Abstract
This study investigates the relationship between digital transformation and the substantive innovation of single champion manufacturing enterprises (SCMEs). Using panel data from listed SCMEs between 2017 and 2022, we applied a double fixed-effects model to analyze the effects of digital transformation on substantive innovation performance. The findings indicate that digital transformation significantly enhances SCMEs’ innovation performance, exhibiting a positive linear relationship. However, as the degree of transformation increases, the effect gradually diminishes, following an inverted U-shaped pattern. Furthermore, we introduced a theoretical framework of enterprise niche resilience and examined the moderating roles of niche resource resilience and niche structural resilience in the relationship between digital transformation and innovation performance. The results show that factors such as human resource resilience, capital resource resilience, supply chain resilience, and shareholder governance resilience play critical roles in enhancing innovation capabilities and supporting the digital transformation process. Finally, from the perspectives of macro-, meso-, and microenterprise niche positioning, we further discussed the heterogeneity across different regions, industrial chains, and lifecycle stages. This research provides new insights into innovation theory, niche theory, and resilience theory, offering valuable practical implications for policymakers and SCME managers to respond to global risks and drive domestic industrial upgrades.
1. Introduction
The global restructuring of industry and supply chains has heightened international competition, with developed countries strengthening their manufacturing dominance through technological innovation and upgrades, presenting significant challenges to China’s manufacturing sector. As China transitions to high-quality development, rising labor costs and environmental pressures make traditional growth models unsustainable. The demand for high-value, high-quality products further drives the need for technological advancements and greater efficiency [1]. In response, advancing high-quality manufacturing is crucial for economic transformation, enhancing national innovation, and ensuring supply chain security and resilience. Amid these pressures, digital and intelligent transformation is a key solution. Since the 18th CPC National Congress, the Chinese government has launched strategic plans such as the “Digital Economy Development Strategy Outline” [2] and the “Fourteenth Five-Year Plan for Digital Economy Development” [3], promoting initiatives such as “Internet Plus,” big data, and the digital transformation of manufacturing, with a focus on intelligent industry upgrades and digitization of small and medium-sized businesses.
The Action Plan for Digital Transformation in Manufacturing, approved by the State Council in 2024, highlights digital transformation as central to advancing industrialization and building a modern industrial system. The plan calls for addressing the diverse needs of manufacturing by exploring key application scenarios across industries and accelerating technological breakthroughs [4]. This marks a shift from the traditional “large and comprehensive” manufacturing model to a “specialized, refined, distinctive, and innovative” approach, tailored to meet global restructuring and evolving market demands. In fact, efforts to develop specialized manufacturing began over a decade ago. In 2016, the Ministry of Industry and Information Technology (MIIT) launched the Implementation Plan for Cultivating Single Champion Manufacturing Enterprises, focusing on nurturing firms with expertise in specific fields to drive industrial upgrades and global expansion [5]. Champion enterprises gained further attention in the Fourteenth Five-Year Plan and the Guidance for Boosting High-End Manufacturing Firms [6]. In the same year, General Secretary Xi Jinping emphasized the importance of these enterprises for manufacturing competitiveness during the 34th Political Bureau study session. In 2023, MIIT’s “Measures for the Recognition and Management of Single Champion Enterprises” formalized the standardization of this initiative [7].
As of 2023, the MIIT has identified 604 national SCMEs across seven batches, with 42.2% being publicly listed companies. These enterprises are mainly concentrated in the East, South, and Central regions of China, specializing in fields such as general equipment, chemical products, and specialized equipment, showcasing strong performance in technology-intensive industries. In recent years, SCMEs have shown strong growth, excelling in market competition and enhancing innovation through sustained R&D investments. Data from Figure 1 indicate that, over the past three years, SCMEs have significantly outperformed A-share listed companies in the gross profit margin and R&D expenditure ratio. For instance, gross profit margins in high-value-added sectors such as food processing, pharmaceutical manufacturing, and chemical manufacturing are 15–40% higher for SCMEs. In technology-intensive industries, their R&D ratios are about 5 percentage points higher, with specialized equipment manufacturing and electronics manufacturing further underscoring their leadership in innovation.
Figure 1.
Comparison of operating performance and innovation investment for SCME-listed companies versus all A-share listed companies. Panel (a) shows the median gross profit margin. Panel (b) shows the median research and development expenditure ratios. The industry names corresponding to the codes are in Table S1.
Based on panel data from the listed SCMEs between 2017 and 2022, this study empirically analyzed the impact of digital transformation on their substantive innovation performance using a double fixed-effects model, while also exploring the moderating role of enterprise niche resource and structural resilience. The findings show that digital transformation significantly enhances SCMEs’ substantive innovation performance, although the effects tend to diminish as the level of transformation increases. Specifically, human resource resilience and capital resource resilience enhance the adaptability and innovation capacity of SCMEs, driving innovation performance during the digital transformation process; supply chain resilience and shareholder governance resilience strengthen SCMEs’ ability to adapt to external changes, optimize innovation resource allocation, and further boost innovation performance. In addition, this study examines the heterogeneity of niche positioning in the innovation effects of digital transformation in SCMEs from macro-, meso-, and micro-perspectives. In terms of regional niche positioning, underdeveloped regions, which are in the early stages of digital transformation, experience more significant innovation gains compared to more developed regions with completed digital transformations. Regarding industrial chain niche positioning, high-end industrial chains demonstrate stronger innovation-driving capabilities during digital transformation, while low-end chains require more focus on technological breakthroughs and business model adjustments. Concerning enterprise lifecycle niche positioning, SCMEs in the growth stage exhibit the greatest innovation potential, while those in the maturity stage focus on efficiency optimization. In the decline stage, SCMEs leverage digital transformation to overcome market and technological bottlenecks, thus driving innovation and industrial upgrading.
The innovation of this study lies in filling the gap in the research on the digital transformation of single champion manufacturing enterprises (SCMEs) and providing theoretical support for enhancing innovation capabilities during digital transformation through the framework of enterprise niche resilience. First, this study focuses on SCMEs and explores the relationship between their digital transformation and substantive innovation. Currently, there is limited research on how SCMEs achieve innovation through digital transformation. The existing literature mainly concentrates on the digital transformation of large enterprises, with insufficient attention given to smaller-scale, highly competitive single champion firms. Therefore, this study fills this gap by focusing on the innovation capabilities of SCMEs during the digital transformation process and their pathways to enhancement, offering a new perspective in this field. Second, this study introduces and develops the theoretical framework of enterprise niche resilience and examines the moderating effects of resource resilience and structural resilience during digital transformation. By analyzing the heterogeneity of innovation outcomes in SCMEs under different niche positionings, the study reveals how firms maintain competitiveness through flexible resource allocation and strategic adjustments in dynamic market environments, thereby achieving substantive innovation. This framework not only deepens our understanding of the innovation process in SCMEs, but also provides practical guidance for other firms to cope with the challenges of technological innovation and achieve continuous innovation.
This research makes both theoretical and practical contributions. On the one hand, while the existing literature mainly focuses on organizational resilience and dynamic capabilities, the enterprise niche resilience framework developed in this study strengthens the integration of enterprise niche theory and resilience theory, opening up a new perspective for research on digital transformation. On the other hand, the findings provide policymakers with specific recommendations on how to promote the digital transformation of SCMEs and improve their innovation performance, helping them secure a competitive advantage in the global market and achieve long-term sustainable development.
The structure of the paper is as follows: Section 2 covers the literature review and hypothesis. Section 3 introduces the variables, data, and methodology. Section 4 includes baseline analysis, endogeneity tests, and robustness checks. Section 5 further discusses the mechanism of enterprise niche resilience and positioning. Section 6 concludes with the main findings and policy recommendations.
2. Theoretical Background and Hypotheses
2.1. Digital Transformation and Substantive Innovation in SCMEs
Digital transformation fundamentally alters operational models and business processes by applying advanced information technologies, such as artificial intelligence, to enterprises, thereby driving more efficient innovation [8]. It differs from mere “digitization” or “digitalization.” Digitization typically refers to the conversion of traditional physical processes into digital formats, focusing on the electronic storage and processing of information [9]. In contrast, digitalization emphasizes the application and optimization of information technology within organizational processes to enhance operational efficiency [10]. The core of digital transformation lies in leveraging technology-driven business transformation, not only reshaping internal operations, but also fostering innovation and strategic changes at all organizational levels. From a strategic perspective, digital transformation is significant for enterprises as it enhances operational efficiency, accelerates market responsiveness, and drives the transformation of business models, thus enabling firms to maintain flexibility and achieve sustainable development in a competitive landscape.
In the manufacturing sector, digital transformation primarily drives substantive innovation by enhancing technological innovation efficiency. Technologies such as big data, the Internet of Things (IoT), and artificial intelligence (AI) optimize production processes and resource allocation, accelerating technological research and development, which, in turn, contributes to breakthroughs in innovation [11]. Smart manufacturing, as a key component of digital transformation, integrates information technology with traditional manufacturing, leading to smarter, more automated production processes that significantly enhance the efficiency of technological innovations. By collecting and analyzing real-time data, enterprises can quickly identify production bottlenecks and make timely adjustments, increasing both the speed and quality of innovation [12,13,14]. Furthermore, digital transformation facilitates collaborative innovation and resource integration. With unified information platforms and digital management systems, enterprises can break through information silos, enabling internal and external resource sharing and knowledge exchange, which accelerates the application of technological outcomes and drives substantive innovation [15]. These digital tools also enable more effective collaboration in technological research and product design, which enhances the overall quality of innovations. Finally, digital transformation improves market insights. Technologies such as digital twins and virtual simulations allow enterprises to better understand market demands and trends, providing data-driven support for innovation decisions and optimizing the commercialization of innovations [16].
For single champion enterprises, digital transformation offers unique advantages in driving substantive innovation. These enterprises typically possess strong technical expertise and market experience in specific fields, enabling them to leverage digital transformation to enhance their innovation capabilities. By adopting digital technologies, these enterprises can accelerate innovation on their existing technical foundation. For example, the application of smart manufacturing and big data analytics helps enterprises optimize production processes, improve product quality, and drive breakthroughs in innovation [17]. Additionally, single champion enterprises often have strong resource integration capabilities, and digital transformation allows them to more effectively integrate internal and external resources, fostering technological collaboration and cross-disciplinary innovation. With the support of digital platforms, these enterprises can quickly respond to market demand changes and optimize their innovation direction, further enhancing the commercialization potential of their innovations [11,18]. Therefore, under the push of digital transformation, single champion enterprises can leverage their specialized strengths to accelerate technological advancements and product innovations, thus maintaining their leadership in the industry. Hence, our study proposes the following hypothesis:
H1.
The digital transformation of SCMEs will positively impact their substantive innovation.
2.2. Enterprise Niche Resilience and Innovation Performance
In existing theoretical research, business niche and organizational resilience are two core concepts that influence a firm’s sustained competitiveness and innovation performance. Business niche typically refers to the position a firm occupies within its industry or market, encompassing resource acquisition, market positioning, and competitive advantage [19,20]. This concept, derived from ecology, aims to describe how firms interact with the external environment to find a development space that suits their needs. Organizational resilience, on the other hand, refers to a firm’s ability to maintain operations and quickly recover in the face of external shocks or environmental changes, emphasizing adaptability, recovery capacity, and transformative capabilities [21]. Organizational resilience helps firms effectively respond to challenges in uncertain environments, ensuring long-term survival and development by adjusting strategies and optimizing resource allocation.
Building on this theoretical foundation, we introduce the concept of enterprise niche resilience, which refers to a firm’s ability to sustain its competitiveness and innovation capacity through flexible resource allocation and strategic adjustments in the face of external environmental changes and uncertainties. Unlike “organizational resilience” or “dynamic capabilities” [22], which primarily focus on recovery capacity and stability, enterprise niche resilience emphasizes the continuous acquisition of competitive advantages through adaptive resource management and strategic realignment, enabling firms to achieve breakthrough development during digital transformation. Enterprise niche resilience is not only concerned with a firm’s adaptability in resource acquisition, but also with flexibility across multiple dimensions, including market positioning, competitive strategies, and organizational structures. Specifically, niche resilience consists of two dimensions: resource resilience and structural resilience. Resource resilience focuses on how firms can respond to external changes by optimizing human resources and capital allocation, while structural resilience concerns how firms adjust supply chains and shareholder governance structures to enhance decision-making efficiency and innovation capability.
For SCMEs, enterprise niche resilience plays a crucial role during digital transformation by helping them address challenges brought about by technological innovations, while also fostering organizational restructuring and dynamic market repositioning. Leveraging digital technologies such as big data, artificial intelligence, and the Internet of Things, they can rapidly adjust their strategies, maintain innovation momentum, and sustain competitive advantages in an increasingly competitive market environment.
2.2.1. Niche Resource Resilience
Niche resource resilience encompasses both human and capital resource resilience. According to the production function theory, a firm’s innovation performance is driven not only by technological and managerial capabilities, but also by the combined effects of capital investment and human resources. For single champion enterprises undergoing digital transformation, substantial capital is necessary for technology upgrades and system development, while highly skilled human capital is crucial for the effective implementation and management of these new technologies. This dual resilience ensures that these enterprises can sustain their innovation processes and adapt to the demands of digital transformation, ultimately enhancing their innovation performance and competitiveness.
Human resource resilience. It denotes a firm’s capacity to adaptively allocate and efficiently configure its capital resources in response to external environmental changes and uncertainties, thus supporting innovation activities. For single champion enterprises, human resource resilience plays a crucial role in driving innovation performance. Firstly, the accumulation of highly educated talent and technical expertise directly impacts a company’s innovation performance. Highly skilled human capital not only facilitates the adoption and application of advanced technologies, but also drives breakthroughs in knowledge innovation and technological research and development [23,24]. As education levels rise and global technology evolves, firms must focus on cultivating talent with cross-cultural and global perspectives, which is essential for technological breakthroughs and maintaining competitiveness [25,26]. Secondly, human resource resilience directly enhances innovation performance during digital transformation. Digital transformation often involves technological upgrades and management changes, requiring highly skilled technical and managerial personnel to implement these shifts effectively. Talent with international experience and cross-cultural backgrounds is better equipped to understand and apply cutting-edge global technologies, thus accelerating the digital transformation process [27]. Cross-cultural teams, by integrating resources from different regions, facilitate knowledge flow and technological innovation, further advancing digital transformation [28,29,30]. Lastly, flexible remote work models and cross-team collaboration expedite the innovation process. Teams with strong adaptability can quickly adjust to new work formats, enhancing collaborative innovation capabilities, which in turn accelerate both technological and market-oriented innovation [31,32].
Capital resource resilience. It refers to a firm’s ability to flexibly allocate and effectively configure its capital resources in response to external environmental changes and uncertainties, thereby supporting innovation activities. Digital transformation requires significant capital investment, especially in areas such as technological upgrades, system development, data processing, and artificial intelligence [33]. Firms with strong capital resource resilience can flexibly allocate funds to meet short-term operational needs while also supporting long-term technological innovation and strategic transformation. During digital transformation, firms need substantial capital to support activities such as technological research and development, system upgrades, and market promotion. The availability and flexibility of capital resources ensure that firms can quickly respond to technological changes and shifts in market demand, avoiding delays or stagnation in innovation progress due to funding shortages [34]. Firms with strong capital resource resilience can reduce the negative impact of financing constraints by combining internal funds with external financing channels, ensuring the smooth implementation of digital strategies. This, in turn, drives technological innovation and business transformation, enhancing the firm’s competitive advantage. Therefore, capital resource resilience not only directly influences the innovation performance of single champion enterprises, but also enhances the sustainability and effectiveness of innovation activities throughout the digital transformation process by optimizing capital allocation.
Niche resource resilience helps firms effectively allocate resources in the face of external environmental changes, ensuring the continuity and stability of innovation activities and thereby enhancing their innovation performance. Therefore, we proposed the following hypothesis:
H2.
Niche resource resilience can influence the effect of digital transformation on the substantive innovation performance of SCMEs. Specifically, human resource resilience and capital resource resilience may exhibit moderating effects.
2.2.2. Niche Structural Resilience
Niche structural resilience refers to a firm’s ability to maintain the stability and adaptability of its niche by adjusting its internal structure and resource allocation in response to external shocks and environmental changes. Supply chain resilience, from the perspective of external operational structure, emphasizes how firms adjust their supply chain structures and optimize resource flow to cope with external disruptions such as market fluctuations and technological changes. Shareholder governance resilience reflects the resilience of the internal governance structure, demonstrating how firms enhance decision-making efficiency, resource allocation, and long-term strategy through flexible shareholder structures and governance models, thereby strengthening their innovation and transformation capabilities.
Supply chain resilience. It reflects how a company adjusts and optimizes its supply chain structure in response to external shocks, such as fluctuations in market demand, technological changes, or supply disruptions, while maintaining the flow of resources and production capacity. The degree of supply chain diversification is an indicator of its flexibility. A more decentralized supply chain can provide stable resource support, reducing the impact of external uncertainties on the innovation process and, in turn, enhancing innovation performance [35]. Furthermore, a flexible supply chain accelerates the development of new products and increases their speed to market, further driving technological and product innovation [36]. In the context of digital transformation, the flexibility of the supply chain is also critical to the effectiveness of digital transformation in enhancing innovation performance. Digital transformation is often accompanied by accelerated technological upgrades and changes in market demand, and a flexible supply chain can better cope with these changes by ensuring the rapid flow of resources and efficient sharing of information [37,38,39]. By diversifying supply chain channels, single champion enterprises can reduce dependence on a single supplier or customer. Expanding access to diverse technological and market information channels enhances innovation capabilities and market responsiveness, improves resource allocation efficiency, lowers transaction costs and risks, and further boosts innovation performance [40,41].
Shareholder governance resilience. It is primarily reflected in the shareholder structure, which influences the enterprise’s operational efficiency and directly impacts its innovation capabilities. The interests of shareholders drive the company’s strategic decisions, resource allocation, and innovation direction [42,43]. For example, long-term investors, such as venture capitalists and strategic investors, provide single champion enterprises with continuous financial support and strategic guidance, playing a crucial role in driving digital transformation and technological innovation [44,45]. Moreover, shareholders with industry expertise bring valuable resources and insights, significantly propelling innovation in specific technological fields [46]. The concentration and network position of shareholders have a profound effect on the enterprise’s innovation capabilities [47]. A higher concentration of shareholders reduces decision-making layers and coordination costs, which facilitates the acceleration of digital transformation, promotes R&D investments, and supports the advancement of innovation activities [48,49]. However, an overly concentrated shareholder structure may pose risks related to transparency, potentially limiting the diversity of innovation. A more diversified shareholder structure can introduce a wider range of perspectives and ideas, thereby improving the comprehensiveness and diversity of decision-making. Therefore, during the digital transformation process, a well-balanced shareholder structure not only enhances the internal governance of single champion enterprises, but also significantly influences their innovation performance.
Thus, niche structural resilience enables firms to maintain innovation vitality and enhance competitiveness during digital transformation, thereby driving improvements in innovation performance. Based on this, we proposed the following hypothesis:
H3.
Niche structural resilience can influence the effect of digital transformation on the substantive innovation performance of SCMEs. Specifically, supply chain resilience and shareholder governance resilience may exhibit moderating effects.
Figure 2 illustrates the research model derived from the hypotheses proposed in this study.
Figure 2.
The logical model between digital transformation, enterprise niche resilience, and substantive innovation of SCMEs.
3. Data and Methodologies
3.1. Selection of Variables
Substantive innovation performance (Innovation). It reflects an enterprise’s achievements in technological innovation and its competitive position within the market. While R&D expenditure provides insight into the resources allocated to innovation, it does not directly capture the actual outputs or outcomes of innovation. In contrast, patent data, with its high technological value and stringent review standards, serves as a reliable and objective measure of innovation performance [50,51]. Granted invention patents, in particular, are a tangible and direct indicator of innovation outcomes, as they undergo a rigorous evaluation process that assesses their novelty, creativity, and practical applicability. Hence, the study uses the number of granted invention patents for SCMEs as the primary indicator of substantive innovation performance.
Digital transformation degree (Digit). This indicator measures how enterprises leverage advanced digital technologies, such as AI and big data, to optimize processes, enhance efficiency, and strengthen competitiveness. The annual reports of publicly listed companies represent the most comprehensive and authoritative publicly accessible data source, systematically disclosing the strategic plans and implementation status of digital transformation initiatives [35,38]. The specific descriptions of foundational technologies (e.g., AI, blockchain, cloud computing, big data) and digital technology applications in these reports provide a direct reflection of the enterprise’s actions and technological adoption during the digital transformation process. Accordingly, this study follows existing research practices by identifying keywords related to digital transformation in annual reports and measuring the frequency of these terms to assess the degree of digital transformation in enterprises [52]. The detailed steps can be found in Table S2.
Niche resource resilience (NRR) can be divided into human resource resilience and capital resilience. Human resource resilience (HRR) is represented by multicultural teams, which reflect employees’ international perspectives and cross-cultural skills. This is measured by the number of employees with overseas work experience, which indicates their ability to leverage global technologies and navigate international markets—key factors in maintaining a competitive edge [27,53]. Capital resource resilience (CRR), represented by financing constraints, refers to challenges such as high costs, limited funding channels, and insufficient capital that impact a company’s investment and innovation capacity. It is commonly measured through surveys and financial data analysis, with the SA index being a key composite indicator. This index evaluates financing constraints based on a company’s size and age. Higher SA index values typically indicate greater constraints, with smaller and younger firms facing more significant challenges [54]. Notably, when the SA index is calculated using total assets in millions, it is negative; an increase in the index suggests reduced financing constraints.
Niche structural resilience (NSR) consists of supply chain resilience and shareholder governance resilience. Supply chain resilience (SCR) is represented by supply chain concentration, which measures an enterprise’s reliance on a limited number of suppliers and customers. High concentration indicates dependence on a few entities, while low concentration suggests a more diversified approach. Common methods for measuring supply chain concentration include calculating the percentage of sales to the top five clients and the percentage of procurement from the top five suppliers [9,38]. This study calculates the average of these two indicators to provide a comprehensive view of the supply chain. Shareholder governance resilience (SGR) is represented by ownership concentration, which reflects the composition of the shareholder network and its influence on corporate governance, decision-making, and performance. This study uses the combined shareholding ratio of the top three tradable shareholders, offering a clear indication of shareholder control concentration and its potential impact on business performance [48].
Besides, drawing on the existing literature [55], control variables were chosen from four dimensions of company size, capital structure, governance structure, and financial performance. Specifically, these variables are total assets (SIZE), capital intensity (CI), proportion of independent directors (IDR), and return on assets (ROA).
3.2. Data Sources and Sample Description
In January 2017, the MIIT published the list of the first batch of SCME [56]. Consequently, this study selected the period from 2017 onwards to reduce the influence of differences in the policy environment on the research findings. All data were sourced from the CSMAR database and the official website of the China National Intellectual Property Administration. The study selected SCMEs listed on the Shanghai and Shenzhen Stock Exchanges before 2017. After excluding companies with missing key indicators, the final sample included 90 manufacturing champions with data from 2017 to 2022, totaling 540 observations. Table 1 presents the description of the variables. The specific descriptive statistics and correlation analysis of the key variables can be found in Figure 3.
Table 1.
Description of the variables.
Figure 3.
Descriptive statistics and correlation analysis of the key variables. Panel (a) depicts the distribution of variables, where scatter plots and box plots reveal notable variability and dispersion among the variables. Panel (b) reveals the correlations between digital transformation, innovation performance, and the various control variables. Notably, innovation performance shows a strong positive correlation with digital transformation, confirming the potential association between the two.
3.3. Model Design
3.3.1. Baseline Model
To analyze how digital transformation influences the substantive innovation performance of SCMEs, this study employed a two-way fixed-effects model. Among the various econometric models, the two-way fixed-effects model effectively controls unobserved heterogeneity at both the firm and time levels, reducing the omitted variable bias and improving the accuracy of causal inference. Compared to the other commonly used econometric models, such as random-effects models or ordinary least squares (OLS), the two-way fixed-effects model captures the true relationship between digital transformation and innovation performance without interference from individual and time effects. The baseline regression model is shown in Equation (1):
where Innovationit denotes innovation performance, Digitit represents the level of digital transformation, Controlit includes IDR, ROA, CI, and size, μ and λ represent the fixed effects for firms and years, respectively, while ε denotes the random error term.
3.3.2. Moderating Effects Model
In examining the potential pathways through which digital transformation influences the innovation performance of SCMEs, the moderating roles of enterprise niche resource and structural resilience are important. To this end, moderating effects models were developed, as specified in Equations (2) and (3):
where NRRit includes human resource resilience (HRR) and capital resource resilience (CRR), while NSRit includes supply chain resilience (SCR) and shareholder governance resilience (SGR).
4. Baseline Analysis
4.1. Baseline Results
Table 2 shows the impact of digital transformation on SCME’s innovation performance. Column (1) reveals a significant positive linear effect of Digit on Innovation (0.268, p < 0.01). In Column (2), after including control variables, Digit’s effect slightly decreases to 0.255, but remains significant at the 1% level, confirming a stable positive relationship (H1). SIZE, CI, and ROA had significant negative effects, while IDR’s effect was negative but not significant.
Table 2.
Baseline regression results.
To investigate potential nonlinearity, this study introduced the quadratic term of digital transformation (Digit2) in Column (3). The results show a positive coefficient for Digit and a negative coefficient for Digit2, indicating an inverted U-shaped relationship. The turning point was approximately 5.300, within the Digit range [0, 5.481]. This suggests that digital transformation enhances innovation performance up to a certain point, beyond which its marginal benefits decrease and may become detrimental. However, as shown in Figure 4, the turning point is near the upper limit of Digit, indicating that most current data remain in the linear growth phase, thus supporting H1. In the long term, as digital transformation increases, its positive impact on innovation may diminish. Companies should be aware of potential diminishing returns and adjust their strategies to sustain innovation growth.
Figure 4.
The relationship between Digit and Innovation in SCMEs.
4.2. Endogeneity Tests
To address the endogeneity issue, two instrumental variables were constructed, and estimation was conducted using the 2SLS method. First, following Fang and Liu (2024), Bartik IV (IV_Bartik) was adopted, which combines 1984 postal infrastructure data with lagged digital patent applications to measure digital innovation [57]. This approach effectively captures the impact of infrastructure on digital transformation. In 1984, China’s postal and telecommunications networks were key to its nascent digital infrastructure, shaping regional development and setting the stage for future digital technology adoption. Second, following Lewbel (1997), IV (IV_Digit) was created by calculating the cubic difference between a firm’s digital transformation level and the industry average [58]. This method controls for common industry shocks, addressing potential endogeneity issues and isolating firm-specific digital transformation effects from broader industry trends. In Columns (1)–(4) of Table 3, the outcomes demonstrate that both IVs significantly improved Digit in the first stage. The second-stage outcomes reaffirmed that digital transformation favors innovation performance, with the KP rk LM statistic and CDW F-statistic indicating that the model is well-identified and the instrument is sufficiently strong.
Table 3.
Endogeneity analysis 1: results of the IV method.
To further mitigate endogeneity difficulties originating from omitted variables, this study integrated multiple fixed effects and clustered robust standard errors in the model, following the approach of Fang and Liu (2024) [57]. Industry characteristics, regional features, and time trends can significantly impact a firm’s innovation performance. Thus, controlling for these fixed effects helps eliminate potential confounding factors and ensures the robustness of the model estimates. Additionally, clustering at the firm and provincial levels in the baseline regression further addresses endogeneity issues caused by correlations between the error term and the independent variables. The outcomes of Table 4 show that, regardless of the fixed effects and clustering adjustments applied, the impact of Digit on Innovation remains significantly positive. In Columns (1)–(4), the adjusted R2 increases substantially with the addition of fixed effects, reaching 0.687 after accounting for industry and regional time trends, thus significantly enhancing the model’s explanatory power. Columns (5) and (6) demonstrate that even after incorporating clustering at the firm and provincial levels, the significance of the regression coefficients remains intact. These findings reaffirm the robustness of our findings under various fixed effects and clustering adjustments, effectively addressing endogeneity concerns.
Table 4.
Endogeneity analysis 2: adding fixed effects and clustering.
4.3. Robustness Test
Several robustness checks were conducted. First, in Column (1) of Table 5, the core independent variable digital transformation level (Digit) was replaced by the digital transformation growth rate (Digit growth rate, DGR). Second, in Columns (2) and (3), data from the pandemic years (2020 and 2021) and municipalities (Beijing, Tianjin, Shanghai, Chongqing) were excluded to mitigate potential biases from pandemic-related factors and regional differences in economic development. Third, in Columns (4) and (5), two-step SYS-GMM and DIF-GMM methods were used to replace traditional static regressions. These methods incorporated lagged innovation performance (l.Innovation) to account for the dynamic nature of innovation performance and address lag dependence issues while controlling for endogeneity. All results consistently support H1, confirming the positive impact of Digit on Innovation of SCMEs.
Table 5.
Robustness test results.
5. Further Discussion
5.1. Moderating Effects of Enterprise Niche Resilience
In the study of the impact of digital transformation on enterprise innovation performance, niche resilience was examined through two dimensions: resource resilience and structural resilience. This section explores how these two factors moderate the effect of digital transformation on SCMEs’ substantive innovation performance. The moderating effects’ results are presented in Table 6 and Figure 5.
Table 6.
Moderating effects analysis results for enterprise niche resilience.
Figure 5.
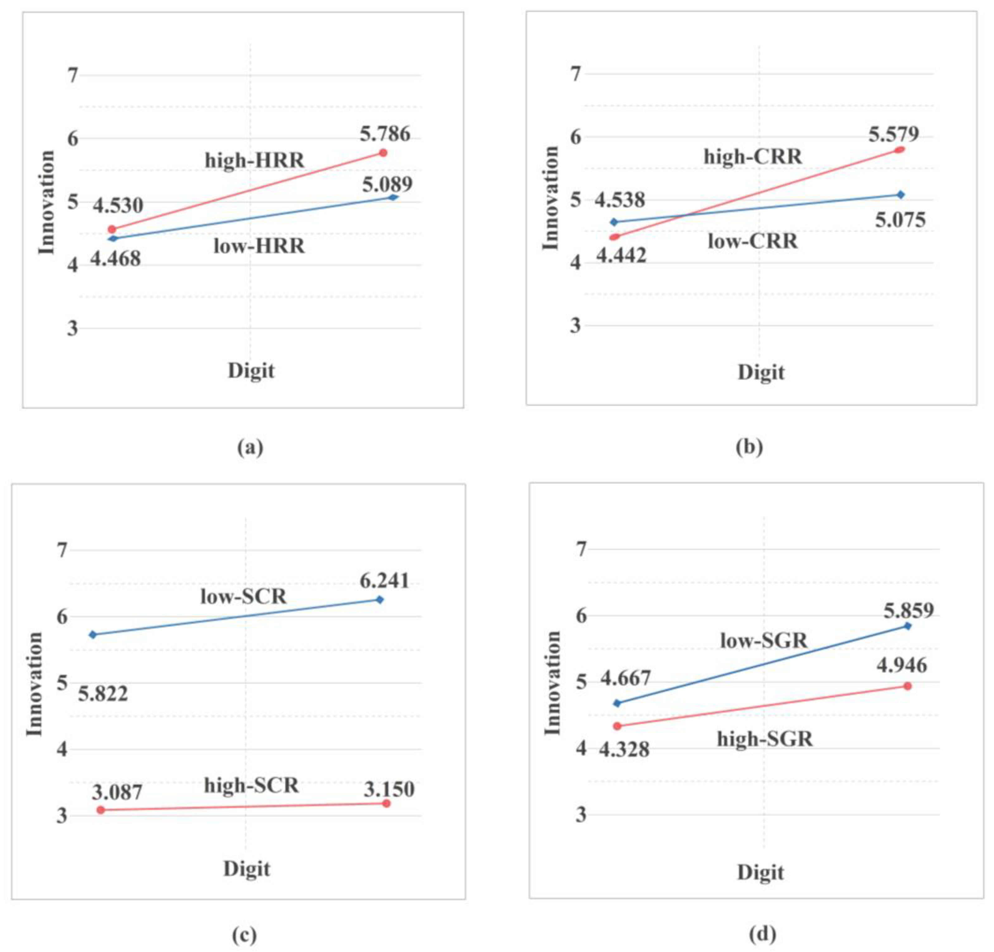
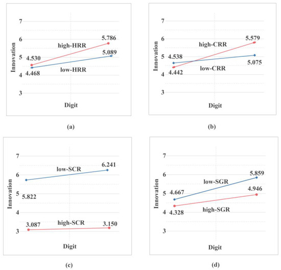
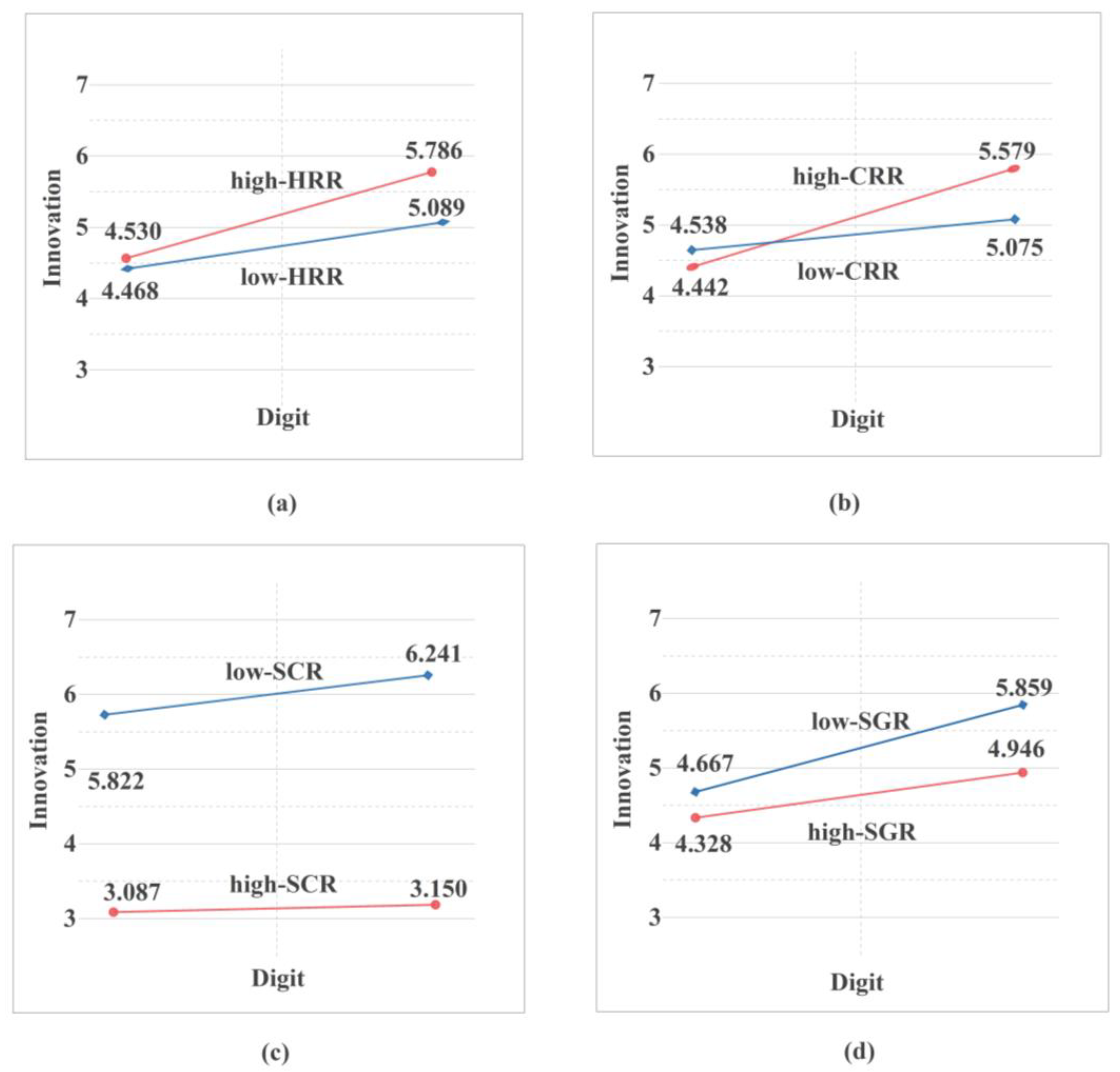
Moderating effects plot. Panels (a), (b), (c), and (d) respectively show the moderating effects of HRR, CRR, SCR, and SGR on the relationship between Digit and Innovation. The horizontal axis represents Digit, and the vertical axis represents Innovation. The red line represents the higher level of the moderator, and the blue line represents the lower level of the moderator.
5.1.1. Effect of Niche Resource Resilience
In Columns (1) and (2) of Table 6, both the main effect of Digit and its interactions with human resource resilience (HRR) and capital resource resilience (CRR) are significantly positive, indicating that these two dimensions of enterprise niche resource resilience effectively enhance the positive impact of digital transformation on the substantive innovation performance of SCMEs. As shown in Figure 5a, SCMEs with high HRR exhibit superior innovation performance compared to those with low HRR, and the innovation performance line for high-HRR firms is steeper, further suggesting that human capital resilience plays a crucial role in facilitating the deep integration and orchestration of knowledge, thus enabling more effective innovation during the digital transformation process. Figure 5b illustrates that high-CRR firms have a steeper innovation performance curve than their low-CRR counterparts, indicating that stronger capital resource resilience alleviates financing constraints, thereby amplifying the positive effects of digital transformation on innovation. Therefore, H2 is supported.
High human resource resilience is crucial for driving digital transformation and innovation in SCMEs, particularly for firms that maintain a technological leadership position. Employees with high human resource resilience, especially those with expertise in digital technology, cross-cultural knowledge, and management experience, play a key role in accelerating technology adoption [23,24]. This resilience allows SCMEs to quickly integrate new digital technologies while maintaining their core technological strengths, which is essential for continuous technological upgrades and breakthrough innovations. In a highly competitive and rapidly changing market, employees’ diverse knowledge and global perspectives enable SCMEs to strengthen technological innovation and market expansion, ensuring their leadership position [27]. Therefore, high human resource resilience not only enhances the ability to tackle market and technological challenges, but also fosters substantive innovation during digital transformation.
High capital resource resilience promotes substantive innovation by ensuring flexible financial support. SCMEs often face rapid technological changes and intense market competition, and high capital resource resilience ensures firms can maintain liquidity even during financial strain. This allows for continuous investment in technological research and innovation. With strong capital resource resilience, firms can adopt, upgrade, and expand digital technologies, particularly in the face of external uncertainties or financial constraints. By leveraging diverse funding sources and flexible capital allocation, SCMEs can maintain uninterrupted innovation activities, thereby driving both technological innovation and market expansion [59]. Consequently, high capital resource resilience enables SCMEs to sustain consistent innovation investment, enhance digital transformation efficiency, and reinforce their technological leadership in competitive industries.
5.1.2. Effect of Niche Structural Resilience
In Columns (3) and (4) of Table 6, the main effect of Digit is significantly positive, and its interactions with supply chain resilience (SCR) and shareholder governance resilience (SGR) are significantly negative. This suggests that these two flexible and adaptive niche characteristics enhance structural resilience to some extent, thereby amplifying the positive impact of digital transformation on the substantive innovation performance of SCMEs. Figure 5c shows that for SCMEs with low supply chain concentration (low-SCR), the relationship between digital transformation and innovation performance is steeper, indicating that a flexible supply chain structure better adapts to market changes and technological advancements, creating favorable conditions for digital transformation and facilitating effective innovation implementation. Figure 5d demonstrates that a dispersed ownership structure (low-SGR), compared to a more concentrated governance structure (high-SGR), leads to a steeper innovation performance curve. This suggests that the flexibility and adaptability of shareholder governance can effectively enhance the ability to cope with uncertainties during digital transformation, thereby boosting innovation performance. Thus, H3 is supported.
A flexible supply chain allows SCMEs to adjust production and supply strategies rapidly in response to technological updates and market fluctuations, enabling innovations to be quickly realized and commercialized [37,39]. This adaptability is crucial for SCMEs, as they rely on continuous technological innovation and product optimization to maintain industry leadership. Moreover, a flexible supply chain structure fosters deep collaboration with upstream and downstream partners, enabling effective resource integration and accelerating the adoption of new technologies, thus advancing digital transformation. This flexibility not only enhances SCMEs’ innovation capacity, but also reduces the risks associated with supply chain bottlenecks, ensuring smooth operations during technological innovation and market expansion, which solidifies their leadership position in the industry.
Our study also reveals that higher ownership concentration negatively impacts the innovation performance of digital transformation in SCMEs, which contrasts with prior literature. Existing research generally suggests that high ownership concentration reduces decision-making layers and coordination costs, accelerating innovation and digital transformation [47,48]. However, in SCMEs, high ownership concentration often leads to centralized decision-making, where dominant shareholders may prioritize their interests, slowing down the firm’s ability to adapt to technological changes. Furthermore, concentrated ownership limits access to external resources and knowledge, which is detrimental to innovation. Therefore, a more flexible governance structure with a diverse shareholder base may better support the rapid technological changes required for successful digital transformation.
5.2. Heterogeneity in Enterprise Niche Positioning
The niche positioning of enterprises reflects their strategic position in different environments and contexts. Different niche positions may influence how enterprises adapt to digital transformation and the resulting innovation effects. This study explores the heterogeneity of niche positioning in the innovation effects of SCMEs’ digital transformation across macro-, meso-, and micro-levels. At the macro-level, the study focuses on regional niche positioning, assessing how varying levels of economic development and technological environments in different regions affect SCMEs’ digital transformation and innovation. At the meso-level, the research examines industrial chain niche positioning, comparing the heterogeneity between high-end and low-end industry chains, as well as sub-chains within high-end chains. At the micro-level, the study investigates enterprise lifecycle niche positioning, analyzing the differences in digital transformation effects across different stages (growth, maturity, and decline) of the SCMEs’ lifecycle.
5.2.1. Macro-Level: Regional Niche Positioning
The analysis of regional niche heterogeneity reveals that differences in economic foundations, policy environments, and market maturity significantly influence the innovation outcomes of digital transformation. Table 7 presents the regression results for developed (eastern) and underdeveloped (central–western) regions. In Columns (1) and (2), the results indicate that Digit has a stronger impact on Innovation in underdeveloped regions compared to developed regions, likely due to diminishing returns in the more mature digital transformation process in the East. To further test this, the quadratic term was examined in Columns (3) and (4), which reveal an inverted U-shaped relationship in the developed regions, with a turning point at 4.063, while the underdeveloped regions continued to show a positive linear effect.
Table 7.
Regional niche positioning heterogeneity.
SCMEs in developed regions, having largely completed their digital transformation, face diminishing returns from excessive investment, leading to potential resource misallocation. Conversely, firms in underdeveloped regions, still in the early stages of digital transformation, benefit significantly from continued investment, with improving infrastructure and policy support driving innovation. Therefore, SCMEs in developed regions should focus on optimizing resource allocation, while those in underdeveloped regions should accelerate digital transformation to leverage policies and market opportunities, boosting innovation.
5.2.2. Meso-Level: Industrial Chain Niche Positioning
In the context of global industrial chain restructuring and a new wave of technological revolution, China has recognized the importance of enhancing the resilience and innovation capabilities of its manufacturing industry chains to maintain competitiveness, ensure economic security, and achieve high-quality growth. The industrial chain, a network composed of interconnected links, forms a complete production process by providing raw materials or services. This interconnectedness optimizes resource allocation, improves efficiency, and drives technological innovation and industrial upgrading [60,61]. The niche of the industrial chain to some extent determines the strategic positioning and resource allocation of SCMEs within the broader economic system, with differences in digital maturity, technological complexity, and market demand further contributing to variations in innovation outcomes. Based on the input–output table analysis, the study identified and integrated 14 manufacturing industry chains for structural optimization (see Table S3), further categorizing them into low-end (IC1–IC8) and high-end (IC9–IC13) groups, which reflect differences in technological complexity and innovation potential. High-end industry chains are characterized by advanced technologies and innovation, while low-end chains focus on cost advantages. Our research sample covers 11 industry chains, excluding furniture manufacturing (IC3) and other manufacturing sectors (IC13).
The results show significant differences in the impact of digital transformation on innovation performance between high-end and low-end industry chains. In Table 8, columns (1) and (2) reveal a significant positive linear effect of digital transformation in high-end industry chains, while the impact in low-end chains is insignificant. Columns (3) and (4) show an inverted U-shaped relationship between Digit and Innovation in both types of chains, with turning points at 4.781 for high-end industry chains and 3.325 for low-end chains, both within the practical range. This indicates that low-end chains experience diminishing returns earlier in the transformation process, while high-end chains can sustain innovation benefits for a longer period before facing reduced gains.
Table 8.
Industry chain niche positioning heterogeneity.
From the perspective of industry chain niches, the differences in innovation performance during digital transformation between high-end and low-end industry chains primarily stem from variations in technological complexity, market demand, and business models. High-end industry chains typically possess higher technological complexity and greater innovation potential, enabling firms to better leverage digital transformation opportunities and market demand. For instance, industries such as computer and communication equipment manufacturing, with their advanced technological foundations and rapidly expanding market needs, are able to continually drive technological innovation and achieve industrial upgrading through digital transformation, thereby sustaining innovation benefits over a longer period [62]. Firms in these high-end chains not only enhance production efficiency through digital technologies, but also foster new product and service innovations, thus delaying the onset of diminishing returns during the transformation process. In contrast, low-end industry chains, such as those in the food, textiles, and energy sectors, generally feature more mature technologies and stable market demand, with innovation primarily focused on enhancing production efficiency rather than technological breakthroughs [63]. The technological and business model maturity in these industries limits the scope for digital transformation, leading to earlier onset of diminishing returns in the innovation process. These chains’ digital transformations are more about optimizing existing technologies rather than introducing disruptive innovations, which results in slower innovation gains and an earlier decline in returns. This niche difference highlights that high-end industry chains can sustain long-term innovation returns through technological innovation and market-driven growth, while low-end chains, constrained by technological maturity and market saturation, face more limitations in the digital transformation process, leading to quicker diminishing returns on innovation benefits.
In addition, we conducted a comparative analysis of subchains within the high-end industry chain. Columns (1)–(4) in Table 9 show that the computer, communication, and electronic equipment manufacturing industry chain (IC12) exhibits the strongest response to digital transformation, with a coefficient significantly higher than that of the other subchains. The electrical machinery, equipment manufacturing, and instruments and meters industry chain (IC11) and the machinery and equipment manufacturing industry chain (IC9) follow with a solid response, though somewhat less pronounced, while the transportation equipment manufacturing industry chain (IC10) shows the weakest impact. Further, nonlinear relationship tests in Columns (5)–(8) reveal that the effect of IC12 on innovation is primarily linear, with no diminishing returns, while IC11, IC9, and IC10 show clear nonlinear relationships, with diminishing returns emerging in the later stages of digital transformation. These patterns are visually depicted in Figure 6.
Table 9.
Internal heterogeneity in the high-end industry chain.
Figure 6.
Internal heterogeneity in high-end manufacturing industry chains. Panels (a), (b), (c), and (d), respectively, represent the relationship between Digit and Innovation of SCMEs in IC9, IC10, IC11, and IC12. The horizontal axis represents Digit, and the vertical axis represents Innovation. The constant term was excluded to display the slope and curvature of the comparison curves. The red line represents the linear trend, and the blue line represents the nonlinear trend.
The internal heterogeneity of digital transformation within high-end industrial chains largely stems from differences in technological features, market demand, and digital adaptation across sub-industrial chains. Take the IC12 chain (including high-tech products such as semiconductor chips, 5G devices, and industrial robots) as an example. Its high technological complexity and innovation-driven nature enable this industry chain to better leverage opportunities from digital transformation. Through rapid technological advancements and strong market demand, IC12 can sustain innovation vitality for a longer period, thereby driving industrial upgrading. This allows IC12 to maintain significant innovation benefits from digital transformation over time. In contrast, the IC11 chain (involving such products as motors, generators, and transformers) relies on relatively mature technological systems, with innovation primarily focused on product customization and production efficiency, rather than large-scale technological shifts. Therefore, its demand for new digital technologies is relatively low, which leads to more limited benefits from digital transformation, with diminishing returns appearing earlier in the process. Furthermore, the IC9 and IC10 chains (covering sectors such as machine tools, production lines, automobiles, aircraft, and rail transit equipment) face high fixed asset requirements and financial pressures, which slow down their digital transformation progress. These chains are largely concentrated in traditional manufacturing sectors, with fixed production models and limited demand for technological breakthroughs. As a result, their innovation efficiency in the digital transformation process is lower, and they experience more significant diminishing returns in the later stages of innovation. These differences reflect not only the varying levels of technological maturity within each sub-industrial chain, but also the saturation of market demand and the resource allocation challenges companies face when adapting to digital transformation, thereby influencing the release of innovation potential and the sustainability of transformation benefits.
5.2.3. Micro-Level: Enterprise Life Cycle Niche Positioning
The effects of digital transformation vary across different stages of a firm’s development due to technological challenges, market conditions, and resource allocation [64]. Drawing on corporate lifecycle theory and previous research [65], this study examined the heterogeneity in enterprise lifecycle niche positioning of SCMEs. The classification of each stage is provided in Table S4. Columns (1)–(3) of Table 10 show significant Digit coefficients for all stages, with the impact on innovation strongest for declining firms, followed by growing and mature firms. Columns (4)–(6) include the quadratic term Digit2, which shows that for declining firms, the coefficient is not significant, indicating a linear relationship. In contrast, for growing and mature firms, Digit2 is notable, but the turning points at 7.259 and 9.197 exceed the current levels of digital transformation. This implies that while nonlinear relationships are present in these stages, they monotonically increase at current digital transformation levels.
Table 10.
Enterprise lifecycle niche positioning heterogeneity.
The characteristics of an enterprise’s niche evolve throughout its lifecycle, and these changes significantly influence how digital transformation impacts innovation. In the growth stage, the enterprise’s niche is more dynamic and adaptable, allowing for rapid responsiveness to market fluctuations and emerging opportunities. Digital transformation at this stage facilitates the optimization of production processes, improves product quality, and enhances responsiveness to market demand. These improvements enable the firm to introduce new products, streamline operations, and explore untapped market segments, thus driving innovation [66]. In the maturity stage, however, the niche stabilizes, as the enterprise solidifies its technological capabilities and establishes its market position. At this point, digital transformation efforts are often focused on fine-tuning existing operations to increase efficiency, reduce costs, and maintain competitiveness. While digital tools may still enable incremental improvements, the pace and scope of innovation tend to slow due to the more rigid business environment and diminishing opportunities for radical change. In the decline stage, firms face heightened market pressures, technological stagnation, and the obsolescence of traditional business models. Digital transformation becomes critical at this stage for overcoming these challenges. By improving operational flexibility, upgrading product offerings, and enhancing customer engagement, digital transformation can revitalize a declining firm’s ability to innovate. This process becomes a catalyst for industrial upgrading, fostering new avenues for growth, and revitalizing market relevance. The variations in the flexibility, stability, and pressures associated with an enterprise’s niche across lifecycle stages lead to differing impacts of digital transformation on innovation. These lifecycle-driven niche dynamics are central to understanding the heterogeneous effects of digital transformation on firms at various stages of development.
6. Conclusions and Implications
6.1. Conclusions
Our study investigated how digital transformation influences the substantive innovation of SCMEs and its underlying mechanisms. The key findings are as follows:
First, digital transformation significantly enhances SCME substantive innovation performance, demonstrating a positive linear relationship, although the marginal effects may diminish, leading to an inverted U-shaped relationship at higher transformation levels.
Second, niche resource resilience enhances the innovation performance of SCMEs by boosting their adaptability and innovation capacity during digital transformation, thus strengthening their competitive edge. The study highlights the critical moderating role of human resource resilience (HRR) and capital resource resilience (CRR). SCMEs with strong HRR, particularly those supported by employees with international perspectives and technical expertise, can quickly adopt new technologies, driving innovation. Similarly, those with high CRR can secure continuous funding despite external constraints, ensuring ongoing investment in technology and innovation.
Third, niche structural resilience strengthens SCMEs’ ability to adapt to external changes, optimizing innovation resource allocation and boosting substantive innovation performance during digital transformation. The study shows that supply chain resilience (SCR) and shareholder governance resilience (SGR) play a key moderating role. A flexible supply chain enables rapid adaptation to market shifts and technological advancements, supporting digital transformation and innovation commercialization. Additionally, a diversified shareholder governance structure improves adaptability, enhances decision-making efficiency, and reduces reliance on external resources, better supporting the digital transformation process.
In addition, we explored the heterogeneity of niche positioning in the innovation effects of SCMEs’ digital transformation across macro-, meso-, and micro-levels:
First, the analysis of regional niche positioning at the macro-level revealed that differences in economic foundations, policy environments, and market maturity significantly influence the innovation outcomes of digital transformation. In developed regions, where digital transformation is largely complete, diminishing returns from excessive investment lead to potential resource misallocation, highlighting the need for resource allocation optimization. In contrast, underdeveloped regions, still in the early stages of digital transformation, can achieve significant innovation gains through continued investment and policy support.
Second, in analyzing industrial chain niche positioning at the meso-level, significant differences in innovation performance during digital transformation were observed across different industrial chains. SCMEs in high-end industrial chains, characterized by higher technological complexity and innovation potential, are better positioned to leverage the opportunities presented by digital transformation, thereby delaying the onset of diminishing returns. In contrast, those in low-end industrial chains, with more mature technologies and rigid business models, experience diminishing returns from digital transformation at an earlier stage. Further analysis revealed notable heterogeneity within high-end industrial chains, with subchains such as the computer, communication, and electronic equipment manufacturing industry chain (IC12) exhibiting the strongest response to digital transformation. Meanwhile, low-end industrial chains in traditional manufacturing sectors face significant innovation bottlenecks. Consequently, the impact of digital transformation on innovation varies across industrial chains, with high-end chains possessing stronger innovation-driving capabilities during the transformation process, while low-end chains require a greater focus on technological breakthroughs and adaptive business model adjustments.
Third, at the micro-level, the differing niche characteristics across lifecycle stages determine the varying effects of digital transformation on innovation. The study revealed significant differences in innovation outcomes due to digital transformation at various lifecycle stages. In the growth stage, SCMEs possess a relatively flexible niche, allowing for rapid adaptation to market changes. Digital transformation helps optimize production processes and enhance market responsiveness, thereby driving innovation. In the maturity stage, the niche becomes more stable, with established technological and market positions. Here, digital transformation focuses on optimizing existing operations and improving efficiency, although the pace and scope of innovation are somewhat constrained. In the decline stage, SCMEs face market pressures and technological bottlenecks, where digital transformation becomes crucial for overcoming challenges, improving product quality, and enhancing market responsiveness, significantly stimulating innovation and driving industrial upgrading.
This study has two main innovations. First, the existing literature mainly focused on the digital transformation of large enterprises, with less attention given to smaller-scale, highly competitive SCMEs. This study addressed this gap by focusing on the innovation capabilities of SCMEs during their digital transformation and their pathways for enhancement. Second, this study introduced and developed the theoretical framework of enterprise niche resilience, examining the moderating effects of resource resilience and structural resilience on innovation performance during digital transformation. It also explored the heterogeneity of SCMEs’ innovation outcomes under different niche positionings. This framework helps to better understand how SCMEs maintain competitiveness and achieve substantive innovation through flexible resource allocation and strategic adjustments in dynamic market environments.
The contributions of this study are as follows. Theoretically, the enterprise niche resilience framework developed in this research strengthens the integration of enterprise niche theory and resilience theory, providing a new perspective for research on digital transformation. Practically, the findings offer specific recommendations for policymakers to promote the digital transformation of SCMEs and enhance their innovation performance, helping them secure a competitive advantage in the global market and achieve long-term sustainable development.
6.2. Implications
As SCMEs undertake digital transformation, the following policy recommendations aim to tackle their specific challenges and boost substantive innovation:
First, optimize the digital transformation strategy and supply chain management. Tailor strategies to each digital transformation stage to prevent diminishing returns.
Second, strengthen international talent recruitment and development. Recruit talent with global perspectives to enhance technology application and market reach. Offer competitive salaries and clear career paths to retain talent, thereby driving digital transformation and sustained innovation.
Third, improve the financing environment. The government should lower financing costs for SCMEs through fiscal subsidies, tax incentives, and venture capital funds. Streamline approval processes, diversify financial products, and enhance financing efficiency. Financial institutions should increase transparency and support capital market development to help enterprises leverage digital transformation benefits.
Forth, enhance supply chain resilience and flexibility. SCMEs should focus on building adaptive supply chains that can quickly respond to market and technological changes. This includes diversifying suppliers, leveraging technology for real-time data sharing, and fostering closer collaboration with partners. Strengthening supply chain resilience will support digital transformation and maintain long-term competitiveness.
Fifth, optimize the shareholder structure. Adjust ownership structures to reduce concentration and personal decision-making risks. A balanced shareholder structure enhances flexibility and innovation capabilities, maximizing the benefits of digital transformation and boosting innovation vitality.
The government and relevant authorities should establish a stratified policy framework for SCMEs that addresses the unique challenges of digital transformation across macro-, meso-, and micro-perspectives, considering regional, industry chain, and business lifecycle differences.
First, optimize regional digital transformation strategies. In the eastern region, given the inverted U-shaped relationship between innovation performance and digital transformation, the government should prioritize resource allocation to high-tech enterprises. This includes bolstering R&D support, fostering deeper integration with global value chains, and improving technological infrastructure. Additionally, the government should focus on enhancing the quality of transformation efforts to avoid stagnation in innovation. In the central–western region, to accelerate digital transformation and promote balanced regional development, the government should provide targeted financial incentives (e.g., tax breaks and low-interest loans) for SCMEs. Furthermore, offering technology adoption grants to local industry clusters will help strengthen innovation capabilities, bridge the digital divide, and stimulate market integration.
Second, promote the tailored development of digital transformation within the manufacturing industry chain. High-end industry chain enterprises (e.g., computer and communication equipment manufacturing, precision instrument manufacturing) should prioritize continuous technological innovation. This can be achieved by offering incentives for R&D investments and facilitating access to advanced technologies, such as AI, IoT, and 5G. The government should support these enterprises through policies that encourage global market expansion and maintain technological leadership. Policies promoting trade and export, as well as cross-border R&D collaborations, should be prioritized to ensure competitiveness on the international stage. Conversely, low-end industry chain enterprises (e.g., food, textiles, and traditional energy industries) require additional technical support to enhance their value-added capabilities. The government should implement workforce training programs, provide financial subsidies for the adoption of digital tools, and support technology transfer initiatives to help these enterprises adapt to evolving market conditions and improve productivity. Financial incentives should be designed to address the diminishing marginal returns associated with traditional manufacturing processes and stimulate innovation within these sectors.
Third, support differentiated transformation based on the enterprise lifecycle stages. First, enterprises in the decline stage face considerable challenges, often due to market saturation or technological obsolescence. Governments should offer targeted assistance to these firms, including digital upskilling programs, tax incentives for technology adoption, and subsidies to facilitate transitions to new business models. In particular, fostering collaboration between these enterprises and research institutions will support product and process innovations that help overcome stagnation. Second, for enterprises in the growth stage, governments should prioritize providing scalable digital solutions, technology upgrades, and enhanced supply chain integration. These measures will support rapid expansion while ensuring operational efficiency. Policies should encourage the adoption of enterprise resource planning (ERP) systems, cloud technologies, and data analytics to optimize decision-making and drive sustainable growth. Third, for mature enterprises, the focus should be on supporting incremental innovations and improving operational efficiency. Governments can provide incentives for process optimization, advanced automation, and customer relationship management to help these enterprises maintain competitiveness. Measures may include subsidized access to Industry 4.0 technologies, regulatory support for product diversification, and financial schemes to mitigate operational risks.
6.3. Limitations and Future Directions
This study has two main limitations. First, the limited number of publicly listed companies among SCMEs restricts the sample size of the panel data. This constraint may affect the generalizability of the findings, as certain nuances and dynamic changes may not be fully captured, potentially influencing the representativeness of the results. Second, the focus of this study on SCMEs means that the findings are primarily applicable to this specific group, and may not be broadly applicable to other types or sizes of firms. Consequently, future research could expand the scope by investigating other types of enterprises in the digital transformation process, especially those with different market positionings and resource endowments.
Future research could take several directions. First, employing methodologies such as difference in differences (DID) to compare SCMEs with non-SCMEs could help enlarge the sample and enhance the external validity of the findings. This comparative approach would provide deeper insights into the unique characteristics of SCMEs and uncover the heterogeneous effects of digital transformation across different types of enterprises. Second, future studies could explore the digital transformation of enterprises across various industries and regions, examining how market and environmental conditions influence the innovation capabilities of firms. Additionally, with the continuous advancement of emerging technologies, future research could explore the role of technologies such as artificial intelligence and the Internet of Things in digital transformation, thus enriching the theoretical framework and providing more nuanced practical guidance.
Supplementary Materials
The following supporting information can be downloaded at: https://www.mdpi.com/article/10.3390/systems13040235/s1, Table S1: Two-digit industry codes for manufacturing; Table S2: Extraction of keywords of digital transformation indicators; Table S3: Classification of manufacturing industry chains; Table S4: Enterprise life cycle classification.
Author Contributions
Conceptualization, R.M. and J.Z.; methodology, R.M. and J.Z.; formal analysis, J.Z.; data curation, Y.X. and J.Z.; writing—original draft preparation, Y.X. and J.Z.; writing—review and editing, R.M. All authors have read and agreed to the published version of the manuscript.
Funding
This work was supported by the National Social Science Fund of China [Grant number 17BGL209].
Data Availability Statement
The data used in this study are available upon request. Please contact the corresponding author for access.
Conflicts of Interest
The authors declare no conflict of interest.
References
- Shi, J. Adaptive Change: Emerging Economy Enterprises Respond to the International Business Environment Challenge. Technovation 2024, 133, 102998. [Google Scholar] [CrossRef]
- GOSC, PRC. Central Committee of the Communist Party of China and State Council Issue “Overall Layout Plan for Digital China Construction”. Available online: https://www.gov.cn/zhengce/2023-02/27/content_5743484.htm (accessed on 23 August 2024).
- GOSC, PRC. Notice of the State Council on Issuing the “14th Five-Year” Plan for Digital Economy Development. Available online: https://www.gov.cn/zhengce/content/2022-01/12/content_5667817.htm (accessed on 23 August 2024).
- Xinhua News Agency Premier Li Qiang Presides Over State Council Executive Meeting, Approves “Manufacturing Digital Transformation Action Plan”. Available online: https://www.gov.cn/yaowen/liebiao/202405/content_6950510.htm (accessed on 23 August 2024).
- MIIT, PRC. Notice of the Ministry of Industry and Information Technology on Issuing the “Implementation Plan for the Cultivation and Enhancement of Manufacturing Single-Item Champion Enterprises”. Available online: https://wap.miit.gov.cn/jgsj/zfs/wjfb/art/2020/art_e20d4f03b3c74443a4f726071e18425c.html (accessed on 23 August 2024).
- MIIT, PRC; MST, PRC; MOF, PRC; MOC, PRC; SASACSC; CSRC Guiding Opinions on Accelerating the Cultivation and Development of High-Quality Manufacturing Enterprises. Available online: https://www.gov.cn/zhengce/zhengceku/2021-07/03/content_5622135.htm (accessed on 23 August 2024).
- MIIT, PRC. Notice from the General Office of the Ministry of Industry and Information Technology on the Selection, Identification, and Review Evaluation of Manufacturing Industry Single Champion Enterprises for 2023. Available online: https://www.miit.gov.cn/jgsj/zfs/gzdt/art/2023/art_69151b1c1165480c979d29c4a997a776.html (accessed on 23 August 2024).
- Kim, J.M.; Park, J.-H. When Is Digital Transformation Beneficial for Coupled Open Innovation? The Contingent Role of the Adoption of Industry 4.0 Technologies. Technovation 2024, 136, 103087. [Google Scholar] [CrossRef]
- He, W.; Zhang, Y.; Wang, M. Fintech, Supply Chain Concentration and Enterprise Digitization: Evidence from Chinese Manufacturing Listed Companies. Financ. Res. Lett. 2024, 59, 104702. [Google Scholar] [CrossRef]
- Senna, P.P.; Bonnin Roca, J.; Barros, A.C. Overcoming Barriers to Manufacturing Digitalization: Policies across EU Countries. Technol. Forecast. Soc. Change 2023, 196, 122822. [Google Scholar] [CrossRef]
- Jiang, W.; Li, J. Digital Transformation and Its Effect on Resource Allocation Efficiency and Productivity in Chinese Corporations. Technol. Soc. 2024, 78, 102638. [Google Scholar] [CrossRef]
- Adomako, S.; Nguyen, N.P. Digitalization, Inter-Organizational Collaboration, and Technology Transfer. J. Technol. Transf. 2024, 49, 1176–1202. [Google Scholar] [CrossRef]
- Ciarli, T.; Kenney, M.; Massini, S.; Piscitello, L. Digital Technologies, Innovation, and Skills: Emerging Trajectories and Challenges. Res. Policy 2021, 50, 104289. [Google Scholar] [CrossRef]
- Sherratt, F.; Ivory, C.; Sherratt, S.; Crawley, S. Organizing Construction Work: A Digital and Cooperative Way Forwards for Micro-Projects. Build. Res. Inf. 2022, 50, 559–573. [Google Scholar]
- Mahdiraji, H.A.; Yaftiyan, F.; Abbasi-Kamardi, A.; Jafari-Sadeghi, V.; Sahut, J.-M.; Dana, L.-P. A Synthesis of Boundary Conditions with Adopting Digital Platforms in SMEs: An Intuitionistic Multi-Layer Decision-Making Framework. J. Technol. Transf. 2023, 48, 1723–1751. [Google Scholar] [CrossRef]
- Rantala, T.; Ukko, J.; Nasiri, M.; Saunila, M. Shifting Focus of Value Creation through Industrial Digital Twins—From Internal Application to Ecosystem-Level Utilization. Technovation 2023, 125, 102795. [Google Scholar] [CrossRef]
- Fürstenau, D.; Baiyere, A.; Schewina, K.; Schulte-Althoff, M.; Rothe, H. Extended Generativity Theory on Digital Platforms. Inf. Syst. Res. 2023, 34, 1686–1710. [Google Scholar] [CrossRef]
- Li, J.; Saide, S.; Ismail, M.N.; Indrajit, R.E. Exploring IT/IS Proactive and Knowledge Transfer on Enterprise Digital Business Transformation (EDBT): A Technology-Knowledge Perspective. J. Enterp. Inf. Manag. 2021, 35, 597–616. [Google Scholar] [CrossRef]
- Meng, F.; Tian, Y.; Han, C.; Band, S.S.; Arya, V.; Alhalabi, M. Study on Value Symbiosis and Niche Evolution of the Corporate Venture Capital Ecological Community for Innovation and Knowledge. J. Innov. Knowl. 2023, 8, 100363. [Google Scholar] [CrossRef]
- Zhang, X.; Gao, C.; Zhang, S. The Niche Evolution of Cross-Boundary Innovation for Chinese SMEs in the Context of Digital Transformation——Case Study Based on Dynamic Capability. Technol. Soc. 2022, 68, 101870. [Google Scholar] [CrossRef]
- Do, H.; Budhwar, P.; Shipton, H.; Nguyen, H.-D.; Nguyen, B. Building Organizational Resilience, Innovation through Resource-Based Management Initiatives, Organizational Learning and Environmental Dynamism. J. Bus. Res. 2022, 141, 808–821. [Google Scholar] [CrossRef]
- Garrido-Moreno, A.; Martín-Rojas, R.; García-Morales, V.J. The Key Role of Innovation and Organizational Resilience in Improving Business Performance: A Mixed-Methods Approach. Int. J. Inf. Manag. 2024, 77, 102777. [Google Scholar] [CrossRef]
- Klein, S.P.; Spieth, P.; Söllner, M. Employee Acceptance of Digital Transformation Strategies: A Paradox Perspective. J. Prod. Innov. Manag. 2024, 41, 999–1021. [Google Scholar] [CrossRef]
- Opland, L.E.; Pappas, I.O.; Engesmo, J.; Jaccheri, L. Employee-Driven Digital Innovation: A Systematic Review and a Research Agenda. J. Bus. Res. 2022, 143, 255–271. [Google Scholar] [CrossRef]
- Cao, X.; Wang, Z.; Li, G.; Zheng, Y. The Impact of Chief Executive Officers’ (CEOs’) Overseas Experience on the Corporate Innovation Performance of Enterprises in China. J. Innov. Knowl. 2022, 7, 100268. [Google Scholar] [CrossRef]
- Li, Y.; Zhang, Y.A.; Shi, W. Navigating Geographic and Cultural Distances in International Expansion: The Paradoxical Roles of Firm Size, Age, and Ownership. Strateg. Manage. J. 2020, 41, 921–949. [Google Scholar] [CrossRef]
- Arslan, A.; Haapanen, L.; Ahokangas, P.; Naughton, S. Multicultural R&D Team Operations in High-Tech SMEs: Role of Team Task Environment and Individual Team Members’ Personal Experiences. J. Bus. Res. 2021, 128, 661–672. [Google Scholar] [CrossRef]
- Ibidunni, A.S.; Amankwah-Amoah, J.; Tantawy, A.A.; Kolawole, A.I. Navigating Borders, Cultivating Innovations: The Dynamic Role of Cross-Border Knowledge Transfer in SMEs. J. Technol. Transf. 2024, 1–24. [Google Scholar] [CrossRef]
- Lubacha, J. The Role of Regional Intangible Assets for the Innovation Activity of Enterprises: The Case of Polish Regions. J. Knowl. Econ. 2024, 15, 3635–3659. [Google Scholar] [CrossRef]
- Qureshi, S. Digital Transformation for Development: A Human Capital Key or System of Oppression? Inf. Technol. Dev. 2023, 29, 423–434. [Google Scholar] [CrossRef]
- Nicolás-Agustín, Á.; Jiménez-Jiménez, D.; Maeso-Fernandez, F. The Role of Human Resource Practices in the Implementation of Digital Transformation. Int. J. Manpow. 2021, 43, 395–410. [Google Scholar] [CrossRef]
- Nwankpa, J.K.; Roumani, Y.F. Remote Work, Employee Productivity and Innovation: The Moderating Roles of Knowledge Sharing and Digital Business Intensity. J. Knowl. Manag. 2024, 28, 1793–1818. [Google Scholar] [CrossRef]
- Zhou, Z.; Li, Z. Corporate Digital Transformation and Trade Credit Financing. J. Bus. Res. 2023, 160, 113793. [Google Scholar] [CrossRef]
- Magni, C.A.; Marchioni, A. Average Rates of Return, Working Capital, and NPV-Consistency in Project Appraisal: A Sensitivity Analysis Approach. Int. J. Prod. Econ. 2020, 229, 107769. [Google Scholar] [CrossRef]
- Zhuo, C.; Chen, J. Can Digital Transformation Overcome the Enterprise Innovation Dilemma: Effect, Mechanism and Effective Boundary. Technol. Forecast. Soc. Change 2023, 190, 122378. [Google Scholar] [CrossRef]
- Yu, Y.; Zeng, H.; Zhang, M. Digital Transformation for Supply Chain Collaborative Innovation and Market Performance. Eur. J. Innov. Manag. 2024. ahead-of-print. [Google Scholar] [CrossRef]
- Ishfaq, R.; Davis-Sramek, B.; Gibson, B. Digital Supply Chains in Omnichannel Retail: A Conceptual Framework. J. Bus. Logist. 2022, 43, 169–188. [Google Scholar] [CrossRef]
- Jiang, W.; Wang, X. Enterprise Digital Transformation Empowers Supply Chain Stability. Financ. Res. Lett. 2024, 66, 105693. [Google Scholar] [CrossRef]
- Song, H.; Chang, R.; Cheng, H.; Liu, P.; Yan, D. The Impact of Manufacturing Digital Supply Chain on Supply Chain Disruption Risks under Uncertain Environment—Based on Dynamic Capability Perspective. Adv. Eng. Inform. 2024, 60, 102385. [Google Scholar] [CrossRef]
- Malacina, I.; Teplov, R. Supply Chain Innovation Research: A Bibliometric Network Analysis and Literature Review. Int. J. Prod. Econ. 2022, 251, 108540. [Google Scholar] [CrossRef]
- Wang, M.; Lee, P.T.-W.; Chan, R.Y.K. A Study of the Role of Guanxi for Value-Added Supply Chain Innovation. Int. J. Logist. Res. Appl. 2023, 26, 20–36. [Google Scholar] [CrossRef]
- Shi, X.; Lin, Y.; Wang, Y. Institutional Investor Heterogeneity and Green Innovation in China: Does Digital Transformation Matter? Int. Rev. Econ. Financ. 2024, 93, 994–1014. [Google Scholar] [CrossRef]
- Sun, Y.; Wen, Y.; Jiang, S.; Zhang, H. The Ripple Effect of Environmental Shareholder Activism and Corporate Green Innovation: Evidence from Chinese Listed Companies. Int. Rev. Financ. Anal. 2024, 93, 103136. [Google Scholar] [CrossRef]
- García-Sánchez, I.-M.; Aibar-Guzmán, C.; Aibar-Guzmán, B. The Effect of Institutional Ownership and Ownership Dispersion on Eco-Innovation. Technol. Forecast. Soc. Change 2020, 158, 120173. [Google Scholar] [CrossRef]
- He, E.; Jacob, M.; Vashishtha, R.; Venkatachalam, M. Does Differential Taxation of Short-Term Relative to Long-Term Capital Gains Affect Long-Term Investment? J. Account. Econ. 2022, 74, 101479. [Google Scholar] [CrossRef]
- Du, S.; Cao, J. Non-Family Shareholder Governance and Green Innovation of Family Firms: A Socio-Emotional Wealth Theory Perspective. Int. Rev. Financ. Anal. 2023, 90, 102857. [Google Scholar] [CrossRef]
- Zhang, Q.; Jiang, C.; Liu, B.; Chan, K.C. Small but Salient: Minority Shareholders’ Innovation Attention in Interactive Online Platforms and Corporate Innovation. N. Am. J. Econ. Financ. 2024, 69, 102038. [Google Scholar] [CrossRef]
- Javeed, S.A.; Latief, R.; Jiang, T.; San Ong, T.; Tang, Y. How Environmental Regulations and Corporate Social Responsibility Affect the Firm Innovation with the Moderating Role of Chief Executive Officer (CEO) Power and Ownership Concentration? J. Clean. Prod. 2021, 308, 127212. [Google Scholar] [CrossRef]
- Wu, H.; Hu, S. The Impact of Synergy Effect between Government Subsidies and Slack Resources on Green Technology Innovation. J. Clean. Prod. 2020, 274, 122682. [Google Scholar] [CrossRef]
- Cailou, J.; Fuyu, Z.; Chong, W. Environmental Information Disclosure, Political Connections and Innovation in High-Polluting Enterprises. Sci. Total Environ. 2021, 764, 144248. [Google Scholar] [CrossRef]
- Zhang, W.; Liu, X. The Impact of Internet on Innovation of Manufacturing Export Enterprises: Internal Mechanism and Micro Evidence. J. Innov. Knowl. 2023, 8, 100377. [Google Scholar] [CrossRef]
- Leng, A.; Zhang, Y. The Effect of Enterprise Digital Transformation on Audit Efficiency—Evidence from China. Technol. Forecast. Soc. Change 2024, 201, 123215. [Google Scholar] [CrossRef]
- Belderbos, R.; Lokshin, B.; Boone, C.; Jacob, J. Top Management Team International Diversity and the Performance of International R&D. Glob. Strategy J. 2022, 12, 108–133. [Google Scholar] [CrossRef]
- Zhao, L.; Wang, Y. Financial Ecological Environment, Financing Constraints, and Green Innovation of Manufacturing Enterprises: Empirical Evidence From China. Front. Environ. Sci. 2022, 10, 891830. [Google Scholar] [CrossRef]
- Zhang, S.; Wu, Z.; He, Y.; Hao, Y. How Does the Green Credit Policy Affect the Technological Innovation of Enterprises? Evidence from China. Energy Econ. 2022, 113, 106236. [Google Scholar] [CrossRef]
- MIIT, PRC. Notice from the Ministry of Industry and Information Technology and the China Federation of Industrial Economics on the Announcement of the First Batch of Manufacturing Single Champion Demonstration (Cultivation) Enterprises List. Available online: https://wap.miit.gov.cn/jgsj/zfs/qypy/art/2020/art_e7e7268839ec44378a517a1434f9ed09.html (accessed on 25 August 2024).
- Fang, X.; Liu, M. How Does the Digital Transformation Drive Digital Technology Innovation of Enterprises? Evidence from Enterprise’s Digital Patents. Technol. Forecast. Soc. Change 2024, 204, 123428. [Google Scholar] [CrossRef]
- Lewbel, A. Constructing Instruments for Regressions With Measurement Error When No Additional Data Are Available, with An Application to Patents and R&D. Econometrica 1997, 65, 1201–1213. [Google Scholar] [CrossRef]
- Ayalew, M.M. Inter-Organizational Cooperation, Financial Constraints, and Firm’s Innovation: Evidence from Five African Countries. R D Manage. 2024. [Google Scholar] [CrossRef]
- Skilton, P.F.; Bernardes, E. Competition Network Structure and Product Market Entry. Strateg. Manag. J. 2015, 36, 1688–1696. [Google Scholar] [CrossRef]
- Bellamy, M.A.; Ghosh, S.; Hora, M. The Influence of Supply Network Structure on Firm Innovation. J. Oper. Manag. 2014, 32, 357–373. [Google Scholar] [CrossRef]
- Zimmerling, A.; Chen, X. Innovation and Possible Long-Term Impact Driven by COVID-19: Manufacturing, Personal Protective Equipment and Digital Technologies. Technol. Soc. 2021, 65, 101541. [Google Scholar] [CrossRef]
- Li, W.; Xu, J.; Ostic, D.; Yang, J.; Guan, R.; Zhu, L. Why Low-Carbon Technological Innovation Hardly Promote Energy Efficiency of China?—Based on Spatial Econometric Method and Machine Learning. Comput. Ind. Eng. 2021, 160, 107566. [Google Scholar] [CrossRef]
- Zhao, Q.; Li, Z.; Yu, Y. Does Top Management Quality Promote Innovation? Firm-Level Evidence from China. China Econ. Rev. 2021, 65, 101562. [Google Scholar] [CrossRef]
- Lu, J. Can the Green Merger and Acquisition Strategy Improve the Environmental Protection Investment of Listed Company? Environ. Impact Assess. Rev. 2021, 86, 106470. [Google Scholar] [CrossRef]
- Audretsch, D.B.; Belitski, M.; Caiazza, R.; Chowdhury, F.; Menter, M. Entrepreneurial Growth, Value Creation and New Technologies. J. Technol. Transf. 2023, 48, 1535–1551. [Google Scholar] [CrossRef]
Disclaimer/Publisher’s Note: The statements, opinions and data contained in all publications are solely those of the individual author(s) and contributor(s) and not of MDPI and/or the editor(s). MDPI and/or the editor(s) disclaim responsibility for any injury to people or property resulting from any ideas, methods, instructions or products referred to in the content. |
© 2025 by the authors. Licensee MDPI, Basel, Switzerland. This article is an open access article distributed under the terms and conditions of the Creative Commons Attribution (CC BY) license (https://creativecommons.org/licenses/by/4.0/).





