Abstract
While many organizations are increasingly willing to adopt artificial intelligence (AI) to support strategic objectives such as sustainable development, the ESG benefits of such adoption are not consistently realized across firms. This study investigates the boundary conditions under which AI adoption contributes to ESG performance. This study aims to investigate when AI adoption contributes to enhanced ESG outcomes by examining key organizational boundary conditions. Specifically, it addresses (1) the association between AI adoption and ESG performance, (2) the moderating roles of learning capability, digital top management team (digital TMT), and operational slack. Using a unique dataset constructed by integrating AI adoption announcements extracted through natural language processing from Factiva and ESG scores obtained from Bloomberg, this study analyzes 8469 firm-year observations from 941 publicly listed manufacturing firms in North America between 2015 and 2022. The results reveal that AI adoption is positively associated with ESG performance. Moreover, this positive effect is amplified by digital TMTs and strong learning capabilities, but weakened by operational slack. These findings enrich the literature on AI-enabled sustainability by highlighting the contingent nature of ESG outcomes and offers managerial insights for firms seeking to align AI strategies with ESG objectives.
1. Introduction
In recent years, sustainability has become a critical agenda for firms worldwide, driven by growing regulatory pressure, stakeholder expectations, and global environmental challenges. To meet sustainability goals and improve their environmental, social, and governance (ESG) performance, firms have adopted a wide range of strategies, such as lean operations [1], investing in digitization technology [2], enhancing supply chain transparency [3], and disclosing ESG information [4]. Among the most promising possibilities is artificial intelligence (AI), in which machines can “learn from experience, adjust to new inputs, and perform human-like tasks”. For example, firms such as Microsoft and Unilever have leveraged AI for green innovation [5], sustainable product development [6], and de-carbonization planning [7]. Academic research has also begun to explore the intersection of AI and sustainability. For instance, recent studies have examined how AI technologies can contribute to carbon reduction [8], green innovation [9], and waste management [10]. While some firms have successfully used AI to enhance their sustainability performance, others have faced criticism for AI-driven practices that increase environmental pressure—such as energy-intensive data centers or opaque algorithmic decision-making [11,12]. These mixed outcomes highlight that AI adoption alone is insufficient—its ESG impact likely depends on how it is implemented. Therefore, examining the boundary conditions under which AI contributes to ESG performance becomes a critical and timely research endeavor. While AI holds great potential to improve ESG outcomes, its actual effects vary across firms and contexts. In some cases, AI facilitates sustainability—through predictive analytics, energy optimization, or ethical sourcing—but in others, it may intensify environmental risks (e.g., via energy-intensive data use) or reduce transparency. These inconsistencies suggest that AI’s impact on ESG performance is not uniform, but contingent upon how it is deployed and governed within the firm. Understanding the organizational and contextual factors that moderate this relationship is thus critical and timely.
From the perspective of the dynamic capabilities view (DCV), the effectiveness of AI in enhancing ESG performance depends not only on the technology itself, but also on the firm’s ability to sense opportunities, seize them through resource mobilization, and reconfigure its capabilities accordingly [13,14]. These adaptive processes are shaped by key internal conditions. Given the core dimensions of dynamic capabilities—sensing, seizing, and reconfiguring—we focus on three internal enablers aligned with the micro-foundations of dynamic capabilities: cognitive capacity [15], strategic execution ability [16], and resource adaptability [15]. First, cognitive capacity refers to a firm’s ability to acquire, interpret, and apply knowledge in dynamic environments. Firms with strong learning capability can better align AI deployment with ESG goals, as they are more adept at interpreting ESG-relevant data and embedding sustainability into AI-driven routines. Thus, learning capability is selected to represent the “sensing” foundation of dynamic capabilities. Second, strategic execution ability reflects the top management team’s role in interpreting external signals and mobilizing resources. Given that AI adoption involves cross-functional integration and long-term vision, the presence of a digitally savvy top management team (TMT) is crucial for seizing ESG-related opportunities through AI. Hence, digital TMT is chosen to reflect the ‘seizing’ dimension. Third, resource adaptability denotes a firm’s capacity to reconfigure and redeploy resources in response to new challenges. Operational slack provides firms with the buffer resources necessary for experimentation and transformation. However, excess slack may reduce implementation discipline. Therefore, we include operational slack to capture the ‘reconfiguring’ aspect of DCV and examine its nuanced role. Together, these three moderators were carefully selected because they represent essential organizational capabilities that determine how AI can be transformed from a technical tool into a strategic enabler of ESG performance.
Prior research on ESG performance has primarily focused on its consequences, such as its impact on financial [17], operational [18], or market performance [19], while relatively few studies have examined the antecedents of ESG performance. However, with the growing importance of ESG in corporate strategy, scholarly attention has gradually shifted toward understanding the drivers of ESG improvement [20]—a discussion further elaborated in Section 2. This study contributes to this emerging stream by investigating how AI adoption serves as a potential driver of ESG performance. Further, existing empirical research on AI adoption tends to rely on case studies [21], survey data [22], or the frequency of AI-related terms in corporate annual reports [23]. These approaches, while informative, often suffer from limitations such as subjectivity, selection bias, or inconsistency in disclosure formats. Therefore, we develop a rigorous natural language processing (NLP) pipeline that follows a semi-supervised machine learning framework: (1) announcements are preprocessed and cleaned, (2) AI-related expressions are extracted using rule-based information extraction (IE) models, (3) a classification model based on BERT (Bidirectional Encoder Representations from Transformers) is trained to identify valid AI adoption announcements, (4) the final set of AI adoption events is verified and compiled. This methodological innovation allows for more accurate, reliable, and scalable identification of AI adoption behavior, providing a solid foundation for subsequent empirical analysis. Compared to survey-based studies, our approach reduces response bias, limited coverage, and time lags. It also avoids the noise and superficiality of word-frequency methods in annual reports by focusing on real-time, context-specific corporate announcements. Unlike purely manual or keyword-based methods, this semi-supervised pipeline balances accuracy with scalability through the integration of BERT-based machine learning and human validation.
This study investigates whether and under what conditions AI adoption improves firms’ ESG performance. Drawing on the dynamic capabilities view (DCV), we argue that the ESG impact of AI adoption depends on firms’ internal characteristics, including learning capability, digital TMT, and operational slack. To test our hypotheses, we construct a novel firm-level measure of AI adoption using NLP applied to corporate announcements from Factiva. We merge this with ESG scores from Bloomberg and financial data from Compustat to form a panel dataset of 8469 firm-year observations from 941 North American manufacturing firms between 2015 and 2022. This study contributes to the literature by (1) providing large-scale empirical evidence on the ESG performance of AI adoption, (2) offering actionable insights for firms on how organizational conditions shape the sustainability outcomes of AI adoption with a more accurate measurement of it.
2. Literature Review and Hypothesis Development
2.1. Literature Review
2.1.1. Literature on DCV
The DCV explains how firms adapt to changing environments by sensing opportunities, seizing them through resource mobilization, and reconfiguring internal capabilities [13,15]. These capabilities are essential for navigating technological application and meeting sustainability demands. This study adopts DCV for two reasons. First, AI adoption involves more than technological deployment—it requires strategic transformation, aligning with the dynamic nature of DCV. More specifically, AI adoption, as a strategic and complex organizational change, entails sensing ESG-aligned opportunities, seizing them via investment and integration, and transforming existing routines to generate ESG improvements. Second, ESG performance depends on a firm’s capacity to reconfigure resources to meet societal demands. It reflects a firm’s ability to realign strategies and operations in response to environmental and social expectations. Prior research has applied DCV to related domains such as digital transformation [14], green innovation [24], and AI-enabled operations [25], highlighting its relevance to this study.
2.1.2. Literature on ESG Performance
Investors have increasingly recognized the importance of ESG-oriented corporate behavior, as compliance with ESG principles is associated with long-term sustainability, resource optimization, and improved financial outcomes [26]. Accordingly, a large body of literature has focused on the consequences of ESG performance, particularly its impact on financial performance [17], market value [19], profitability [27], and economic performance [28]. More recently, academic attention has gradually shifted to exploring the antecedents of ESG performance—that is, how firms can improve their ESG outcomes. Prior studies have identified various factors such as government regulations [29], board characteristics [30], green investment [31], and digital transformation [32] as potential drivers of ESG improvement. However, this stream of research remains underdeveloped. Empirical studies on the drivers of ESG performance are still limited in scope, and often rely on region-specific samples, particularly from China and other parts of Asia. To address this gap, this study investigates AI adoption as a firm-level driver of ESG performance, using a broader sample of North American manufacturing firms.
2.1.3. Literature on AI Adoption
The literature on AI adoption highlights its transformative potential for organizations, but also reveals significant challenges in measuring it accurately at the firm level. Most existing studies rely on either survey-based data or the frequency of AI-related terms in annual reports. While surveys provide perceptual insights, they are often constrained by subjectivity, small sample sizes, and response bias [33]. Similarly, approaches based on annual report disclosures may suffer from self-presentation bias, lack of timeliness, and inconsistencies in language and structure, especially across firms with varying levels of transparency and disclosure practices [34]. These issues highlight the urgent need for more objective and scalable approaches to measure AI adoption, particularly in large-sample empirical studies. To address these limitations, this study introduces a novel measurement approach that leverages natural language processing (NLP) techniques to extract AI adoption signals from corporate announcements published on Factiva [35]. Compared to annual reports, corporate announcements tend to be more timely, focused, and externally oriented, thus mitigating the risks of internal disclosure manipulation and presentation bias [36]. Given the large volume of unstructured text data, manual coding is infeasible.
In terms of outcomes, the literature offers mixed evidence on how AI adoption affects ESG performance. Some studies argue that AI enables firms to enhance ESG outcomes by improving energy efficiency, and facilitating transparency in operations [2,5]. Others, however, caution that AI technologies may lead to increased carbon emissions due to energy-intensive computing [37,38]. These contrasting findings highlight that the ESG impact of AI is not straightforward and may depend on how AI is integrated into organizational processes and governed. However, current research rarely explores the boundary conditions that shape these outcomes, such as the role of leadership, organizational slack, or environmental uncertainty. This study addresses this gap by investigating when and under what conditions AI adoption contributes positively to ESG performance.
2.1.4. Literature on Learning Capability, Digital TMT, and Operational Slack
This section reviews the literature on the three moderator variables used in this study: learning capability, digital TMT, and operational slack.
Learning capability refers to an organization’s ability to acquire, assimilate, transform, and apply knowledge for innovation and performance improvement [39]. As a micro-foundation of dynamic capabilities, it enables firms to sense and interpret external signals and adapt their strategies accordingly [13]. Prior studies have shown that learning capability enhances a firm’s responsiveness to emerging technologies [40], supports organizational change [41], and is positively associated with innovation performance [42]. In the context of AI adoption, learning capability facilitates the integration of complex digital tools into business processes and enables the alignment of AI functionalities with ESG objectives [43].
Based on the definition of technical orientation TMT [44], we define a digital TMT as a senior leadership team possessing substantial digital knowledge, experience, and vision. The presence of a digital TMT is essential for successful digital transformation and technology-led strategic renewal [44]. Studies have demonstrated that digital-savvy executives improve firms’ ability to align technological initiatives with broader business goals, especially in the context of sustainability [45]. A digital TMT also plays a key role in shaping firms’ digital culture, overcoming resistance to change, and ensuring coordinated implementation across departments [46]. As a moderator, a digital TMT can enhance the positive influence of AI on ESG by providing strategic direction, resource commitment, and governance mechanisms.
Operational slack refers to the availability of excess resources that provide firms with the flexibility to absorb shocks, experiment, and adapt to change [47]. Slack resources can support strategic renewal by enabling the exploration of new technologies and buffering risks associated with innovation [48]. In the context of AI adoption, operational slack allows firms to engage in AI-driven experimentation for sustainability purposes without compromising core operations [49]. However, the effect of slack can be nonlinear: while moderate slack supports innovation, excessive slack may lead to complacency and inefficiency [50]. This ambivalence makes operational slack a critical contextual factor that conditions the effectiveness of AI in delivering ESG outcomes.
2.2. Hypothesis Development
From the dynamic capabilities perspective, firms can enhance sustainability performance by sensing opportunities, seizing them strategically, and reconfiguring internal operations to align with environmental and societal expectations [13,14]. Each of these three dimensions—sensing, seizing, and reconfiguring—provides a lens to understand how AI adoption contributes to ESG outcomes. AI adoption constitutes a dynamic strategic tool that enables these processes and, consequently, can help firms improve their ESG performance. First, sensing refers to a firm’s ability to detect ESG-relevant changes and opportunities in its external environment. More specifically, AI enables firms to sense and monitor ESG-related risks in real time. By leveraging big data analytics, machine learning, and predictive algorithms, firms can detect emerging environmental, social, and governance issues—such as emissions spikes, labor violations, or governance breaches—before they escalate [51,52,53]. This proactive sensing capability allows firms to respond earlier, thereby avoiding ESG controversies and improving stakeholder trust [25]. Second, seizing refers to mobilizing resources to capture opportunities once they are identified. AI supports strategic execution by enabling automation, optimization, and data-driven decision-making to improve ESG-related performance. For example, AI can reduce environmental footprints by optimizing energy usage, logistics, or production processes [54], and can improve social and governance transparency through automated reporting and audit trails [55]. These applications align AI adoption with tangible ESG outcomes. Third, reconfiguring involves transforming and aligning existing routines and resources to meet evolving ESG expectations. AI adoption facilitates organizational reconfiguration by enabling digital transformation across supply chains and operations. Through the integration of AI tools, firms can reconfigure their processes to align better with ESG priorities—such as carbon tracking, circular economy models, or inclusive HR practices [8,56,57]. This technological reconfiguration is central to building long-term sustainability capability [58]. Thus, we put forward the following:
H1.
AI adoption is positively associated with firms’ ESG performance.
Learning capability refers to an organization’s capacity to acquire, assimilate, and apply external knowledge [39], and is a key cognitive foundation of dynamic capabilities, particularly the sensing dimension of DCV [13]. First, firms with high learning capability are better at identifying non-obvious, long-term applications of AI aligned with sustainability goals [59]. For example, rather than using AI solely for customer targeting or cost reduction, a learning-oriented firm may perceive its use in carbon footprint prediction, ethical risk mapping, or workforce diversity diagnostics. Second, learning capability also enhances a firm’s ability to translate abstract ESG ambitions into concrete, technology-driven solutions. This stems from the firm’s knowledge integration and problem-solving capacity [60], which enables cross-functional collaboration to adapt AI systems to internal ESG needs. For example, a firm with strong learning routines might adapt AI-based sensors for real-time pollution monitoring or train NLP systems to detect labor rights issues in supplier documents. Third, learning capability supports ongoing adaptation of AI applications in response to evolving ESG requirements. Firms that continually learn can incorporate external feedback, regulatory changes, and stakeholder input to refine AI systems [58]. For example, when ESG standards shift from basic compliance to more impact-driven metrics, such firms can retrain their AI models or reconfigure data pipelines to meet updated disclosure demands. When learning capability is strong, firms are more capable of identifying ESG-aligned AI opportunities, translating strategic ESG goals into technological applications, and continuously adapting AI systems to external changes. In contrast, firms with lower learning capability may lack the absorptive and integrative capacity to align AI tools with evolving ESG demands, resulting in less effective implementation and limited performance outcomes. Therefore, learning capability shapes how well firms can operationalize AI for sustainability purposes, particularly under conditions requiring agility and cross-functional knowledge integration. Thus, we put forward the following:
H2.
Learning capability positively moderates the relationship between AI adoption and ESG performance.
Digital TMT refers to a top management team that possesses the digital knowledge, experience, and strategic vision necessary to lead technology-driven transformations [61]. Within the dynamic capabilities framework, a digital TMT plays a central role in the seizing phase—mobilizing resources and making strategic decisions to capture opportunities [13]. First, their digital orientation enhances the strategic alignment and execution of AI initiatives toward sustainability goals. Firms led by digitally competent TMTs are more likely to understand how emerging technologies can be used not just for efficiency but also for stakeholder accountability and transparency [62]. For example, a digital TMT may actively support using AI-driven platforms to enhance ESG disclosures or integrate sustainability KPIs into AI performance dashboards. Second, digital TMTs are better equipped to overcome organizational resistance and coordinate cross-departmental implementation of ESG-oriented AI solutions [63]. For instance, a digital TMT might champion the deployment of AI in sourcing platforms to ensure ethical labor practices or in HR systems to improve diversity hiring transparency. When digital TMT presence is strong, AI adoption is more likely to be guided by strategic ESG priorities, with leadership fostering integration across departments and ensuring proper resource mobilization. Conversely, in firms with less digitally capable TMTs, AI initiatives may suffer from misalignment with sustainability goals, fragmented implementation, and weak oversight, thereby limiting their potential ESG impact. This suggests that digital TMTs shape how AI is interpreted, prioritized, and operationalized within the organization, ultimately influencing its contribution to ESG performance. Thus, we put forward the following:
H3.
The presence of a digital TMT positively moderates the relationship between AI adoption and ESG performance.
Operational slack refers to the availability of excess resources—such as unutilized capacity, time, or funding—that are not immediately required for ongoing operations [48]. In the dynamic capabilities framework, operational slack is particularly relevant to the reconfiguring dimension, as it facilitates internal transformation, experimentation, and resource redeployment [13]. It provides firms with the flexibility to engage in innovation without compromising short-term performance [64]. First, firms with abundant slack are better positioned to explore uncertain or non-immediately profitable AI projects, which are often essential for long-term sustainability outcomes [49,65]. For example, a firm with sufficient slack may pilot an AI-driven environmental monitoring system or experiment with natural language models for sustainability risk analysis, even in the absence of guaranteed short-term returns. Second, operational slack enables firms to absorb disruptions and flexibly reallocate resources during ESG-oriented digital transformation. This buffering capacity is especially critical when reconfiguring workflows and routines to integrate AI technologies into sustainability efforts [50]. For instance, when facing delays or cost overruns in the deployment of AI tools for ESG compliance, firms with operational slack can sustain continuity and make adjustments without derailing the broader transformation. In firms with higher levels of operational slack, AI adoption is more likely to result in meaningful ESG improvements, as the available slack enables experimentation, resilience under uncertainty, and long-term ESG-oriented learning. In contrast, in resource-constrained firms, limited slack may restrict the depth and continuity of ESG-aligned AI initiatives, thereby weakening their overall effectiveness. This highlights that operational slack conditions how flexibly and effectively AI can be deployed to address sustainability goals. Thus, we put forward the following:
H4.
Operational slack positively moderates the relationship between AI adoption and ESG performance.
Figure 1.
Conceptual framework.
Figure 2.
Framework diagram.
3. Data Collection and Variable Operationalization
3.1. Data Collection
This study focuses on publicly listed manufacturing firms in North America from 2015 to 2023. Specifically, we selected 2015 as the base year because AI efforts became sufficiently observable and analyzable following the 2013 introduction of the “Industry 4.0” concept. The dataset ends in 2023 because ESG scores for 2024 had not yet been released by major commercial databases (e.g., Bloomberg, MSCI) during the data compilation period. Accordingly, the study is based on the most recently available and complete panel data. Moreover, we focused on North American publicly listed firms due to the region’s relatively advanced digital practices and higher transparency of corporate disclosures, which supports data accuracy and representativeness [66]. First, we collected 79,846 corporate announcements from the Factiva database and used rule-based fuzzy matching and natural language processing (NLP) techniques to identify announcements related to digital and AI adoption (searching key words please see Appendix A). Then, we filtered these announcements to retain only those associated with North American publicly listed manufacturing firms, and aggregated them at the firm-year level to construct a continuous measure of AI adoption intensity. To ensure construct validity, we developed a semi-supervised classification pipeline combining BERT-based deep learning and manual review. First, an initial rule-based information extraction model was used to identify AI-related expressions. Then, a BERT model (Bidirectional Encoder Representations from Transformers) was fine-tuned on a manually labeled training set of 2000 announcements. The model architecture included the final four hidden layers of BERT pooled and fed into a two-layer multi-layer perceptron (MLP) with a ReLU activation. We used binary cross-entropy as the loss function and trained for 5 epochs with early stopping. Evaluation on a separate validation set (20% of the labeled data) yielded an F1-score of 0.91, precision of 0.92, and recall of 0.90. To further validate the final classification results, we randomly sampled 200 announcements and conducted human review, confirming an accuracy rate of 91.67%. This hybrid approach ensures that the AI adoption measure is both scalable and context-sensitive, minimizing false positives driven by generic digital terminology. Next, we obtained firm-level ESG performance data from Bloomberg, which required ISIN codes. To facilitate data merging, we matched firms’ gvkey identifiers from Compustat with their corresponding ISIN codes, enabling the integration of ESG scores into our panel dataset. After that, we used Compustat Fundamentals Annual data to extract information for calculating the moderating variables—operational slack and learning capability—as well as a set of control variables, including firm size, age, leverage, market-to-book ratio, capital expenditures, and cash holdings. Through this multi-step data integration process, we constructed a comprehensive panel dataset consisting of 941 North American manufacturing firms and a total of 8469 firm-year observations from 2015 to 2023.
3.2. Variable Concepts and Measurement
AI Adoption: Through the process presented in Section 3.1, we obtained announcements on AI adoption.
ESG Performance: ESG Performance refers to a firm’s effectiveness in managing and disclosing environmental (E), social (S), and governance (G) factors that are critical to sustainable development and stakeholder trust. It reflects the extent to which a firm integrates sustainability into its operations, governance, and strategic goals [17]. Based on prior literature [67,68], ESG performance has been widely used as an indicator of sustainability and measured using Bloomberg’s ESG combined score, a widely used composite index ranging from 0 to 10, with higher values indicating stronger ESG performance. This score is constructed by Bloomberg based on a range of publicly disclosed data points and is commonly used to evaluate corporate sustainability efforts, particularly among listed firms in North America.
Operational slack: Operational slack refers to the extent of excess operational resources that provide firms with flexibility in responding to strategic initiatives, such as digital transformation or sustainability programs [69]. It reflects the temporal buffer within a firm’s working capital cycle, allowing room for experimentation and adaptation without immediate resource constraints. Consistent with prior study, operational slack is measured using a working capital-based indicator derived from the firm’s cash conversion cycle. Specifically, it is calculated as the sum of days inventory outstanding (DIO) and days sales outstanding (DSO) minus days payable outstanding (DPO):
Operational Slack = DIO + DSO − DPO
Learning capability: Learning capability refers to a firm’s ability to recognize the value of new external information, acquire and assimilate such knowledge, and apply it for commercial purposes. It represents a fundamental cognitive foundation of dynamic capabilities, allowing firms to draw from prior experience and external signals to make informed decisions in complex environments. Following established literature, we measure learning capability using R&D intensity, calculated as the ratio of R&D expenditures to total assets [70,71,72]. This measure captures the extent to which firms invest in knowledge creation and innovation capacity, which directly supports their ability to sense and respond to technological opportunities such as AI adoption.
Digital TMT: Digital TMT captures the presence of top executives with formal responsibility or expertise in digital transformation. In line with prior research on C-suite functional roles [73], we operationalize digital TMT as a binary variable indicating whether a firm has appointed a chief information officer (CIO) [74] or chief digital officer (CDO) [75] in a given year. Data on C-suite appointments are obtained from BoardEx Körber and Cotta [76,77], a widely used database of executive and board member profiles across publicly listed firms. The variable equals 1 if a CIO or CDO is present in the TMT in year t, and 0 otherwise. Table 1 shows the detailed information of variable measurement in this study.
Table 1.
Variable measurement.
Control variables: We include several firm-level control variables that may influence ESG performance. Firm size (log of total assets) is controlled for because larger firms often have more resources to invest in ESG initiatives and face greater public scrutiny [84]. Firm age (log of years since founding) is included to account for organizational maturity and experience [19]. Leverage (debt-to-assets ratio) captures financial constraints that may limit ESG investment [85]. Market-to-book ratio reflects firms’ growth opportunities and investor expectations, which can influence ESG disclosure strategies [86]. Finally, capital expenditure is controlled for as it indicates a firm’s investment intensity, which may relate to sustainability efforts [84].
3.3. Model Construction
To examine the impact of AI adoption on ESG performance and test the moderating effects of organizational factors, we estimate the following panel regression model:
where ESG Performancei,t denotes the ESG score of firm I in year t, and AI Adoptioni,t is a continuous variable capturing the extent of AI adoption of firm I in year t. Mi,t represents a moderating variable, including operational slack, learning capability, and digital TMT; and the interaction term captures its moderating effect. We control for a set of firm-level covariates including firm size, age, market-to-book ratio, leverage, and cash holdings. Industry and year fixed effects are included to account for unobserved heterogeneity. Standard errors are clustered at the firm level. The descriptions of our 8469 samples are shown in Table 2.
Table 2.
Pairwise correlations.
4. Results
4.1. Baseline Analysis
We constructed estimating models using Equation in Section 3.3 and illustrated the results of the fixed-effect (FE) model in Table 3, and we clustered all the standard errors at the firm level.
Table 3.
The impact of AI adoption on ESG performance under operational slack, learning capability, and digital TMTs.
Model 1 establishes the baseline effect of AI adoption on ESG performance. The coefficient on AI adoption is positive and statistically significant (p < 0.01), suggesting that greater AI adoption is associated with improved ESG outcomes, supporting H1. Model 2 incorporates the moderating effect of operational slack which is positive and significant (p < 0.01), indicating that firms with greater operational slack benefit more from AI in enhancing ESG performance, supporting H2. Model 3 shows that the moderating role of learning capability is positive and significant (p < 0.01), supporting H3. Model 4 examines the moderating role of a digital TMT, which is also positive and highly significant (p < 0.01), supporting H4.
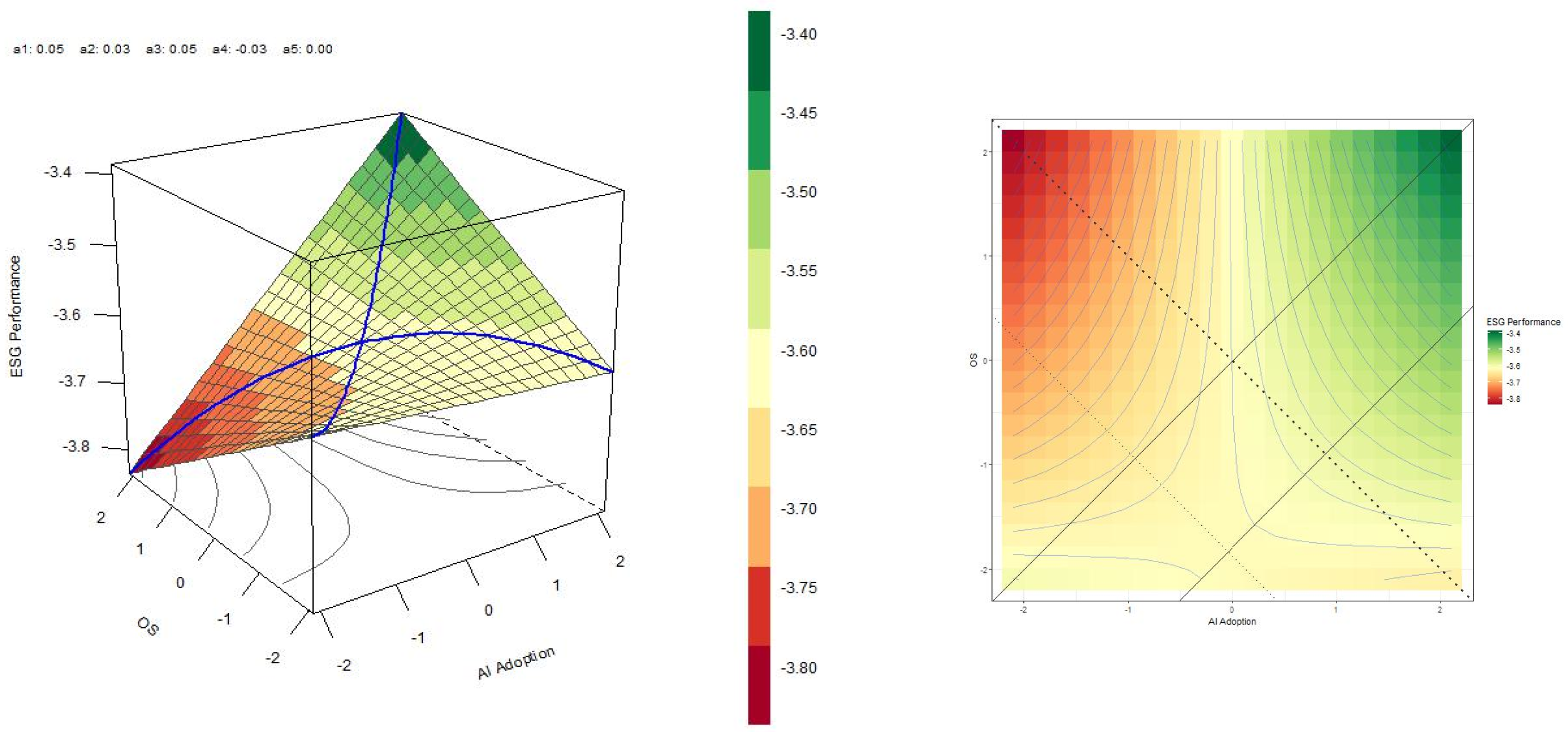
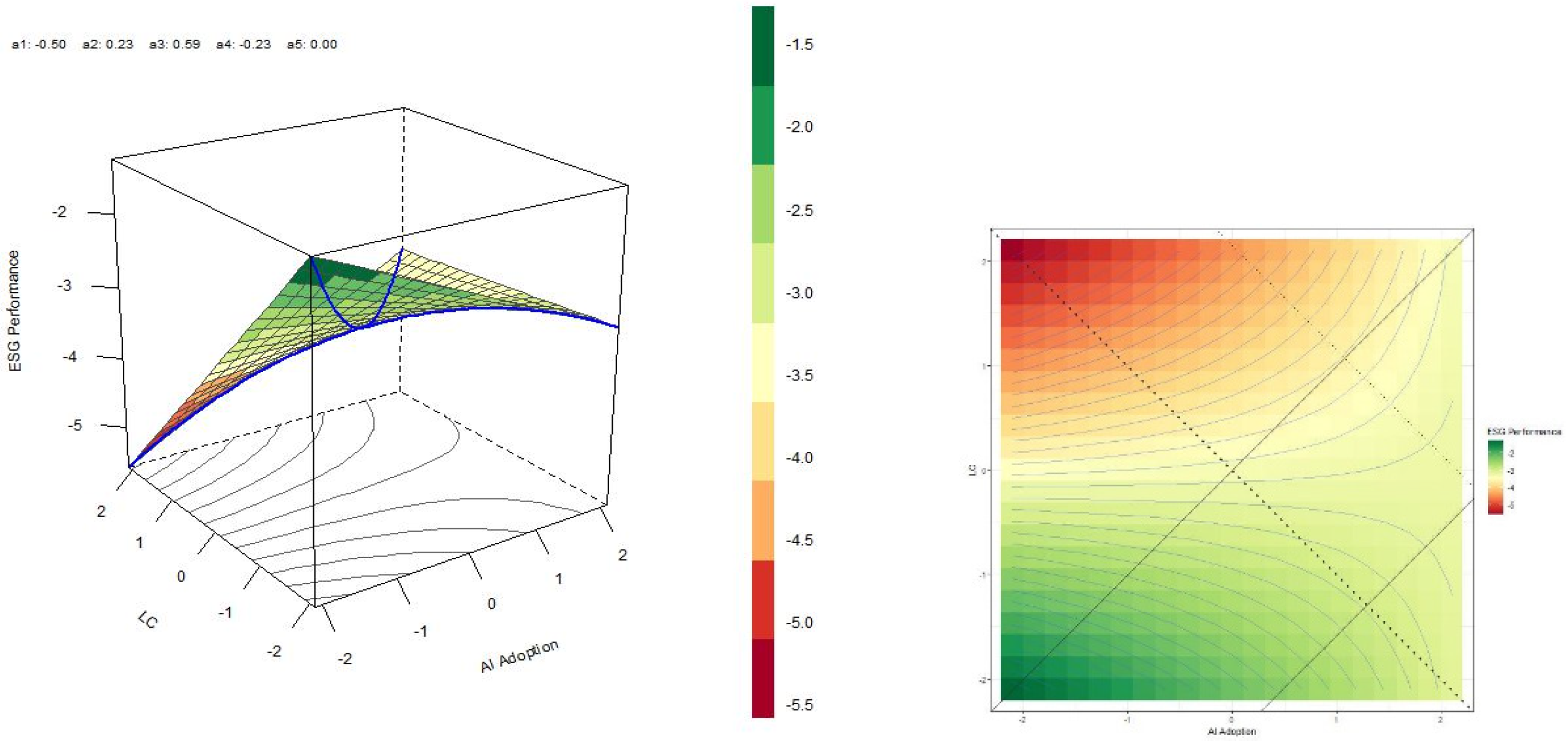
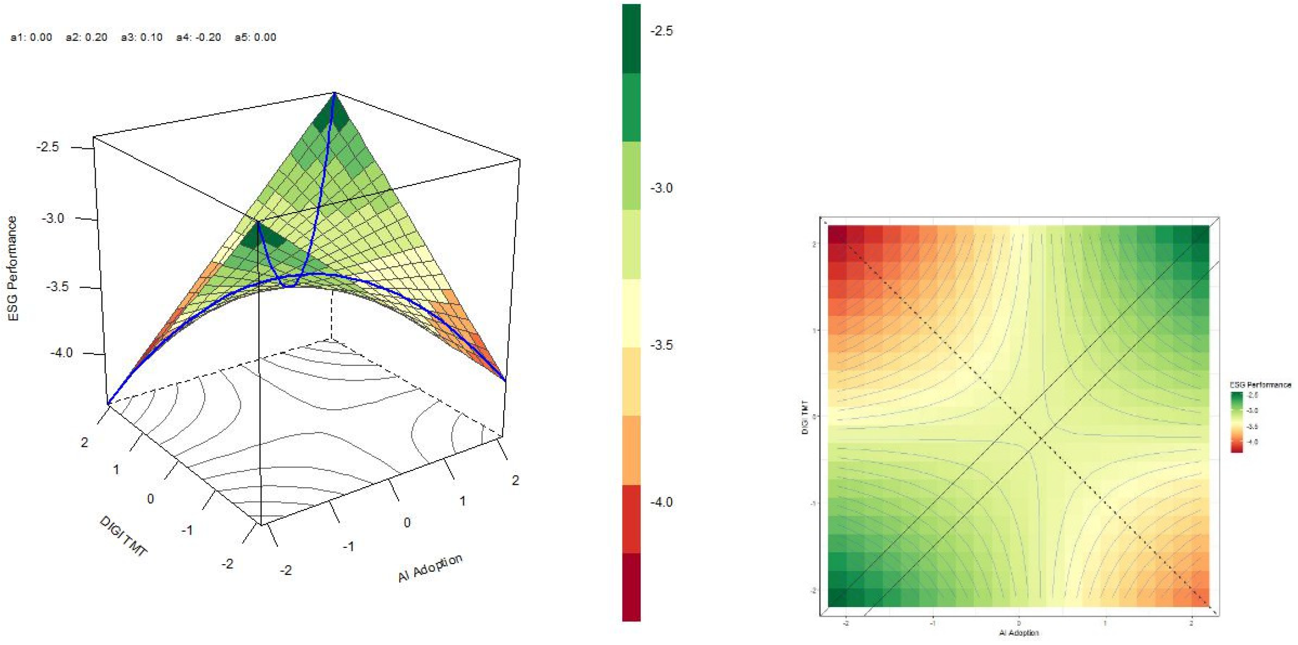
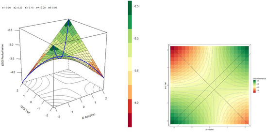
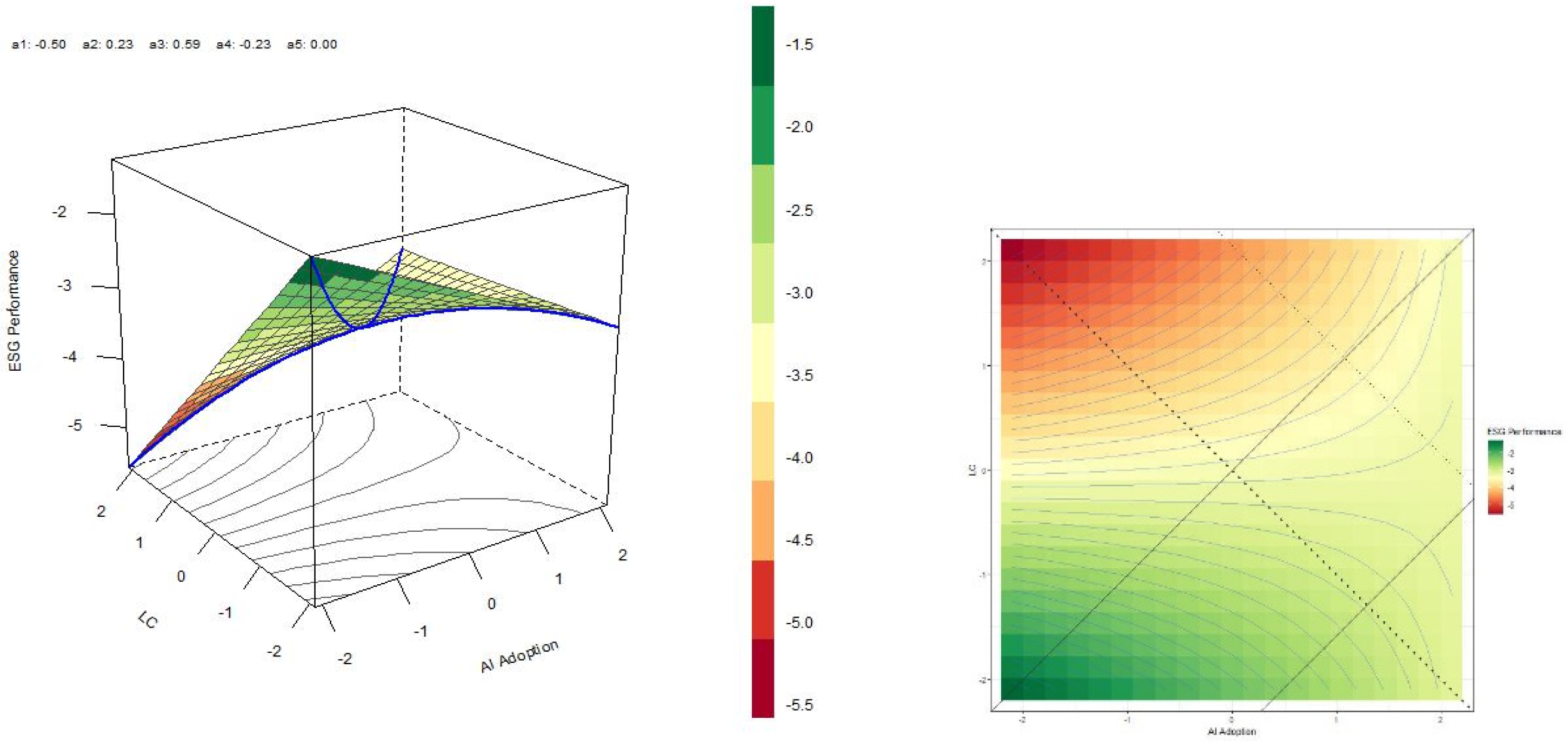
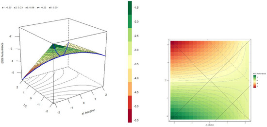
In addition, in order to more profoundly understand the interaction impact of operational slack (OS), learning capability (LC), digital TMT (DIGI TMT) and AI adoption (AI) on ESG performance, this study has drawn the surface diagram and contour diagrams, as shown in Figure 3, Figure 4 and Figure 5. The surface plots show that higher levels of ESG performance are associated with higher levels of AI and OS, LC, and DIGI TMT. The contour plots also validate these moderating effects: moving from the bottom left corner (where the levels of OS, LC, and DIGI TMT and AI are low) to the top right corner (where the levels of OS, LC, and DIGI TMT and AI are high), there is an observable increase in ESG performance (where the color changes from red to orange or green). To provide a more in-depth interpretation, the slope and curvature of the surface plots reveal nonlinear interaction patterns. Specifically, when operational slack or learning capability is at a low level, the marginal effect of AI adoption on ESG performance is relatively flat, indicating limited impact. However, as these moderators increase, the slope becomes steeper, suggesting that AI adoption exerts a stronger positive influence on ESG. This reflects a synergistic effect—AI can better drive sustainability outcomes only when supported by internal capabilities. The evidence supports Hypotheses 2–4.
Figure 3.
The interaction effect of AI adoption and operational slack on ESG performance.
Figure 4.
The interaction effect of AI adoption and learning capability on ESG performance.
Figure 5.
The interaction effect of AI adoption and digital TMT on ESG performance.
4.2. Endogeneity Analysis
To ensure the robustness of our findings, we address the potential endogeneity of AI adoption, which may arise from three major sources: (A) reverse causality, where firms with higher ESG performance may be more inclined to adopt AI; (B) omitted variable bias, where unobserved factors affect both AI adoption and ESG performance; (C) selection bias, particularly when capturing firm-level AI activities [87]. Among these concerns, reverse causality is especially critical, as it challenges the direction of the hypothesized relationship. To mitigate the endogeneity concern stemming from potential reverse causality [88], we adopt a lagged independent variable approach by regressing current ESG performance (ESG Performancei + 1) on lagged AI adoption and related firm-level variables at time t. This approach helps strengthen the causal interpretation by ensuring that AI adoption precedes ESG performance.
Table 4 reports the regression results using lagged AI adoption and moderators (Models 1–4). Across all models, the coefficient on AI adoption remains positive and statistically significant at the 1% level (p < 0.01), indicating that the positive effect of AI adoption on ESG performance holds even when accounting for temporal sequencing. Moreover, the interaction terms between AI adoption and each moderator—operational slack (Model 2, p < 0.01), learning capability (Model 3, p < 0.01), and digital TMT (Model 4, p < 0.01)—remain positive and significant. These results reaffirm our main findings and support H1 to H4.
Table 4.
Endogeneity check using lagged independent variables.
To further mitigate endogeneity concerns related to omitted variables and sample selection bias, we employ an instrumental variable (IV) approach. Based on prior studies [89,90], the instrument is constructed as the average level of AI adoption within the same two-digit SIC industry, excluding the focal firm, capturing industry-level AI trends while ensuring exogeneity.
As shown in Table 5, Model 1 presents the baseline IV estimation, and the coefficient on AI adoption remains positive and significant (p < 0.01), confirming the robustness of H1. Models 2–4 sequentially incorporate the three moderators. In each case, the interaction terms between AI adoption and operational slack (Model 2), learning capability (Model 3), and digital TMT (Model 4) are all positive and statistically significant (p < 0.01), supporting H2 through H4 under the IV estimation framework. These results reinforce the causal interpretation of our findings and highlight the contingent nature of AI’s ESG performance impact.
Table 5.
Results of IV regression.
4.3. Robustness Checks
To ensure the robustness of our findings, we re-estimate our models using alternative measures of ESG performance. Specifically, we separately examine the environmental E, social S, and G scores as dependent variables, instead of the composite ESG index.
As shown in Table 6, the coefficient on AI adoption remains positive and statistically significant across all three dimensions in Model 1 (E, S, G, all p < 0.01), confirming the baseline result and supporting H1. Models 2 to 4 incorporate the three moderators—operational slack, learning capability, and digital TMT—and consistently yield positive and significant interaction effects across E, S, and G sub-indices. These results demonstrate that our findings are robust to alternative ESG measurements and that the moderating mechanisms hold consistently across different dimensions of sustainability.
Table 6.
Robustness checks using alternative measures of ESG performance.
To examine the temporal robustness of our results and explore whether the relationship between AI adoption and ESG performance is sensitive to major external shocks [91], we divide the sample into two sub-periods: pre-pandemic (before 2020) and post-pandemic (2020 onward) [35]. This partition is motivated by the fact that the COVID-19 pandemic represents a significant exogenous shock that altered firm behavior, supply chain operations, strategies, and sustainability priorities across industries.
As shown in Table 7, AI adoption has a significantly positive effect on ESG performance in both periods. However, the effect is notably stronger after COVID-19 (p < 0.01) compared to the pre-COVID-19 period (p < 0.01), suggesting that the strategic value of AI for ESG has increased in the post-pandemic context. The interaction terms with operational slack, learning capability, and digital TMT remain positive and significant in both periods, supporting the robustness of H2–H4 across time.
Table 7.
Temporal robustness: before vs. after COVID-19.
In addition, we have incorporated a new robustness check using alternative ESG measures. Specifically, we employ MSCI ESG ratings and convert the letter grades (e.g., AAA to CCC) into a numerical scale ranging from 7 to 1. The results remain consistent with the main findings, as shown in Table 8, which shows robustness checks using alternative ESG measures (MSCI Scores).
Table 8.
Robustness checks using alternative ESG measures (MSCI Scores).
5. Conclusions and Discussion
To further contextualize and substantiate our findings, we refer to existing studies that have explored the sustainability implications of AI and digital technologies. For example, George and Schillebeeckx (2022) emphasize that the outcomes of digital adoption in sustainability contexts are often shaped by internal capabilities and alignment with strategic intent [92], consistent with our findings on the importance of learning capability and digital TMT. Similarly, Nishant et al. (2020) report that firms’ ESG improvements are contingent on how digital technologies are embedded into organizational routines and governance structures [93]. Our results echo these perspectives, but also extend them by offering empirical evidence based on a large-scale, objective measurement of AI adoption using NLP techniques. In doing so, this study moves beyond conceptual speculation and small-sample evidence to provide scalable validation of AI’s ESG impact, while also introducing operational slack as a new and underexplored contingency. These findings reinforce the view that AI adoption is not inherently beneficial for ESG performance; its impact depends on how well it is strategically governed and organizationally supported.
5.1. Theoretical Implications
This study offers several theoretical contributions to the literature on artificial intelligence, sustainability, and measurement of AI adoption. First, it extends the application of the DCV by demonstrating its explanatory power in the context of sustainability-oriented AI development. While DCV has traditionally been applied to studies on strategic innovation [94], strategy management [95], and innovation capability [96], this research applies its core dimensions—sensing, seizing, and reconfiguring—to examine how firms can turn AI adoption into improved ESG performance. In doing so, the study not only enriches the theoretical understanding of AI’s role in sustainability but also identifies three key inner dynamic capabilities: operational slack, learning capability, and digital TMT. These findings underscore the importance of internal capabilities in determining the ESG effectiveness of AI adoption, thereby contributing to both the ESG and DCV literatures.
Second, by theorizing and empirically validating the moderating roles of operational slack, learning capability, and digital TMT, the study provides a contextualized explanation for the mixed findings in prior research. While much of the prior research tends to assume a positive and direct relationship between digital technologies and sustainability (e.g., George and Schillebeeckx [92], Nishant et al. [93]), limited attention has been paid to when and under what conditions this relationship holds. This study extends the DCV by unpacking how different micro-foundations—namely learning capability, digital TMT, and operational slack—jointly shape the effectiveness of AI adoption for ESG outcomes. It enriches the ESG literature by introducing a contingent perspective, demonstrating that the AI–ESG link is not uniform but depends on firms’ cognitive, strategic, and resource-based capabilities. Specifically, learning capability enables firms to interpret ESG objectives and align them with AI opportunities; digital TMTs enhance strategic coordination and resource commitment to AI-ESG initiatives; and operational slack allows flexibility for experimentation and long-term ESG investments. In doing so, the study also complements emerging research that calls for more nuanced examinations of AI adoption’s sustainability implications. This paper emphasizes that the ESG benefits of AI adoption are highly dependent on firm-specific internal factors. By introducing the DCV, this study enriches the literature and responds to recent calls for more nuanced theorization on digital transformation outcomes [14,97]. This conditional perspective highlights that AI adoption success depends not only on technology itself but also on how it is embedded within organizational contexts.
5.2. Practical Implications
This study also offers several practical insights for managers, especially those responsible for corporate sustainability and digital technology adoption. First, our findings suggest that adopting AI technologies can drive ESG improvements when effectively aligned with sustainability objectives. Managers should not only treat AI as a tool for operational efficiency, but also proactively explore its potential for environmental and social value creation—such as using AI to monitor emissions, identify ESG risks, or improve supply chain transparency. To do so, firms should establish clear, ESG-oriented goals in their digital initiatives and foster cross-functional collaboration to integrate AI into broader sustainability strategies.
Second, the study provides important implications for executives who are seeking to maximize the ESG value of their AI investments. The results show that the effectiveness of AI adoption depends significantly on three organizational factors: operational slack, learning capability, and the presence of a digitally savvy TMT. Executives should therefore assess whether their firms possess the necessary cognitive, strategic, and resource conditions to support AI-driven ESG transformation. Specifically, firms with strong learning capability can better identify and translate AI opportunities into ESG improvements—for example, by using AI to detect supply chain labor risks or monitor carbon emissions. Digital TMTs enhance strategic alignment and decision-making, such as deploying AI to strengthen ESG disclosure systems or improve ethical sourcing practices. In contrast, firms with abundant operational slack may have greater flexibility to experiment with AI applications that require long-term investments or involve initial inefficiencies, such as piloting AI tools for energy optimization. When these internal conditions are weak, however, the ESG benefits of AI adoption may be limited or inconsistent. Aligning these internal factors with AI strategies can help firms unlock greater sustainability value and avoid suboptimal outcomes.
5.3. Limitations and Future Work
This study has some limitations that offer opportunities for future research.
First, our sample focuses exclusively on listed manufacturing firms in North America. While this choice ensures high data availability, more transparent AI disclosures, and substantial AI adoption activity, the findings may not fully generalize to firms in other regions or ownership types (e.g., family-owned firms). Accordingly, future research could extend the analysis to a broader range of industries, countries, and organizational forms to enhance external validity. Second, although we address endogeneity concerns through lagged models and an instrumental variable approach, the instrument used—industry-level AI adoption excluding the focal firm—may still raise concerns about its exogeneity. Thus, future studies are encouraged to identify more strictly exogenous instruments to improve causal inference. Finally, the moderating variables considered in this study—operational slack, learning capability, and digital TMT—capture only part of the organizational context. Other potential contingencies, such as corporate culture, ESG orientation, or external stakeholder pressure, may also influence the ESG outcomes of AI adoption. Future research could explore these dimensions through case studies or mixed-method approaches.
Author Contributions
Conceptualization, L.L., L.T. and X.W. (Xiaohong Wang); methodology, L.L. and L.T.; software, L.L., L.T. and X.W. (Xue Wang); validation, X.W. (Xue Wang) and Z.S.; formal analysis, X.W. (Xue Wang) and Z.S.; investigation, X.W. (Xue Wang) and Z.S.; resources, L.L., L.T.; data curation, Z.S., L.T. and X.W. (Xiaohong Wang); writing—original draft preparation, L.L. and L.T.; writing—review and editing, L.L., L.T. and X.W. (Xiaohong Wang); visualization, L.L. and X.W. (Xue Wang); supervision, X.W. (Xiaohong Wang); project administration, X.W. (Xiaohong Wang); funding acquisition, X.W. (Xiaohong Wang). All authors have read and agreed to the published version of the manuscript.
Funding
This research is supported by Heilongjiang Provincial philosophy and social science research planning project in China (23ZKT005) and supported by Humanities and Social Science Research Project of the Ministry of Education in China (24YJA630091).
Data Availability Statement
Dataset available on request from the authors.
Conflicts of Interest
The authors declare no conflict of interest.
Appendix A
- (“artificial intelligence” or AI or “machine learning” or “deep learning” or “neural network” or “natural language processing” or “NLP” or “computer vision” or “intelligent algorithm” or “AI-powered” or “AI-driven” or “generative AI” or “chatbot” or “virtual assistant” or “intelligent automation”) and (construct or constructs or constructing or constructed or construction or adopt or adopts or adopted or adopting or adoption or use or uses or using or used or usage or usages or utilize or utilizes or utilizing or utilized or utilization or develop or develops or developing or developed or development or exploit or exploits or exploiting or exploitation or apply or applies or applying or applied or application or equip or equips or equipping or equipped or equipment or establish or establishes or establishing or established or establishment).
References
- Bunker, R.B.; Harris, D.; Cagle, C.S. An Analysis of Environmental, Social, and Corporate Governance (ESG) Ratings of Lean Versus Non-Lean Companies. J. Account. Financ. 2022, 22. [Google Scholar] [CrossRef]
- Fang, M.; Nie, H.; Shen, X. Can enterprise digitization improve ESG performance? Econ. Model. 2023, 118, 106101. [Google Scholar] [CrossRef]
- Zhang, Y.; Wan, D.; Zhang, L. Green credit, supply chain transparency and corporate ESG performance: Evidence from China. Financ. Res. Lett. 2024, 59, 104769. [Google Scholar] [CrossRef]
- Lopez-de-Silanes, F.; McCahery, J.A.; Pudschedl, P.C. ESG performance and disclosure: A cross-country analysis. Singap. J. Leg. Stud. 2020; 217–241, early access. [Google Scholar]
- Mathews, A. How Unilever is Leveraging AI to Drive Innovation and Sustainability. Available online: https://aimresearch.co/market-industry/how-unilever-is-leveraging-ai-to-drive-innovation-and-sustainability (accessed on 19 May 2025).
- Alzoubi, Y.I.; Mishra, A. Green artificial intelligence initiatives: Potentials and challenges. J. Clean. Prod. 2024, 468, 143090. [Google Scholar] [CrossRef]
- Mckinsy. McKinsey and Microsoft Join Forces to Accelerate Decarbonization Transformations. Available online: https://www.mckinsey.com/about-us/new-at-mckinsey-blog/mckinsey-and-microsoft-join-forces-to-accelerate-decarbonization-transformations (accessed on 31 March 2024).
- Liu, J.; Liu, L.; Qian, Y.; Song, S. The effect of artificial intelligence on carbon intensity: Evidence from China’s industrial sector. Socio-Econ. Plan. Sci. 2022, 83, 101002. [Google Scholar] [CrossRef]
- Wang, Q.; Sun, T.; Li, R. Does artificial intelligence promote green innovation? An assessment based on direct, indirect, spillover, and heterogeneity effects. Energy Environ. 2023, 36, 1005–1037. [Google Scholar] [CrossRef]
- Abdallah, M.; Talib, M.A.; Feroz, S.; Nasir, Q.; Abdalla, H.; Mahfood, B. Artificial intelligence applications in solid waste management: A systematic research review. Waste Manag. 2020, 109, 231–246. [Google Scholar] [CrossRef]
- Zhuk, A. Artificial intelligence impact on the environment: Hidden ecological costs and ethical-legal issues. J. Digit. Technol. Law 2023, 1, 932–954. [Google Scholar] [CrossRef]
- Leon, M. The Escalating AI’s Energy Demands and the Imperative Need for Sustainable Solutions. WSEAS Trans. Syst. 2024, 23, 444–457. [Google Scholar] [CrossRef]
- Teece, D.J. Explicating dynamic capabilities: The nature and microfoundations of (sustainable) enterprise performance. Strateg. Manag. J. 2007, 28, 1319–1350. [Google Scholar] [CrossRef]
- Warner, K.S.; Wäger, M. Building dynamic capabilities for digital transformation: An ongoing process of strategic renewal. Long Range Plan. 2019, 52, 326–349. [Google Scholar] [CrossRef]
- Teece, D.J.; Pisano, G.; Shuen, A. Dynamic capabilities and strategic management. Strateg. Manag. J. 1997, 18, 509–533. [Google Scholar] [CrossRef]
- Martin, R. How successful leaders think. Harv. Bus. Rev. 2007, 85, 60. [Google Scholar]
- Velte, P. Does ESG performance have an impact on financial performance? Evidence from Germany. J. Glob. Responsib. 2017, 8, 169–178. [Google Scholar] [CrossRef]
- Aroul, R.R.; Sabherwal, S.; Villupuram, S.V. ESG, operational efficiency and operational performance: Evidence from Real Estate Investment Trusts. Manag. Financ. 2022, 48, 1206–1220. [Google Scholar] [CrossRef]
- Junius, D.; Adisurjo, A.; Rijanto, Y.A.; Adelina, Y.E. The impact of ESG performance to firm performance and market value. J. Apl. Akunt. 2020, 5, 21–41. [Google Scholar] [CrossRef]
- Crace, L.; Gehman, J. What really explains ESG performance? Disentangling the asymmetrical drivers of the triple bottom line. Organ. Environ. 2023, 36, 150–178. [Google Scholar] [CrossRef]
- Neumann, O.; Guirguis, K.; Steiner, R. Exploring artificial intelligence adoption in public organizations: A comparative case study. Public Manag. Rev. 2024, 26, 114–141. [Google Scholar] [CrossRef]
- Shahzadi, G.; Jia, F.; Chen, L.; John, A. AI adoption in supply chain management: A systematic literature review. J. Manuf. Technol. Manag. 2024, 35, 1125–1150. [Google Scholar] [CrossRef]
- Khan, F.; Ullah Jan, S.; Zia-ul-haq, H.M. Artificial intelligence adoption, audit quality and integrated financial reporting in GCC markets. Asian Rev. Account. 2024. [Google Scholar] [CrossRef]
- Dangelico, R.M.; Pujari, D.; Pontrandolfo, P. Green product innovation in manufacturing firms: A sustainability-oriented dynamic capability perspective. Bus. Strategy Environ. 2017, 26, 490–506. [Google Scholar] [CrossRef]
- Akter, S.; McCarthy, G.; Sajib, S.; Michael, K.; Dwivedi, Y.K.; D’Ambra, J.; Shen, K.N. Algorithmic bias in data-driven innovation in the age of AI. Int. J. Inf. Manag. 2021, 60, 102387. [Google Scholar] [CrossRef]
- Egorova, A.A.; Grishunin, S.V.; Karminsky, A. The Impact of ESG factors on the performance of Information Technology Companies. Procedia Comput. Sci. 2022, 199, 339–345. [Google Scholar] [CrossRef]
- Aydoğmuş, M.; Gülay, G.; Ergun, K. Impact of ESG performance on firm value and profitability. Borsa Istanb. Rev. 2022, 22, S119–S127. [Google Scholar] [CrossRef]
- Tarmuji, I.; Maelah, R.; Tarmuji, N.H. The impact of environmental, social and governance practices (ESG) on economic performance: Evidence from ESG score. Int. J. Trade Econ. Financ. 2016, 7, 67. [Google Scholar] [CrossRef]
- Redondo Alamillos, R.; De Mariz, F. How can European regulation on ESG impact business globally? J. Risk Financ. Manag. 2022, 15, 291. [Google Scholar] [CrossRef]
- Gurol, B.; Lagasio, V. Women board members’ impact on ESG disclosure with environment and social dimensions: Evidence from the European banking sector. Soc. Responsib. J. 2022, 19, 211–228. [Google Scholar] [CrossRef]
- Cao, M.; Duan, K.; Ibrahim, H. Green investments and their impact on ESG ratings: An evidence from China. Econ. Lett. 2023, 232, 111365. [Google Scholar] [CrossRef]
- Peng, Y.; Chen, H.; Li, T. The impact of digital transformation on ESG: A case study of Chinese-listed companies. Sustainability 2023, 15, 15072. [Google Scholar] [CrossRef]
- Bethlehem, J. Selection bias in web surveys. Int. Stat. Rev. 2010, 78, 161–188. [Google Scholar] [CrossRef]
- Abraham, S.; Shrives, P.J. Improving the relevance of risk factor disclosure in corporate annual reports. Br. Account. Rev. 2014, 46, 91–107. [Google Scholar] [CrossRef]
- Linlin, L.; Peter, K.; Andy, C.; TCE, C.; Tienan, W. An empirical study on digitalization’s impact on operational efficiency and the moderating role of multiple uncertainties. IEEE Trans. Eng. Manag. 2024, 71, 11463–11478. [Google Scholar]
- Shankar, V.; Parsana, S. An overview and empirical comparison of natural language processing (NLP) models and an introduction to and empirical application of autoencoder models in marketing. J. Acad. Mark. Sci. 2022, 50, 1324–1350. [Google Scholar] [CrossRef]
- Schwartz, R.; Dodge, J.; Smith, N.A.; Etzioni, O. Green AI. Commun. ACM 2020, 63, 54–63. [Google Scholar] [CrossRef]
- Georgiou, S.; Kechagia, M.; Sharma, T.; Sarro, F.; Zou, Y. Green AI: Do deep learning frameworks have different costs? In Proceedings of the 44th International Conference on Software Engineering, Pittsburgh, PA, USA, 21–29 May 2022. [Google Scholar]
- Zahra, S.A.; George, G. Absorptive capacity: A review, reconceptualization, and extension. Acad. Manag. Rev. 2002, 27, 185–203. [Google Scholar] [CrossRef]
- Jansen, J.J.; Van Den Bosch, F.A.; Volberda, H.W. Managing potential and realized absorptive capacity: How do organizational antecedents matter? Acad. Manag. J. 2005, 48, 999–1015. [Google Scholar] [CrossRef]
- Lane, P.J.; Koka, B.R.; Pathak, S. The reification of absorptive capacity: A critical review and rejuvenation of the construct. Acad. Manag. Rev. 2006, 31, 833–863. [Google Scholar] [CrossRef]
- Lichtenthaler, U.; Lichtenthaler, E. A capability-based framework for open innovation: Complementing absorptive capacity. J. Manag. Stud. 2009, 46, 1315–1338. [Google Scholar] [CrossRef]
- Li, J.; Wu, T.; Hu, B.; Pan, D.; Zhou, Y. Artificial intelligence and corporate ESG performance. Int. Rev. Financ. Anal. 2025, 102, 104036. [Google Scholar] [CrossRef]
- Yang, Z.h.; Xu, M.; Xiu, X.; Li, G.b. TMT’s technical orientation and ambidextrous innovation capability in digital transformation age. Manag. Decis. Econ. 2025, 46, 1934–1955. [Google Scholar] [CrossRef]
- Senadjki, A.; Yong, H.N.A.; Ganapathy, T.; Ogbeibu, S. Unlocking the potential: The impact of digital leadership on firms’ performance through digital transformation. J. Bus. Socio-Econ. Dev. 2023, 4, 161–177. [Google Scholar] [CrossRef]
- Bharadwaj, A.; El Sawy, O.A.; Pavlou, P.A.; Venkatraman, N. Digital business strategy: Toward a next generation of insights. MIS Q. 2013, 37, 471–482. [Google Scholar] [CrossRef]
- Bourgeois, L.J. On the measurement of organizational slack. Acad. Manag. Rev. 1981, 6, 29–39. [Google Scholar] [CrossRef]
- George, G. Slack resources and the performance of privately held firms. Acad. Manag. J. 2005, 48, 661–676. [Google Scholar] [CrossRef]
- Nohria, N.; Gulati, R. Is slack good or bad for innovation? Acad. Manag. J. 1996, 39, 1245–1264. [Google Scholar] [CrossRef]
- Tan, J.; Peng, M.W. Organizational slack and firm performance during economic transitions: Two studies from an emerging economy. Strateg. Manag. J. 2003, 24, 1249–1263. [Google Scholar] [CrossRef]
- Rane, N.; Choudhary, S.; Rane, J. Artificial intelligence driven approaches to strengthening Environmental, Social, and Governance (ESG) criteria in sustainable business practices: A review. Soc. Gov. Criteria Sustain. Bus. Pract. 2024. SSRN preprint. Available online: https://ssrn.com/abstract=4843215 (accessed on 19 May 2025). [CrossRef]
- Wamba, S.F.; Bawack, R.E.; Guthrie, C.; Queiroz, M.M.; Carillo, K.D.A. Are we preparing for a good AI society? A bibliometric review and research agenda. Technol. Forecast. Soc. Change 2021, 164, 120482. [Google Scholar] [CrossRef]
- Duan, Y.; Edwards, J.S.; Dwivedi, Y.K. Artificial intelligence for decision making in the era of Big Data–evolution, challenges and research agenda. Int. J. Inf. Manag. 2019, 48, 63–71. [Google Scholar] [CrossRef]
- Bag, S.; Gupta, S.; Kumar, S. Industry 4.0 adoption and 10R advance manufacturing capabilities for sustainable development. Int. J. Prod. Econ. 2021, 231, 107844. [Google Scholar] [CrossRef]
- Dwivedi, Y.K.; Hughes, L.; Ismagilova, E.; Aarts, G.; Coombs, C.; Crick, T.; Duan, Y.; Dwivedi, R.; Edwards, J.; Eirug, A. Artificial Intelligence (AI): Multidisciplinary perspectives on emerging challenges, opportunities, and agenda for research, practice and policy. Int. J. Inf. Manag. 2021, 57, 101994. [Google Scholar] [CrossRef]
- Huang, X.; Yang, F.; Zheng, J.; Feng, C.; Zhang, L. Personalized human resource management via HR analytics and artificial intelligence: Theory and implications. Asia Pac. Manag. Rev. 2023, 28, 598–610. [Google Scholar] [CrossRef]
- Zhang, H. Exploring the Impact of AI on Human Resource Management: A case study of organizational adaptation and employee dynamics. IEEE Trans. Eng. Manag. 2024, 71, 14991–15004. [Google Scholar] [CrossRef]
- Teece, D.; Peteraf, M.; Leih, S. Dynamic capabilities and organizational agility: Risk, uncertainty, and strategy in the innovation economy. Calif. Manag. Rev. 2016, 58, 13–35. [Google Scholar] [CrossRef]
- Del Giudice, M.; Khan, Z.; De Silva, M.; Scuotto, V.; Caputo, F.; Carayannis, E. The microlevel actions undertaken by owner-managers in improving the sustainability practices of cultural and creative small and medium enterprises: A United Kingdom–Italy comparison. J. Organ. Behav. 2017, 38, 1396–1414. [Google Scholar] [CrossRef]
- Albort-Morant, G.; Leal-Rodríguez, A.L.; Fernández-Rodríguez, V.; Ariza-Montes, A. Assessing the origins, evolution and prospects of the literature on dynamic capabilities: A bibliometric analysis. Eur. Res. Manag. Bus. Econ. 2018, 24, 42–52. [Google Scholar] [CrossRef]
- Kessel, L.; Graf-Vlachy, L. Chief digital officers: The state of the art and the road ahead. Manag. Rev. Q. 2022, 72, 1249–1286. [Google Scholar] [CrossRef]
- Zhang, Y.; Jin, S. How does digital transformation increase corporate sustainability? The moderating role of top management teams. Systems 2023, 11, 355. [Google Scholar] [CrossRef]
- Bausch, D.; Kraemer, T.; Mauroner, O. Technology-Induced Stress and Employee Resistance in the Context of Digital Transformation and Identification of Countermeasures. Int. J. Innov. Technol. Manag. 2024, 21, 2450029. [Google Scholar] [CrossRef]
- Slack, N. The changing nature of operations flexibility. Int. J. Oper. Prod. Manag. 2005, 25, 1201–1210. [Google Scholar] [CrossRef]
- Greve, H.R. A behavioral theory of R&D expenditures and innovations: Evidence from shipbuilding. Acad. Manag. J. 2003, 46, 685–702. [Google Scholar]
- Brynjolfsson, E.; Mcafee, A. The Second Machine Age: Work, Progress, and Prosperity in a Time of Brilliant Technologies; WW Norton & Company: New York, NY, USA, 2014. [Google Scholar]
- Alareeni, B.A.; Hamdan, A. ESG impact on performance of US S&P 500-listed firms. Corp. Gov. Int. J. Bus. Soc. 2020, 20, 1409–1428. [Google Scholar] [CrossRef]
- Ren, X.; Zeng, G.; Zhao, Y. Digital finance and corporate ESG performance: Empirical evidence from listed companies in China. Pac.-Basin Financ. J. 2023, 79, 102019. [Google Scholar] [CrossRef]
- Wiengarten, F.; Lo, C.K.; Lam, J.Y. How does sustainability leadership affect firm performance? The choices associated with appointing a chief officer of corporate social responsibility. J. Bus. Ethics 2017, 140, 477–493. [Google Scholar] [CrossRef]
- Cohen, W.M.; Levinthal, D.A. Absorptive capacity: A new perspective on learning and innovation. Adm. Sci. Q. 1990, 35, 128–152. [Google Scholar] [CrossRef]
- Escribano, A.; Fosfuri, A.; Tribó, J.A. Managing external knowledge flows: The moderating role of absorptive capacity. Res. Policy 2009, 38, 96–105. [Google Scholar] [CrossRef]
- Bellamy, M.A.; Ghosh, S.; Hora, M. The influence of supply network structure on firm innovation. J. Oper. Manag. 2014, 32, 357–373. [Google Scholar] [CrossRef]
- Körber, M.; Cotta, D. Supply chain in the C-suite: The effect of chief supply chain officers on incidence of product recalls. Supply Chain Manag. 2021, 26, 495–513. [Google Scholar] [CrossRef]
- Chun, M.; Mooney, J. CIO roles and responsibilities: Twenty-five years of evolution and change. Inf. Manag. 2009, 46, 323–334. [Google Scholar] [CrossRef]
- Kunisch, S.; Menz, M.; Langan, R. Chief digital officers: An exploratory analysis of their emergence, nature, and determinants. Long Range Plan. 2022, 55, 101999. [Google Scholar] [CrossRef]
- Al-Shaer, H.; Zaman, M.; Albitar, K. CEO gender, critical mass of board gender diversity and ESG performance: UK evidence. J. Account. Lit. 2024, ahead of print. [Google Scholar] [CrossRef]
- Dotzel, T.; Shankar, V. The relative effects of business-to-business (vs. business-to-consumer) service innovations on firm value and firm risk: An empirical analysis. J. Mark. 2019, 83, 133–152. [Google Scholar] [CrossRef]
- Zahra, S.A.; George, G. The net-enabled business innovation cycle and the evolution of dynamic capabilities. Inf. Syst. Res. 2002, 13, 147–150. [Google Scholar] [CrossRef]
- Li, H.; Lam, H.K.S.; Ho, W.; Yeung, A.C.L. The impact of chief risk officer appointments on firm risk and operational efficiency. J. Oper. Manag. 2022, 68, 241–269. [Google Scholar] [CrossRef]
- Li, S.; Shang, J.; Slaughter, S.A. Why do software firms fail? Capabilities, competitive actions, and firm survival in the software industry from 1995 to 2007. Inf. Syst. Res. 2010, 21, 631–654. [Google Scholar] [CrossRef]
- Yiu, L.M.D.; Lam, H.K.S.; Yeung, A.C.L.; Cheng, T.C.E. Enhancing the financial returns of R&D Investments through operations management. Prod. Oper. Manag. 2020, 29, 1658–1678. [Google Scholar] [CrossRef]
- Hendricks, K.B.; Hora, M.; Singhal, V.R. An empirical investigation on the appointments of supply chain and operations management executives. Manag. Sci. 2015, 61, 1562–1583. [Google Scholar] [CrossRef]
- Lu, J.; Wang, W. Managerial conservatism, board independence and corporate innovation. J. Corp. Financ. 2018, 48, 1–16. [Google Scholar] [CrossRef]
- Liu, X.; Ma, C.; Ren, Y.-S. How AI powers ESG performance in China’s digital frontier? Financ. Res. Lett. 2024, 70, 106324. [Google Scholar] [CrossRef]
- Putri, C.M.; Puspawati, D. The effect of ESG disclosure, company size, and leverage on company’s financial performance in Indonesia. Int. J. Bus. Manag. Technol. 2023, 7, 252–262. [Google Scholar]
- Gavrilakis, N.; Floros, C. ESG performance, herding behavior and stock market returns: Evidence from Europe. Oper. Res. 2023, 23, 3. [Google Scholar] [CrossRef]
- Toh, P.K.; Polidoro, F. A competition-based explanation of collaborative invention within the firm. Strateg. Manag. J. 2013, 34, 1186–1208. [Google Scholar] [CrossRef]
- Hegde, S.P.; Mishra, D.R. Married CEOs and corporate social responsibility. J. Corp. Financ. 2019, 58, 226–246. [Google Scholar] [CrossRef]
- Chari, M.D.R.; Devaraj, S.; David, P. Research note the impact of information technology investments and diversification strategies on firm performance. Manag. Sci. 2008, 54, 224–234. [Google Scholar] [CrossRef]
- Lev, B.; Sougiannis, T. The capitalization, amortization, and value-relevance of R&D. J. Account. Econ. 1996, 21, 107–138. [Google Scholar] [CrossRef]
- Lisboa, I. Family Impact on Capital Structure: Does Financial Crisis Matter? J. Bus. Econ. 2015, 6, 306–316. [Google Scholar] [CrossRef][Green Version]
- George, G.; Schillebeeckx, S.J. Digital transformation, sustainability, and purpose in the multinational enterprise. J. World Bus. 2022, 57, 101326. [Google Scholar] [CrossRef]
- Vitolla, F.; Raimo, N.; Campobasso, F.; Giakoumelou, A. Risk disclosure in sustainability reports: Empirical evidence from the energy sector. Util. Policy 2023, 82, 101587. [Google Scholar] [CrossRef]
- Vogel, R.; Güttel, W.H. The dynamic capability view in strategic management: A bibliometric review. Int. J. Manag. Rev. 2013, 15, 426–446. [Google Scholar] [CrossRef]
- Gao, Y.; Liu, S.; Yang, L. Artificial intelligence and innovation capability: A dynamic capabilities perspective. Int. Rev. Econ. Financ. 2025, 98, 103923. [Google Scholar] [CrossRef]
- Nishant, R.; Kennedy, M.; Corbett, J. Artificial intelligence for sustainability: Challenges, opportunities, and a research agenda. Int. J. Inf. Manag. 2020, 53, 102104. [Google Scholar] [CrossRef]
- Vial, G. Understanding digital transformation: A review and a research agenda. In Managing Digital Transformation; Routledge: London, UK, 2021; pp. 13–66. [Google Scholar]
Disclaimer/Publisher’s Note: The statements, opinions and data contained in all publications are solely those of the individual author(s) and contributor(s) and not of MDPI and/or the editor(s). MDPI and/or the editor(s) disclaim responsibility for any injury to people or property resulting from any ideas, methods, instructions or products referred to in the content. |
© 2025 by the authors. Licensee MDPI, Basel, Switzerland. This article is an open access article distributed under the terms and conditions of the Creative Commons Attribution (CC BY) license (https://creativecommons.org/licenses/by/4.0/).




