Pricing Decision-Making Considering Ambiguity Tolerance in Consumers: Evidence from Recycled Building Material Enterprises
Abstract
1. Introduction
1.1. Global Context and Challenges
1.2. Research Gaps and Problem Statement
1.3. Specific Objectives of the Study
2. Literature Review
2.1. Studies on Brand Building
2.2. Studies on Ambiguity Tolerance
2.3. Studies on Supply Chain Enterprise Management
3. Methodology
3.1. Model Descriptions
3.2. Assumptions
4. Modeling and Solution Strategies
4.1. Ambiguity Neutrality (NA)
4.2. Ambiguity Tolerance (TA)
5. Modeling Analysis
- (1)
- If , then ; if , then .
- (2)
- If , then .
- (1)
- If , then .
- (2)
- If , subject to , then ; if , then .
- (1)
- When , if , then ; if , under conditions , then ; and under conditions , then .
- (2)
- When , if , then .
- (1)
- If , then is negatively correlated with ; if , then is positively correlated with .
- (2)
- If , then is positively correlated with .
- Proposition 5.1.
- (1)
- If , then is negatively correlated with .
- (2)
- If , conditional on , then is negatively correlated with . Conditional on , is positively correlated with .
- Proposition 5.2.
- (1)
- When , is negatively correlated with if ; when , is negatively correlated with if . Conditional on , then is positively correlated with .
- (2)
- When , if , conditional on , is negatively correlated with . Conditional on , is positively correlated with ; if , then is negatively correlated with . If , conditional on , then is negatively correlated with . Conditional on , then is positively correlated with .
- (3)
- When , conditional on , is negatively related to if ; conditional on , is positively correlated with . If , then is negatively correlated with . If , conditional on , is negatively correlated with ; conditional on , is positively correlated with .
- (4)
- When , conditional on , is negatively related to if ; conditional on , is positively correlated with . If , then is negatively related to .
- Proposition 6.1.
- (1)
- When , if , then is negatively correlated with . If , conditional on , then is negatively correlated with ; conditional on , then is positively correlated with .
- (2)
- When , if , is negatively correlated with .
- Proposition 6.2.
- (1)
- When , if , is negatively correlated with ; if , conditional on , is negatively correlated with ; conditional on , is positively correlated with .
- (2)
- When , if , conditional on , is negatively correlated with ; conditional on , is positively correlated with .
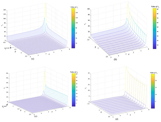
6. Numerical Simulation and Discussion
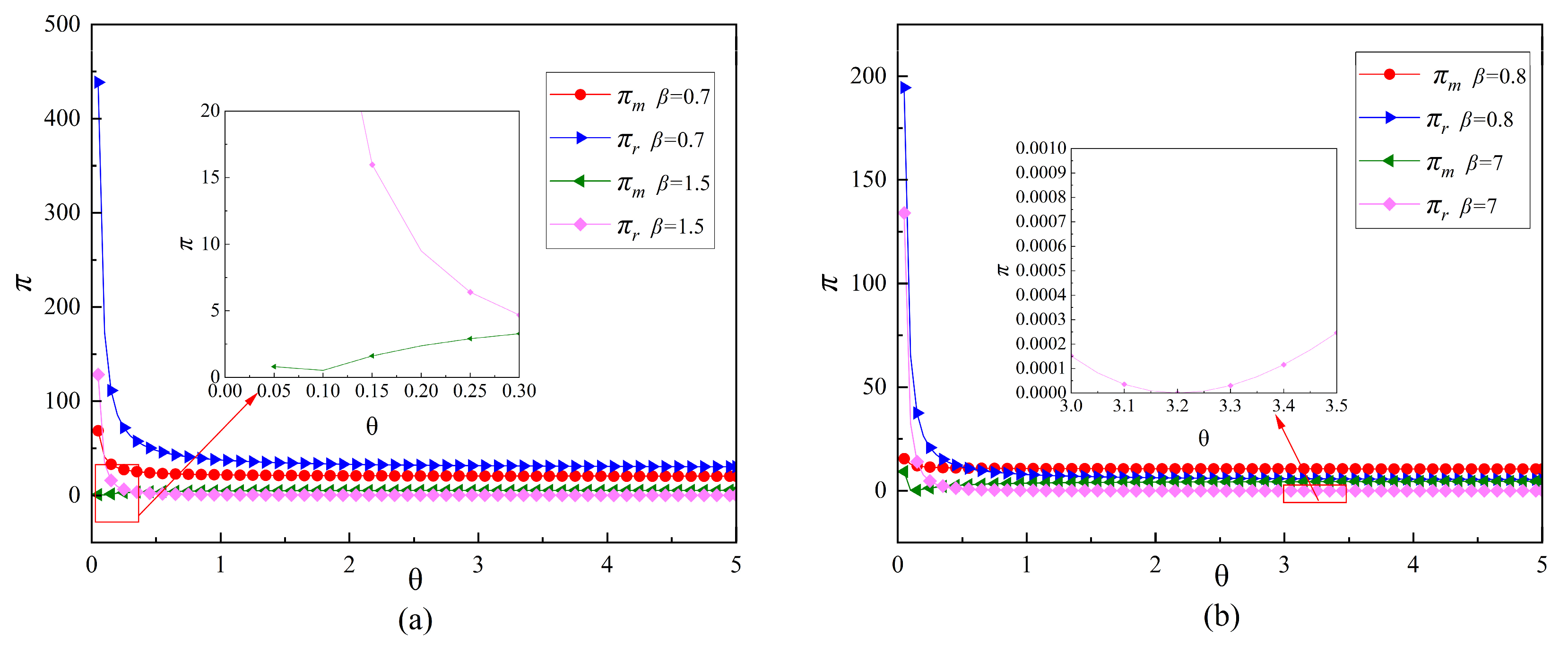
6.1. The Impact of Ambiguity Tolerance on the Selling Price of New and Recycled Building Materials
6.2. The Impact of Ambiguity Tolerance on the Profit of the BMM
6.3. The Impact of Ambiguity Tolerance on the Profitability of the BMR
6.4. Summary of the Main Results
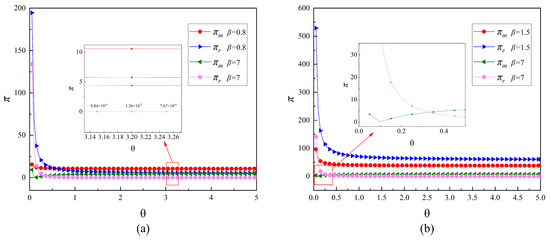
7. Sensitivity Analysis
7.1. Figure 5 Shows the Sensitivity Analysis of the Selling Prices of the BMM and the BMR to the Parameter h

7.2. Figure 6 Shows the Sensitivity Analysis of the Profits of the BMM and the BMR to Parameter h

7.3. Figure 7 Shows the Sensitivity Analysis of the Selling Prices of the BMM and the BMR to the Parameter β

7.4. Figure 8 Shows the Sensitivity Analysis of the Profits of the BMM and the BMR to Parameter β

8. Conclusions and Implications
8.1. Conclusions
- (1)
- The relationship between the selling price of new and recycled building materials and ambiguity tolerance in consumers is influenced by factors such as cost coefficients, which show different trends. For new products, the price of a new product is negatively correlated with ambiguity tolerance in consumers when the brand-building cost coefficient is less than the threshold value of 0.61. The opposite conclusion was reached for brand building cost coefficients greater than the threshold value of 0.61. For recycled building materials, ambiguity tolerance in consumers can lead to higher sales prices.
- (2)
- When the brand value of the BMM is greater than that of the BMR, for the BMM, profit is always negatively correlated with ambiguity tolerance in consumers when the brand-building cost coefficient is less than the threshold value of 0.61. With the cost coefficient above the threshold value of 0.61, there is a U-shaped trend between profit and ambiguity tolerance in consumers. For the BMR, when the operating cost savings are lower than , the conclusion is different from that of the previous case only in terms of the threshold, and the relationship between profit and ambiguity tolerance is the same. Profit is always negatively related to ambiguity tolerance in consumers when the operating cost savings are greater than .
- (3)
- When the brand value of the BMM is lower than that of the BMR, for the BMM, when the operating cost savings rate is less than and the cost coefficient is higher than the threshold value of 0.61, the profit and ambiguity tolerance of consumers exhibit a U-shaped trend. When the operating cost savings rate is greater than , profit and ambiguity tolerance are achieved by consumers, following a U-shaped trend with a cost coefficient below the threshold value of 1.62. When the operating cost savings rate is greater than and less than , there is a U-shaped trend between profit and ambiguity tolerance in consumers at cost coefficients below the threshold value of 1.36 and above the threshold value of 1.62. When the operating cost savings rate is higher than and lower than , the conclusions obtained are different from the previous case only in terms of thresholds but are otherwise the same. For the BMR, when the operating cost savings rate is lower than , there is a U-shaped trend in profits and ambiguity tolerance in consumers when the cost coefficient is above the threshold value of 0.45. Profit and ambiguity tolerance in consumers followed a U-shaped trend when the operating cost savings rate was higher than .
8.2. Theoretical Contributions
- (1)
- Extant research on ambiguity tolerance in consumers focuses only on the effect on the behavior or perception of consumers [44,64,90]. From the new perspective of the supply chain, this paper discusses the impact of ambiguity tolerance on the profitability and pricing decisions of construction waste recycling supply chain enterprises, taking into account the uncertainty of consumers about recycled building materials in reality.
- (2)
- Research reveals the impact of consumers’ green preferences and online shopping preferences on the profitability of supply chain enterprises [14,16]. In terms of building material supply chains, this paper highlights the role of the ambiguity tolerance of consumers in enterprises’ pricing decisions and profits, thus extending the research on the factors related to consumers’ influence on supply chain enterprises’ decisions and profits.
- (3)
- Previous studies on ambiguity tolerance have used statistical methods [41,43,44]. This paper introduces the variable of ambiguity tolerance into a mathematical model for the first time, creatively combines the Stackelberg game method and provides a new method for the subsequent quantitative impact of ambiguity tolerance.
8.3. Implications for Practice
- (1)
- In terms of pricing decisions, consumer ambiguity tolerance is a favorable factor for the BMR to set high selling prices. When facing consumers with high ambiguity tolerance, the BMM should actively invest in brand building to increase brand competitiveness to transform ambiguity tolerance into a favorable factor for increasing selling prices.
- (2)
- For the BMM, when the brand value is higher than the brand value of the BMR, ambiguity tolerance in consumers and brand-building costs should be considered in terms of corporate profitability. Higher brand-building costs moderate the negative impact of consumer ambiguity tolerance on enterprises’ profitability. Therefore, the BMM should actively implement brand building to turn ambiguity tolerance into a favorable factor for enterprises’ profitability in the face of consumers with high levels of ambiguity tolerance. When the brand value is lower than the brand value of the BMR, the operational efficiency of the company is also taken into account with respect to the profitability of the company. When operational efficiency is relatively high, greater ambiguity tolerance can be translated into favorable factors for reducing brand-building costs and realizing corporate cost reductions and sales profitability. When operational efficiency is relatively modest, relatively high ambiguity tolerance is a favorable factor for the profitability of the BMM in the presence of low and high brand-building costs. At this point, the BMM should sell the new product to consumers with high ambiguity tolerance to maximize profits. In other cases, ambiguity tolerance is detrimental to corporate profitability.
- (3)
- For the BMR, the profitability of the business should be considered along with the efficiency of the business operations, the cost of brand building and ambiguity tolerance in consumers. On the one hand, BMR should sell recycled building materials to consumers with a high tolerance for ambiguity to reduce the high costs associated with brand building, when the brand value is lower than that of the BMM and when operational efficiency is relatively low. When operational efficiency is relatively high, a relatively low tolerance for ambiguity becomes a favorable factor for the profitability of the BMR. At this point, the BMR should sell recycled building materials to consumers with low ambiguity tolerance and realize a profit. On the other hand, when the brand value is greater than that of the BMM, the BMR should actively improve operational efficiency within the business and reduce brand-building costs while selling recycled building materials to consumers with a high tolerance for ambiguity to improve business profitability and maximize profits.
- (4)
- This paper analyses the impact of ambiguity tolerance in consumers on the profitability of enterprises and provides theoretical guidance for building materials enterprises to make effective decisions in response to consumers’ ambiguity psychology. Enterprises can use the findings of this paper to overcome negative consumer perceptions of recycled building materials and will have a positive impact. First, a change in consumers’ attitudes toward recycled building materials stimulates the growth of market demand, prompting enterprises to increase their investment in brand building and improve product quality and innovation. Second, with the efforts of enterprises in all aspects, the recycled building materials market is gradually growing, which will improve the circular economy industry chain. From upstream CDW recycling treatment to middle remanufacturing and then to downstream sales and application, each link closely cooperates with each other and drives the synergistic development of the upstream and downstream industries. The improvement of the industrial chain and the synergistic development of industries not only create economic benefits but also bring many employment opportunities. These favorable results have laid a solid foundation for the sustainable development of a circular economy in the field of building materials.
8.4. Limitations and Future Research
- (1)
- Although the conclusions of this paper are verified by numerical simulation and sensitivity analysis, they have not yet been verified by practical experience, and the conclusions of this paper can be further researched and verified in the future through case studies and questionnaire research.
- (2)
- In the actual building materials market, building materials companies such as the BMM and BMR may show ambiguity tolerance. Therefore, future research can consider the cases of the BMM and BMR with ambiguity tolerance to make the model more realistic.
- (3)
- This paper does not consider other factors, such as competition, government policy and consumer preferences for sustainable development. The reason is that the focus of this paper is on consumer ambiguity tolerance and simplifying the model for easy analysis. Future research can consider other factors affecting corporate pricing and profitability on the basis of this paper to make the model more comprehensive and realistic.
- (4)
- Although information symmetry has been mentioned in the literature [72], information asymmetry may also exist in reality. In future studies, researchers can analyze the impact of information asymmetry scenarios in depth according to the model proposed in this paper.
- (5)
- The focus of the model in this paper is to consider that the two building materials enterprises, the BMM and BMR, are in a competitive relationship, and both aim to maximize their respective profits. Other game scenarios, such as cooperation and Pareto optimal outcome scenarios, are not considered. Future research can further explore other game scenarios, such as cooperation and Pareto optimal outcome scenarios, and expand the research on consumer ambiguity tolerance.
Author Contributions
Funding
Data Availability Statement
Conflicts of Interest
References
- Li, X.; Li, J.; Shen, Q. Infection Mechanism of Greenwashing Behavior of Construction Material Enterprises under Multi-Agent Interaction. Dev. Built Environ. 2024, 17, 100321. [Google Scholar] [CrossRef]
- Chen, L.; Zhang, Y.; Chen, Z.; Dong, Y.; Jiang, Y.; Hua, J.; Liu, Y.; Osman, A.I.; Farghali, M.; Huang, L.; et al. Biomaterials Technology and Policies in the Building Sector: A Review. Environ. Chem. Lett. 2024, 22, 715–750. [Google Scholar] [CrossRef]
- Xu, L.; Wang, J.; Hu, X.; Ran, B.; Wu, T.; Zhou, X.; Xiong, Y. Physical Performance, Durability, and Carbon Emissions of Recycled Cement Concrete and Fully Recycled Concrete. Constr. Build. Mater. 2024, 447, 138128. [Google Scholar] [CrossRef]
- Kong, M.; Ji, C.; Hong, T.; Kang, H. Impact of the Use of Recycled Materials on the Energy Conservation and Energy Transition of Buildings Using Life Cycle Assessment: A Case Study in South Korea. Renew. Sustain. Energy Rev. 2022, 155, 111891. [Google Scholar] [CrossRef]
- Ma, M.; Tam, V.W.; Le, K.N.; Osei-Kyei, R. Analysing the Impacts of Key Factors on the Price of Recycled Concrete: A System Dynamics Model. J. Build. Eng. 2023, 80, 108123. [Google Scholar] [CrossRef]
- Han, D.; Kalantari, M.; Rajabifard, A. The Development of an Integrated BIM-Based Visual Demolition Waste Management Planning System for Sustainability-Oriented Decision-Making. J. Environ. Manag. 2024, 351, 119856. [Google Scholar] [CrossRef] [PubMed]
- Tamer, Z.; Yoon, Y.; Hastak, M. Protocol for Profitability Analysis Using Internal Entities in Organizational Structure of Construction Companies. J. Constr. Eng. Manag. 2012, 138, 1394–1402. [Google Scholar] [CrossRef]
- Niu, B.; Wang, L. How Does Green Manufacturing Promote the Recycling of Renewable Solid Waste and Carbon Reduction? Resour. Conserv. Recycl. 2024, 203, 107410. [Google Scholar] [CrossRef]
- Lim, J.N.; Schultmann, F.; Ofori, G. Tailoring Competitive Advantages Derived from Innovation to the Needs of Construction Firms. J. Constr. Eng. Manag. 2010, 136, 568–580. [Google Scholar] [CrossRef]
- Santos-Vijande, M.L.; del Río-Lanza, A.B.; Suárez-Álvarez, L.; Díaz-Martín, A.M. The Brand Management System and Service Firm Competitiveness. J. Bus. Res. 2013, 66, 148–157. [Google Scholar] [CrossRef]
- China National Building Material Group Co., Ltd. Available online: https://www.cnbm.com.cn/CNBM/0000000700010008/66951.html (accessed on 24 November 2024).
- HOLCIM. Available online: https://www.holcim.com/innovation/rd-at-holcim (accessed on 24 November 2024).
- Sun, J.; Ma, B.; Wei, S. Same Gratitude, Different Pro-Environmental Behaviors? Effect of the Dual-Path Influence Mechanism of Gratitude on Pro-Environmental Behavior. J. Clean. Prod. 2023, 415, 137779. [Google Scholar] [CrossRef]
- Wang, R.; Zhou, X.; Li, B. Pricing Strategy of Dual-Channel Supply Chain with a Risk-Averse Retailer Considering Consumers’ Channel Preferences. Ann. Oper. Res. 2021, 309, 305–324. [Google Scholar] [CrossRef]
- Bera, S.; Giri, B.C. Impact of Consumer Preferences in a Cournot Duopoly Market with Heterogeneous Smart Sustainable Supply Chains. Nonlinear Dyn. 2024, 112, 15567–15599. [Google Scholar] [CrossRef]
- Wang, Y.; Hou, G. A Duopoly Game with Heterogeneous Green Supply Chains in Optimal Price and Market Stability with Consumer Green Preference. J. Clean. Prod. 2020, 255, 120161. [Google Scholar] [CrossRef]
- Ji, Z.; Liu, X.; Tang, D. Game-Theoretic Applications for Decision-Making Behavior on the Energy Demand Side: A Systematic Review. Prot. Control Mod. Power Syst. 2024, 9, 1–20. [Google Scholar] [CrossRef]
- Lauffer, N.; Ghasemi, M.; Hashemi, A.; Savas, Y.; Topcu, U. No-Regret Learning in Dynamic Stackelberg Games. IEEE Trans. Autom. Control 2023, 69, 1418–1431. [Google Scholar] [CrossRef]
- Meng, Q.; Li, M.; Liu, W.; Li, Z.; Zhang, J. Pricing Policies of Dual-Channel Green Supply Chain: Considering Government Subsidies and Consumers’ Dual Preferences. Sustain. Prod. Consum. 2021, 26, 1021–1030. [Google Scholar] [CrossRef]
- Niu, B.; Xu, H.; Chen, L. Creating All-Win by Blockchain in a Remanufacturing Supply Chain with Consumer Risk-Aversion and Quality Untrust. Transp. Res. Part E Logist. Transp. Rev. 2022, 163, 102778. [Google Scholar] [CrossRef]
- Kovalenko, L.; Sorescu, A.; Houston, M.B. What Brand Do I Use for My New Product? The Impact of New Product Branding Decisions on Firm Value. J. Acad. Mark. Sci. 2021, 50, 338–365. [Google Scholar] [CrossRef]
- Mullins, R.; Swain, S.; Friend, S.B. How and Should Firms Motivate Salesperson Effort across a Multi-Brand Portfolio? J. Bus. Res. 2023, 158, 113677. [Google Scholar] [CrossRef]
- Rego, L.; Brady, M.; Leone, R.; Roberts, J.; Srivastava, C.; Srivastava, R. Brand Response to Environmental Turbulence: A Framework and Propositions for Resistance, Recovery and Reinvention. Int. J. Res. Mark. 2021, 39, 583–602. [Google Scholar] [CrossRef]
- Arifoğlu, C.; Tang, C.S. Luxury Brand Licensing: Competition and Reference Group Effects. Prod. Oper. Manag. 2023, 32, 3227–3245. [Google Scholar] [CrossRef]
- Chakraborty, T.; Chauhan, S.S.; Huang, X. Quality Competition between National and Store Brands. Int. J. Prod. Res. 2021, 60, 2703–2732. [Google Scholar] [CrossRef]
- Kittaka, Y.; Pan, C. The Bright Side of Outside Market Entry with Manufacturer Encroachment. Transp. Res. Part E Logist. Transp. Rev. 2023, 180, 103358. [Google Scholar] [CrossRef]
- Vaidyanathan, R.; Aggarwal, P. Asymmetric Brand Alliances: When Joint Promotions with Strong Brands Hurt. J. Bus. Res. 2022, 141, 213–228. [Google Scholar] [CrossRef]
- Karray, S.; Martín-Herrán, G. The Impact of a Store Brand Introduction in a Supply Chain with Competing Manufacturers: The Strategic Role of Pricing and Advertising Decision Timing. Int. J. Prod. Econ. 2022, 244, 108378. [Google Scholar] [CrossRef]
- Hsiao, L.; Xiong, H. Store Brand Introduction, Retail Competition and Manufacturers’ Coping Strategies. Transp. Res. Part E Logist. Transp. Rev. 2022, 165, 102861. [Google Scholar] [CrossRef]
- Niu, B.; Yu, X.; Zeng, F. Remanufacturer’s Downstream Encroachment and Incumbent Brand’s Order Shifting in Pareto Improvement of Economic and Environmental Sustainability. Comput. Ind. Eng. 2023, 182, 109417. [Google Scholar] [CrossRef]
- Jena, S.K.; Sarmah, S.P.; Sarin, S.C. Price Competition between High and Low Brand Products Considering Coordination Strategy. Comput. Ind. Eng. 2019, 130, 500–511. [Google Scholar] [CrossRef]
- Ellsberg, D. Risk, Ambiguity, and the Savage Axioms. Q. J. Econ. 1961, 75, 643–669. [Google Scholar] [CrossRef]
- Ma, W.; Hao, J.L. Enhancing a Circular Economy for Construction and Demolition Waste Management in China: A Stakeholder Engagement and Key Strategy Approach. J. Clean. Prod. 2024, 450, 141763. [Google Scholar] [CrossRef]
- Pacheco, J.; de Brito, J. Recycled Aggregates Produced from Construction and Demolition Waste for Structural Concrete: Constituents, Properties and Production. Materials 2021, 14, 5748. [Google Scholar] [CrossRef] [PubMed]
- Jorge, E.; Lopez-Valeiras, E.; Gonzalez-Sanchez, M.B. The Role of Attitudes and Tolerance of Ambiguity in Explaining Consumers’ Willingness to Pay for Organic Wine. J. Clean. Prod. 2020, 257, 120601. [Google Scholar] [CrossRef]
- Xu, H.; Tracey, T.J.G. The Role of Ambiguity Tolerance in Career Decision Making. J. Vocat. Behav. 2014, 85, 18–26. [Google Scholar] [CrossRef]
- Fujikawa, H.; Aoki, T.; Son, D.; Hayashi, M.; Eto, M. Association between Tolerance for Ambiguity Specific to the Clinical Context and Empathy in Medical Trainees: A Multicenter Cross-Sectional Study in Japan. Med. Teach. 2023, 46, 512–518. [Google Scholar] [CrossRef] [PubMed]
- Hitsuwari, J.; Nomura, M. Ambiguity Tolerance Can Improve through Poetry Appreciation and Creation. J. Creat. Behav. 2022, 57, 178–185. [Google Scholar] [CrossRef]
- Fujikawa, H.; Son, D.; Hayashi, M.; Kondo, K.; Eto, M. Translation, Adaptation, and Validation of the Tolerance of Ambiguity in Medical Students and Doctors (TAMSAD) Scale for Use in Japan. BMC Med. Educ. 2023, 23, 405. [Google Scholar] [CrossRef] [PubMed]
- Leite-Mendes, F.; Delgado, L.; Ferreira, A.; Severo, M. The Effect of the Attitude towards Risk/Ambiguity on Examination Grades: Cross-Sectional Study in a Portuguese Medical School. Adv. Health Sci. Educ. 2024, 29, 1309–1321. [Google Scholar] [CrossRef] [PubMed]
- Endres, M.L.; Milner, M.; Camp, R.R. A Fly in the Soup? The Role of Ambiguity in Student Assessment. Int. J. Manag. Educ. 2022, 20, 100679. [Google Scholar] [CrossRef]
- Xu, H.; Hou, Z.-J.; Tracey, T.J.G.; Zhang, X. Variations of Career Decision Ambiguity Tolerance between China and the United States and between High School and College. J. Vocat. Behav. 2016, 93, 120–128. [Google Scholar] [CrossRef]
- Sung, S.Y.; Antefelt, A.; Choi, J.N. Dual Effects of Job Complexity on Proactive and Responsive Creativity: Moderating Role of Employee Ambiguity Tolerance. Group Organ. Manag. 2015, 42, 388–418. [Google Scholar] [CrossRef]
- Zhang, W.; Liu, L. Exploring Non-Users’ Intention to Adopt Ride-Sharing Services: Taking into Account Increased Risks due to the COVID-19 Pandemic among Other Factors. Transp. Res. Part A Policy Pract. 2022, 158, 180–195. [Google Scholar] [CrossRef] [PubMed]
- Lu, A.C.C.; Gursoy, D. A Conceptual Model of Consumers’ Online Tourism Confusion. Int. J. Contemp. Hosp. Manag. 2015, 27, 1320–1342. [Google Scholar] [CrossRef]
- Bušljeta Banks, I.; De Pelsmacker, P. Involvement, Tolerance for Ambiguity, and Type of Service Moderate the Effectiveness of Probability Marker Usage in Service Advertising. J. Advert. 2014, 43, 196–209. [Google Scholar] [CrossRef]
- Zhang, H.; Li, X.; Ding, Z. Optimal Supply Chain Performance: Risk Aversion to Green Innovation. Manag. Decis. 2024, 62, 3996–4020. [Google Scholar] [CrossRef]
- Zhu, J.; Zhang, H.; Chen, W.; Li, X. Operational Decisions of Construction and Demolition Waste Recycling Supply Chain Members under Altruistic Preferences. Systems 2024, 12, 346. [Google Scholar] [CrossRef]
- Zhang, S.; Shu, J.; Wang, X.; Zhang, Z. A Supply Chain System Involving the Interaction of Guarantee Finance with Product Quality and After-Sales Service. IEEE Trans. Eng. Manag. 2023, 71, 3414–3429. [Google Scholar] [CrossRef]
- Long, J.; Wang, F. Complexity of a Two-Stage R&D Game within a Cluster Supply Chain Considering Vertical R&D Spillovers, Effective Information, and Government Subsidies. Math. Comput. Simul. 2024, 221, 606–621. [Google Scholar] [CrossRef]
- Ji, C.-Y.; Tan, Z.-K.; Chen, B.-J.; Zhou, D.-C.; Qian, W.-Y. The Impact of Environmental Policies on Renewable Energy Investment Decisions in the Power Supply Chain. Energy Policy 2024, 186, 113987. [Google Scholar] [CrossRef]
- Wang, S.; Yan, H.; Chen, P. A Comparative Study of Carbon Emission Reduction Modes in Supply Chain under Carbon Tax Mechanism. Environ. Dev. Sustain. 2023. [Google Scholar] [CrossRef]
- Wang, D.; Du, G.; Jiao, R.J.; Wu, R.; Yu, J.; Yang, D. A Stackelberg Game Theoretic Model for Optimizing Product Family Architecting with Supply Chain Consideration. Int. J. Prod. Econ. 2016, 172, 1–18. [Google Scholar] [CrossRef]
- Cao, B.-B.; You, T.-H.; Ou, C.X.; Zhu, H.; Liu, C. Optimizing Payment Schemes in a Decentralized Supply Chain: A Stackelberg Game with Quality Investment and Bank Credit. Comput. Ind. Eng. 2022, 168, 108077. [Google Scholar] [CrossRef]
- Han, Y.; Zheng, H.; Huang, Y.; Li, X. Considering Consumers’ Green Preferences and Government Subsidies in the Decision Making of the Construction and Demolition Waste Recycling Supply Chain: A Stackelberg Game Approach. Buildings 2022, 12, 832. [Google Scholar] [CrossRef]
- Li, Y.; Wang, B.; Yang, Z.; Li, J.; Chen, C. Hierarchical Stochastic Scheduling of Multi-Community Integrated Energy Systems in Uncertain Environments via Stackelberg Game. Appl. Energy 2022, 308, 118392. [Google Scholar] [CrossRef]
- Adil, M.; Mahmud, M.A.P.; Kouzani, A.Z.; Khoo, S. Energy Trading among Electric Vehicles Based on Stackelberg Approaches: A Review. Sustain. Cities Soc. 2021, 75, 103199. [Google Scholar] [CrossRef]
- De, A.; Ray, A.; Kundu, T.; Sheu, J.-B. Is It Wise to Compete or to Collaborate? Remanufacturing Business Models under Collective Extended Producer Responsibility Legislation. Transp. Res. Part E Logist. Transp. Rev. 2023, 179, 103294. [Google Scholar] [CrossRef]
- De Araujo, V.; Christoforo, A. The Global Cross-Laminated Timber (CLT) Industry: A Systematic Review and a Sectoral Survey of Its Main Developers. Sustainability 2023, 15, 7827. [Google Scholar] [CrossRef]
- China Economic Net. 2024. Available online: http://www.ce.cn/xwzx/gnsz/gdxw/202204/05/t20220405_37461133.shtml (accessed on 24 November 2024).
- Chen, H.-C.; Liu, S.-M. Optimal Investments of Port Authorities Facing Ambiguity on Uncertain Market Demands. Transp. Res. Part B Methodol. 2024, 179, 102856. [Google Scholar] [CrossRef]
- Ray, A.; De, A.; Mondal, S.; Wang, J. Selection of Best Buyback Strategy for Original Equipment Manufacturer and Independent Remanufacturer–Game Theoretic Approach. Int. J. Prod. Res. 2020, 59, 5495–5524. [Google Scholar] [CrossRef]
- Cai, Y.-J.; Choi, T.-M.; Zhang, T. Commercial Used Apparel Collection Operations in Retail Supply Chains. Eur. J. Oper. Res. 2021, 298, 169–181. [Google Scholar] [CrossRef]
- Choi, T.-M. Pricing and Branding for Remanufactured Fashion Products. J. Clean. Prod. 2017, 165, 1385–1394. [Google Scholar] [CrossRef]
- Jiang, B.; Li, Q.; Li, J. Brand value, equity concerns and contractual coordination in shipping supply chains. China Manag. Sci. 2020, 1, 101–112. (In Chinese) [Google Scholar] [CrossRef]
- Zhou, Q.; Meng, C.; Sheu, J.-B.; Yuen, K.F. Remanufacturing Mode and Strategic Decision: A Game-Theoretic Approach. Int. J. Prod. Econ. 2023, 260, 108841. [Google Scholar] [CrossRef]
- Abedsoltan, H.; Allah Taleizadeh, A.; Bhaba Sarker, R. Optimal Production of Remanufactured Products with Collaboration and Co-Branding of Luxury Brands. Comput. Ind. Eng. 2022, 172, 108533. [Google Scholar] [CrossRef]
- Zhang, H.; Chen, W.; Peng, J.; Wang, Y.; Zeng, L.; Gao, P.; Zhu, X.; Li, X. Pricing Decisions in Construction and Demolition Waste Recycling Supply Chains under Carbon Tax Scenarios. Systems 2024, 12, 35. [Google Scholar] [CrossRef]
- Wang, S.; Wang, J.; Yang, F.; Wang, Y.; Li, J. Consumer Familiarity, Ambiguity Tolerance, and Purchase Behavior toward Remanufactured Products: The Implications for Remanufacturers. Bus. Strategy Environ. 2018, 27, 1741–1750. [Google Scholar] [CrossRef]
- Ma, X.-Y.; Sun, D.-Q.; Liu, S.-X.; Li, Y.-T.; Ma, H.-Q.; Zhang, L.-M.; Li, X. Optimal Decisions in a Sea-Cargo Supply Chain with Two Competing Freight Forwarders Considering Altruistic Preference and Brand Investment. Systems 2023, 11, 399. [Google Scholar] [CrossRef]
- Xie, G.; Yue, W.; Wang, S.; Lai, K.K. Quality Investment and Price Decision in a Risk-Averse Supply Chain. Eur. J. Oper. Res. 2011, 214, 403–410. [Google Scholar] [CrossRef]
- Heydari, J.; Govindan, K.; Basiri, Z. Balancing Price and Green Quality in Presence of Consumer Environmental Awareness: A Green Supply Chain Coordination Approach. Int. J. Prod. Res. 2020, 59, 1957–1975. [Google Scholar] [CrossRef]
- Zhou, C.; He, J.; Li, Y.; Chen, W.; Zhang, Y.; Zhang, H.; Xu, S.; Li, X. Green Independent Innovation or Green Imitation Innovation? Supply Chain Decision-Making in the Operation Stage of Construction and Demolition Waste Recycling Public-Private Partnership Projects. Systems 2023, 11, 94. [Google Scholar] [CrossRef]
- Fang, C.; Fan, S.; Qiu, Y. The Choice of Remanufacturing Strategy for the OEM with Third-Party Remanufacturers’ Advantages. Comput. Ind. Eng. 2023, 176, 108973. [Google Scholar] [CrossRef]
- Yang, L.; Gao, M.; Feng, L. Competition versus Cooperation? Which Is Better in a Remanufacturing Supply Chain Considering Blockchain. Transp. Res. Part E Logist. Transp. Rev. 2022, 165, 102855. [Google Scholar] [CrossRef]
- Chen, B.; Xie, W.; Huang, F.; Li, X. Energy-Saving and Pricing Decisions in a Sustainable Supply Chain Considering Behavioral Concerns. PLoS ONE 2020, 15, e0236354. [Google Scholar] [CrossRef]
- de Vicente Bittar, A. Selling Remanufactured Products: Does Consumer Environmental Consciousness Matter? J. Clean. Prod. 2018, 181, 527–536. [Google Scholar] [CrossRef]
- Xu, J.; Duan, Y. Pricing, Ordering, and Quick Response for Online Sellers in the Presence of Consumer Disappointment Aversion. Transp. Res. Part E Logist. Transp. Rev. 2020, 137, 101925. [Google Scholar] [CrossRef]
- Xu, X.; Jackson, J.E. Investigating the Influential Factors of Return Channel Loyalty in Omni-Channel Retailing. Int. J. Prod. Econ. 2019, 216, 118–132. [Google Scholar] [CrossRef]
- Zayas, V.; Shoda, Y.; Ayduk, O.N. Personality in Context: An Interpersonal Systems Perspective. J. Personal. 2002, 70, 851–900. [Google Scholar] [CrossRef] [PubMed]
- Liu, Y.; Li, J.; Ren, W.; Forrest, J.Y.-L. Differentiated Products Pricing with Consumer Network Acceptance in a Dual-Channel Supply Chain. Electron. Commer. Res. Appl. 2020, 39, 100915. [Google Scholar] [CrossRef]
- He, L.; Wang, H.; Liu, F. Emission Abatement in Low-Carbon Supply Chains with Government Subsidy and Information Asymmetry. Int. J. Prod. Res. 2024, 62, 6598–6626. [Google Scholar] [CrossRef]
- HENAN ENERGY GROUP CO., LTD. 2025. Available online: https://www.hnecgc.com.cn/2024/04-07/19276.html (accessed on 24 January 2025).
- Guangming Online. 2025. Available online: https://economy.gmw.cn/2022-12/27/content_36261756.htm (accessed on 24 January 2025).
- People’s Daily Online. 2025. Available online: http://opinion.people.com.cn/n1/2017/0410/c1003-29198023.html (accessed on 24 January 2025).
- Zhang, Y.; Chen, W. Optimal Operational and Financing Portfolio Strategies for a Capital-Constrained Closed-Loop Supply Chain with Supplier-Remanufacturing. Comput. Ind. Eng. 2022, 168, 108133. [Google Scholar] [CrossRef]
- Ma, P.; Wang, H.; Shang, J. Supply Chain Channel Strategies with Quality and Marketing Effort-Dependent Demand. Int. J. Prod. Econ. 2013, 144, 572–581. [Google Scholar] [CrossRef]
- He, P.; He, Y.; Xu, H. Product Variety and Recovery Strategies for a Manufacturer in a Personalised and Sustainable Consumption Era. Int. J. Prod. Res. 2021, 60, 2086–2102. [Google Scholar] [CrossRef]
- Xiao, M.; Gu, Q.; He, X.-S. Selection of Sales Mode for E-Commerce Platform Considering Corporate Social Responsibility. Systems 2023, 11, 543. [Google Scholar] [CrossRef]
- Hazen, B.T.; Overstreet, R.E.; Jones-Farmer, L.A.; Field, H.S. The Role of Ambiguity Tolerance in Consumer Perception of Remanufactured Products. Int. J. Prod. Econ. 2012, 135, 781–790. [Google Scholar] [CrossRef]




| Theme | Main Content | Reference | 
|---|---|---|
| Brand Building | Research on brand management within enterprises | [21,22] | 
| The role that competition or cooperation with external brands plays in affecting the enterprise | [23,24,25,26,27,28,29,30,31] | |
| Ambiguity Tolerance | Consumers’ ambiguous perceptions of recycled building materials and implications | [32,33,34] | 
| Ambiguity tolerance in consumers of recycled building materials and implications | [13,35,36,37,38,39,40,41,42,43,44,45,46] | |
| Supply Chain Enterprise Management | Impact of enterprise factors on supply chain enterprise management | [47,48,49] | 
| Impact of government factors on supply chain enterprise management | [50,51,52] | |
| Impact of consumer factors on supply chain enterprise management | [14,15,16] | 
| Parameter | Description | Reference | 
|---|---|---|
| Selling price of the new product | [62] | |
| Selling price of the recycled building material | [62] | |
| The building materials manufacturer’s (BMM) level of effort to increase brand value | [63] | |
| The building materials remanufacturer’s (BMR) level of effort to increase brand value | [63] | |
| Brand value of the BMM | [31] | |
| Brand value of the BMR | [31] | |
| Cost coefficient of brand building | [64] | |
| Operating cost savings of the enterprise, | [65] | |
| Consumer valuation of the new product | [66] | |
| Consumer demand for new products | [67] | |
| Consumer demand for recycled building materials | [67] | |
| Rate of change of marginal utility | [68] | |
| Consumer Ambiguous Tolerance of recycled building materials | [69] | |
| Consumer discount coefficients affecting the market value of recycled building materials, | [66] | |
| Standard deviation of the value coefficient per unit of recycled building material | [68] | 
| Comparison of BMM and BMR Brand Values | Profitability | ||
|---|---|---|---|
| or | (0.45, 0.61) (N) | − | |
| (0.61, +∞) (Y) | + | ||
| (0.45, +∞) (Y) | + | ||
| (0.61, +∞) (Y) | U | ||
| (0.61, 1.26) ∪ (1.36, 1.62) (N) | − | ||
| (1.34, +∞) (Y) | U | ||
| (0.45, +∞) (Y) | U | 
| Disclaimer/Publisher’s Note: The statements, opinions and data contained in all publications are solely those of the individual author(s) and contributor(s) and not of MDPI and/or the editor(s). MDPI and/or the editor(s) disclaim responsibility for any injury to people or property resulting from any ideas, methods, instructions or products referred to in the content. | 
© 2025 by the authors. Licensee MDPI, Basel, Switzerland. This article is an open access article distributed under the terms and conditions of the Creative Commons Attribution (CC BY) license (https://creativecommons.org/licenses/by/4.0/).
Share and Cite
Peng, J.; Zou, Y.; Zhang, H.; Zeng, L.; Wang, Y.; Li, X. Pricing Decision-Making Considering Ambiguity Tolerance in Consumers: Evidence from Recycled Building Material Enterprises. Systems 2025, 13, 98. https://doi.org/10.3390/systems13020098
Peng J, Zou Y, Zhang H, Zeng L, Wang Y, Li X. Pricing Decision-Making Considering Ambiguity Tolerance in Consumers: Evidence from Recycled Building Material Enterprises. Systems. 2025; 13(2):98. https://doi.org/10.3390/systems13020098
Chicago/Turabian StylePeng, Jie, Yuxi Zou, Hao Zhang, Lianghui Zeng, Yuhan Wang, and Xingwei Li. 2025. "Pricing Decision-Making Considering Ambiguity Tolerance in Consumers: Evidence from Recycled Building Material Enterprises" Systems 13, no. 2: 98. https://doi.org/10.3390/systems13020098
APA StylePeng, J., Zou, Y., Zhang, H., Zeng, L., Wang, Y., & Li, X. (2025). Pricing Decision-Making Considering Ambiguity Tolerance in Consumers: Evidence from Recycled Building Material Enterprises. Systems, 13(2), 98. https://doi.org/10.3390/systems13020098
 
        


 
       