Reliability Assessment for Multivariate Degradation System Based on Uncertainty and Chatterjee Correlation Coefficient
Abstract
1. Introduction
1.1. Motivation
1.2. Literature Review
1.3. Overview
2. Description of the System
3. Univariate Degradation Reliability Assessment Model Based on Wiener Process
3.1. Degradation Model Construction
3.2. State Space Model with Measurement Error
3.3. Reliability Assessment of Univariate Degradation Model
4. Vine Copula Reliability Assessment Model Based on Chatterjee Correlation Coefficient
4.1. The Theory of Chatterjee Correlation Coefficient
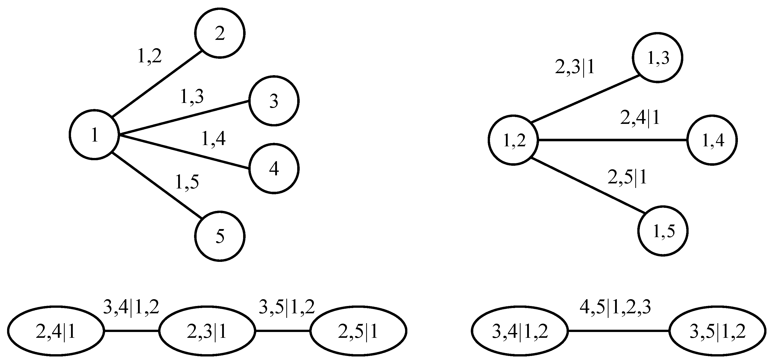
4.2. The Foundation of Vine Copula
4.3. Inference of Vine Copula Based on Chatterjee Correlation Coefficient
4.4. Reliability Assessment of Multivariate Degradation System
5. Parameter Estimation and Statistical Inference
5.1. Parameter Estimation of Univariate Degradation Model
5.2. Statistical Inference of Vine Copula
- For pair variables in the current tree, select candidate copula families and estimate their parameters;
- Choose the optimal copula based on AIC;
- Compute higher-order conditional distribution functions and transfer them to the next tree.
6. Numerical Example
7. Conclusions
- (1)
- The marginal degradation model was described by a general Wiener process containing two sources of uncertainty, and the corresponding parameter estimation method was provided. The nonparametric coefficient, the Chatterjee correlation coefficient, was also introduced to capture the nonlinear and asymmetric dependence among multivariate variables. A unified framework for uncertainty analysis of degradation mechanisms and decoupling of variable coupling effects was constructed. This method broke through the limitation of the traditional correlation coefficient (Kendall coefficient) on monotonic symmetric relationships.
- (2)
- The multivariate joint degradation model was constructed by the Vine copula technique, and the structure selection was optimized by the goodness-of-fit criterion. The numerical example showed that the reliability curve lies between two extreme assumptions of complete independence and complete dependence of variables, which is consistent with the physical properties of partial correlations in engineering practice.
- (3)
- The interpretability of reliability assessment model was enhanced by constructing a degradation dependence network using statistical models, such as Vine copula.
Author Contributions
Funding
Data Availability Statement
Acknowledgments
Conflicts of Interest
Nomenclature
| Number of degradation performance characteristics (PCs) | |
| Number of discrete measurement time points | |
| Number of samples | |
| discrete measurement time for PC of sample | |
| Measurement data at time | |
| Column vector composed of | |
| Column vector composed of | |
| / | The true degradation of PC for sample at discrete measurement time point |
| The observation of PC for sample at discrete measurement time point | |
| Normal distribution with mean and variance | |
| Initial degradation value of the population for PC | |
| Time scale function of degradation process | |
| Standard Brownian motion | |
| Drift coefficient of degradation process | |
| Diffusion coefficient of degradation process | |
| Measurement error of degradation process | |
| Standard deviation of measurement error | |
| Parameter vector in state space model | |
| Difference between and | |
| Difference between and | |
| Mean of random variable in parentheses | |
| Approximate lifetime PDF corresponding to PC (not considering ) | |
| Failure threshold of PC | |
| Approximate conditional lifetime PDF given the measurement error | |
| Approximate lifetime PDF corresponding to PC (considering ) | |
| Probability density function (PDF) of random variable in parentheses | |
| Lifetime PDF corresponding to PC (considering ) | |
| Reliability function corresponding to PC | |
| Chatterjee correlation coefficient to measure the degree of dependence of random variable on | |
| Rank of , number of such that | |
| Number of such that | |
| Limit of | |
| Given , conditional Chatterjee correlation coefficient between and | |
| Index of closest to | |
| Index of closest to | |
| Probability of event in parentheses | |
| Distribution function of the variable in parentheses | |
| Copula function connecting random variables in parentheses | |
| Set of all trees | |
| Edge of tree | |
| Set of all edges | |
| Two variables connected by edge | |
| Set of all conditional variables | |
| Lifetime corresponding to PC, time when the degradation value first reaches the threshold | |
| Mean matrix of sample | |
| Covariance matrix of sample | |
| Custom symmetric matrix for calculating | |
| / | Likelihood /log-likelihood function with parameter in parentheses |
| Number of unknown model parameters |
References
- Liu, Q.; Zhuo, J.; Lang, Z.; Qin, S. Perspectives on data-driven operation monitoring and self-optimization of industrial processes. Acta Autom. Sin. 2018, 44, 1944–1956. [Google Scholar]
- Li, X.; Duan, F.; Mba, D.; Bennett, I. Multidimensional prognostics for rotating machinery: A review. Adv. Mech. Eng. 2017, 9, 1–20. [Google Scholar] [CrossRef]
- Sun, F.; Fu, F.; Liao, H.; Xu, D. Analysis of multivariate dependent accelerated degradation data using a random-effect general Wiener process and D-vine Copula. Reliab. Eng. Syst. Saf. 2020, 204, 107168. [Google Scholar] [CrossRef]
- Zhang, H.; Zhou, D.; Chen, M.; Shang, J. FBM-Based Remaining Useful Life Prediction for Degradation Processes with Long-Range Dependence and Multiple Modes. IEEE Trans. Reliab. 2019, 68, 1021–1033. [Google Scholar] [CrossRef]
- Liang, X.; Liu, Y.; Chen, S.; Li, X.; Jin, X.; Du, Z. Physics-informed neural network for chiller plant optimal control with structure-type and trend-type prior knowledge. Appl. Energy 2025, 390, 125857. [Google Scholar] [CrossRef]
- Wang, Y.; Kang, R.; Chen, Y. Belief reliability modeling for the two-phase degradation system with a change point under small sample conditions. Comput. Ind. Eng. 2022, 173, 108697. [Google Scholar] [CrossRef]
- Yao, Y.; Han, T.; Yu, J.; Xie, M. Uncertainty-aware deep learning for reliable health monitoring in safety-critical energy systems. Energy 2024, 291, 130419. [Google Scholar] [CrossRef]
- Cheng, Y.; Qv, J.; Feng, K.; Han, T. A Bayesian adversarial probsparse Transformer model for long-term remaining useful life prediction. Reliab. Eng. Syst. Saf. 2024, 248, 110188. [Google Scholar] [CrossRef]
- Ghorbani, S.; Salahshoor, K. Estimating remaining useful life of turbofan engine using data-level fusion and feature-level fusion. J. Fail. Anal. Prev. 2020, 20, 323–332. [Google Scholar] [CrossRef]
- Lei, Y.; Li, N.; Guo, L.; Li, N.; Yan, T.; Lin, J. Machinery health prognostics: A systematic review from data acquisition to RUL prediction. Mech. Syst. Signal Process. 2018, 104, 799–834. [Google Scholar] [CrossRef]
- Ounoughi, C.; Yahia, S.B. Data fusion for ITS: A systematic literature review. Inf. Fusion 2023, 89, 267–291. [Google Scholar] [CrossRef]
- Liang, Q.; Yang, C.; Lin, S.; Hao, X. Multi-source information grey fusion method of torpedo loading reliability. Ocean Eng. 2021, 234, 109303. [Google Scholar] [CrossRef]
- Han, D.; Tian, J.; Xue, P.; Shi, P. A novel intelligent fault diagnosis method based on dual convolutional neural network with multi-level information fusion. J. Mech. Sci. Technol. 2021, 35, 3331–3345. [Google Scholar] [CrossRef]
- Duan, L.; Zhao, F.; Wang, J.; Wang, N.; Zhang, J. An integrated cumulative transformation and feature fusion approach for bearing degradation prognostics. Shock Vib. 2018, 2018, 9067184. [Google Scholar] [CrossRef]
- Ardeshiri, R.R.; Liu, M.; Ma, C. Multivariate stacked bidirectional long short term memory for lithium-ion battery health management. Reliab. Eng. Syst. Saf. 2022, 224, 108481. [Google Scholar] [CrossRef]
- Wang, D.; Liu, K. An integrated deep learning-based data fusion and degradation modeling method for improving prognostics. IEEE Trans. Autom. Sci. Eng. 2023, 21, 1713–1726. [Google Scholar] [CrossRef]
- Li, Q.; Ma, Z.; Li, H.; Liu, X.; Guan, X.; Tian, P. Remaining useful life prediction of mechanical system based on performance evaluation and geometric fractional Lévy stable motion with adaptive nonlinear drift. Mech. Syst. Signal Process. 2023, 184, 109679. [Google Scholar] [CrossRef]
- Gaw, N.; Yousefi, S.; Gahrooei, M.R. Multimodal data fusion for systems improvement: A review. IISE Trans. 2022, 54, 1098–1116. [Google Scholar] [CrossRef]
- Wen, P.; Li, Y.; Chen, S.; Zhao, S. Remaining useful life prediction of IIoT-enabled complex industrial systems with hybrid fusion of multiple information sources. IEEE Internet Things J. 2021, 8, 9045–9058. [Google Scholar] [CrossRef]
- Nelsen, R.B. An Introduction to Copulas; Springer: Berlin/Heidelberg, Germany, 2006. [Google Scholar]
- Yang, C.; Gu, X.; Zhao, F. Reliability analysis of degrading systems based on time-varying copula. Microelectron. Reliab. 2022, 136, 114628. [Google Scholar] [CrossRef]
- Zhang, Z.; Si, X.; Hu, C.; Lei, Y. Degradation data analysis and remaining useful life estimation: A review on Wiener-process-based methods. Eur. J. Oper. Res. 2018, 271, 775–796. [Google Scholar] [CrossRef]
- Shen, Y.; Shen, L.; Xu, W. A Wiener-based degradation model with logistic distributed measurement errors and remaining useful life estimation. Qual. Reliab. Eng. Int. 2018, 34, 1289–1303. [Google Scholar] [CrossRef]
- Dai, X.; Qu, S.; Sui, H.; Wu, P. Reliability modelling of wheel wear deterioration using conditional bivariate gamma processes and Bayesian hierarchical models. Reliab. Eng. Syst. Saf. 2022, 226, 108710. [Google Scholar] [CrossRef]
- Song, K. Multivariate degradation modeling and reliability evaluation using gamma processes with hierarchical random effects. J. Comput. Appl. Math. 2025, 465, 116591. [Google Scholar] [CrossRef]
- Fang, G.; Pan, R.; Wang, Y. Inverse Gaussian processes with correlated random effects for multivariate degradation modeling. Eur. J. Oper. Res. 2022, 300, 1177–1193. [Google Scholar] [CrossRef]
- Ye, Z.S.; Chen, N. The inverse Gaussian process as a degradation model. Technometrics 2014, 56, 302–311. [Google Scholar] [CrossRef]
- Zhuang, L.; Xu, A.; Wang, Y.; Tang, Y. Remaining useful life prediction for two-phase degradation model based on reparameterized inverse Gaussian process. Eur. J. Oper. Res. 2024, 319, 877–890. [Google Scholar] [CrossRef]
- Rodriguez-Picon, L.A. Reliability assessment for systems with two performance characteristics based on gamma processes with marginal heterogeneous random effects. Eksploat. I Niezawodn. 2017, 19, 8–18. [Google Scholar] [CrossRef]
- Pang, T.; Yu, T.; Song, B. RUL prediction for bivariate degradation process considering individual differences. Measurement 2023, 218, 113156. [Google Scholar] [CrossRef]
- Si, X.S.; Wang, W.; Hu, C.H.; Zhou, D.H. Estimating remaining useful life with three-source variability in degradation modeling. IEEE Trans. Reliab. 2014, 63, 167–190. [Google Scholar] [CrossRef]
- Si, X.S. An adaptive prognostic approach via nonlinear degradation modeling: Application to battery data. IEEE Trans. Ind. Electron. 2015, 62, 5082–5096. [Google Scholar] [CrossRef]
- Hao, S.; Yang, J.; Berenguer, C. Degradation analysis based on an extended inverse Gaussian process model with skew-normal random effects and measurement errors. Reliab. Eng. Syst. Saf. 2019, 189, 261–270. [Google Scholar] [CrossRef]
- Joe, H. Multivariate models and multivariate dependence concepts. CRC Press: Boca Raton, FL, USA, 1997.
- Bedford, T.; Cooke, R.M. Vines--a new graphical model for dependent random variables. Ann. Stat. 2002, 30, 1031–1068. [Google Scholar] [CrossRef]
- Fang, G.; Pan, R. On multivariate copula modeling of dependent degradation processes. Comput. Ind. Eng. 2021, 159, 107450. [Google Scholar] [CrossRef]
- Wen, B.; Xiao, M.; Zhao, X.; Ge, Y.; Li, J.; Zhu, H. Multivariate degradation system reliability analysis with multiple sources of uncertainty. Comput. Ind. Eng. 2023, 185, 109666. [Google Scholar] [CrossRef]
- Xu, D.; Xing, M.; Wei, Q.; Qin, Y.; Xu, J.; Chen, Y.; Kang, R. Failure behavior modeling and reliability estimation of product based on vine-copula and accelerated degradation data. Mech. Syst. Signal Process. 2018, 113, 50–64. [Google Scholar] [CrossRef]
- Ismail, M.S.; Masseran, N. Risk assessment for extreme air pollution events using vine copula. Stoch. Environ. Res. Risk Assess. 2024, 38, 2331–2358. [Google Scholar] [CrossRef]
- Bao, X.; Li, J.; Shen, J.; Chen, X.; Zhang, C.; Cui, H. Comprehensive multivariate joint distribution model for marine soft soil based on the vine copula. Comput. Geotech. 2025, 177, 106814. [Google Scholar] [CrossRef]
- Czado, C. Vine copula based structural equation models. Comput. Stat. Data Anal. 2025, 203, 108076. [Google Scholar] [CrossRef]
- Dissmann, J.; Brechmann, E.C.; Czado, C.; Kurowicka, D. Selecting and estimating regular vine copulae and application to financial returns. Comput. Stat. Data Anal. 2013, 59, 52–69. [Google Scholar] [CrossRef]
- Chatterjee, S. A new coefficient of correlation. J. Nonparametr. Stat. 2020, 32, 725–738. [Google Scholar] [CrossRef]
- Wu, B.; Zeng, J.; Shi, H.; Zhang, X.; Qin, Y. Remaining useful life prediction for multiple degradation indicators systems considering random correlation. Comput. Ind. Eng. 2023, 186, 109736. [Google Scholar] [CrossRef]
- Liu, S.; Jiang, H. Engine remaining useful life prediction model based on R-Vine copula with multi-sensor data. Heliyon 2023, 9, e17118. [Google Scholar] [CrossRef] [PubMed]
- Sun, F.; Liu, L.; Li, X.; Liao, H. Stochastic modeling and analysis of multiple nonlinear accelerated degradation processes through information fusion. Sensors 2016, 16, 1242. [Google Scholar] [CrossRef]
- Si, X.S.; Wang, W.; Hu, C.H.; Zhou, D.H.; Pecht, M.G. Remaining useful life estimation based on a nonlinear diffusion degradation process. IEEE Trans. Reliab. 2012, 61, 50–67. [Google Scholar] [CrossRef]
- Azadkia, M.; Chatterjee, S. A simple measure of conditional dependence. Ann. Stat. 2021, 49, 3070–3102. [Google Scholar] [CrossRef]
- Aas, K.; Czado, C.; Frigessi, A.; Bakken, H. Pair-copula constructions of multiple dependence. Insur. Math. Econ. 2009, 44, 182–198. [Google Scholar] [CrossRef]
- Saxena, A.; Goebel, K.; Simon, D.; Eklund, N. Damage propagation modeling for aircraft engine run-to-failure simulation. In Proceedings of the 2008 International Conference on Prognostics and Health Management, Denver, CO, USA, 6–9 October 2008; pp. 1–9. [Google Scholar]











| Sensor 7 | Sensor 9 | Sensor 12 | |
|---|---|---|---|
| Test statistic W | 0.98 | 0.98 | 0.99 |
| p value | 0.10 | 0.06 | 0.18 |
| Sensor 7 | Sensor 9 | Sensor 12 | ||||
|---|---|---|---|---|---|---|
| M0 | M1 | M0 | M1 | M0 | M1 | |
| 0.24 | 0.49 | 2.00 | 2.66 | 0.24 | 8.89 × 10−3 | |
| 0.37 | 0.90 | 1.52 | 5.72 | 1.51 × 10−5 | 0.85 | |
| 2.15 | 2.00 | 2.06 | 2.00 | 2.11 | 2.79 | |
| d | 4.67 | 3.27 | 0.46 | |||
| Log-LF | −409.53 | −507.17 | −1382.91 | −1552.11 | −482.15 | −311.88 |
| AIC | 827.06 | 1020.33 | 2773.82 | 3110.21 | 970.30 | 631.76 |
| PC | |||
|---|---|---|---|
| PC1 | 1 | 0.103 | 0.310 |
| PC2 | 0.109 | 1 | 0.112 |
| PC3 | 0.355 | 0.060 | 1 |
| PC | |||
|---|---|---|---|
| PC1 | 1 | 0.234 | 0.489 |
| PC2 | 0.234 | 1 | 0.280 |
| PC3 | 0.489 | 0.280 | 1 |
| Vine1 | Vine2 | Vine1 All t | Vine1 All Gauss | Vine1 All Joe | |
|---|---|---|---|---|---|
| Tree 1 | ![]() | ![]() | ![]() | ![]() | ![]() |
| Tree 2 | ![]() | ![]() | ![]() | ![]() | ![]() |
| No. of para | 3 | 3 | 6 | 3 | 3 |
| Log-LF | 45,384.01 | 45,345.44 | 3765.52 | 3869.32 | 45,064.07 |
| AIC | −90,762.01 | −90,684.87 | −7519.04 | −7732.63 | −90,122.01 |
| Vuong test | 6.37 (0.00) | 7.47 (0.00) | 7.45 (0.00) | 6.79 (0.00) |
Disclaimer/Publisher’s Note: The statements, opinions and data contained in all publications are solely those of the individual author(s) and contributor(s) and not of MDPI and/or the editor(s). MDPI and/or the editor(s) disclaim responsibility for any injury to people or property resulting from any ideas, methods, instructions or products referred to in the content. |
© 2025 by the authors. Licensee MDPI, Basel, Switzerland. This article is an open access article distributed under the terms and conditions of the Creative Commons Attribution (CC BY) license (https://creativecommons.org/licenses/by/4.0/).
Share and Cite
Tang, J.; Jiang, M.; Mao, Y. Reliability Assessment for Multivariate Degradation System Based on Uncertainty and Chatterjee Correlation Coefficient. Systems 2025, 13, 953. https://doi.org/10.3390/systems13110953
Tang J, Jiang M, Mao Y. Reliability Assessment for Multivariate Degradation System Based on Uncertainty and Chatterjee Correlation Coefficient. Systems. 2025; 13(11):953. https://doi.org/10.3390/systems13110953
Chicago/Turabian StyleTang, Jiayin, Mengjia Jiang, and Yamin Mao. 2025. "Reliability Assessment for Multivariate Degradation System Based on Uncertainty and Chatterjee Correlation Coefficient" Systems 13, no. 11: 953. https://doi.org/10.3390/systems13110953
APA StyleTang, J., Jiang, M., & Mao, Y. (2025). Reliability Assessment for Multivariate Degradation System Based on Uncertainty and Chatterjee Correlation Coefficient. Systems, 13(11), 953. https://doi.org/10.3390/systems13110953











