Next Article in Journal
Telehealth as a Sociotechnical System: A Systems Analysis of Adoption and Efficacy Among Older Adults Post-COVID-19
Previous Article in Journal
A Systematic Review of Generative AI in K–12: Mapping Goals, Activities, Roles, and Outcomes via the 3P Model
 
 
Font Type:
Arial Georgia Verdana
Font Size:
Aa Aa Aa
Line Spacing:
Column Width:
Background:
Article

Research on Cost-Sharing Contract Coordination Under Different Carbon Quota Allocation Mechanisms—Manufacturing Supply Chain Model Analysis

1
School of Management Science and Real Estate, Chongqing University, Chongqing 400044, China
2
Center for Construction Economy and Management, Chongqing University, Chongqing 400044, China
*
Author to whom correspondence should be addressed.
Systems 2025, 13(10), 841; https://doi.org/10.3390/systems13100841
Submission received: 19 August 2025 / Revised: 20 September 2025 / Accepted: 23 September 2025 / Published: 25 September 2025
(This article belongs to the Section Supply Chain Management)

Abstract

Against the background of carbon neutrality, the impact of carbon quota allocation mechanism on supply chain’s decision-making of emission reduction has received increasing attention. This study analyzes the optimal decision-making behavior of manufacturing supply chains under three mechanisms: completely free, complete auction and hybrid. Meanwhile, the abatement cost-sharing contract is introduced and the backward induction method is applied to solve the optimal equilibrium solution under each mechanism. Combined with numerical simulation, this study further investigates the impacts of market demand and cost-sharing coefficient changes on the system profit. The result shows that the abatement cost-sharing contract can significantly improve the level of manufacturers’ abatement and the total profit of the supply chain. Among the mechanisms analyzed, the hybrid mechanism realizes the balance between efficiency and incentives and demonstrates stronger adaptability and policy flexibility.

1. Introduction

As global climate change is worsening, the sustainable development of the environment, resources and economic systems is under growing pressure. The Paris Agreement sets a clear target of limiting global temperature rise to below 2 °C [1] and encourages countries to promote low-carbon transition through institutional frameworks. The carbon quota system has gradually become a core policy tool for governments to control carbon emissions and guide enterprises to reduce emissions. According to the research report of the United Nations Compact Organization, carbon emissions from supply chain activities account for about 60% of total global emissions, and manufacturers are usually the major carbon emitters in the supply chain [2]. Therefore, building a low-carbon supply chain has become a key link in the emission reduction strategy.
As one of the countries with the largest global carbon emissions [3], China has been continuously promoting the construction of and improvement in the carbon emission trading market since 2020, when it proposed the goal of reaching “carbon peak” by 2030 and “carbon neutrality” by 2060 [4]. In order to improve the carbon market trading system, the establishment and design of the carbon quota allocation system are crucial and also the key to promoting the optimal allocation of resources and green transformation and upgrading [5]. China has established eight regional carbon emission trading (CET) market pilots to curb carbon emissions and gradually achieve carbon neutrality goals [6]. Carbon trading is a model of emissions reduction, which is scaled up by quantitatively controlling carbon allowances and allowing enterprises to buy and sell carbon emission rights on the carbon trading market, thereby incentivizing enterprises to invest in carbon emission reduction. In the early stages of carbon market development, allowances were allocated entirely for free, with the aim of lowering corporate costs and encouraging their participation in the system. With the maturity of the carbon market, the government has gradually introduced paid allowances, the auction mechanism has prompted enterprises to internalize the carbon cost, and they have developed the hybrid carbon mechanism [7,8]. By setting different ratios of free and auctioned allowances, the carbon cost structure faced by manufacturers and retailers has changed accordingly, which triggers a readjustment of their production decisions, pricing behaviors, and willingness to reduce emissions.
Therefore, cost-sharing contracts have attracted widespread attention as an effective tool to harmonize emission reduction responsibilities with economic benefits. By constructing a reasonable sharing mechanism, manufacturers can share the emission reduction inputs with retailers to alleviate cost pressure and enhance the overall emission reduction efficiency of the supply chain [9,10]. However, the incentive effect of cost-sharing contracts may vary under different carbon allowance mechanisms due to different sharing factors and regional policies. Especially in the hybrid mechanism, how to balance the type of allowance, cost structure and market response becomes a key issue [11].
In real markets, many large manufacturers distribute their products across heterogeneous retail markets; they supply both large-scale chain retailers in first-tier cities and regional distributors in second- and third-tier cities. These markets are characterized by significant differences in carbon policy enforcement and consumer preferences: consumers in metropolitan areas, influenced by energy-efficiency subsidies and stronger environmental awareness, exhibit higher demand for low-carbon products, whereas those in less developed regions remain more price-sensitive [12]. This implies that supply chain systems, when formulating coordination decisions, need to fully account for external conditions such as the political environment and social needs of the regions.
A similar pattern can be observed in the energy sector. Under the constraints of the Dual Carbon goals, the coal industry must strike a balance between resilience of the industrial and supply chain system (RCICSC) and coal industrial efficiency (CIE) and construct comprehensive evaluation frameworks to examine their synergistic relationship [13], which also aligns with the core analytical approach of this study. However, existing literature has rarely integrated cost-sharing contracts with carbon quota allocation mechanisms to develop a unified analytical framework, thereby limiting in-depth exploration of the coordination and balance between profit objectives and emission reduction investments within supply chain systems.
To address this gap, this study incorporates two heterogeneous retailers into the supply chain model, thereby providing a more realistic depiction of multi-channel distribution and uncovering how different carbon quota allocation mechanisms shape emission reduction, pricing, and cost-sharing decisions across distinct retail markets.

2. Literature Review

Extensive research has examined the coordinating role of cost-sharing contracts in low-carbon supply chains, particularly in enhancing overall system profitability. For instance, Banerjee and Lin analyzed bilateral cooperation and determined cost-sharing ratios based on incremental profits from collaboration [14]. To compare cooperative and non-cooperative strategies in R&D, Ma and Guo formulated a game-theoretical model and designed two types of cost-sharing contracts. Their findings indicate that coordinated decision-making via contracts can outperform pure collaborative R&D in terms of efficiency [15]. Extending this line of research, Ghosh and Shah developed a green cost-sharing game model involving manufacturers and retailers, deriving optimal sharing ratios that maximize both greenness and profit [16]. Zhi proposed a Stackelberg game framework to capture strategic interactions within the supply chain and derived a theoretically optimal carbon reduction strategy [17]. A supply chain model composed of a single manufacturer and retailer, under the assumption of consumer preference for low-carbon products, was established by Xu, and it showed that emission-reduction option contracts can facilitate effective supply chain coordination [18]. Most existing studies tend to construct a simple two-tier supply chain consisting of a single manufacturer and a single retailer, with little attention paid to scenarios involving multiple retailers distributing to different regions. However, in reality, the presence of multiple retailers more accurately reflects actual market conditions and therefore offers greater research value.
Beyond the cost-sharing contracts, governments across the globe have enacted a variety of economic policies in response to the high levels of carbon emissions, and the Carbon Quota Trading (CQT) market stands out as a potent market-based instrument [19]. Peng examined the joint effects of carbon quota and subsidy policies, suggesting that sharing low-carbon costs among manufacturers leads to more efficient supply chain decisions [20]. Jiang developed a differential game model to show that a benchmarking-based allocation system significantly enhances both emission reduction efforts and advertising investments by supply chain members, outperforming grandfathering in improving product reputation [21]. In a capital-constrained e-commerce context, Wang investigated the role of grandfathering and baseline systems under a carbon buyback policy, identifying optimal allocation strategies across carbon-saving scenarios [22]. Based on the Stackelberg game model, Yang evaluated various quota allocation mechanisms. Their results indicate that free allocation provides the strongest incentives for emission reduction and demand growth across the supply chain [23]. Li Biao compared emission reduction investment strategies between component suppliers and manufacturers and confirmed that centralized decision-making under carbon trading can enhance supply chain revenue [24]. However, most of these studies focus on the impact of environmental and low-carbon policies within a single region, without considering the distribution of products across different regions. This omission may overlook the fact that manufacturers and retailers will face heterogeneous market policies, which can lead to divergent decision-making behaviors.
With the enhancement of consumers’ awareness of environmental protection, the market demand for green products is also growing. Ma’s research employed carbon quota mechanisms to show how firms optimize pricing and emission levels in response to green consumer demand [25]. In the closed-loop supply chains, it was demonstrated by Chen that a synergistic effect between consumer environmental awareness and government subsidies can significantly increase both manufacturers’ emission reduction efforts and profits [26]. Long-term cooperation between manufacturers and distributors was explored by Xu, with findings indicating that consumers’ low-carbon preferences serve as a key driving force for both parties to engage in coordinated emission reduction through cost-sharing contracts [27]. Zhang constructed a revenue model to analyze the impact of supply chain strategy choices around consumers’ environmental awareness and carbon quota trading mechanism. The results highlight how carbon-related incentives can shape firms’ operational decisions [28]. Du confirmed in an emission-sensitive supply chain model that the intensity of consumer preferences is positively correlated with supply chain abatement strategies and channel profits, and that emission-related contracts can effectively coordinate decision-making [29]. Similarly to studies on carbon policy, research on consumer environmental awareness has largely focused on comparing scenarios with and without such awareness. However, few works have integrated consumer preferences with the heterogeneity of low-carbon policies across regions, leaving a gap in understanding how these factors jointly influence supply chain decision-making.
Taken together, the existing literature predominantly concentrates on dyadic supply chain structures consisting of a single manufacturer and a single retailer. While this simplification has provided useful theoretical insights, it neglects the reality that many industries, such as consumer electronics, fast-moving consumer goods and household appliances, are characterized by multi-retailer distribution structures and highly segmented markets. Moreover, most prior studies treat carbon policies in a uniform manner, overlooking the significant heterogeneity across regions in terms of carbon taxation, allocation rules, and consumer environmental preferences. These limitations make it difficult to fully capture how carbon quota mechanisms interact with cost-sharing contracts in more complex supply chain settings.
To bridge this gap, the present study develops a low-carbon supply chain model with one manufacturer and two heterogeneous retailers under three carbon quota allocation mechanisms. By introducing both the diversity of retail markets and the coordination effects of cost-sharing contracts, this research advances the existing literature and provides more realistic implications for firms seeking to improve supply chain performance under differentiated carbon policy environments. Especially under the context of accelerating the expansion of the national carbon market [30] and the significant differences in the regional carbon policies, how to improve the overall low-carbon performance of the supply chain through optimization of internal coordination contracts has become a key issue, which is both challenging and urgent in the process of achieving the “dual carbon” goals.

3. Model Establishment

3.1. Problem Description

In supply chain operation, manufacturers may sell their products to multiple markets at the same time. And there exists policy heterogeneity and differences in consumer preferences in different market areas. In the production field, in the supply chain structure composed of manufacturers and retailers, there is a situation where the manufacturer plays the leading role in the Stackelberg game and has the ability to determine the level of carbon emission reduction and wholesale prices, while retailers need to set their own retail prices based on the manufacturer’s strategy [11]. Therefore, the production-distribution system can be defined as a supply model in which a manufacturer produces and sells in two markets with different attributes. Considering the differences in carbon policies and consumer environmental awareness in different regions [31], this research sets the region with strong environmental awareness, strict market policies, and high carbon tax collection as Retailer 1, and the region with relatively strong environmental awareness, strict market policies, and high carbon tax collection as Retailer 2. At the same time, the manufacturing industry has a certain degree of stability, and the sensitivity of consumers to emission reduction levels is relatively stable, which can be used to better characterize the impact of policy mechanisms on the game structure and emission reduction strategies between supply chain entities. Based on the market principle, in this research, manufacturers and retailers are defined as completely rational entities, who can make the best choice based on fully shared information in the decision-making process [32]. At the same time, because the carbon market generally adopts the average price auction mechanism, all successful bidders obtain carbon emission quotas at a unified clearing price [33]. Research of the model intends to construct the supply chain of manufacturers in two consumer markets with different attributes and explore the emission reduction and pricing strategies of enterprises under different carbon quota mechanisms.

3.2. Parameters

The manufacturer of the supply chain system set up in this research produces a uniform product and sells it to two retailers at wholesale prices w1, w2, and the retailer sells the product to the consumer market at retail prices p1, p2 [34].
In order to achieve the abatement targets, manufacturer needs to invest in abatement costs Ce, and the carbon abatement level of manufacturer’s e ∈ [0, 1]. The maximum market potential demand in each market when the retail price and the abatement level are zero is a1, a2; the sensitivity of each market to the retail price is b1, b2; the intensity of consumer preference for low-carbon products in the two markets is λ1, λ2 [35]. Retailer 1 and Retailer 2 face different carbon tax rates t1 and t2, with t1 > t2 [36]. Parameters in the model are summarized in the Table 1 below.

3.3. Objective Function of the Model

The consumers’ purchasing behavior is mainly influenced by price and carbon reduction level [37,38]. So, the demand functions of the two retailers in their respective markets can be expressed as follows, where b2 > b1, λ 1  >  λ 2 , e ∈ [0, 1]:
q 1 = a 1 b 1 p 1 + λ 1 e
q 2 = a 2 b 2 p 2 + λ 2 e
To reach the emission reduction target [39], manufacturer needs to bear the emission reduction cost as: C e = k e 2 , where the emission reduction growth coefficient k > 0.
If a cost-sharing contract mechanism exists between the manufacturer and the seller, the manufacturer’s profit function is defined as revenue minus production expenses and the carbon costs incurred.
π m = i = 1 2 w i c q i β C e
The retailer’s profit function is the profit on sales minus its share of the abatement costs, which also takes into account the impact of the carbon tax [40], where t1 > t2:
π r 1 = p 1 w 1 t 1 q 1 α 1 β C e
π r 2 = p 2 w 2 t 2 q 2 1 α 1 β C e
The maximization of the total profit is considered as the optimization objective and constructs the following mathematical planning model:
m a x w 1 , w 2 , p 1 , p 2 , e = π m + π r 1 + π r 2
This setting reflects typical real-world scenarios of cross-regional or multi-channel distribution, where a manufacturer supplies products to two retailers operating under different policy environments or market conditions. Such situations are common in practice, when a manufacturer simultaneously sells to regions with stricter versus looser carbon regulations, by employing this simplified structure, the model provides clear insights into how different carbon allowance mechanisms and cost-sharing contracts influence the decisions of supply chain members and the overall system coordination.
In order to distinguish the parameters and optimal solutions for various cases, the research denotes the contract-free and abatement cost-sharing contract as N and R; and denotes F, A, and H as the completely free mechanism, the complete auction mechanism and the hybrid mechanism, respectively.

4. Analysis

According to the above settings, the total carbon allowance under the hybrid mechanism can be expressed by the equation Q = F + QA + QT, when the carbon emissions of the manufacturer do not exceed the amount of free allowances allocated by the government, no additional carbon allowances need to be purchased, which is equivalent to the completely free mechanism [41]. When no free allowances are provided by the government, the manufacturer must purchase all carbon allowances through the carbon auction market, and the hybrid mechanism is transformed into a complete auction mechanism. So, the hybrid carbon allowance mechanism can be regarded as a broad form of the completely free mechanism and the complete auction mechanism, and its specific shape is determined by the government’s free carbon allowance allocation F and the manufacturers’ carbon emission demand Q. By adjusting the ratio of free to auctioned allowances and setting appropriate auction pricing rules, the government can flexibly shift the mechanism along a spectrum between these two extremes.

4.1. Description of Three Mechanism

4.1.1. Completely Free Mechanism

Under the completely free mechanism, regulated enterprises are granted a certain amount of free carbon emission allowances. When the scale of these allowances exceeds the enterprises’ actual carbon emissions, the enterprises can sell the surplus portion in the carbon market to obtain economic returns; if the scale of these allowances is insufficient to cover the enterprises’ actual carbon emissions, they need to purchase the deficit in the carbon market to meet compliance requirements.

4.1.2. Complete Auction Mechanism

When all carbon allowances are allocated through market auctions, firms are required to purchase the required carbon allowances through bidding, which can be regarded as the complete auction mechanism. The manufacturer must consider not only the trade-off between emission reduction and increased market demand, but also explicitly factor the carbon auction price into the profit optimization problem [42]. In this mechanism, the auction price is determined by market demand and supply, and the funds are usually used for environmental subsidies or carbon emission reduction technology research [43]. The research assumes that manufacturers can always obtain the amount of carbon allowances they need in the auction market, with no overflow or shortage of allowances.

4.1.3. Hybrid Mechanism

The manufacturer’s carbon emissions are greater than the amount of free carbon allowances issued by the government. The manufacturer must first acquire the necessary additional allowances through the auction market. If the allowances obtained via auction are still insufficient, the remaining shortfall must be covered by purchasing permits from the secondary carbon market. Under this mechanism, enterprises can optimize their carbon management by trading carbon allowances or investing in low-carbon technologies, thus achieving the overall carbon emission reduction target while reducing the emission reduction cost [44]. Similarly to the previous section, the auction method in this section still adopts the uniform-price mechanism.

4.2. Calculation Process and Results

This research acknowledges that providing detailed solution processes for all three mechanisms individually would introduce redundancies and obscure the core methodology. To preserve methodological integrity while enhancing precision and readability, the research focuses on the full free allocation mechanism as a representative case, providing a comprehensive exposition of the backward induction method’s application steps, computational logic, and derivation process within this framework. Analytical outcomes for the remaining two carbon quota mechanisms are presented systematically in tabular form in subsequent sections.
Under the completely free mechanism, manufacturer does not need to bear the direct economic costs about carbon emissions but only needs to take into account the impacts of the abatement investment cost [45] and the cost-sharing of the supply chain cooperation [46].

4.2.1. Contract-Free Supply Chain Decision-Making

No abatement contract between the supply chain means that the manufacturer has to bear the abatement investment cost Ce alone, so the profit function of the manufacturer is π m = i = 1 2 w i c q i k e 2 , and the profit functions of the two retailers, respectively, are   π r 1 = p 1 w 1 t 1 a 1 b 1 p 1 + λ 1 e and π r 2 = p 2 w 2 t 2 a 2 b 2 p 2 + λ 2 e .
If a cost-sharing contract mechanism exists between the manufacturer and the seller, the manufacturer’s profit function is defined as revenue minus production expenses and the carbon costs incurred. This research chooses to use the inverse induction method [47], within the Stackelberg game, the manufacturer acts as the leader, while the two retailers function as followers: the manufacturer set the wholesale price w1, w2 and the carbon reduction level “e” first. The retailers observe the manufacturer’s decision and decide their retail prices p1, p2. The retailers’ objective is to choose their optimal retail price p to maximize their profit, which requires taking the first-order derivative of their respective profit functions with respect to p1 and p2, respectively:
π r 1 p 1 = a 1 2 b 1 p 1 + b 1 w 1 + b 1 t 1 + λ 1 e
π r 2 p 2 = a 2 2 b 2 p 2 + b 2 w 2 + b 2 t 2 + λ 2 e
Solve for the optimal retail price by making the above two first order derivatives equal to 0, respectively [48]:
p 1 = a 1 + b 1 t 1 + w 1 + e λ 1 2 b 1
p 2 = a 2 + b 2 t 2 + w 2 + e λ 2 2 b 2
Given the assumption of complete information sharing within the supply chain, the result of Equations (9) and (10) can be substituted into the manufacturer’s profit function:
π m = e 2 k + 1 2 w 1 c a 1 + e λ 1 b 1 t 1 b l w 1 + w 2 c a 2 + e λ 2 b 2 t 2 b 2 w 2
The manufacturer maximizes profit by setting wholesale prices and the carbon reduction level [49]. The optimal wholesale prices w1 and w2 are derived by differentiating the profit function with respect to each price variable.
w 1 = a 1 + b 1 c t 1 + e λ 1 2 b 1
w 2 = a 2 + b 2 c t 2 + e λ 2 2 b 2
The expression is derived by substituting the manufacturer’s wholesale prices to the two retailers into the manufacturer’s profit function:
π m = a 1 + e λ 1 b 1 t 1 a 1 + e λ 1 b 1 t 1 2 b 1 w 1 4 b 1 + a 2 + e λ 2 b 2 t 2 a 2 + e λ 2 b 2 t 2 2 b 2 w 2 4 b 2 ) e 2 k
Taking the first-order derivative of Equation (12) with respect to “e”:
e = b 2 λ 1 2 a 1 b 1 c + 2 t 1 + w 1 + b 1 λ 2 2 a 2 b 2 c + 2 t 2 + w 2 2 4 b 1 b 2 k b 2 λ 1 2 b 1 λ 2 2
Substituting “e” into Equations (9), (10), (12) and (13), respectively:
p 1 N F = a 1 + b 1 c b 1 t 1 λ 2 2 8 b 2 k + 2 b 2 λ 1 2 c + t 1 + λ 1 λ 2 b 2 c + b 2 t 2 a 2 2 b 1 λ 2 2 + b 2 λ 1 2 8 b 1 b 2 k
p 2 N F = ( a 2 + b 2 c b 2 t 2 ) ( λ 1 2 8 b 1 k ) + 2 b 1 λ 2 2 ( c + t 2 ) + λ 1 λ 2 ( b 1 c + b 1 t 1 ) a 1 2 ( b 1 λ 2 2 + b 2 λ 1 2 8 b 1 b 2 k )
w 1 N F = ( a 1 + b 1 c b 1 t 1 ) ( λ 2 2 8 b 2 k ) + 2 c b 2 λ 1 2 + λ 1 λ 2 ( b 2 c + b 2 t 2 ) a 2 2 ( b 1 λ 2 2 + b 2 λ 1 2 8 b 1 b 2 k )
w 2 N F = ( a 2 + b 2 c b 2 t 2 ) ( λ 1 2 8 b 1 k ) + 2 c b 1 λ 2 2 + λ 1 λ 2 ( b 1 c + b 1 t 1 ) a 1 2 ( b 1 λ 2 2 + b 2 λ 1 2 8 b 1 b 2 k )
Then, the optimal solution “e” can be found as:
e N F = b 2 a 1 b 1 c + t 1 λ 1 + b 1 a 2 b 2 c + t 2 λ 2 8 b 1 b 2 k b 2 λ 1 2 b 1 λ 2 2
where b2 > b1, λ 1 > λ 2 , t1 > t2, k > 0.
In this research, the overall profit of the supply chain is the sum of the profits of the internal members of the supply chain, i.e., π t = π r 1 + π r 2 + π m .
Based on the previous parameters, the value of π t R F can be calculated as follows:
π t R F = 1 8 b 1 b 2 [ a 1 2 b 2 + a 2 2 b 1 + b 1 b 2 c 2 b 1 + b 2 8 b 1 b 2 e 2 k + b 1 2 b 2 t 1 2 + 4 c t 1   + b 1 b 2 2 t 2 2 + 4 c t 2 + b 1 2 b 2 2 c w 1 2 t 1 w 1 2 w 1 2   + b 1 b 2 2 2 c w 2 2 t 2 w 2 2 w 2 2 + b 2 e 2 λ 1 2 + b 1 e 2 λ 2 2   4 b 1 b 2 c e λ 1 + λ 2 2 b 1 b 2 e t 1 λ 1 + t 2 λ 2   + 2 b 1 b 2 e w 1 λ 1 + w 2 λ 2 + 2 a 1 b 2 b 1 2 c t 1 + w 1 + e λ 1   + 2 a 2 b 1 b 2 2 c t 2 + w 2 + e λ 2
Since the computed equilibrium solutions are overly complex, in order to avoid redundancy in the article, this research will no longer present the profit calculation process for each individual case but will instead analyze the profits under different mechanisms directly through the data of simulation figures.
While the result adopts a static Stackelberg game framework to derive equilibrium strategies, the model can be further extended to a dynamic optimization setting. In such a framework, emission-reduction processes and consumer demand fluctuations could be characterized as stochastic variables [50].

4.2.2. Supply Chain Decision-Making Under the Cost-Sharing Contract

Assuming that the manufacturer bears β, the manufacturer’s profit function: π m R F = i = 1 2 w i c q i β k e 2 , the two retailers share (1 − β) jointly and the sharing ratio between them is α, with retailer 1 sharing α(1 − β) and retailer 2 sharing (1 − α)(1 − β), so the profit functions of the two retailers : π r 1 R F , π r 2 R F .
Because the computational procedure under this scenario is same as the no-contract case under the completely free mechanism, the results can be derived as follows:
e R F = b 2 a 1 b 1 c + t 1 λ 1 + b 1 a 2 b 2 c + t 2 λ 2 8 b 1 b 2 k β b 2 λ 1 2 b 1 λ 2 2
Similarly, w 1 R F , w 2 R F , p 1 R F , p 2 R F can be derived by applying the analogous computational procedure previously. Compared with the no-contract scenario, the implementation of cost-sharing contract alleviates manufacturer’s carbon cost burden, increasing the emission reduction level. This change not only reduces the manufacturer’s own carbon-related expenditures but also influences the market demand of two retailers [51].
In order to clarify the differences among the scenarios under the three carbon quota mechanisms, the profit function expressions are summarized as follows.
Table 2 demonstrates the calculation method of the reverse induction method will not alter the structure form of the pricing function under each mechanism, both the wholesale and the retail price are always positively correlated with the carbon emission reduction level “e”, reflecting the systematic impact of emission reduction investment on pricing strategies through the cost transmission mechanism [52]. To enhance clarity and avoid redundancy, this research will not repeat the derivation of the expression of the retail price and the wholesale price, the emission reduction levels “e” under different mechanisms are summarized in the following table:
As evidenced in Table 3, the denominator in the carbon emission reduction level “e” expression decreases under all mechanisms due to the parametric condition β < 1. Consequently, the cost-sharing contract consistently yields significantly higher emission reduction levels compared to scenarios without contractual provisions. This indicates that the cost-sharing contract effectively reduces the manufacturer’s marginal cost of emission reduction through internal risk transfer, thereby strengthening its willingness to engage in emission reduction decisions.
In green supply chain management, small and medium-sized suppliers often occupy a relatively weaker position, with limited influence over pricing compared with core enterprises [53]. Similarly, within the supply chain, retailers may find themselves disadvantaged due to differences in market size, consumer preferences, or cost structures, and weaker retailers are more likely to face higher carbon cost pass-through pressures. Introducing a cost-sharing contract can mitigate these disadvantages by redistributing part of the abatement costs, thereby alleviating profit pressures and enhancing the weaker retailers’ willingness to participate in emission reduction. Furthermore, as highlighted in recent studies on horizontal supply chain collaboration [54], coordination among firms at the same level can generate additional synergy effects, but requires careful consideration of all parties’ interests. This suggests that in supply chain management, whether addressing vertical coordination or horizontal collaboration, mechanisms should be designed to ensure both fairness and system-wide sustainability.
When the consumers’ low-carbon preference λ approaches zero, their purchasing decisions are scarcely influenced by the level of emission reduction. In this case, the incentive for emission reduction stems solely from external policy constraints such as carbon taxes or quota mechanisms. As observed from the equilibrium expressions in Table 3, if the carbon policy is relatively lenient (completely free mechanism), e tends toward zero, indicating that manufacturers lack strong incentives to abate emissions. By contrast, under the complete auction or hybrid mechanism, the value of e remains positive, implying that even when consumers show no preference for low-carbon attributes, firms are compelled to reduce emissions in order to mitigate auction or trading expenditures. This leads to the conclusion that consumer preferences primarily drive market-based incentives for emission reduction, while carbon policies provide institutional incentives.
When the carbon auction price reaches excessively high levels, the value of e declines significantly, while the carbon cost expenditures increase sharply, severely compressing the profit margins of both manufacturer and retailers. For retailers, if carbon costs are passed on to retail prices and consequently trigger a sharp decline in demand, their profits may turn negative, eventually forcing some retailers to exit the market. Such outcomes not only undermine the stability of the supply chain but may also increase market concentration, thereby reshaping the competitive landscape. This finding shows that when determining auction prices, government must strike an appropriate balance between incentivizing emission reduction and safeguarding market stability.

5. Simulation Research

In previous sections, the optimal equilibrium solutions in the supply chain with and without a cost-sharing contract were derived under the three carbon allowance mechanisms using backward induction. The results show that variations in carbon cost allocation among supply chain members result in different emission reduction decisions by manufacturers. These, in turn, influence wholesale and retail pricing strategies, ultimately leading to variations in the overall profitability of the supply chain.
To validate the analytical results and illustrate how key parameter variations affect overall supply chain profitability, this research further employs numerical simulations. By constructing numerical models and plotting the corresponding trend graphs in MATLAB R2024a [55], the performances of the supply chain under the three allocation mechanisms are compared, which impact of market demand on overall profit as scenario 1 and impact of cost-sharing coefficients on overall profit as scenario 2.

5.1. Impact of Market Demand on Overall Profit

According to the existing research [10], the simulation parameters are set to be:
b1 = 1.2, b2 = 1.5, λ1 = 0.8, λ2 = 0.6, t1 = 5, t2 = 3, c = 10, k = 2, α = 0.4, β = 0.6.
The study of the changes in the overall profits of the supply chain as a1, a2 vary in [0, 200], respectively, in the change in the overall profit of the supply chain when it varies within the range.

5.1.1. Completely Free Mechanism (Scenario 1)

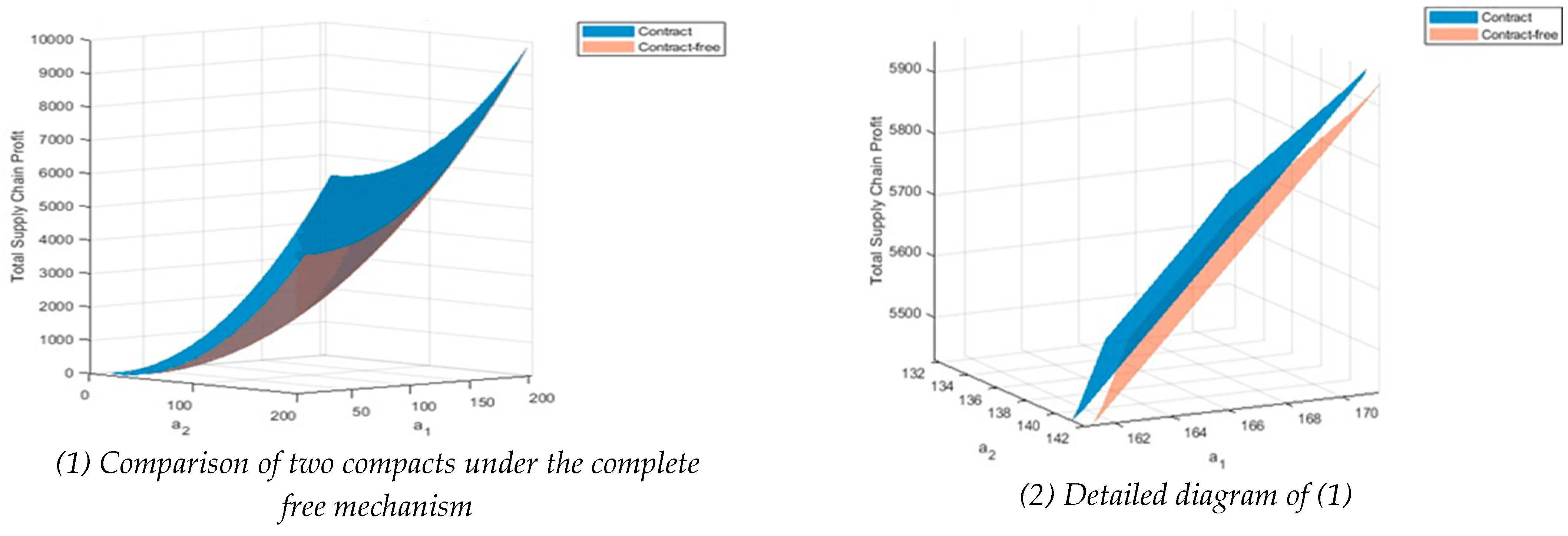
Figure 1 illustrates that across the entire range, the orange area (without cost-sharing contract) does not appear in the diagram, as only the blue area (with cost-sharing contract) is visible. This indicates that the overall profit of the supply chain is consistently lower in the absence of a cost-sharing contract, thereby demonstrating that the introduction of a cost-sharing mechanism can significantly enhance overall profitability of the supply chain.
To more clearly and intuitively illustrate the profit gap between the two scenarios, the figure above is further expanded in the following diagram:
As shown in Figure 2, under the same market-based demand conditions, the adoption of the abatement cost-sharing contract reduces the burden of abatement inputs on the manufacturer. This results in stronger incentives for carbon abatement, which not only improves the manufacturer’s own profitability, but also improves the downstream retailer’s market response due to the enhancement of the product’s green attributes, thus improving the profitability of the whole system.
In addition, the figure shows that profits increase significantly with higher values of a1 and a2, suggesting that higher baseline market demand from both retailers leads to greater overall profitability. Compared to the no-contract scenario, profits grow faster when a cost-sharing contract is implemented, reflecting that the contractual mechanism can more fully utilize its incentive effect under high demand regions.
It is worth noting that under the completely free mechanism, regardless of whether or not a cost-sharing contract is introduced, the overall profit is positive, and the maximum profit can exceed 10,000. This finding suggests that the completely free allocation mechanism substantially reduces the cost burden of emission reduction for manufacturers, thereby offering stable profit safeguards for supply chain participants, fostering early engagement in green investment and collaborative emission reduction initiatives [56].
Given that the figures have already employed two colors to clearly show the difference between the contract and no-contract scenarios. To avoid redundancy, this research will omit the display of subsequent detailed diagrams. Instead, the analysis will primarily be presented through textual interpretation.

5.1.2. Complete Auction Mechanism (Scenario 1)

As shown in Figure 3, under most combinations of market-based demand parameters, the supply chain achieves higher overall profits after the introduction cost-sharing contracts for emission reduction. This result suggests that cost-sharing contracts are crucial for establishing coordination between upstream and downstream firms and improving the profitability of the supply chain. Despite the increase in market potential, when the basic market demand keeps rising, the supply chain’s profit exhibits a significant downward trend. Moreover, the maximum profit reaches only around 2000, representing a substantial decrease compared with the maximum profit of 10,000 under the completely free mechanism. In some high-demand regions, the overall profit even turns negative.
The fundamental reason for this phenomenon lies in the requirement, under the complete auction mechanism, for manufacturers to purchase emission allowances entirely in accordance with their actual carbon emissions. As rising market demand boosts product sales, carbon emissions grow accordingly, leading to a sharp increase in allowance purchases and auction-related costs for manufacturers. This heavy carbon cost burden significantly reduces manufacturer’s profit and may be transmitted to the entire supply chain [57], potentially triggering systemic financial risks.
However, comparison between the contract and no-contract scenarios reveals that, although losses may still occur under high-demand conditions, the implementation of a cost-sharing mechanism effectively mitigates manufacturers’ burden associated with emission reduction investments and the acquisition of carbon allowances. This significantly mitigates potential losses and shows a strong buffering effect. By redistributing the abatement cost burden between upstream and downstream firms, this mechanism effectively enhances the system’s resilience to external cost shocks.

5.1.3. Hybrid Carbon Allowance Mechanism (Scenario 1)

Figure 4 exhibits a transitional pattern under the hybrid carbon allocation mechanism. Under the same market-based demand conditions, the total profit of the supply chain under the hybrid mechanism consistently lies between that of the complete auction and the completely free mechanisms, exceeding the former while remaining below the latter. This outcome can be attributed to the dual effects of the allocation design: on the one hand, the proportion of free allowances substantially reduces the manufacturer’s compliance burden, thereby alleviating cost pressures and supporting higher profits; on the other hand, the auctioned portion continues to impose explicit carbon costs, which discourages over-reliance on free permits and maintains incentives for emission reduction. Consequently, the hybrid mechanism embodies a balance, simultaneously lowering financial stress while preserving the regulatory function of carbon pricing, which explains its intermediate performance in terms of supply chain profits.
It is worth noting that under the medium-to-high level of market demand parameters, the implementation of a cost-sharing contract significantly mitigates manufacturers’ losses in the context of high carbon costs. By alleviating the burden of abatement expenditures, the contract enables manufacturers to respond more proactively through adjustments in green technology investment and pricing strategies, thereby enhancing overall supply chain performance. This effect is more prominent under the hybrid mechanism, as the buffer effect of partially free allowances reduces the sensitivity of manufacturers to carbon price fluctuations, while the cost-sharing contract further strengthens their decision-making confidence and resilience to risk in a dynamic market environment.
In addition, the simulation also shows that under high-demand scenarios, the decline in supply chain profit under the hybrid quota mechanism is significantly less pronounced compared to the complete auction mechanism. It indicates that the hybrid mechanism has stronger market adaptability and policy flexibility, offering a more effective balance between emission reduction objectives and corporate profit stability. Therefore, the combination of the hybrid mechanism with the cost-sharing contract provides a more practical and scalable institutional basis for realizing the green transformation of the supply chain, which is especially suitable for the practice of refined carbon management in the environment of high demand potential and complex market structure.
In summary, across all carbon allocation mechanisms examined, the introduction of a cost-sharing contract consistently enhances manufacturers’ incentives for emission reduction and improves overall supply chain profitability. This contract reduces the marginal abatement cost of manufacturers and increases their willingness to invest in low-carbon investments, thus promoting the transition of the whole supply chain towards low-carbon direction. The contract’s buffering effect is especially pronounced under complete auction and hybrid mechanisms, highlighting its value in supporting policy frameworks. It also provides a clear idea for the design of the supporting policies of the system: introducing internal coordination mechanisms can help stabilize enterprise behavior and profit levels while steadily advancing carbon marketization.

5.2. Impact of Cost-Sharing Coefficients on Overall Profit

The cost-sharing contract is characterized by two key parameters: the manufacturer’s share of the abatement cost is β and the distribution ratio between the two retailers is α. Together, these two parameters determine the distribution structure of abatement costs among supply chain members, which has an important impact on the profit and abatement incentives of each party.
In order to understand their respective independent influences on the profits, this research splits the two coefficients into independent variables for sensitivity analysis and explores the mechanism of their effects on the overall profit of the supply chain under the three carbon quota mechanisms.

5.2.1. Completely Free Mechanism (Scenario 2)

Figure 5 shows that the abatement cost sharing ratio α among retailers exerts only a limited impact on the profit of the supply chain. The system profit remains relatively stable at 3802 across the entire range of α from 0.1 to 0.9. Therefore, α can be regarded as a parameter with managerial flexibility and can be adjusted according to the bargaining power and cooperation preferences of firms, without pursuing over-optimization.
In contrast, the β borne by the manufacturer on the overall profit is more significant. The simulation results show that when the β value is low, the manufacturer bears a smaller portion of abatement input the overall supply chain profit tends to decrease. This is mainly because transferring abatement costs to retailers reduces their marginal profitability, which in turn dampen market vitality and sales profits. Moreover, such cost transfer may undermine the synergistic relationship among supply chain members, reducing retailers’ incentives to reduce emissions and lowering the system profitability.
Further analysis reveals that supply chain profits are relatively optimal when β is in the range of 0.5 to 0.7, reflecting the cost-sharing ratio in this range strikes a good balance between incentivizing manufacturers to reduce emissions and maintaining retailers’ profit margins. In this scenario, manufacturers are incentivized to invest in emission reduction due to the partial alleviation of their cost burden, while retailers, bearing a moderate share of the costs, do not exhibit significant resistance or adverse market behavior. This balanced cost allocation fosters efficient and stable operation of the entire system.
Under the completely free mechanism, the design of the cost-sharing contract should focus on reasonably setting the proportion of β to be borne by manufacturers, so as to guarantee their incentive to reduce emissions while taking into account the affordability of retailers. In contrast, adjustments to α should primarily serve to optimize cooperation mechanisms, reflecting the system’s flexibility and adaptability.

5.2.2. Complete Auction Mechanism (Scenario 2)

Consistent with the completely free mechanism, Figure 6 shows that the cost-sharing ratio α among retailers under the complete auction mechanism exerts minimal influence on the profitability of the overall supply chain. Relative to the elevated profit under the completely free mechanism, supply chain profit contracts to 231 under the complete auction mechanism, primarily attributable to substantial abatement costs.
In contrast, β has a significant impact on overall supply chain profits. When β is at 0.1, the supply chain achieves its maximum profit. This is primarily because the manufacturer, facing a lighter abatement burden, has sufficient resources to carry out other profit-related operations, which enhances the overall level of returns. However, as β rises, the abatement burden borne by the manufacturer increases rapidly. Significant capital must be allocated to emission reduction, restricting flexibility and efficiency in regular production operations, leading to a significant decline in overall profits.
Moreover, the efficiency of the manufacturer’s emission reduction has not yet formed economies of scale, so the marginal cost of abatement remains high. When β exceeds about 0.7, the profit curve appears to rise. This inflection reflects that under mounting carbon cost responsibilities, manufacturers adopt more proactive emission reduction strategies such as technological innovation and energy substitution, allowing them to realize marginal returns on abatement investments and enhance overall system profitability.

5.2.3. Hybrid Carbon Allowance Mechanism (Scenario 2)

As can be seen from Figure 7, the impact of α change on the overall profit of the supply chain under the hybrid carbon allowance mechanism remains limited, consistent with the findings under the completely free and complete auction mechanisms. Nevertheless, the hybrid mechanism achieves a maximum profit of 218, which is lower than those attainable under the other two carbon quota mechanisms. It is noteworthy that this value demonstrates only a marginal difference from the 231 maximum profit realizable under the full auction mechanism.
In contrast, variations in the manufacturer’s cost-sharing ratio β exert a significant influence on supply chain profitability. The magnitude of this influence is comparable to that of the complete auction mechanism. However, under the hybrid mechanism, the overall response curve is smoother, indicating a lower sensitivity of profits to β. The profit curve shows a nonlinear characteristic of decreasing and then increasing, indicating that there are stage differences in the trade-off mechanism between abatement cost and operational efficiency for manufacturers in different β intervals.
In addition, the maximum profit attainable under the hybrid allocation mechanism is marginally lower than the other two situations. This suggests that although the hybrid mechanism may give up part of the extreme profit potential, it effectively mitigates the financial burden on manufacturers. The inclusion of partially free allowances enhances the adaptability and resilience of the supply chain under varying policy and market conditions. Thus, the hybrid mechanism realizes an effective balance between incentives and costs while offering greater profit stability and flexibility.
Overall, the completely free mechanism, by eliminating the carbon cost, encouraging emission reduction investment but risking resource inefficiency. It is suitable as a transitional tool for early-stage market development but not for long-term deployment. The complete auction mechanism by enforcing full carbon pricing and drives rational emission behavior. However, manufacturers need to bear the full cost of carbon quotas by themselves, which leads to a decline in their willingness to invest in emission reduction, a lower level of emission reduction, and an obvious profit compression effect. Therefore, it is better suited to mature industrial chains, accompanied by contractual or subsidy mechanisms to absorb cost shocks. The hybrid mechanism reflects a high degree of adaptability by integrating free and auction elements. For most markets in the transition stage and with uneven upstream and downstream capacities, by adjusting the proportion of free versus auctioned allowances, the hybrid mechanism enables more precise policy control while avoiding the risks associated with abrupt systemic shifts. This mechanism sustains strong incentives for emission reduction, and it offers enterprises a strategic buffer to adapt the evolving policy environments. As a result, the hybrid mechanism strikes a practical balance between economic efficiency and operational resilience, making it a promising policy tool in dynamic and evolving market environments.

6. Conclusions and Discussion

The main conclusions and future prospects of the research are summarized as follows:
While the pricing structure remains consistent across all carbon allowance mechanisms, the variation lies in the optimal level of abatement, indicating that the type of carbon policy directly influences emission reduction behavior.
The cost-sharing mechanism shows an enhanced effect on system profitability in all mechanisms, and it demonstrates a dual role in both mitigating profit pressure and reinforcing emission reduction incentives in carbon-intensive scenarios.
The cost-sharing ratio among retailers primarily serves a coordination function, whereas the manufacturer’s sharing ratio directly influences the distribution of profits.
When designing carbon allowance systems, policymakers should select the appropriate mechanism by considering both market maturity and industry-specific characteristics: the completely free allocation mechanism is suitable for stimulating initial abatement willingness; the complete auction mechanism reflects the strength of carbon cost constraints and is appropriate for carbon-intensive industries, but the auction price should be carefully set to maintain abatement incentives within the supply chain; the hybrid mechanism offers greater flexibility during transitional periods and in heterogeneous market contexts. In addition, governments and supply chain managers should consider the interests of weaker retailers when designing carbon allowance mechanisms and internal contracts. For example, appropriately adjusting the cost-sharing ratio or providing differentiated incentives can ensure that all supply chain participants maintain sustainable profit levels, thereby enhancing the stability of the supply chain system and promoting long-term collaborative behavior.
This research demonstrates that carbon allowance mechanisms are not only tools of environmental policy but also key variables influencing the coordination and stability of supply chain systems. By combining appropriate mechanisms with cost-sharing contracts and selecting mechanism types that align with regional policies and the development stage of local firms, supply chain systems operating under diverse policy environments and consumer preference contexts can achieve a balance between emission reduction and profitability, thereby further enhancing system adaptability and collaborative efficiency. These findings provide new insights into promoting sustainable supply chain management in more complex and heterogeneous market environments.
While this research provides theoretical insights into emission reduction strategies under different carbon allowance mechanisms, several limitations persist that require further research. This study assumes that all supply chain participants possess complete information and act fully rationally. However, this assumption is relatively strict and may introduce biases into the results. Moreover, the model only considers a single manufacturer and two retailers, which limits the generalizability to more complex, multi-tier supply chains. Future research could incorporate dynamic optimization methods to better capture the evolving nature of emission-reduction efforts and also consider extended supply chain structures with multiple manufacturers or competing retailers, where both cooperation and competition coexist. We also plan to construct separate profit functions for each carbon allowance mechanism, examine the effectiveness of cost-sharing contracts under different mechanisms, and incorporate sensitivity analyses to test the robustness of the results. These extensions aim to enhance both the practical applicability and theoretical completeness of the model.

Author Contributions

Conceptualization, methodology, software, validation, formal analysis, investigation, resources, data curation, writing—original draft preparation, writing—review and editing, supervision, project administration, funding acquisition: S.H. and S.L. All authors have read and agreed to the published version of the manuscript.

Funding

This research received no external funding.

Data Availability Statement

The data presented in this study are available on request from the corresponding author.

Conflicts of Interest

The authors declare no conflict of interest.

References

  1. Zhou, T.; Chen, X. Perspective on Challenges in Accurately Estimating Remaining Carbon Budget for Climate Targets of Paris Agreement. Bull. Chin. Acad. Sci. 2022, 37, 216–229. [Google Scholar]
  2. Kirilova, E.G.; Vaklieva-Bancheva, N.G. Environmentally friendly management of dairy supply chain for designing a green products’ portfolio. J. Clean. Prod. 2017, 167, 493–504. [Google Scholar] [CrossRef]
  3. Zhang, Z.; Wang, Z.; Hu, J. Research on National Carbon Emissions and the Provincial Carbon Emissions based on K-means Clustering Algorithm. Sino-Glob. Energy 2022, 27, 8–15. [Google Scholar]
  4. Qiu, J.; Yang, Y. Comparative study of low-carbon supply chain carbon emission reduction decisions considering low-carbon policies and power structures. Comput. Integr. Manuf. Syst. 2024, 30, 2566–2587. [Google Scholar]
  5. Liu, R.; Leng, L. The Optimization Path for Legalization of China’s Carbon Quota Allocation under the “Dual Carbon” Goals. Henan Soc. Sci. 2024, 32, 56–66. [Google Scholar]
  6. Chen, H. Synergy effects of the energy quota trading system and carbon emissions trading system: A case study of China. Energy Sustain. Dev. 2025, 87, 101733. [Google Scholar] [CrossRef]
  7. Bai, Y.; Yin, Y. Research on Mechanism and Effectiveness of Carbon Emission Trading System in Promoting Enterprise Carbon Emission Reduction: Based on the PSM-DID Model. China J. Commer. 2025, 34, 138–142. [Google Scholar]
  8. Chen, D.; Liao, H.; Tan, H. Study on the Emission Reduction Effect and Mechanism of China’s Carbon Trading Policy. J. Technol. Econ. 2022, 41, 106–119. [Google Scholar]
  9. Shen, J.; Yan, H.; Sheng, L. Pricing decision in an uncertain green product supply chain under cost sharing contract. Expert Syst. Appl. 2024, 250, 123899. [Google Scholar] [CrossRef]
  10. Zhang, Y.; Zhang, T. Optimal Decisions and Coordination of Low-carbon Supply Chain under Cap-and-trade Regulation and Government Subsidy. J. Technol. Econ. 2024, 43, 159–176. [Google Scholar]
  11. Wu, W.; Zhao, S. Emission Reduction Decision and Contract Coordination of Supply Chain under Different Carbon Quota Allocation Mechanisms. Adv. Appl. Math. 2024, 13, 2506–2519. [Google Scholar] [CrossRef]
  12. Zhu, Y.; Chen, D.; Gao, L. A Visual Analysis of Research Hotspot and Trends of Consumers’ Low Carbon Preference. J. Heihe Univ. 2023, 14, 72–75+78. [Google Scholar]
  13. Wu, A.; Ma, D.; Sun, L. Study on Coordinated Development of China’s Coal Industrial Chain and Supply Chain Resilience Evaluation and Industrial Efficiency Under the Dual Carbon Goals. Sustain. Energy Technol. Assess. 2024, 81, 104434. [Google Scholar] [CrossRef]
  14. Banerjee, S.; Lin, P. Downstream R&D, raising rivals’ costs, and input price contracts. Int. J. Ind. Organ. 2003, 21, 79–96. [Google Scholar] [CrossRef]
  15. Ma, L.; Guo, P. Research on Cooperative R&D Contract of New Energy Vehicle Industry Chain. Sci. Technol. Manag. Res. 2020, 40, 131–138. [Google Scholar]
  16. Ghosh, D.; Shah, J. Supply Chain Analysis under Green Sensitive Consumer Demand and Cost Sharing Contract; Elsevier Bv: Amsterdam, The Netherland, 2015; Volume 164, pp. 319–329. [Google Scholar]
  17. Zhi, B.; Chen, J.; Liu, X. The Coordination Strategy for Two-tier Supply Chains with a Cost-sharing Contract in the Cap-and-Trade Mechanism. Chin. J. Manag. Sci. 2017, 25, 48–56. [Google Scholar]
  18. Xu, C. Supply Chain Coordination Based on Options Contract with Jointed Carbon Emission Reduction Cost Sharing. Oper. Res. Manag. Sci. 2018, 27, 20–27. [Google Scholar]
  19. Zheng, X.X.; Li, R.; Jia, F.; Liu, Z.Y.; Yang, Y. Coopetition strategies in a two-stage, multi-agent supply chain under hybrid carbon trading mechanisms. Int. J. Prod. Res. 2024, 1–23. [Google Scholar] [CrossRef]
  20. Peng, X.; Tao, Y.; Wang, C. Research on low-carbon supply chain decision-making under carbon cap-and-trade and subsidy policy. Int. J. Low-Carbon Technol. 2022, 17, 1061–1074. [Google Scholar] [CrossRef]
  21. Jiang, K.; Wang, D.; Xu, L. Assessing the impact of carbon quota allocation in enhancing supply chain members emission reduction and advertising efforts. Socio-Econ. Plan. Sci. 2024, 95, 102033. [Google Scholar] [CrossRef]
  22. Wang, Y.; Yu, T.; Sun, Y. Optimal carbon quota allocation for a capital-constrained e-commerce supply chain under the carbon rights buyback policy. Comput. Ind. Eng. 2024, 188, 109902. [Google Scholar] [CrossRef]
  23. Yang, S.; Yu, M. Optimal Carbon Emission Reduction Decisions in Supply Chain under Different Allocation Mechanism of Carbon Quota. Rev. Econ. Manag. 2016, 32, 35–42. [Google Scholar]
  24. Li, B.; Xia, X.; Li, Q. Research on the Influence of Carbon Trading on Carbon Emission Reduction Effect and Coordination Mechanism under Carbon Quotas. Chin. J. Manag. Sci. 2024, 32, 250–261. [Google Scholar]
  25. Ma, Q.; Song, H.; Chen, G. A Study on Low-carbon Product Pricing and Carbon Emission Problems under the Cap-and-Trade System. J. Ind. Eng. Eng. Manag. 2014, 28, 127–136. [Google Scholar]
  26. Chen, Y.; Wang, Z.; Liu, Y. Coordination Analysis of the Recycling and Remanufacturing Closed-Loop Supply Chain Considering Consumers’ Low Carbon Preference and Government Subsidy. Sustainability 2023, 15, 2167. [Google Scholar] [CrossRef]
  27. Xu, C.; Jing, Y.; Shen, B. Cost-sharing contract design between manufacturer and dealership considering the customer low-carbon preferences. Expert Syst. Appl. 2023, 213, 118877. [Google Scholar] [CrossRef]
  28. Zhang, L.; Yang, J. Equilibrium Strategies of Information Sharing and Financing in a Dual-channel Supply Chainwith a Capital-constrained Retailer. Manag. Rev. 2023, 35, 280–291. [Google Scholar]
  29. Du, S.; Zhu, J.; Jiao, H. Game-theoretical analysis for supply chain with consumer preference to low carbon. Int. J. Prod. Res. 2015, 53, 3753–3768. [Google Scholar] [CrossRef]
  30. Wang, L.; Liang, Q. National Carbon Market Expansion Speeds Up as Transactions Surpass $11 Billion in 2 Years. Manag. J. 2023, 8, 28–29. [Google Scholar]
  31. Yue, L.; Cao, Y.; Wang, Y. Effect of energy policies on regional carbon emission reduction. Resour. Sci. 2022, 44, 1105–1118. [Google Scholar] [CrossRef]
  32. Xie, J. The Supply Chain Decision with Corporate Environmental Responsibility and Fair Concerns. J. Jiangxi Norm. Univ. (Nat. Sci. Ed.) 2024, 44, 613–621. [Google Scholar]
  33. Tian, Y.; Li, R.; Liu, W. Allowance auction price in EU carbon finance market before and after the COVID-19 epidemic and its enlightenment—Based on the background of emission peak and carbon neutrality. Prices Mon. 2021, 8, 1–9. [Google Scholar]
  34. Liu, L.; Han, T.; Jin, H. Differential game of three-level green supply chain considering brand goodwill under cost sharing mechanism. Control Decis. 2024, 39, 659–668. [Google Scholar]
  35. Wang, Z.; Brownlee, A.E.I.; Wu, Q. Production and joint emission reduction decisions based on two-way cost-sharing contract under cap-and-trade regulation. Comput. Ind. Eng. 2020, 146, 106549. [Google Scholar] [CrossRef]
  36. Yang, T.; Tang, W.; Wang, X. Mechanism for Synergistic Development of Carbon Tax and Carbon Trading Policies. J. Heihe Univ. 2025, 16, 45–49. [Google Scholar]
  37. Wu, W.; Zhang, M. Decision-making analysis of power battery recycling under carbon cap-and-trade mechanism and subsidy policy. Chin. J. Manag. Sci. 2024, 33, 340–354. [Google Scholar]
  38. Zhou, X.; Qiu, J.; Liu, Y. Contractual Coordination Strategies for the Power Battery Recycling Supply Chain Under Different Subsidy Policies. Sci. Decis. Mak. 2025, 6, 185–198. [Google Scholar]
  39. Liu, J.; Huang, Y.; Wang, F. Three-level Supply Chain Cost Sharing Contract Selection Based on Joint Carbon Emission Reduction and Sales Efforts. Commer. Res. 2022, 1, 123–132. [Google Scholar]
  40. Li, Q.; Yang, Y.; Gan, Y. A Comparison of Carbon Emission Tax and Emission Standard Policies in a Cournot Competition Model. J. Syst. Manag. 2025, 34, 637–650. [Google Scholar]
  41. Guo, C.; Qin, T.; Song, X. The allocation mechanism and optimization strategies of carbon emission allowance in China under Carbon Peak and Neutrality Goals. J. Nanjing For. Univ. (Nat. Sci. Ed.) 2025, 49, 1–13. [Google Scholar]
  42. Yu, X.; Xu, L.; Zhou, D.; Wang, Q.; Sang, X. How to auction carbon emission allowances? A dynamic simulation analysis of spatiotemporal heterogeneity. Front. Eng. Manag. 2024, 11, 430–454. [Google Scholar] [CrossRef]
  43. Zhang, N.; Pang, J.; Feng, X. The economic impacts of introducing auction into carbon allowance allocation mechanism in the national carbon market: Simulation based on CGE model. China Environ. Sci. 2022, 42, 1901–1911. [Google Scholar]
  44. Meng, X.; Ouyang, Z. A New Way of the Initial Allocation of Carbon Allowance under the “Double Carbon” Target: The Consignment Auction and Emission reduction Effect. Ind. Organ. Rev. 2022, 16, 123–151. [Google Scholar]
  45. Xia, X.; Chen, J.; Zhu, Q.; Li, B. Studying on the impact of carbon allowance allocation methodson authorization remanufacturing and coordination mechanism. Syst. Eng.-Theory Pract. 2023, 43, 2632–2655. [Google Scholar]
  46. Meng, X.; Liang, Z. The Emission Reduction Effect of the Carbon Emission Quota Allocation Mode Under the Low-Carbon Preference. Res. Financ. Econ. Issues 2022, 2, 42–51. [Google Scholar]
  47. He, S.; Yin, X. Logical Analysis of Backward Induction in the Perspective of Game Theory. J. Taiyuan Norm. Univ. (Soc. Sci. Ed.) 2010, 4, 10–12. [Google Scholar]
  48. Ren, J. Solving Dynamic Game Problems with Reverse Induction. Manag. Technol. SME 2009, 5, 126–127. [Google Scholar]
  49. Shang, W.; Gu, X.; Li, T. Study on the influence of carbon option purchase quota based on demand uncertainty on supply chain decision-making and coordination mechanism. Chin. J. Manag. Sci. 2025, 9, 1–22. [Google Scholar]
  50. Hou, Q.; Guan, Y.; Yu, S. Stochastic Differential Game Model Analysis of Emission-Reduction Technology Under Cost-Sharing Contracts in the Carbon Trading Market. Inst. Electr. Electron. Eng. (IEEE) 2020, 8, 167328–167340. [Google Scholar] [CrossRef]
  51. He, Y.; Tan, X.; Hong, Z. Pricing decision in the power battery supply chain under BaaS business model considering carbon quota trading and government subsidies. Energy Sustain. Dev. 2025, 85, 101679. [Google Scholar] [CrossRef]
  52. Li, Y.; Niu, H. The Supply Chain Transmission Effect of Carbon Emission Trading Mechanisms—From the Perspective of Supplier Green Innovation. Account. Res. 2025, 3, 82–94. [Google Scholar]
  53. Yu, Y.; Qu, Y.; Guo, L. Decision Research of Small and Medium-sized Supplier Alliance Based on Game Theory. Oper. Res. Manag. Sci. 2021, 30, 18–25. [Google Scholar]
  54. Tatarczak, A.; Grela, G. A coalition formation framework for horizontal supply chain collaboration. Logforum 2024, 20, 357–372. [Google Scholar] [CrossRef]
  55. Wu, D.; Yang, Y. Study on the Differential Game Model for Supply Chain with Consumers’ Low Carbon Preference. Chin. J. Manag. Sci. 2021, 29, 126–137. [Google Scholar]
  56. Hu, J.; Huang, N.; Shen, H. Can Market-Incentive Environmental Regulation Promote Corporate Innovation? A Natural Experiment Based on China’s Carbon Emissions Trading Mechanism. J. Financ. Res. 2020, 1, 171–189. [Google Scholar]
  57. Wang, Y.; Xu, X.; Zhu, Q. Carbon emission reduction decisions of supply chain members under cap-and-trade regulations: A differential game analysis. Comput. Ind. Eng. 2021, 162, 107711. [Google Scholar] [CrossRef]
Figure 1. Impact of market demand on profit under a completely free mechanism.
Figure 1. Impact of market demand on profit under a completely free mechanism.
Systems 13 00841 g001
Figure 2. Expansion Diagram.
Figure 2. Expansion Diagram.
Systems 13 00841 g002
Figure 3. Impact of market demand on profit under a complete auction mechanism.
Figure 3. Impact of market demand on profit under a complete auction mechanism.
Systems 13 00841 g003
Figure 4. Impact of market demand on profit under the hybrid mechanism.
Figure 4. Impact of market demand on profit under the hybrid mechanism.
Systems 13 00841 g004
Figure 5. Impact of cost-sharing contract on profit under the completely free mechanism.
Figure 5. Impact of cost-sharing contract on profit under the completely free mechanism.
Systems 13 00841 g005
Figure 6. Impact of cost-sharing contract on profit under the complete auction mechanism.
Figure 6. Impact of cost-sharing contract on profit under the complete auction mechanism.
Systems 13 00841 g006
Figure 7. Impact of cost-sharing covenants on profit under the hybrid mechanism.
Figure 7. Impact of cost-sharing covenants on profit under the hybrid mechanism.
Systems 13 00841 g007
Table 1. Parameters explanation.
Table 1. Parameters explanation.
ParameterDescription
p1, p2Retail prices of goods in market 1 and market 2
q1, q2Demand in market 1 and market 2
a1,a2Base market demand in both markets, reflecting regional market size
b1,b2Price sensitivity coefficients of consumers in the two markets
λ 1 , λ 2 Coefficient of consumer preference for low-carbon products in two markets
eLevel of emission reductions by manufacturers
cManufacturer’s unit cost of production
kAbatement cost growth factor
t1, t2Carbon tax rates in the regions where the two retailers are located
βProportion of abatement costs borne by manufacturers
αRetailers1 bear their share of the (1-β) component
w1, w2Wholesale prices of goods obtained by retailer 1 and retailer 2
π m , π r1 , π r2Profit of Manufacturer, retailer 1 and retailer 2
QTotal supply chain carbon emission
FAmount of carbon allowances issued free of charge by the government
QAAmount of carbon allowances acquired through auctions
PAAverage price at quota auction
CAAuction cost
QTAmount of carbon allowances purchased on the carbon trading market
PTCarbon market prices
CTCarbon market costs
Table 2. Comparison of model parameters.
Table 2. Comparison of model parameters.
Cost-Sharing ContractCarbon Allowance MechanismManufacturer’s Profit FunctionRetailer Profit Function
Contract-freeCompletely Free i = 1 2 w i c q i k e 2 p 1 w 1 t 1 a 1 b 1 p 1 + λ 1 e p 2 w 2 t 2 a 2 b 2 p 2 + λ 2 e
Complete Auction i = 1 2 w i c q i k e 2 C A
Hybrid i = 1 2 w i c q i k e 2 C A C T
ContractualCompletely Free i = 1 2 w i c q i β k e 2 p 1 w 1 t 1 q 1 α 1 β k e 2 p 2 w 2 t 2 q 2 1 α 1 β k e 2
Complete Auction i = 1 2 w i c q i β k e 2 C A
Hybrid i = 1 2 w i c q i k e 2 C A C T
Table 3. Comparison of “e” under Different Mechanisms.
Table 3. Comparison of “e” under Different Mechanisms.
Carbon Allowance MechanismExistence of Cost-Sharing ContractCarbon Reduction Factor e
Completely Freeno e N F b 2 a 1 b 1 c + t 1 λ 1 + b 1 a 2 b 2 c + t 2 λ 2 8 b 1 b 2 k b 2 λ 1 2 b 1 λ 2 2
yes e R F b 2 a 1 b 1 c + t 1 λ 1 + b 1 a 2 b 2 c + t 2 λ 2 8 b 1 b 2 k β b 2 λ 1 2 b 1 λ 2 2
Complete Auctionno e N A = A b 2 λ 1 2 + b 1 λ 2 2 + 8 b 1 b 2 P A λ 1 + λ 2 8 b 1 b 2 k
yes e R A = A b 2 λ 1 2 + b 1 λ 2 2 + 8 b 1 b 2 P A λ 1 + λ 2 8 b 1 b 2 k β
Note: A = 4 b 1 b 2 b 1 p 1 + b 2 p 2 a 1 a 2 P A + λ 1 b 2 b 1 c + 4 P A + t 1 a 1 + λ 2 b 1 b 2 c + 4 P A + t 2 a 2
Hybridno e N H = B b 2 λ 1 2 + b 1 λ 2 2 + 8 b 1 b 2 P T λ 1 + λ 2 8 b 1 b 2 k
yes e R H = B b 2 λ 1 2 + b 1 λ 2 2 + 8 b 1 b 2 P T λ 1 + λ 2 8 b 1 b 2 k β
Note: B = 4 b 1 b 2 P T b 1 p 1 + b 2 p 2 a 1 a 2 + λ 1 b 2 b 1 c + 4 P T + t 1 a 1 + λ 2 b 1 b 2 c + 4 P T + t 2 a 2
Disclaimer/Publisher’s Note: The statements, opinions and data contained in all publications are solely those of the individual author(s) and contributor(s) and not of MDPI and/or the editor(s). MDPI and/or the editor(s) disclaim responsibility for any injury to people or property resulting from any ideas, methods, instructions or products referred to in the content.

Share and Cite

MDPI and ACS Style

Huang, S.; Li, S. Research on Cost-Sharing Contract Coordination Under Different Carbon Quota Allocation Mechanisms—Manufacturing Supply Chain Model Analysis. Systems 2025, 13, 841. https://doi.org/10.3390/systems13100841

AMA Style

Huang S, Li S. Research on Cost-Sharing Contract Coordination Under Different Carbon Quota Allocation Mechanisms—Manufacturing Supply Chain Model Analysis. Systems. 2025; 13(10):841. https://doi.org/10.3390/systems13100841

Chicago/Turabian Style

Huang, Siqi, and Shilong Li. 2025. "Research on Cost-Sharing Contract Coordination Under Different Carbon Quota Allocation Mechanisms—Manufacturing Supply Chain Model Analysis" Systems 13, no. 10: 841. https://doi.org/10.3390/systems13100841

APA Style

Huang, S., & Li, S. (2025). Research on Cost-Sharing Contract Coordination Under Different Carbon Quota Allocation Mechanisms—Manufacturing Supply Chain Model Analysis. Systems, 13(10), 841. https://doi.org/10.3390/systems13100841

Note that from the first issue of 2016, this journal uses article numbers instead of page numbers. See further details here.

Article Metrics

Back to TopTop