al. studied the situation where both green and non-green manufacturers sell items through online and offline channels, analyzing how to formulate product pricing, greening strategies, and sales effort levels under different decision-making models [9].
For ECSC, choosing the right sales mode has always been a crucial decision. In reality, numerous factors can influence the choice of sales mode between manufacturers/suppliers and platforms. Tian et al. examined how the competition intensity of suppliers and order fulfillment costs jointly affect the optimal mode selection of online platforms under the reselling, agency, and hybrid models [10]. Ha et al. studied the manufacturers’ sales online through agency, reselling and dual channels, while investing in retail services on the online retail platform, and analyzed the equilibrium conditions and member decisions under the three channels [11]. Yu et al. explored how manufacturers and platform make decisions by combining greenwashing behavior and sales modes in the ECSC [12]. Guo et al. studied how the eco-labels provided by sales platforms affect manufacturers’ decisions on product greenness levels, sales platforms’ marketing effort levels, and pricing decisions under agency contracts and wholesale contracts [13]. Zhang et al. focused on the situation in ECSC where the e-commerce platform owns its private label and supports the online sales of manufacturers’ products through either agency selling or reselling mode, and analyzed the preferences of members under different sales modes [14]. Building on the above literature, our research focuses on the information asymmetry issue caused by the online platforms of e-commerce supply chains. Specifically, we investigate how low-carbon manufacturers can effectively convey their green and eco-friendly information to consumers who are sensitive to environmental issues. We propose that blockchain technology can serve as a powerful tool to address this challenge.
2.2. Dual-Purpose Firms
Many scholars have carried out extensive explorations regarding the dual-purpose nature of firms, which not only focus on maximizing their own profits but also on maximizing consumer surplus. Panda was the first to conduct the effect of dual-purpose strategies of manufacturers and retailers on optimal decisions and operational strategies of supply chain members [15]. Wang and Li studied the impact of a supplier’s encroachment through a direct sales channel on decision-making when the retailer has dual-purpose attribute [16]. Ye et al. explored the differences in information sharing strategies of retailers when facing profit-oriented manufacturers and dual-purpose manufacturers, and analyzed how such strategies affect manufacturers’ profits, consumer surplus, and social welfare [17]. Huang et al. explored how the investment cost and the degree of attention to consumer surplus affect the manufacturer’s channel selection by analyzing two scenarios where the manufacturer and the retailer respectively focus on consumer surplus [18]. Meng et al. studied how the dual-purpose behavior of manufacturers and retailers affects the quality strategy, pricing decision-making, and supply chain performance of Store Brand when retailers introduce it [19]. The above studies have mainly focused on manufacturers or retailers as dual-purpose firms. However, as e-commerce platforms have evolved and become more universally utilized, platforms themselves have also begun to pursue dual objectives. Huang et al. studied the optimal decisions of dual-purpose platforms and manufacturers under three channels, and examined the combined effect of commission rate and degree of attention to consumer surplus on the channel strategies [20]. Huang and Chen studied the manufacturer’s encroachment strategy in a supply chain with competing dual-purpose online retail platforms [21]. Huang et al. explored the equilibrium disclosure strategies of platform in two information disclosure scenarios with an online platform focusing on consumer surplus and a manufacturer. They also investigated the impacts of different disclosure scenarios on supply chain members [22]. Based on the above, our study aims to examine how a dual-purpose platform affects blockchain adoption and sales mode choices of low-carbon manufacturers operating on it.
2.3. Blockchain in Supply Chains
Blockchain technology has been widely applied in various supply chains, including luxury goods [23], fresh food [24], shipping [25], and medicine [26], largely because of its ability to make product information transparent and traceable. Xu and Duan explored manufacturer’s decision on blockchain adoption and the impact of government subsidies on blockchain application when there is consumer skepticism about the value of green products under three types of government subsidies [27]. Liu et al. focused on the competition between green and non-green products. They explored the impact of blockchain on the strategies of supply chain members when it is involved in the competition, as green manufacturers use blockchain technology to enhance consumers’ trust in the green attributes of products [28]. Cai et al. took into account the enhancement of consumers’ trust in green products, the potential privacy concerns that might be triggered, and the resulting information asymmetry among supply chain members. Based on this, they explored whether the manufacturer should adopt blockchain technology [29]. Zhao et al. considered a manufacturer making decarbonization investments and selling products through a direct channel and an online platform. The platform considered whether to adopt blockchain technology and explored the influence between the platform’s blockchain adoption and the selection of sales modes [30]. Hsieh and Lathifah focused on the scenario where a manufacturer sells green items on a blockchain-based platform, and explored the influence of blockchain technology on consumers’ evaluation of product greenness and its cross-channel impact on the direct sales channel [31]. These studies overlooked the influence of blockchain on the selection of sales modes. In this context, we explore the interaction between blockchain adoption and the sales mode selection of a low-carbon manufacturer operating on a dual-purpose e-commerce platform.
We summarize the most relevant literature in Table 1 and highlight the research gap. While prior studies have made significant contributions to the fields of e-commerce supply chain (ECSC), dual-purpose firms, and blockchain applications in supply chains, they predominantly focus on single-objective decision-making scenarios. Few studies have explored the joint decision-making process of blockchain adoption and sales mode selection under a dual-purpose e-commerce platform that balances profit maximization with consumer surplus. Additionally, there is a lack of systematic evaluation of the economic value of blockchain technology across different sales modes. Our study addresses these gaps by integrating blockchain adoption and sales mode selection within the context of a dual-purpose platform. This approach not only enriches the literature on ECSC, and also offers practical guidance for the low-carbon manufacturers to make joint decision on blockchain adoption and sales mode selection. Additionally, it provides insights for platforms on how to encourage blockchain integration to enhance profitability and consumer welfare.
Table 1.
Literature comparison.
3. Model Description and Assumptions
In this section, we use a game-theoretic model to capture the strategic interactions between the manufacturer and the platform. These interactions are characterized by interdependent decisions, where the choice of one player affects the payoffs of the other. By modeling these interactions, we can derive equilibrium strategies that reflect the optimal decisions for both players under different scenarios. This approach allows us to systematically analyze the impact of blockchain adoption on sales mode selection and to quantify the economic value created by blockchain technology in various contexts.
3.1. Model Description
We consider an e-commerce supply chain comprising a low-carbon manufacturer(M) and an e-commerce platform(E) focusing on both the profit and consumer surplus. For simplicity, these entities will hereafter be referred to as the manufacturer and the platform, respectively. The manufacturer produces eco-friendly products using emission reduction technologies, aligning with consumers’ environmental preferences. The platform offers three sales modes: the agency mode (mode A), the reselling mode (mode R), and the dual mode (mode D). Under the agency mode, the manufacturer determines the retail price, sells directly to consumers, compensating the platform with a commission rate , which is assumed exogenous. Under the reselling mode, the platform acquires products from the manufacturer at a wholesale price per unit and then sells them at price . The dual mode combines the above two modes: the manufacturer sells directly at price while also supplying the platform at wholesale price . The channel structures under these three sales modes are shown in Figure 1.
Figure 1.
The channel structures.
In the context of three distinct sales modes, manufacturers may elect to implement blockchain technology as a strategic solution for mitigating information asymmetry within supply chain operations. When adopting blockchain systems (denoted by superscript B), consumers gain complete visibility into the carbon footprint information of eco-friendly products, enabling informed purchasing decisions. This contrasts with conventional non-blockchain scenarios (indicated by superscript N), where carbon footprint information of eco-friendly products remains partially obscured.
3.2. Model Assumptions
Assumption 1.
The market size is normalized to 1, consumers are heterogeneous, and their willingness to pay (WTP) for eco-friendly products follows a uniform distribution over the interval [0, 1].
Assumption 2.
The true greenness level of eco-friendly products is denoted as . In the situation where the manufacturer opts not to implement blockchain technology (Scenario N), consumers face uncertainty regarding the actual greenness level due to information asymmetry. They perceive the greenness level of eco-friendly products as being uniformly distributed within the interval [0, 1]. Although consumers may access partial information about eco-friendly products through user reviews or third-party reports, these channels do not guarantee effective knowledge acquisition. This is because they may lack the experience of effectively searching for information or do not know how to convert the found information into practical insights. Specifically, let denote the probability of successful information acquisition, and represents the probability of information acquisition failure. Thus, under successful information acquisition, consumers maintain their prior belief , and when consumers fail in information acquisition, [32]. Therefore, the expected value of the product greenness level for consumers is , and the utility of consumers purchasing eco-friendly products is , where is the base valuation, is the product price and is greenness sensitivity coefficient. When the manufacturer implements blockchain technology (Scenario B), information asymmetry is eliminated, granting consumers perfect visibility of greenness level, , the corresponding utility becomes .
Assumption 3.
To measure the level of consumer surplus concern, the platform’s emphasis on profit is scaled to a value of 1; concurrently, the platform’s concern for consumer surplus is represented by , where . represents the situation where the platform only focuses on profit maximization [17]. Then the utility function of the dual-purpose platform is , where is the profit of the platform and CS is the consumer surplus. And the utility of the low-carbon manufacturer is .
Assumption 4.
To streamline the analytical framework, we normalize the manufacturer’s marginal production cost to zero and model blockchain adoption as incurring solely a unit operational cost . Fixed implementation costs associated with blockchain infrastructure are abstracted from the model to focus on variable cost implications.
Assumption 5.
The commission rate is an exogenous parameter constrained within . This operational boundary aligns with JD.com (maximum 10% base rate) and Amazon (up to 45% in specific categories) maintaining commission rates below 50% for core product sales, excluding ancillary services (extended warranties, protection plans, and service contracts).
Assumption 6.
To simplify the symbol representation in the dual mode, the superscripts A’ and R’ represent agency and reselling modes in dual mode respectively, and is used to represent the competition intensity between the agency and reselling mode in the dual mode.
The notations of parameters are summarized in Table 2.
Table 2.
Notations of parameters.
4. Model Solution and Analysis
As described above, the manufacturer faces a dual-dimensional strategic space: blockchain adoption (B) or non-adoption (N), coupled with three channel coordination mechanisms-agency (A), reselling (R), and dual modes (D). This combinatorial structure generates six distinct game-theoretic scenarios, formally defined as: Agency mode without blockchain (NA), reselling mode without blockchain (NR), dual mode without blockchain (ND), agency mode with blockchain (BA), reselling mode with blockchain (BR), and dual mode with blockchain (BD). Each of these six models will be solved using backward induction method.
4.1. Models Without Blockchain
Under non-blockchain adoption scenario, information asymmetry persists regarding product greenness level, leading consumers to form probabilistic assessments of environmental quality. In this case, we analyze three sales modes between the manufacturer and the platform. Based on these modes, each game structure is formalized through a sequential Stackelberg framework.
4.1.1. Agency Mode Without Blockchain (NA)
In model NA, the manufacturer determines retail price and the commission rate of is exogenous. At this time, the functions of eco-friendly product demand, consumer surplus, the utilities of manufacturer and platform are:
Using backward induction, the equilibrium strategies can be obtained under model NA.
Lemma 1.
In the NA model, the retail price is:
By substituting (5) into Equations (1)–(4), we can get the demand for eco-friendly products, consumer surplus and utilities of supply chain members:
Corollary 1.
In the NA model, in equilibrium:
A: (1) ;
(2) When , otherwise .
The increase in consumers’ information acquisition ability raises both the retail price and demand, benefiting the manufacturer but reducing consumer surplus. The platform’s utility response to depends on the commission rate : Low makes utility decrease with due to insufficient compensation for price-driven demand shrinkage, while high allows utility growth from higher revenue share. Unlike the NR/ND models (see Section 5), the platform’s utility sensitivity to in the agency mode critically hinges on , highlighting the moderating role of commission structure in this channel.
B: When , otherwise .
If consumers’ green sensitivity is low, the platform benefits from concerning consumer surplus as price elasticity dominates. High reverses this effect: consumers tolerate less price reduction, making consumer-surplus-focused strategies unprofitable.
4.1.2. Reselling Mode Without Blockchain (NR)
In Model NR, the manufacturer determines the wholesale price , and then the platform determines the retail price . At this time, the functions of the demand for eco-friendly products, consumer surplus, the utilities of the manufacturer and the platform are:
Using backward induction, the equilibrium strategies can be obtained under model NR.
Lemma 2.
In the NR model, the equilibrium strategies are:
By substituting (14) and (15) into Equations (10)–(13), we can get the demand for eco-friendly products, consumer surplus and utilities of the manufacturer and platform:
Corollary 2.
In the NR model, in equilibrium:
A:
In the NR model, when consumers gain better access to eco-friendly product information ( increases), the manufacturer raises wholesale price, leading platform to increase retail price accordingly. Despite these price hikes, sales volume continues to grow because consumers demonstrate greater willingness to pay for verifiable eco-friendly attributes. While the manufacturer and the platform get higher utilities, consumers experience reduced net benefits. The increased expenditure outweighs the perceived value gain from enhanced product transparency, which leads to “diminished consumer surplus.”
B: (1) ;;;
(2) When , , , otherwise .
The platform’s concern on consumer welfare significantly influences pricing strategies. As increases, the platform strategically reduces retail price, compelling manufacturers to correspondingly lower wholesale price. This price reduction stimulates demand, but its effectiveness critically depends on consumers’ greenness sensitivity . In markets where consumers prioritize cost over sustainability (low ), aggressive pricing strategies can dramatically boost sales volume, potentially increasing profits for both platform and manufacturer despite lower margins. Conversely, in eco-conscious segments (high ), where consumers value eco-friendly attributes, price reductions yield diminishing returns. Here, the strategy may backfire-shrinking profit margins aren’t offset by sufficient demand growth, ultimately eroding value for all stakeholders while failing to meaningfully enhance consumer welfare. This dynamic creates a fundamental tension between price-based welfare policies and premium sustainability positioning.
4.1.3. Dual Mode Without Blockchain (ND)
In Model ND, the manufacturer markets eco-friendly products under reselling and the agency mode. Similar to Liu and Deng [33,34], we employ a utility function to derive the demand functions from these two modes, that is:
At this time, the functions of the demand for eco-friendly products, consumer surplus, the utilities of the manufacturer and the platform are:
Using backward induction, the equilibrium strategies can be obtained under model ND.
Lemma 3.
In the ND model, the equilibrium strategies are:
By substituting (26), (27) and (28) into Equations (21)–(25), we can get the demand for eco-friendly products, consumer surplus and utilities of the manufacturer and the platform as follows:
where .
Corollary 3.
In the ND model, in equilibrium:
A: (1) ;
(2) When and , , otherwise When and , , otherwise ; When and , , otherwise
Retail prices rise in both agency and reselling modes as increases, but wholesale price only increase when the platform’s consumer surplus concern and channel competition are low. When < 0.5 and is small, higher boosts reselling mode demand; otherwise, demand contracts due to excessive price inflation. The Manufacturer benefits from only when commission rates and consumer green sensitivity are sufficiently high. The platform gains from when is high, but only if is moderate—excessive consumer surplus focus erodes price premiums.
B: (1) ;
(2) When , otherwise, When and otherwise .
Higher reduces wholesale price and reselling mode retail price, but increases total demand and consumer surplus. Manufacturer profit declines with unless is very low. Platform utility paradoxically increases with in low as the greenness sensitivity offsets margin erosion.
Table 3 summarizes the equilibrium results of the NA, NR, and ND models without blockchain technology.
Table 3.
Equilibrium results in the NA, NR and ND models.
4.2. Models with Blockchain
When the manufacturer adopts blockchain technology, consumers can fully obtain the greenness level of eco-friendly products, that is,.
4.2.1. Agency Mode with Blockchain (BA)
In model BA, the manufacturer retains full control over production and sales processes, including decisions on blockchain adoption. Consequently, the manufacturer bears the cost of blockchain adoption, while the platform operates solely as a distribution channel. The functions of the demand for eco-friendly products, consumer surplus, the utilities of the manufacturer and the platform are:
Using backward induction, the equilibrium strategies can be obtained under model BA.
Lemma 4.
In the BA model, the equilibrium retail price is:
By substituting (38) into Equations (34)–(37), we can get the demand for eco-friendly products, consumer surplus and utilities of the manufacturer and the platform as follows:
where .
Corollary 4.
In the BA model, in equilibrium:
A: (1) ;;
(2) When ,, otherwise ; When , , otherwise ; When , , otherwise .
The blockchain adoption leads to higher retail price and reduced demand due to increased operational cost. Consumer surplus only diminishes when green sensitivity is low, as price-sensitive buyers are disproportionately affected. While manufacturer benefits from blockchain adoption in low markets, platform requires to exceed a critical threshold to realize utility gain.
B: When and , , otherwise .
The platform benefits from consumer surplus concern only when is sufficiently low, and is not high. Beyond these thresholds, harms utility without improving welfare. Therefore, when both and are low, increasing can simultaneously enhance platform utility and consumer surplus.
4.2.2. Reselling Mode with Blockchain (BR)
Under the BR model, the functions of the demand for eco-friendly products, consumer surplus, the utilities of the manufacturer and the platform are:
Using backward induction, the equilibrium strategies can be obtained under model BR.
Lemma 5.
In the BR model, the equilibrium strategies are:
By substituting (47) and (48) into Equations (43)–(46), we can get the demand for eco-friendly products, consumer surplus and utilities of the manufacturer and the platform:
Corollary 5.
In the BR model, in equilibrium:
A: (1) ;
(2) When , , otherwise
Rising unit operational cost of blockchain drives up both wholesale price and retail price, while depressing demand. Consumer surplus declines when is low, as price hikes outweigh authenticity assurance benefits. Both the manufacturer and the platform utilities uniformly decrease with , reflecting the reselling model’s sensitivity for unit operational cost of blockchain.
B: When , , otherwise ; When , , otherwise .
In the BR model, when is low, the retail price of eco-friendly products decreases as increases, while the market demand increases. When consumers’ greenness sensitivity is low, as increases, the consumer surplus, and the utilities of both the manufacturer and the platform decrease.
4.2.3. Dual Mode with Blockchain (BD)
In Model BD, the manufacturer sells eco-friendly products under both the reselling and agency modes. Similar to Liu and Zeng [33,34], we employ a utility function to derive the demand functions from these two modes, that is:
At this time, the functions of the demand for eco-friendly products, consumer surplus, the utilities of the manufacturer and the platform are:
Using backward induction, the equilibrium strategies can be obtained under model BD.
Lemma 6.
In the BD model, the equilibrium strategies are:
By substituting (59), (60) and (61) into Equations (54)–(58), we can get the demand for eco-friendly products, consumer surplus and utilities of the manufacturer and the platform as follows:
where , , , , .
Corollary 6.
In the BD model, in equilibrium:
A: (1) ;
(2) When , , otherwise ; When and , , otherwise
where ;
With consumers having a high greenness sensitivity, they are more willing to pay a premium for products with verified eco-friendly attributes, the adoption of blockchain technology enhances the transparency and trustworthiness of the product’s greenness level, which can significantly increase consumer surplus. This is because consumers are more confident in the product’s eco-friendly claims, leading to a higher perceived value and willingness to pay. As a result, even though the retail prices increase due to the blockchain cost, the overall consumer surplus can still increase because the value gained from the verified greenness outweighs the price increase. For the manufacturer and the platform, when consumers have a high and , the utilities of both increase with .
B: (1) ;
(2) When , , otherwise .
When is low, both the retail price and the market demand under the reselling mode decrease as increases, while the consumer surplus increases.
Table 4 summarizes the equilibrium results of the BA, BR, and BD models with blockchain technology.
Table 4.
Equilibrium results in the BA, BR and BD models.
5. Comparison and Analysis
5.1. Impacts of Blockchain Technology
5.1.1. Impacts of Blockchain Adoption Under the Agency Mode
Proposition 1.
Under the agency mode, comparing the optimal decisions of the manufacturer under blockchain adoption and non-adoption reveals that:
A: (1) ;
(2) When , , otherwise
where ;
The manufacturer’s blockchain adoption decision will have an impact on the business decisions under the agency mode. The blockchain adoption will lead to higher retail price, the reason is that the manufacturer passes blockchain cost to consumers, resulting in higher retail price. When consumers have a low information acquisition ability, the demand will also increase. Blockchain’s transparency effect outweighs price hikes, stimulating demand.
B: When , , otherwise .
where
In the agency mode, blockchain enhances manufacturer profit only when is less than , this critical threshold is influenced by three factors: increasing green sensitivity raises the threshold; greater information transparency lowers the threshold; higher commission rates reduce the threshold. The shaded area in Figure 2 represents the region where the manufacturer chooses to adopt blockchain under the agency mode.
Figure 2.
Conditions for blockchain adoption in the agency mode.
C: (1) When , , otherwise
(2) When , , otherwise .
Among them, , and .
When is lower than a certain threshold respectively, both the platform and consumers will benefit when the manufacturer chooses to adopt blockchain. According to Proposition B and C, when is less than , the blockchain adoption can bring about a win-win-win situation for the three parties.
Figure 3 illustrates that in the dashed-line shaded region, the manufacturer, platform and consumers can all benefit from blockchain adoption, resulting in a triple-win scenario. In the solid-line and dot-dash shaded areas, the thresholds for blockchain adoption are misaligned among the manufacturer, the platform, and consumers, making the zone of conflicting preference inevitable. The unshaded area indicates the scenario where none of the three parties gains from blockchain adoption.
Figure 3.
Effects of and on blockchain adoption decision zones under agency mode.
5.1.2. Impacts of Blockchain Adoption Under the Reselling Mode
Proposition 2.
Under the reselling mode, comparing the optimal decisions under blockchain adoption and non-adoption reveals that:
A: (1) ; ;
(2) When , , otherwise
Under reselling mode, blockchain cost simultaneously increase both wholesale and retail prices. Demand grows only when blockchain cost is exceptionally low
B: When , , otherwise .
where .
When is less than , the manufacturer is more inclined to adopt blockchain technology. The critical cost threshold reveals: platform consumer surplus concern relaxes the cost ceiling; consumer information acquisition ability exhibits nonlinear influence. As shown in Figure 4 when the adoption cost of blockchain falls within the shaded area, the manufacturers will opt to utilize blockchain technology.
Figure 4.
Conditions for blockchain adoption in the reselling mode.
C: (1) When , , otherwise
(2) .
When is low, the utility of the platform when the manufacturer chooses to adopt blockchain technology is higher than that when blockchain is not adopted. Regardless of whether the manufacturer adopts blockchain or not, the consumer surplus is always at its best when the manufacturer does not adopt blockchain technology.
Figure 5 illustrates that in the dashed-line shaded region, the thresholds for blockchain adoption are misaligned among the manufacturer, the platform, and consumers, making the zone of conflicting preference inevitable. The unshaded area indicates the scenario where none of the three parties gains from blockchain adoption. There is no triple-win area.
Figure 5.
Effects of and on blockchain adoption decision zones under reselling mode.
5.1.3. Impacts of Blockchain Adoption Under the Dual Mode
Proposition 3.
Under the dual mode, comparing the optimal decisions under blockchain adoption and non-adoption reveals that:
A: (1) ; ;
(2) When and , , otherwise, ; When , , otherwise ; When , , otherwise
where ; ;
Under the BD model, the retail prices are always higher when the manufacturer adopts blockchain either in the agency mode or the reselling mode. When the blockchain cost is low and the competition intensity under dual mode is small, is always higher; when the adoption cost of the blockchain is low, the market demand in both the agency mode and the reselling mode is also higher.
B: When , , otherwise .
Where
When is lower than a certain threshold, the manufacturer’s profit after adopting blockchain is higher than that without adopting blockchain. And the manufacturer has the motivation to adopt blockchain technology. As shown in Figure 6, in the shaded area, the manufacturer tends to adopt blockchain technology.
Figure 6.
Conditions for blockchain adoption in the dual mode.
C: ; .
Under the dual mode, consumer surplus is consistently higher when the manufacturer does not adopt blockchain technology compared to when adoption occurs. For platform, utility is always greater when the manufacturer implements blockchain technology.
Figure 7 illustrates that in the dashed shaded region, blockchain adoption by the manufacturer creates a win-win scenario for both the manufacturer and the platform. Conversely, the unshaded area shows blockchain implementation only benefits the platform, with no advantages for either manufacturer or consumers.
Figure 7.
Effects of and on blockchain adoption decision zones under dual mode.
5.2. Impacts of Sales Mode
5.2.1. Without Blockchain
Proposition 4.
When the manufacturer chooses not to adopt blockchain technology, profit comparison across three sales modes reveals that:
(1) When , ; otherwise,
(2) ;
Proposition 4 reveals that when the manufacturer chooses not to adopt blockchain technology, its profit is optimized under the agency mode, while both the utility of the platform and the consumer surplus are optimized under the reselling mode, which results in the mode conflict.
5.2.2. With Blockchain
Proposition 5.
When the manufacturer chooses to adopt blockchain technology, a comparison of the manufacturer’s profits under three sales modes reveals that:
(1) When or , , otherwise
(2) ; .
where
Proposition 5 reveals that when adopting blockchain technology, the manufacturer’s profit is maximized under dual mode if platform concerns relatively little or a great of consumer surplus. However, when is at a moderate level, the manufacturer’s profit is maximized under the agency mode. As for the platform and consumers, their profits under the dual mode are higher than those under the reselling mode and the agency mode.
6. Joint Decision Analysis and the Economic Value of Blockchain
6.1. Optimal Strategy Considering Blockchain Adoption and Sales Mode Selection
To further expand the conclusions and derive more general insights, as well as to provide additional references for the manufacturer on selecting optimal strategies in more complex scenarios, this section examines the combination of blockchain adoption and sales mode selection to explore manufacturers’ optimal strategies.
Figure 8 reveals that agency mode is preferred without blockchain adoption, which aligns with Proposition 4. Figure 9 shows that with blockchain adoption, as changes, the manufacturer’s optimal decision alternates between the agency mode and the dual-mode, which is consistent with Proposition 5. Specifically, unless the platform’s concerning on consumer surplus is at extreme levels (either very low or very high), the manufacturer still prefers the agency mode even after adopting blockchain. This highlights the robustness of the agency mode as the dominant strategy in most practical scenarios.
Figure 8.
Sales mode strategy for the manufacturer without blockchain.
Figure 9.
Sales mode strategy for the manufacturer with blockchain.
Figure 10 further clarifies the blockchain adoption conditions for manufacturer under the agency mode. As demonstrated in Proposition 5 and combined with Proposition 1, it is evident that under the agency mode, when the unit operational cost of blockchain is less than , the manufacturer prefers to adopt blockchain technology. Figure 11 presents the blockchain adoption conditions for manufacturer under the dual-mode. Combined with Proposition 3, it is evident that under the dual mode, when is lower than , the manufacturer is inclined to utilize blockchain technology.
Figure 10.
Conditions for blockchain adoption in the agency mode.
Figure 11.
Conditions for blockchain adoption in the dual mode.
6.2. The Effect of the Platform’s Consumer Surplus Concern on Manufacturer’ Decision-Making
Corollary 1.2, 2.2, 3.2, 4.2, 5.2, and 6.2 analytically characterize the impact of platform’s consumer surplus concern on supply chain members’ operational decisions across six distinct models. To quantify the impact on the manufacturer’ blockchain adoption and sales mode strategies, we synthesize these theoretical propositions to derive the manufacturer’s optimal decision structure.
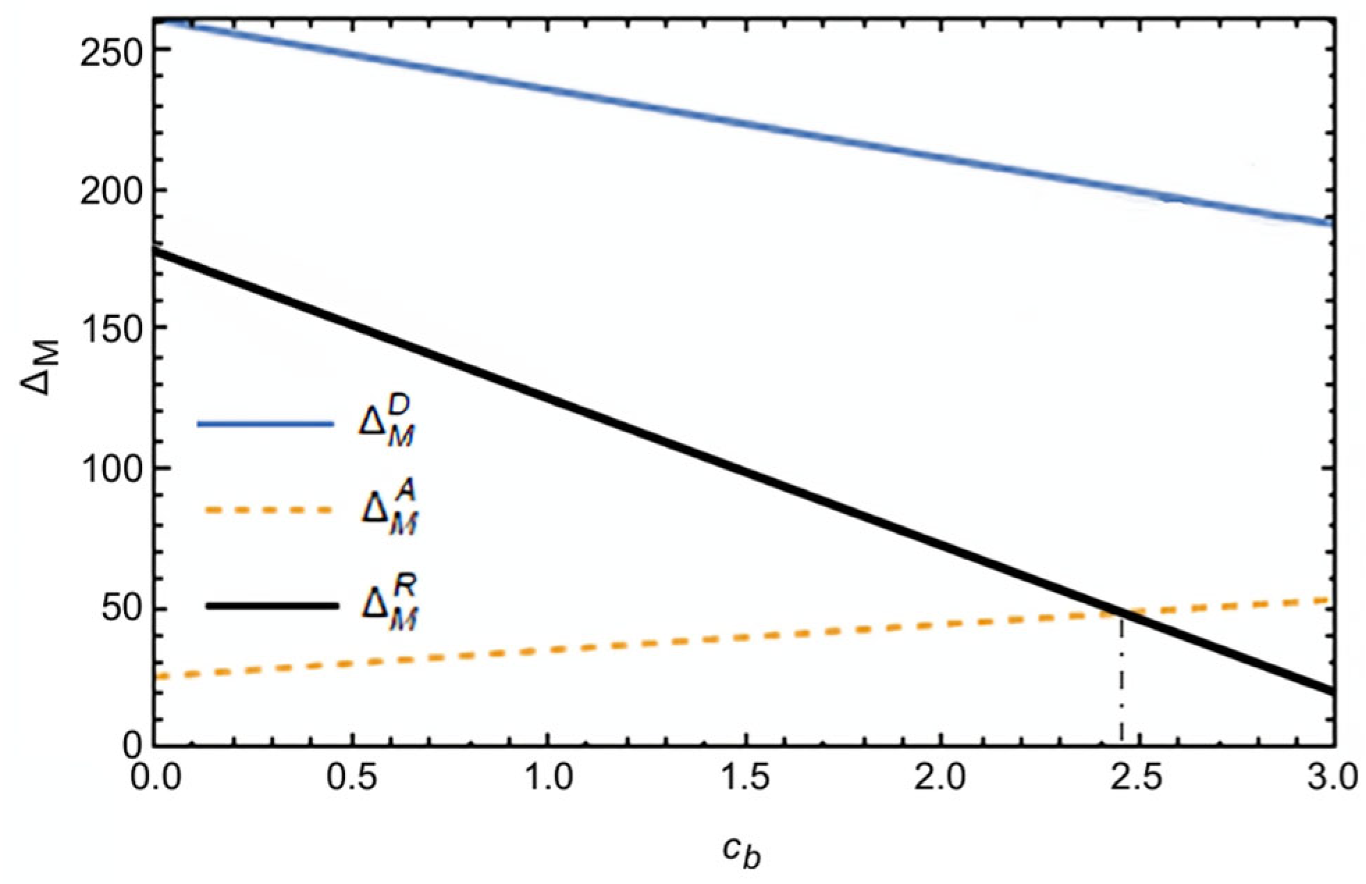
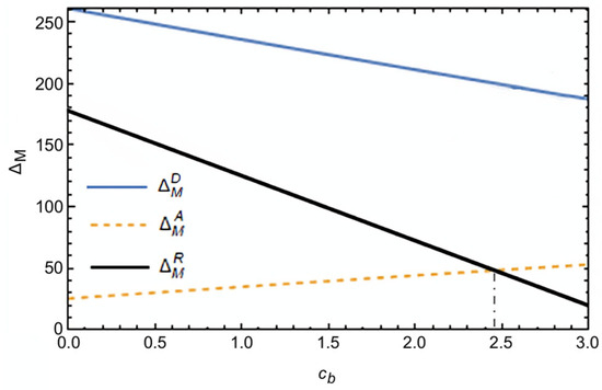
Figure 12 illustrates the manufacturer’s profit under three sales modes without blockchain adoption. Two key findings emerge: (1) Regardless of how changes, the manufacturer always achieves higher profits under the agency model. (2) For the reselling and dual models, the manufacturer’s profit dominance shifts at : reselling mode prevails when , whereas the dual mode becomes preferable when exceeds this threshold.
Figure 12.
The effect of on manufacturer profit without blockchain adoption.
Figure 13 illustrates the manufacturer’s sales mode preference with blockchain adoption across three sales modes. As shown in the Figure 13: (1) The manufacturer consistently prefers the dual mode when falls outside the intermediate range (). (2) Within the intermediate range (), the agency mode emerges as the dominant choice. Notably, the reselling mode remains suboptimal across all values of .
Figure 13.
The impact of on manufacturer profit with blockchain adoption.
6.3. The Economic Value of Blockchain
From the economic value perspective of blockchain (the profit difference before and after the adoption of blockchain), the preference for different sales modes of the manufacturer is further compared. Let represent the economic value of the blockchain adoption under the mode for the supply chain members . The expression of is obtained from Lemmas 1–6, as shown in Table 5.
Table 5.
The economic value of blockchain.
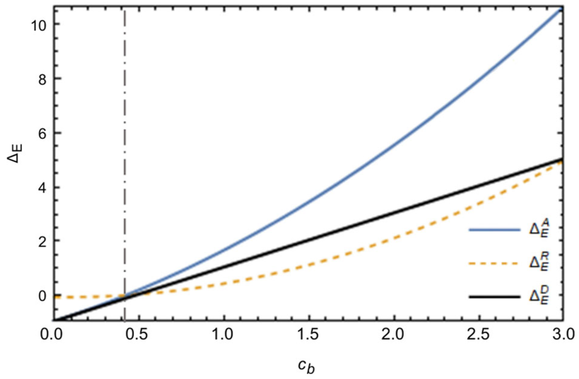
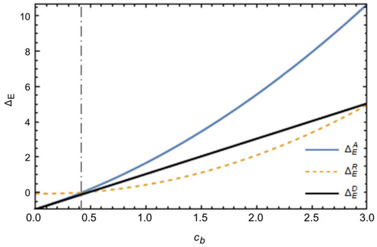
Corollary 7.
When ,
As shown in Figure 14, it can be seen that regardless of the unit operational cost of blockchain, the economic value brought by blockchain to the manufacturer under dual mode is always the greatest. When is less than a certain threshold, the economic value brought by blockchain to manufacturer under the reselling mode is higher than that under the agency mode. However, when is higher than this threshold, the agency mode brings a higher economic value. In general, the profit improvement brought by blockchain technology to the manufacturer under the dual mode is always the highest.
Figure 14.
Sales mode preferences for manufacturers based on the economic value of blockchain.
Corollary 8.
When , , otherwise
Corollary 8 shows that the economic value brought by blockchain to the platform also varies between agency mode and reselling mode. Combined with Figure 15, it can be seen that when is less than a certain threshold, the economic value brought by blockchain technology to the platform under reselling mode is the highest; otherwise, it is the highest under the agency mode.
Figure 15.
Sales mode preference for the platform based on the economic value of blockchain.
7. Conclusions and Managerial Insights
7.1. Main Findings
The study examines the strategic interplay between blockchain adoption and sales mode selection for a low-carbon manufacturer operating on a dual-purpose e-commerce platform that balances profit maximization with consumer surplus. Motivated by the challenges of information asymmetry in green product markets and the growing convergence of platform economies with low-carbon initiatives, we develop six game-theoretic models by combining three sales modes (agency, reselling, and dual modes) with two blockchain scenarios (adoption vs. non-adoption). Using backward induction, we derive equilibrium strategies for manufacturer and platform and analyze the impacts of key parameters. Building on these analyses, we further investigate the joint decision-making of blockchain adoption and sales mode selection, explore how the platform’s consumer surplus concern influences manufacturer decisions, and evaluate the economic value created by blockchain under alternative sales modes, ultimately leading to three key conclusions that address our core research questions.
First, the agency mode remains the preferred choice in most scenarios, particularly when the platform’s degree of consumer surplus concern is at moderate levels, as it maximizes manufacturer profits, no matter with or without blockchain. Blockchain adoption requires meeting specific cost thresholds: under the agency mode, implementation is recommended only when unit operational cost of blockchain is below the critical value , enabling a triple win for manufacturer, platform, and consumers; while in the dual mode, adoption may be considered when unit operational cost of blockchain is below , though typically at the expense of reduced consumer surplus. Crucially, the dual mode only potentially surpasses the agency mode when platforms exhibit extreme concern on consumer surplus (either strong concern or complete neglect).
Second, the platform’s degree of consumer surplus concern primarily matters for manufacturer decisions only when blockchain is adopted, creating a “threshold effect” where extreme values override the default agency-mode preference. Blockchain amplifies the decision weight of . Without blockchain, has negligible impact on the manufacturer’s sales mode selection (agency mode remains consistently optimal). With blockchain, extreme values of can trigger the dual mode to become the new optimum, demonstrating how blockchain magnifies influence of on supply chain structure.
Third, the blockchain adoption generates the greatest economic value for manufacturers under the dual mode, with this advantage remaining consistent regardless of cost thresholds. For platforms, the optimal strategy depends on unit operational cost of blockchain: when cost is low, the reselling mode delivers maximum economic value, while higher cost makes the agency mode the preferred choice for platforms from the perspective of economic value of blockchain. This demonstrates how blockchain’s economic impact varies significantly across different sales modes and stakeholder perspectives.
7.2. Managerial Implications
Based on the findings, this study provides the following managerial implications for low-carbon manufacturers and e-commerce platforms:
First, for manufacturers, the agency mode is optimal in most scenarios, especially when the platform’s consumer surplus concern is moderate. It maximizes profits and simplifies blockchain integration. If adopting blockchain, manufacturers must evaluate its unit operational cost. Blockchain is viable only when the unit operational cost is below critical thresholds. The dual mode generates the highest economic value from blockchain, but it is preferred only when platform’s degree of consumer surplus concern is extremely high or low. Otherwise, the agency mode remains dominant.
Second, platforms must avoid excessive concern on consumer surplus, as extreme values disrupt profitability. A balanced degree of consumer surplus concern sustains win-win outcomes. Platforms with strong consumer welfare goals should incentivize blockchain adoption via cost-sharing mechanisms to align manufacturer incentives.
7.3. Limitagions and Future Research
While our study provides valuable insights into the strategic adoption of blockchain technology and sales mode selection, there are some limitations to our approach. First, we assume that the platform’s commission rate is exogenous, which may not fully capture the dynamic pricing strategies that platforms might employ in practice. Future research could endogenize this parameter to better reflect real-world scenarios. Second, our model assumes that consumer preferences and information acquisition abilities are homogeneous, which may not fully represent the heterogeneity observed in real markets. Incorporating heterogeneous consumer preferences and information acquisition abilities could provide a more nuanced understanding of the impact of blockchain adoption on supply chain decisions.
Author Contributions
Conceptualization, L.W., C.D. and Q.J.; methodology, L.W. and Q.J.; software, C.D.; validation, L.W., C.D. and Q.J.; formal analysis, C.D.; investigation, L.W.; resources, L.W.; data curation, L.W.; writing—original draft, L.W.; writing—review & editing, Q.J.; visualization, C.D.; supervision, Q.J.; project administration, Q.J.; funding acquisition, L.W. and Q.J. All authors have read and agreed to the published version of the manuscript.
Funding
This research was funded by the National Natural Science Foundation of China, grant number 72461009, and the Philosophy and Social Science Planning Project in Shanxi Province, grant number 2023YJ020.
Data Availability Statement
Data are contained within the article.
Acknowledgments
We would like to express our gratitude to all the individuals and organizations who have supported this study, and we are very grateful for the valuable advice and assistance received during this study.
Conflicts of Interest
The authors declare no conflicts of interest.
References
- Zhao, Q.; Fan, Z.; Sun, M. Sales mode selection and blockchain technology adoption decisions in a platform supply chain. Int. J. Prod. Econ. 2024, 272, 109255. [Google Scholar] [CrossRef]
- Gleim, M.R.; Smith, J.S.; Andrews, D.; Cronin, J.J. Against the green: A multi-method examination of the barriers to green consumption. J. Retail. 2013, 89, 44–61. [Google Scholar] [CrossRef]
- Huang, J.; Xu, B.; Yan, X. Selling mode choice and blockchain adoption in an e-commerce platform with information disclosure. Electron. Commer. Res. Appl. 2023, 62, 101331. [Google Scholar] [CrossRef]
- Zhang, Q.; Li, Y.; Hou, P.; Wang, J. Price signal or blockchain technology? Quality information disclosure in dual-channel supply chains. Eur. J. Oper. Res. 2024, 316, 126–137. [Google Scholar] [CrossRef]
- Xu, X.; Guo, S.; Cheng, T.; Du, P. The choice between the agency and reselling modes considering green technology with the cap-and-trade scheme. Int. J. Prod. Econ. 2023, 260, 108839. [Google Scholar] [CrossRef]
- Ma, P. Optimal generic and brand advertising efforts in a decentralized supply chain considering customer surplus. J. Retail. Consum. Serv. 2021, 60, 102502. [Google Scholar] [CrossRef]
- Li, B.; Zhu, M.; Jiang, Y.; Li, Z. Pricing policies of a competitive dual-channel green supply chain. J. Clean Prod. 2016, 112, 2029–2042. [Google Scholar] [CrossRef]
- Xia, Y.; Shang, R.; Wei, M.; Wei, Z. Optimal pricing and financing decision of dual-channel green supply chain considering product differentiation and blockchain. Ann. Oper. Res. 2024, 338, 1317–1358. [Google Scholar] [CrossRef]
- Barman, A.; Das, R.; De kanti, P.; Sana, S. Pricing policies for a competitive dual-channel supply chain with green investment and sales effort under revenue-sharing contract. RAIRO Oper. Res. 2024, 58, 3985–4012. [Google Scholar] [CrossRef]
- Tian, L.; Vakharia, A.J.; Tan, Y.; Xu, Y. Marketplace, reseller, or hybrid: Strategic analysis of an emerging e-commerce mode. Prod. Oper. Manag. 2018, 27, 1595–1610. [Google Scholar] [CrossRef]
- Ha, A.; Tong, S.; Wang, Y. Channel structures of online retail platforms. Manuf. Serv. Oper. Manag. 2022, 24, 1547–1561. [Google Scholar] [CrossRef]
- Yu, L.; Xu, H.; Zhang, Z. Dynamic decision-making of the e-commerce supply chain considering greenwashing and sales mode. Socio-Econ. Plan. Sci. 2025, 98, 102170. [Google Scholar] [CrossRef]
- Guo, X.; Cheng, L.; Liu, J. Green supply chain contracts with eco-labels issued by the sales platform: Profitability and environmental implications. Int. J. Prod. Res. 2020, 58, 1485–1504. [Google Scholar] [CrossRef]
- Zhang, X.; Zhang, X.; Huang, J. Socially responsible e-commerce supply chains: Sales mode preference and store brand introduction. Transport. Res. E-Log. 2025, 193, 103829. [Google Scholar] [CrossRef]
- Panda, S. Coordination of a socially responsible supply chain using revenue sharing contract. Transport. Res. E-Log. 2014, 67, 92–104. [Google Scholar] [CrossRef]
- Wang, N.; Li, Z. Supplier Encroachment with a Dual-Purpose Retailer. Prod. Oper. Manag. 2021, 30, 2672–2688. [Google Scholar] [CrossRef]
- Ye, Y.; Guo, Q.; Nie, J. Retailer information strategies with a dual-purpose manufacturer. Transport. Res. E-Log. 2023, 180, 103355. [Google Scholar] [CrossRef]
- Huang, S.; Xu, J.; Gao, Y.; Chen, Y. Manufacturer selling channel structure choice under retailer demand-enhancement investment with dual-purpose firms. Expert Syst. Appl. 2024, 242, 122726. [Google Scholar] [CrossRef]
- Meng, M.; Deng, S.; Zhou, P.; Xu, H. The role of dual purpose in retailer’s store brand introduction and quality strategies within a supply chain. Transport. Res. E-Log. 2025, 194, 103912. [Google Scholar] [CrossRef]
- Huang, S.; Gao, Y.; Wang, Y. Supply chain channel structure with online platform and dual-purpose firms. Transport. Res. E-Log. 2023, 180, 103363. [Google Scholar] [CrossRef]
- Huang, S.; Chen, Y. Manufacturer encroachment with competing dual-purpose online retail platforms. J. Retail. Consum. Serv. 2023, 73, 103370. [Google Scholar] [CrossRef]
- Huang, S.; Xu, J.; Wang, Y. Quality disclosure in a dual-channel supply chain with an online dual-purpose platform. Transport. Res. E-Log. 2025, 193, 103834. [Google Scholar] [CrossRef]
- Choi, T. Blockchain-technology-supported platforms for diamond authentication and certification in luxury supply chains. Transport. Res. E-Log. 2019, 128, 17–29. [Google Scholar] [CrossRef]
- Liu, S.; Hua, G.; Kang, Y.; Cheng, T.; Xu, Y. What value does blockchain bring to the imported fresh food supply chain? Transport. Res. E-Log. 2022, 165, 102859. [Google Scholar] [CrossRef]
- Xin, X.; Liu, M.; Wang, X.; Chen, H.; Chen, K. Investment strategy for blockchain technology in a shipping supply chain. Ocean Coast. Manag. 2022, 226, 106263. [Google Scholar] [CrossRef]
- Niu, B.; Dong, J.; Liu, Y. Incentive alignment for blockchain adoption in medicine supply chains. Transport. Res. E-Log. 2021, 152, 102276. [Google Scholar] [CrossRef]
- Xu, J.; Duan, Y. Pricing and greenness investment for green products with government subsidies: When to adopt blockchain technology? Electron. Commer. Res. Appl. 2022, 51, 101108. [Google Scholar] [CrossRef]
- Liu, S.; Hua, G.; Ma, B.; Cheng, T. Competition between green and non-green products in the blockchain era. Int. J. Prod. Econ. 2023, 264, 108970. [Google Scholar] [CrossRef]
- Cai, J.; Cao, Z.; Shang, J. Blockchain adoption in a green supply chain: Considering information asymmetry of consumers’ privacy concern. Int. J. Prod. Econ. 2025, 279, 109459. [Google Scholar] [CrossRef]
- Zhao, N.; Sun, J.; Wang, Q. Decarbonization investment in a supply chain with a retail platform based on blockchain technology. Ann. Oper. Res. 2023, 69, 1–30. [Google Scholar] [CrossRef]
- Hsieh, C.; Lathifah, A. Exploring the spillover effect and supply chain coordination in dual-channel green supply chains with blockchain-based sales platform. Comput. Ind. Eng. 2024, 187, 109801. [Google Scholar] [CrossRef]
- Fan, X.; Zhang, J.; Yao, Y.; Wei, L. Social responsibility disclosure format in a supply chain. Omega-Int. J. Manag. Sci. 2024, 126, 103043. [Google Scholar] [CrossRef]
- Liu, B.; Cai, G.; Tsay, A. Advertising in asymmetric competing supply chains. Prod. Oper. Manag. 2014, 23, 1845–1858. [Google Scholar] [CrossRef]
- Deng, Z.; Zheng, B.; Jin, L. Dual-channel supply chain coordination with online reviews. Electron. Commer. Res. Appl. 2023, 60, 101281. [Google Scholar] [CrossRef]
Disclaimer/Publisher’s Note: The statements, opinions and data contained in all publications are solely those of the individual author(s) and contributor(s) and not of MDPI and/or the editor(s). MDPI and/or the editor(s) disclaim responsibility for any injury to people or property resulting from any ideas, methods, instructions or products referred to in the content. |
© 2025 by the authors. Licensee MDPI, Basel, Switzerland. This article is an open access article distributed under the terms and conditions of the Creative Commons Attribution (CC BY) license (https://creativecommons.org/licenses/by/4.0/).














