Abstract
Enhancing urban innovation resilience is crucial for adapting to change and pursuing innovation-driven, high-quality development. The global trend of digital transformation has profound implications for urban innovation; however, the specific effects of digital transformation on urban innovation resilience remain insufficiently explored. This study utilizes panel data from 285 prefecture-level and above cities in China, spanning from 2007 to 2022. It treats the Broadband China Pilot (BCP) policy as a quasi-natural experiment of digital transformation and employs a time-varying Difference-in-Differences (DID) method to investigate the impact of digital transformation on urban innovation resilience. The results yield several important insights: (i) digital transformation enhances urban innovation resilience; (ii) the effect of digital transformation on urban innovation resilience is heterogeneous across regions and city sizes; (iii) digital transformation improves urban innovation resilience through the mediation effect of green total factor productivity (GTFP); (iv) urban industrial upgrading and urban innovation vitality play significant moderating roles in the relationship between digital transformation and urban innovation resilience. These findings contribute to a deeper theoretical understanding of the relationship between digital transformation and urban innovation resilience.
1. Introduction
As an interdisciplinary concept, resilience has had a profound impact on both theoretical development and practical application across diverse fields. Initially derived from engineering, resilience refers to the capacity of materials to recover from external pressures [1]. It was later incorporated into sociological research to explore the capacity of social systems to respond, adapt, and recover in the face of social, economic, or environmental shocks [2,3]. Global crises such as the COVID-19 pandemic, the trade wars, and climate change have further heightened attention to the concept of resilience within the sociological domain [4,5,6,7,8].
In the context of globalization and rapid technological advancement, regions are confronted with a wide range of challenges [9,10,11], including rapid shifts in market demand, technological breakthroughs, and intensifying international competition. As a result, the maintenance and enhancement of regional innovation capabilities have become critical priorities [12,13]. Scholars increasingly acknowledge that ensuring the long-term sustainable development of regional innovation is essential for addressing these challenges, which has led to the emergence of the concept of innovation resilience [14,15]. This concept refers to a region or city’s ability to sustain and enhance its innovation capacities in the face of economic, social, technological, or environmental disruptions. Urban innovation resilience, distinct from broader notions of urban and economic resilience, specifically emphasizes the sustainability of innovation and technological advancement. Schumpeter’s theory of innovation posits that innovation and disruptive changes can uncover new growth opportunities for the economy and society following significant shocks [16]. Urban innovation resilience embodies this dynamic, particularly in the face of challenges, by enabling cities to leverage new growth drivers through the development of novel technologies, industries, and markets. Consequently, urban innovation resilience not only represents a city’s capacity to endure crises but also serves as a critical factor in sustaining its competitive advantages in the global arena.
With the rapid advancement of technology, the advent of the digital economy has had a profound impact on global competition [17,18,19]. Digital technologies have significantly accelerated the dissemination and accumulation of knowledge, thereby fostering the rapid development of urban economies and societies [20,21]. To promote digital transformation, various countries and regions have implemented a wide range of policies and measures [22,23]. Undoubtedly, the progress of digital technologies offers substantial potential and efficiency for urban innovation, which is crucial for maintaining competitiveness in an increasingly dynamic economic environment. However, the widespread adoption of technological advancements has also prompted a reconsideration of the ‘efficiency first’ pathway [24,25,26], particularly when issues of sustainability and resilience are inadequately addressed. While digital transformation has enhanced innovation efficiency, its impact on innovation resilience and sustainability remains unclear and warrants further, more comprehensive investigation.
This study aims to explore three key questions. First, does digital transformation enhance the resilience of urban innovation? Second, is the impact of digital transformation on urban innovation resilience heterogeneous? Finally, what mechanisms underlie the effects of digital transformation on urban innovation resilience? To answer these questions, this study examines the BCP policy as a quasi-natural experiment and employs a time-varying DID model to analyze the impact of digital transformation on urban innovation resilience. This research sample consists of panel data from 285 Chinese cities, covering the period from 2007 to 2022. The results reveal that digital transformation significantly enhances urban innovation resilience. Moreover, the effect of digital transformation on urban innovation resilience varies across regions and city sizes. Additionally, digital transformation improves urban innovation resilience by boosting GTFP. Finally, urban industrial upgrading and urban innovation vitality are identified as critical moderating variables that influence the relationship between digital transformation and urban innovation resilience.
This paper makes several key contributions to the field. First, it is the first study to examine the impact of digital transformation on urban innovation resilience from the perspective of BCP policy, thereby expanding the scope of research on urban resilience. Second, this study uses BCP policy as a quasi-natural experiment and employs a time-varying DID method to investigate the effect of digital transformation on urban innovation resilience, effectively addressing potential endogeneity concerns. Third, this paper explores the underlying mechanisms through which digital transformation influences urban innovation resilience and examines how these effects vary across different types of cities. The empirical evidence provided in this study demonstrates the potential of digital transformation as a powerful tool for enhancing urban innovation resilience.
The remainder of this paper is structured as follows: Section 2 reviews the relevant literature; Section 3 outlines the policy context and theoretical framework; Section 4 details the empirical methods and the data used; Section 5 presents a discussion of the empirical findings, and Section 6 presents the conclusions and policy implications.
2. Literature Review
2.1. Digital Transformation
With the rapid advancement of digital technologies, global society is undergoing a profound digital transformation that is reshaping the global economy [27,28]. This transformation extends beyond technological applications; it permeates all levels of society, driving structural changes across organizations, industries, and regions [29]. Currently, research on digital transformation spans a wide range of topics, including conceptual frameworks [30,31], implementation strategies [32,33,34], and specific outcomes [35,36,37].
Digital transformation is a multidimensional concept. At the urban level, it involves the comprehensive transformation of urban economies, societies, governance, and ecosystems through the integration and application of digital technologies—such as big data, cloud computing, the Internet of Things (IoT), and artificial intelligence (AI)—within a specific geographical area [38]. Crucially, urban digital transformation is a systematic process that emphasizes not only the technologies themselves but also their strategic use to drive overall urban development, laying the foundation for long-term competitiveness and sustainable growth.
Research generally suggests that the primary driver of digital transformation is technological advancement, particularly the widespread adoption of cutting-edge technologies [39]. However, for successful transformation, it is crucial to recognize that, beyond technical factors, key elements such as urban strategic positioning, robust digital infrastructure, skilled technical talent, and effective coordination capabilities also play vital roles [40,41,42,43]. The digital transformation of urban areas not only drives direct economic growth [44,45], employment opportunities [46,47], improved resource utilization efficiency [48,49,50], and greater economic inclusion [51], but also facilitates the optimization and upgrading of the industrial structure [52], reduces environmental pollution [53], and promotes sustainable societal development [54]. Collectively, these direct and indirect outcomes contribute to long-term urban development and the broader advancement of society.
2.2. Urban Innovation Resilience
Only a few studies have integrated the concepts of resilience and innovation. For instance, Oeij [55] was the first to propose and define “innovation resilience behavior”, describing it as a set of team capabilities that enable recovery and realignment with innovation objectives after pursuing an ineffective path. Furthermore, research on innovation resilience has primarily focused on the organizational level [14], with scholars positing that it refers to an organization’s ability to manage the uncertainties inherent in innovation activities by effectively balancing stability and adaptability.
Current studies on urban resilience predominantly follow the analytical framework proposed by Martin [1], which aims to clarify how cities respond to external shocks through four distinct stages: resistance, recovery, re-orientation, and renewal. Resistance refers to the ability of cities to prevent and mitigate the impacts of shocks; recovery focuses on the capacity to quickly rebuild and restore normal operations; re-orientation highlights the ability of cities to adjust and optimize in response to long-term changes; and renewal emphasizes the potential for cities to advance to a higher level through innovation and transformation. Additionally, researchers categorize urban resilience into five key dimensions: natural, economic, social, physical, and institutional [56]. The natural dimension examines the adaptability of ecosystems to environmental changes and disasters; the economic dimension emphasizes the recovery and growth of urban economies following shocks; the social dimension addresses the equity of social structures and community cohesion; the physical dimension pertains to the reliability and resilience of infrastructure; and the institutional dimension focuses on emergency management and the rapid response capabilities of governance systems. The integration of these frameworks and dimensions provides both theoretical support for a comprehensive understanding of urban resilience and practical guidance for enhancing the sustainable development capacities of cities.
Building on the aforementioned research, we seek to extend the study of urban resilience by incorporating the dimension of innovation. We propose that urban innovation resilience refers to a city’s ability to maintain, restore, and enhance its innovation capabilities in the face of economic, social, technological, and environmental changes and shocks. Many scholars use GDP growth rate as a measure of economic resilience [57,58,59], as fluctuations in GDP reflect a city’s capacity to recover and adapt following economic disturbance. As a comprehensive indicator of overall economic activity, the GDP change rate (i.e., the increase or decrease in GDP) directly reflects economic recovery capacity, providing valuable insights for evaluating urban economic resilience to shocks. Accordingly, we adopt this approach to assess urban innovation resilience, arguing that variations in innovation indicators—such as patent applications and authorizations—serve as effective proxies for urban innovation resilience. This approach is particularly useful for understanding how cities sustain and enhance their innovation activities and technological progress when confronted with various challenges and disruptions.
3. Institutional Background and Theoretical Analysis
3.1. BCP Policy
With the rapid advancement of the global economy and the continuous innovation of digital technologies, digital transformation has become a crucial strategy for countries aiming to enhance their competitiveness and address future challenges. In this context, an increasing number of countries and regions have incorporated digital transformation into their national development strategies and implemented relevant policies to facilitate this process [34,60,61].
The BCP policy represents a significant initiative by the Chinese government to enhance the construction and utilization of broadband networks nationwide. Initially announced by the State Council of China in 2013, the “Broadband China” plan aims to improve the quality of information and communication infrastructure, thereby facilitating the digital transformation of both the economy and society. To accelerate the implementation of this policy and identify an effective promotion model, the Chinese government launched the BCP project in numerous provinces and cities, leveraging policy guidance and financial support to promote the development and application of broadband infrastructure. By the end of 2022, a total of 109 BCP cities had been established in three batches: 37 cities in 2014, 37 cities in 2015, and 35 cities in 2016 (see Figure 1).
Figure 1.
Spatial distribution of BCP cities in China.
The execution of the BCP policy has not only accelerated the establishment of China’s information and communication infrastructure but has also contributed to the widespread adoption of broadband networks and the digital transformation of various sectors within society. Consequently, this paper posits that the BCP policy serves as a key indicator of China’s digital transformation.
3.2. Theoretical Analysis
The impact mechanism of digital transformation on urban innovation resilience is illustrated in Figure 2. Firstly, digital tools and platforms, by providing real-time data analysis and decision-making support [62], enable cities to accelerate the development of innovative activities. In the face of external shocks—such as natural disasters, economic crises, or epidemics—cities can leverage digital technologies to respond rapidly, adjust the trajectory of innovation, and ensure the continuity of innovation activities, thereby enhancing urban innovation resilience.
Figure 2.
Mechanisms between digital transformation and urban innovation resilience.
Secondly, by establishing digital platforms, cities can break down barriers between traditional industries and departments, thereby facilitating cross-domain collaboration and resource sharing [63,64]. This not only enables cities to respond more effectively to crises but also consolidates intellectual resources and technical expertise during the innovation process, thereby enhancing the sustainability and efficiency of innovation activities. For example, through the sharing of data and knowledge, city governments, enterprises, research institutions, and civil society can collaboratively drive innovation and address complex social challenges [31,65], which is critical for strengthening urban innovation resilience.
Moreover, digital technology enables cities to adjust their innovation strategies and policies with greater flexibility through intelligent management models. Traditional innovation governance frameworks are often rigid; however, digital transformation allows cities to quickly adapt and optimize the allocation of innovation resources in response to external shocks, leveraging real-time data feedback and dynamic decision-making mechanisms [66,67,68]. This adaptability helps prevent stagnation and inefficiency. Furthermore, digital transformation enhances transparency and public participation in decision-making processes, fostering a more open and inclusive innovation environment, which, in turn, strengthens the stability and sustainability of the city’s innovation capacity.
Finally, the application of digital technology has not only enhanced the efficiency and competitiveness of existing industries but has also given rise to new industrial forms, such as the digital economy and platform economy [69,70]. The rapid development of these emerging sectors has diversified the urban economic structure, reducing dependence on a single industry and strengthening resilience to external shocks. As a result, digital transformation not only reinforces the city’s short-term innovation resilience but also provides stable support and growth momentum for long-term innovation activities. Therefore, we propose the following hypothesis:
Hypothesis 1.
Digital transformation can effectively improve urban innovation resilience.
GTFP is a crucial productivity indicator that captures the balance between resource efficiency and environmental impact [71]. Unlike traditional total factor productivity (TFP), GTFP incorporates environmental factors such as resource consumption, pollution emissions, and energy usage, reflecting both the efficiency of resource utilization and the commitment to environmental protection in the economic growth process. Digital transformation plays a pivotal role in enhancing urban innovation resilience by significantly improving GTFP. First, digital transformation optimizes resource allocation and improves resource utilization efficiency, which directly drives green growth and increases GTFP [48,49,50,72]. This dual outcome allows cities to sustain economic growth and foster innovation while simultaneously reducing resource waste and carbon emissions, which are key to building a resilient and sustainable urban environment. Second, the adoption of digital technologies accelerates the innovation and application of green technologies [73,74], such as smart energy management, clean technologies, and low-carbon emission solutions. These advancements not only support the development of green industries but also provide critical technological solutions to mitigate environmental challenges, particularly in the face of resource constraints and ecological degradation. Furthermore, digital transformation facilitates the integration and coordination of the green economy through digital platforms and smart systems, enhancing collaboration across urban governments, businesses, and societal actors [75,76]. This collaborative approach enables large-scale sharing and expansion of green innovations, thereby increasing the overall efficiency and resilience of innovation activities. By improving GTFP, digital transformation allows cities to achieve a more advanced level of green transformation, ultimately contributing to their long-term innovation resilience and adaptability to external shocks. This process enhances the city’s capacity to manage both economic and environmental challenges in a rapidly changing global landscape. Therefore, we propose the following hypothesis:
Hypothesis 2.
Digital transformation improves urban innovation resilience through the mediation pathway of enhancing GTFP.
Urban industrial upgrading plays a crucial role in the relationship between digital transformation and urban innovation resilience. First, digital transformation facilitates the transition of traditional industries into high value-added, high-tech, and service-oriented sectors [22,77,78]. This shift reduces the urban reliance on a single traditional industry, enhances the diversity and flexibility of the economic system, and ultimately strengthens urban innovation resilience in the face of crises. Second, the emergence of high-tech industries provides cities with new innovative resources and incentives, fostering technological breakthroughs and driving industrial transformation and upgrading [79], thereby laying a foundation for enhanced innovation resilience. Furthermore, the growth of green industries not only supports the sustainable development of cities but also strengthens their capacity to respond to environmental crises by improving resource utilization efficiency and alleviating environmental pressures [80,81]. Finally, industrial upgrading cultivates a more collaborative innovation ecosystem [38]. Through digital platforms and cross-industry cooperation, it optimizes urban innovation pathways, enhancing their long-term adaptability and competitiveness. Therefore, we propose the following hypothesis:
Hypothesis 3.
Urban industrial upgrading moderates the relationship between digital transformation and urban innovation resilience.
Urban innovation vitality plays a crucial role in the relationship between digital transformation and urban innovation resilience. First, cities with strong innovation vitality can accelerate the adoption and diffusion of digital technologies [82,83], thereby facilitating the comprehensive implementation of digital transformation and enhancing urban innovation resilience and adaptability to external shocks. Furthermore, urban innovation vitality promotes collaborative efforts among innovation entities, optimizes resource allocation, and improves the overall efficiency of the innovation ecosystem [84], enabling cities to respond more swiftly to changes and sustain long-term competitiveness. Finally, innovation vitality is pivotal in ensuring the sustainability of digital transformation, equipping cities to address future challenges through continuous innovation and maintaining a competitive edge in the global arena. Therefore, we propose the following hypothesis:
Hypothesis 4.
Urban innovation vitality moderates the relationship between digital transformation and urban innovation resilience.
4. Empirical Strategy
4.1. Model Specification
4.1.1. Benchmark Model
The traditional DID method is typically used for policy evaluation at a single time point. However, given that the timing of BCP policy implementation varies across cities, the traditional DID method may not accurately capture the policy’s true impact. To address this limitation, this study utilizes a time-varying DID regression model as the benchmark model, which accounts for potential biases arising from differences in policy implementation timing across cities, as outlined in Equation (1). Specifically, cities that have implemented the BCP policy are classified as the experimental group, while those that have not during the study period serve as the control group. By comparing changes in urban innovation resilience between the two groups post-policy implementation, the net effect of the BCP policy on urban innovation resilience is estimated.
Here, i represents a city, t represents time, represents the innovation resilience of city i in year t. The explanatory variable is a policy dummy variable that indicates whether city i is a BCP city in year t; it takes a value of 1 if the city is a BCP city and 0 if it is not. represents the control variables, represents the city fixed effect, and represents the time fixed effect. is the random disturbance term. The coefficient reflects the impact of digital transformation on urban innovation resilience. A positive coefficient suggests that digital transformation enhances urban innovation resilience, while a negative coefficient indicates a negative effect.
4.1.2. Parallel Trend Test Model
In DID research, the parallel trend test is an essential step, primarily used to verify whether the experimental and control groups exhibit similar pre-intervention trends. If the trends in the two groups are not consistent, the estimated results from the DID analysis may be biased, leading to inaccurate conclusions about the treatment effect. Therefore, the parallel trend test ensures the validity of the analysis and helps avoid erroneous inferences resulting from violations of the parallel trend assumption. To conduct this test, we employ the event study method [85], as detailed in Equation (2).
The variables , , , , and are consistent with those in Equation (1). represents the implementation of the BCP policy, where denotes the year in which city becomes a BCP city. The dummy variables are defined as follows:
If , then ; otherwise, ;
If , then ; otherwise, , (k ∈ [−5, 5]);
If , then ; otherwise, .
4.1.3. Mediation Effect Model
This study investigates the mediating role of GTFP in the relationship between digital transformation and urban innovation resilience. To test this mediating effect, we employed a three-step method [86]. The relevant models are presented in Equations (3)–(5):
In the first step, Equation (3) mirrors Equation (1) and tests the direct effect of the independent variable on the dependent variable. In the second step, Equation (4) examines the impact of the independent variable on the mediator variable, where M is the mediator and DT is the independent variable. In the third step, Equation (5) analyzes the combined effect of the independent variable and the mediator on the dependent variable, while also evaluating the change in the DT coefficient. If the coefficients , and are statistically significant, and if in Equation (5) is smaller than in Equation (4), this suggests the presence of a mediating effect.
4.1.4. Moderation Effect Model
Building on the analysis of the mechanism, the impact of digital transformation on urban innovation resilience may be influenced by urban industrial upgrading and urban innovation vitality. Therefore, we introduce these factors as moderating variables to assess their effects.
First, we establish the regression model in Equation (6), where digital transformation and the moderating variables included as independent variables, with urban innovation resilience as the dependent variable:
Next, in Equation (7), we add the interaction term between digital transformation and the moderating variables as an additional independent variable:
If the coefficient is statistically significant, it suggests that the moderating variables influence the effect of digital transformation on urban innovation resilience.
4.2. Variable and Data
4.2.1. Explained Variable
To avoid the selection bias associated with indicator-based methods, this study adopts the core variable approach to measure urban innovation resilience. Martin and Gardiner [87] propose an effective methodology for assessing economic resilience through the absolute change in the regional GDP growth rate, which accurately captures a region’s capacity to recover from economic shocks. Given that our dependent variable is urban innovation resilience, we measure it by evaluating the absolute change in the growth rate of patents at the city level. The specific formula is detailed in Equation (8):
Here, represents urban innovation resilience as measured by the core variable approach, refers to the number of patents granted in the city, and represents the standardized absolute change in the patent growth rate between adjacent years. Since the product of the standardized values is typically small, we multiply it by 100 to enhance the presentation of the regression coefficients. To ensure the robustness of our results, we also use the number of patent applications in the city as a supplementary robustness check.
Figure 3 illustrates the trend of urban innovation resilience in the study area from 2007 to 2022. Overall, cities along the eastern coast exhibit higher levels of innovation resilience, whereas inland cities demonstrate relatively weaker innovation resilience.
Figure 3.
Trends in urban innovation resilience.
4.2.2. Explanatory Variable
The explanatory variable DT denotes digital transformation, operationalized as a dummy variable for BCP cities. Specifically, if city i is a BCP city in year t, then DT = 1; otherwise, DT = 0. Data regarding the BCP policy, including information on the implementation period and city locations, were obtained from the official BCP city list issued by the Ministry of Industry and Information Technology of China.
4.2.3. Mechanism Variables
GTFP is calculated using the DEA–Malmquist non-parametric method. The input factors include labor, capital stock, and electricity consumption, while the expected output is real GDP. Non-expected outputs are represented by pollutants such as smoke, dust, industrial wastewater, and sulfur dioxide emissions.
Urban industrial upgrading is measured by the degree of transition from the primary and secondary industries to the tertiary industry, reflecting the extent of industrial structure transformation. This measure assigns weights to each sector based on its value-added share in GDP: the primary industry weighted at 1, the secondary industry at 2, and the tertiary industry at 3. This weighting system captures the upgrading of the industrial structure across cities.
Urban innovation vitality is assessed using the China Regional Innovation and Entrepreneurship Index (IRIEC), compiled by the Peking University Enterprise Big Data Research Center. IRIEC provides a comprehensive evaluation of urban innovation and entrepreneurship environments, including factors such as entrepreneurial vitality. As such, it serves as an appropriate indicator for measuring urban innovation vitality.
4.2.4. Control Variables
The selection of control variables should be grounded in the theoretical framework of the research field, incorporating factors that may influence the dependent variable. Based on existing literature [14,15,88,89,90,91], we identify the following control variables: (1) economic growth level (growth), measured by the logarithm of urban GDP; (2) the urbanization rate (urbanization), measured by the proportion of the urban population to the total population; (3) the education investment level (education), measured by the logarithm of urban education expenditure; (4) government intervention (government), measured by the logarithm of urban government fiscal expenditure; (5) financial development level (finance), measured by the logarithm of urban deposits held by financial institutions; (6) the degree of openness (open), measured by the logarithm of urban actual foreign direct investment.
The data for this study are sourced from the China City Statistical Yearbook, the China Regional Economic Statistical Yearbook, and previous provincial and municipal statistical yearbooks. To ensure consistency, some prefecture-level cities (e.g., Hami) were excluded due to insufficient data. Missing data were addressed through linear interpolation, resulting in a balanced panel dataset. To mitigate the impact of outliers, all the data were winsorized at the 1% level. In the DID analysis, a specific lead time is necessary to determine whether significant differences exist prior to the implementation of the policy. In this study, 2007 was selected as the baseline year, with the BCP policy being implemented in 2014. This approach provides sufficient time to assess the differences between cities before and after the policy’s implementation, thereby ensuring robust data support for subsequent analyses. The final dataset includes 285 cities across China, covering the period from 2007 to 2022. Descriptive statistics for each variable are presented in Table 1.
Table 1.
Descriptive statistics.
5. Estimation Results and Discussion
5.1. Benchmark Regression Results
To account for city-specific differences and temporal effects, and to more precisely capture the relationships among the variables, we employed a fixed-effects model. The benchmark regression results are presented in Table 2.
Table 2.
Benchmark regression estimates.
The dependent variables in columns (1) and (2) are based on patent grants. Column (1) presents the regression results without control variables, while column (2) includes relevant control variables. The results indicate that the coefficient for the independent variable DT, is statistically significant at the 1% level, suggesting that digital transformation significantly enhances urban innovation resilience. Specifically, digital transformation increases urban innovation resilience by 70.5% annually, thus supporting Hypothesis 1. In columns (3) and (4), the dependent variables are based on patent applications. The coefficient for DT remains significant at the 1% level, further reinforcing the robustness of these findings.
The benchmark results underscore the critical role of digital transformation in enhancing urban innovation resilience. According to innovation system theory [92], the urban innovation ecosystem consists of a network of enterprises, governments, research institutions, and other key stakeholders. Digital transformation strengthens this ecosystem by improving information flow, advancing technological innovation, and fostering coordination among key participants. Specifically, it accelerates the innovation cycle, optimizes resource allocation, and enhances cross-sector collaboration, thereby bolstering cities’ ability to manage disruptions, such as economic crises or environmental challenges. With the support of digital technologies, cities can adapt more effectively, build robust innovation networks, and develop a more resilient innovation system that promotes sustainable, long-term growth. Thus, advancing urban digitalization and integrating digital technologies provides a viable strategy for enhancing urban innovation resilience and ensuring the sustainable development of urban ecosystems.
5.2. Robustness Tests
5.2.1. Parallel Trend Test
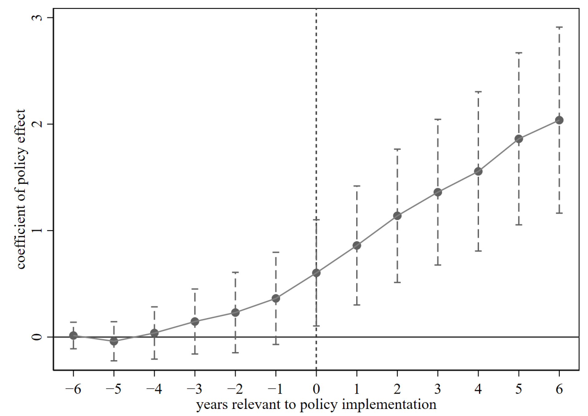
The results of the parallel trend test are illustrated in Figure 4. The horizontal axis represents the timeline relative to the implementation of the BCP policy, with year 0 denoting the policy implementation year. The vertical axis shows the estimated coefficients of the BCP policy effect, with statistical significance tested at the 90% confidence level.
Figure 4.
Parallel trend test results.
As shown in Figure 3, the regression coefficients for the period of 1 to 6 years prior to the BCP policy implementation are not statistically significant. In contrast, the coefficients for the 1 to 6 years following the policy implementation are statistically significant. This suggests that, prior to the introduction of the BCP policy, there were no significant differences in urban innovation resilience between BCP and non-BCP cities. Moreover, the positive and statistically significant coefficients observed post-policy implementation indicate that the BCP policy has a positive effect on enhancing urban innovation resilience.
These findings support the validity of the parallel trend assumption in the benchmark model, providing robust evidence that the observed differences in innovation resilience between BCP and non-BCP cities are attributable to the policy intervention, rather than to pre-existing trends or other confounding factors.
5.2.2. Placebo Test
To conduct a placebo test, we randomly selected cities that had already implemented the BCP policy and performed 500 model estimations following the simulation procedure described earlier. Specifically, we treated the data from these cities as ‘virtual samples’, assuming that digital transformation does not significantly affect urban innovation resilience. The aim was to determine whether the observed policy effect was genuine or potentially attributable to random fluctuations or data anomalies.
Figure 5 presents the results of the placebo test, with the horizontal axis displaying the estimated coefficients of the BCP policy effect and the vertical axis showing the kernel density along with the corresponding p-values. The results indicate that, across 500 regressions, the average estimated coefficients for the virtual samples are close to zero, and the majority of p-values exceed 0.1. This suggests that no significant policy effect was observed in the virtual samples, thereby confirming that the regression results were not driven by chance. Moreover, the estimated coefficients for the BCP policy effect fall within the range of low-probability events, further strengthening the robustness of the effect of digital transformation on urban innovation resilience. This provides additional evidence that the policy effect observed in the actual study is not a result of random fluctuations or model specification errors.
Figure 5.
Placebo test results.
5.2.3. PSM-DID
Currently, 109 cities are designated as BCP cities. However, the selection process for these cities may be influenced by various economic and social factors, including the level of urban economic development, infrastructure quality, and local government policy preferences. These factors could introduce sample selection bias, potentially affecting the accuracy of policy impact assessments. To mitigate this bias and enhance the reliability of the results, this study re-evaluates the benchmark regression results using the Propensity Score Matching Difference-in-Differences (PSM-DID) method.
The PSM method estimates the probability of each city being selected as a BCP city based on its economic, social, and other relevant characteristics, then matches these cities with non-BCP cities. This approach helps to eliminate biases arising from self-selection. Specifically, we apply three matching techniques—K-nearest neighbor matching, radius matching, and kernel matching—to pair BCP cities with control cities each year. These methods ensure that treated cities are comparable to control cities in terms of economic and social characteristics, thus controlling for potential confounding variables.
After matching the samples, we conduct regression analysis on the matched cities. The results indicate that, after applying the PSM-DID method, the estimated coefficients remain statistically significant at the 1% level, further confirming the positive impact of digital transformation on urban innovation resilience (see Table 3).
Table 3.
PSM-DID test results.
5.2.4. Other Robustness Test
This study also conducted several robustness tests to ensure the reliability and validity of the results. These tests include the use of lagged models, the exclusion of contemporaneous policy interference, the control of additional fixed effects, and the modification of the regression sample. The detailed results are presented in Table 4.
Table 4.
Other robustness test results.
First, to examine the lagged effects of digital transformation, we lagged the explanatory variable by one period and performed a regression analysis, as shown in column (1). Second, to control for potential confounding effects from other contemporaneous policies, such as the smart city policy, we introduced a dummy variable reflecting the pilot status of the smart city policy into model (1) and reran the regression, with the results presented in column (2). Third, to account for potential systematic differences across the provinces and years, we included fixed effects for both the provinces and years in the regression model, as shown in column (3). Finally, to mitigate sample selection bias, we excluded samples from municipalities directly under the central government and separately planned cities, and re-estimated the regression model, with the results presented in column (4).
Overall, all the regression models are statistically significant at the 1% level, further confirming the robustness and reliability of the study’s findings. These robustness tests indicate that digital transformation has a stable and sustained positive impact on urban innovation resilience, and that this effect is not influenced by other external factors or sample selection bias. Therefore, the conclusions of this study are strongly supported.
5.3. Heterogeneity Analysis
5.3.1. Regional Heterogeneity
The geographic diversity of cities in China leads to significant regional differences in economic development, marketization levels, and resource allocation. China can be categorized into three regions: the eastern, central, and western regions. The eastern region is characterized by robust economic growth, high levels of marketization, and abundant infrastructure and innovation resources, which collectively facilitate digital transformation. In contrast, the western region faces slower economic development, lower marketization, relatively underdeveloped infrastructure, and a scarcity of innovation resources, creating greater challenges for digital transformation. Consequently, the impact of digital transformation on urban innovation resilience may vary regionally.
To test this hypothesis, we classified the sample cities into three regions: 101 cities in the eastern region, 100 cities in the central region, and 84 cities in the western region, followed by a regional classification test. The results, presented in Table 5, indicate that digital transformation significantly influences urban innovation resilience in the eastern and central regions, whereas its effect in the western region is not statistically significant.
Table 5.
Regional heterogeneity test results.
This phenomenon can be attributed to several factors. First, differences in infrastructure are a key determinant of digital transformation outcomes. The eastern region benefits from a robust economic foundation, advanced digital infrastructure, high internet penetration, and widespread adoption of information technologies, all of which support the rapid progression of digital transformation. In contrast, the western region has relatively weak infrastructure, especially in remote areas where network coverage is incomplete and digital infrastructure development lags behind, limiting the flow and aggregation of innovation resources. Second, disparities in innovation resources play a significant role. The eastern region hosts a concentration of research institutions, high-tech enterprises, and skilled talent, which foster innovation and industrial upgrading, thereby enhancing urban innovation resilience. Conversely, the western region is relatively resource-scarce, with limited research and development investment, fewer innovative enterprises, and a lack of endogenous drivers for digital transformation, which weakens its impact on innovation resilience. Furthermore, the level of marketization also influences the effectiveness of digital transformation. The eastern region exhibits a high degree of marketization, with dynamic enterprises that quickly adapt to digital transformation, driving technological innovation and industrial shifts. The central region shows moderate marketization and a steady pace of digital transformation, though it lacks the innovation momentum seen in the eastern region. In the western region, lower levels of marketization and the prevalence of traditional industries result in weaker demand for and motivation to pursue digital transformation, leading to less pronounced effects. Finally, policy support is crucial to the success of digital transformation. The eastern region benefits from stronger policy backing, including a more mature policy environment and proactive government guidance. In contrast, the western region experiences relatively weaker policy support, which limits the effectiveness of digital transformation and hinders progress in innovation resilience.
5.3.2. City Size Heterogeneity
According to the “Notice on Adjusting the Classification Standards for Urban Size” issued by the People’s Republic of China, cities in China are classified into three categories based on the resident population of their urban areas: large cities (population exceeding 1 million), medium-sized cities (population ranging from 500,000 to 1 million), and small cities (population below 500,000). These cities differ significant in terms of infrastructure and economic development.
To assess whether the impact of digital transformation on urban innovation resilience varies by city size, we categorized the sample cities into three groups: 102 large cities, 111 medium-sized cities, and 72 small cities, based on Chinese census data. We then conducted a grouped regression analysis, with the results presented in Table 6. The findings indicate that digital transformation significantly enhances the innovation resilience of large cities, while its effect on medium-sized and small cities is not statistically significant.
Table 6.
City size heterogeneity test results.
This disparity can be attributed to the greater availability of innovation resources in large cities, which typically host concentration of high-end talent, research institutions, and businesses. These resources facilitate the effective enhancement of innovation resilience through digital transformation. In contrast, medium-sized and small cities often lack such resources, limiting the effectiveness of digital transformation initiatives. Additionally, large cities benefit from more advanced infrastructure, particularly in information technology, communications networks, and digital services, which create a favorable environment for digital transformation. By contrast, medium-sized and small cities frequently struggle with underdeveloped infrastructure, which hinders the effective implementation of digital technologies and slows innovation development.
5.4. Mechanism Analysis
5.4.1. Mediation Effect Analysis
Columns (1) and (2) of Table 7 present the results of the mediation effects analysis. The coefficients of DT in both columns (1) and (2), as well as the coefficient of GTFP in column (2), are statistically significant at the 1% level. Moreover, the coefficient of DT in column (2) is smaller than that in the benchmark regression, confirming that GTFP partially mediates the relationship between digital transformation and urban innovation resilience, thus supporting Hypothesis 2. Additionally, the Sobel test (see Table 8) and the Bootstrap test (see Table 9) both yield significant results, further reinforcing the robustness of our mediation effect findings.
Table 7.
Mechanism analysis results.
Table 8.
Sobel test results.
Table 9.
Bootstrap test results.
Digital transformation introduces smarter, more efficient, and low-carbon production methods, promoting the optimal allocation of resources and the restructuring of industrial, which in turn enhances GTFP. The improvement in GTFP enables cities to advance innovation and technological progress in an environmentally sustainable manner, thereby strengthening their ability to withstand and recover from external shocks. By boosting GTFP, digital transformation creates a more conducive environment for fostering innovation and resilience, while simultaneously reducing environmental impacts and driving industrial innovation. Therefore, GTFP plays a crucial mediating role in the relationship between digital transformation and urban innovation resilience, serving as a key mechanism through which digital transformation not only fuels economic and technological growth but also contributes to sustainability and overall urban innovation resilience.
5.4.2. Moderation Effect Analysis
We examined the moderating effects of urban industrial upgrading and urban innovation vitality on the impact of digital transformation on urban innovation resilience, as shown in columns (3) to (6) of Table 7. Specifically, columns (3) and (4) test the moderating effect of urban industrial upgrading, while columns (5) and (6) test the moderating effect of urban innovation vitality. The results reveal that the coefficients of the interaction terms are significant at the 1% level, indicating that both urban industrial upgrading and urban innovation vitality positively moderate the relationship between digital transformation and urban innovation resilience. These findings support Hypotheses 3 and 4.
Urban industrial upgrading typically involves the shift from low-tech, low-value-added traditional industries to high-tech, high-value-added modern sectors. As the industrial structure is optimized, the integration of digital technologies and the enhancement of innovation capabilities become key drivers of urban development. During the process of industrial upgrading, especially the transition toward digitalization, intelligence, and sustainability, cities can improve resource allocation efficiency and foster more effective production models. This transformation not only enhances the city’s economic structure but also strengthens its ability to withstand external shocks and crises, thereby boosting innovation resilience. Consequently, industrial upgrading significantly amplifies the positive impact of digital transformation on urban innovation resilience, playing a moderating role in this relationship.
Urban innovation vitality is a crucial factor in urban development. Cities with high innovation vitality typically host numerous research institutions, technology-based enterprises, and skilled talent, all of which drive innovation. When digital transformation occurs within such a dynamic innovation environment, it not only supports industrial upgrading by enhancing technological capabilities but also accelerates the adoption of new technologies and innovative models. The vitality of innovation provides ample resources and support for digital transformation, maximizing its benefits and further improving the city’s adaptability and resilience in the face of external shocks. Thus, urban innovation vitality also serves a positive moderating role, amplifying the impact of digital transformation on innovation resilience.
5.5. Discussion of Results
The empirical analysis of this study demonstrates that digital transformation enhances urban innovation resilience, highlighting its critical role in driving sustainable urban innovation. According to innovation-driven development theory, digital transformation acts as a catalyst for technological innovation, fostering the intelligent and efficient transformation of urban industries. It also strengthens urban innovation resilience by improving resource allocation and increasing production efficiency. Additionally, urban innovation ecosystem theory further explains that digital transformation promotes collaboration among various innovation entities within the city, thereby improving overall innovation effectiveness and resource utilization. Through this collaborative innovation mechanism, cities are better equipped to adapt to external environmental changes and emergencies, thereby enhancing their innovation resilience. Moving forward, governments should implement more proactive policies to optimize digital infrastructure, facilitate the integration of digital technologies and innovation resources, and create a policy environment conducive to digital transformation. These measures will provide robust support for enhancing urban innovation resilience.
Compared to existing research, this study makes a significant contribution by incorporating the concept of “innovation resilience” into the urban resilience framework, filling a gap in the literature and providing a new perspective on the study of urban resilience. Most current studies on urban resilience primarily focus on its environmental, social, and economic dimensions, particularly in terms of the ability to respond to natural disasters, climate change, or social crises [10,87,93,94]. However, research on how to enhance long-term urban adaptability and sustainability through innovation in the context of global competition remains limited. This study addresses this gap by introducing the concept of “innovation resilience,” thereby expanding the theoretical framework of urban resilience.
Furthermore, this study explores the key mechanisms through which digital transformation enhances urban innovation resilience. While existing research predominantly focuses on the macro-level impacts of digital transformation on urban innovation resilience, or provides theoretical explanations, it rarely delves into the specific mechanisms through which digital transformation fosters urban [14,89]. This study not only demonstrates that digital transformation directly enhances urban innovation resilience via the pathway of GTFP, but also provides an in-depth analysis of how urban industrial upgrading and urban innovation vitality, as moderating factors, play a critical role in this process. These mechanisms not only complement the theoretical explanations of the relationship between digital transformation and urban innovation resilience found in the existing literature, but also offer policymakers concrete recommendations on how to leverage digital transformation to enhance urban innovation resilience.
Finally, by analyzing the differences in the levels of digital transformation and urban innovation resilience across regions and cities of different sizes, this study reveals the regional heterogeneity in the impact of digital transformation on urban innovation resilience and explores the key factors influencing this heterogeneity. This not only expands the scope of existing research but also provides policymakers with tailored strategies for addressing regional disparities.
However, despite its valuable insights, this study has several notable limitations. First, while digital transformation is widely recognized as a key driver of urban innovation resilience, its underlying mechanisms are likely to be complex. The analysis of potential mechanisms in this study remains limited. Future research should explore how digital transformation influences urban innovation resilience through specific technological pathways, policy support, and the interactions among various stakeholders within the innovation ecosystem. Second, the measurement approach used in this study may have inherent limitations, as it fails to fully capture the complexity and multidimensional nature of urban innovation resilience. Future studies should adopt more advanced measurement techniques, such as multi-level and dynamic indicator systems, incorporating both quantitative and qualitative data, to more precisely assess urban innovation resilience and provide a deeper understanding of the variations between cities during the digital transformation process, thereby offering a stronger foundation for policymaking.
6. Conclusions and Policy Implications
Digital transformation is critical for innovation-driven development, while urban innovation resilience serves as a key indicator of regional innovation stability. Both factors are essential for fostering high-quality and sustained economic growth. This study uses panel data from 285 prefecture-level and above cities in China, covering the period from 2007 to 2022, to examine the impact of digital transformation on urban innovation resilience. The analysis also includes a heterogeneity analysis and explores underlying mechanism. The findings indicate that digital transformation positively impacts urban innovation resilience. Additionally, the heterogeneity analysis reveals regional and city-size variations in the effects of digital transformation. Specifically, digital transformation significantly enhances urban innovation resilience in the eastern and central regions, but its impact is not significant in the western region. Moreover, digital transformation notably improves the innovation resilience of large cities, but has no significant effect on small and medium-sized cities. Lastly, this study shows that digital transformation boosts urban innovation resilience through the mediating role of GTFP. Furthermore, urban industrial upgrading and urban innovation vitality act as moderating factors that influence the relationship between digital transformation and urban innovation resilience.
The policy implications of this study are as follows. First, policymakers should recognize the pivotal role of digital transformation in enhancing urban innovation resilience and actively promote the integration of digital technologies to accelerate urban innovation development. Advancing digital transformation not only fosters the sustainable growth of urban innovation but also strengthens a city’s ability to respond to external shocks and crises, thereby enhancing its long-term competitiveness. A key component of this process is the development of digital infrastructure. Digital infrastructure encompasses not only physical hardware but also essential software, network technologies, and security systems necessary for the seamless operation of digital services, such as data centers, cloud computing resources, and information security systems. Achieving successful digital transformation requires ongoing investment and strategic foresight. Therefore, policymakers should prioritize investments in the construction and enhancement of digital infrastructure, laying a solid foundation for transformation. Through sustained support and optimization, urban innovation resilience can be further bolstered, ensuring that cities remain competitive in an increasingly complex global economic environment.
Secondly, policymakers must account for regional disparities in development when promoting digital transformation. This study indicates that digital transformation significantly enhances innovation resilience in large cities and those in the eastern and central regions, while its impact in small and medium-sized cities, as well as western regions, is not significant. Therefore, digital infrastructure should be deployed strategically to maximize its efficiency and utility. In economically developed areas and large cities, it is crucial to leverage existing infrastructure and technological advantages. Policymakers should prioritize investments in cutting-edge technologies, such as artificial intelligence and big data, and foster the growth of high-tech industries to enhance innovation resilience and adaptability. In contrast, underdeveloped regions and smaller cities should focus on strengthening and modernizing basic network infrastructure to ensure equitable access to essential digital services, reduce the digital divide, and promote balanced development. Although the short-term impact of digital transformation on innovation resilience may be limited in these regions, modernizing infrastructure will lay a solid foundation for future improvements. Additionally, policies should focus on enhancing human capital by improving workforce digital capabilities through training, promoting collaboration between industry, academia, and research institutions, and strengthening technical education. Moreover, it is vital to support technology absorption by fostering local innovation and facilitating technology transfer platforms, enabling regions to better adopt and apply advanced technologies. Simultaneously, the government should implement differentiated digital transformation policies, offering targeted financial support and policy guidance tailored to the unique characteristics of different region to narrow the digital divide. Finally, supporting enterprise digital transformation through funding, tax incentives, and digital consulting services will enhance their competitiveness and promote regional economy upgrading. By implementing these measures, regions and cities can significantly improve their technology absorptive capacity and human capital, accelerating the digital transformation process.
Thirdly, policymakers should focus on the roles of GTFP, urban industrial upgrading, and urban innovation vitality in the mechanism through which digital transformation drives urban innovation resilience. GTFP, as a mediating variable, plays a crucial role by improving resource efficiency and reducing environmental costs. It enhances the environmental benefits of digital transformation by promoting green technological innovation and sustainable production methods, thereby strengthening cities’ innovation resilience. At the same time, urban industrial upgrading and urban innovation vitality, as moderating variables, influence the impact of digital transformation on innovation resilience at different levels. Industrial upgrading steers cities towards higher-tech, higher-value-added industries, improving resource allocation efficiency and technological capabilities, which positively moderates the effect of digital transformation on urban innovation resilience. Urban innovation vitality, on the other hand, fosters collaboration among innovation entities, accelerates technological innovation, and facilitates talent mobility, providing strong support for digital transformation. Policymakers should design targeted policies that promote the synergistic interaction of these factors, thereby enhancing urban innovation resilience in a comprehensive manner.
Author Contributions
R.Y.: writing—original draft, methodology, software, revising. Y.C.: data curation, visualization, investigation. Y.J.: conceptualization, data curation, investigation, project administration, writing—review and editing. S.Z.: writing—review and editing. All authors have read and agreed to the published version of the manuscript.
Funding
This research did not receive any specific grant from funding agencies in the public, commercial, or not-for-profit sectors.
Data Availability Statement
The data presented in this study are available on request from the corresponding author. The data are not publicly available due to the necessity of further research and the potential for increased publication opportunities by retaining the data.
Acknowledgments
We are grateful to the editors and the anonymous reviewers for their constructive guidance.
Conflicts of Interest
The authors declare no conflict of interest.
References
- Martin, R. Regional economic resilience, hysteresis and recessionary shocks. J. Econ. Geogr. 2012, 12, 1–32. [Google Scholar] [CrossRef]
- Haavik, T.K. Societal resilience—Clarifying the concept and upscaling the scope. Saf. Sci. 2020, 132, 104964. [Google Scholar] [CrossRef]
- Marana, P.; Eden, C.; Eriksson, H.; Grimes, C.; Hernantes, J.; Howick, S.; Labaka, L.; Latinos, V.; Lindner, R.; Majchrzak, T.A.; et al. Towards a resilience management guideline—Cities as a starting point for societal resilience. Sustain. Cities Soc. 2019, 48, 101531. [Google Scholar] [CrossRef]
- Gajewski, P. Regional resilience to the Covid-19 shock in Polish regions: How is it different from resilience to the 2008 Global Financial Crisis? Reg. Stud. Reg. Sci. 2022, 9, 672–684. [Google Scholar] [CrossRef]
- Arbolino, R.; Caro, P.D. Can the EU funds promote regional resilience at time of COVID-19? Insights from the Great Recession. J. Policy Model. 2021, 43, 109–126. [Google Scholar] [CrossRef]
- He, C.; Li, J.; Wang, W.; Zhang, P. Regional resilience during a trade war: The role of global connections and local networks. J. World Bus. 2024, 59, 101567. [Google Scholar] [CrossRef]
- Albers, M.; Deppisch, S. Resilience in the Light of Climate Change: Useful Approach or Empty Phrase for Spatial Planning? Eur. Plan. Stud. 2013, 21, 1598–1610. [Google Scholar] [CrossRef]
- Bastiaansen, R.; Doelman, A.; Eppinga, M.B.; Rietkerk, M. The effect of climate change on the resilience of ecosystems with adaptive spatial pattern formation. Ecol. Lett. 2020, 23, 414–429. [Google Scholar] [CrossRef] [PubMed]
- Sazvar, Z.; Zokaee, M.; Tavakkoli-Moghaddam, R.; Salari, S.A.-S.; Nayeri, S. Designing a sustainable closed-loop pharmaceutical supply chain in a competitive market considering demand uncertainty, manufacturer’s brand and waste management. Ann. Oper. Res. 2022, 315, 2057–2088. [Google Scholar] [CrossRef]
- Fu, S.; Liu, J.; Wang, J.; Tian, J.; Li, X. Enhancing urban ecological resilience through integrated green technology progress: Evidence from Chinese cities. Environ. Sci. Pollut. Res. 2024, 31, 36349–36366. [Google Scholar] [CrossRef]
- Douglass, M. From global intercity competition to cooperation for livable cities and economic resilience in Pacific Asia. Environ. Urban. 2002, 14, 53–68. [Google Scholar] [CrossRef]
- Piazza, M.; Mazzola, E.; Abbate, L.; Perrone, G. Network position and innovation capability in the regional innovation network. Eur. Plan. Stud. 2019, 27, 1857–1878. [Google Scholar] [CrossRef]
- Chen, J.; Wang, L.; Li, Y. Natural resources, urbanization and regional innovation capabilities. Resour. Policy 2020, 66, 101643. [Google Scholar] [CrossRef]
- Lv, W.-D.; Tian, D.; Wei, Y.; Xi, R.-X. Innovation Resilience: A New Approach for Managing Uncertainties Concerned with Sustainable Innovation. Sustainability 2018, 10, 3641. [Google Scholar] [CrossRef]
- Bristow, G.; Healy, A. Innovation and regional economic resilience: An exploratory analysis. Ann. Reg. Sci. 2018, 60, 265–284. [Google Scholar] [CrossRef]
- Hart, S.L. Innovation, Creative Destruction and Sustainability. Res. Technol. Manag. 2005, 48, 21–27. [Google Scholar] [CrossRef]
- Kraus, S.; Jones, P.; Kailer, N.; Weinmann, A.; Chaparro-Banegas, N.; Roig-Tierno, N. Digital Transformation: An Overview of the Current State of the Art of Research. Sage Open 2021, 11, 21582440211047576. [Google Scholar] [CrossRef]
- Peng, Y.; Tao, C. Can digital transformation promote enterprise performance? —From the perspective of public policy and innovation. J. Innov. Knowl. 2022, 7, 100198. [Google Scholar] [CrossRef]
- Kraus, S.; Durst, S.; Ferreira, J.J.; Veiga, P.; Kailer, N.; Weinmann, A. Digital transformation in business and management research: An overview of the current status quo. Int. J. Inf. Manag. 2022, 63, 102466. [Google Scholar] [CrossRef]
- Zhu, W.; Chen, J. The spatial analysis of digital economy and urban development: A case study in Hangzhou, China. Cities 2022, 123, 103563. [Google Scholar] [CrossRef]
- Zhang, Q.; Wu, P.; Li, R.; Chen, A. Digital transformation and economic growth Efficiency improvement in the Digital media era: Digitalization of industry or Digital industrialization? Int. Rev. Econ. Financ. 2024, 92, 667–677. [Google Scholar] [CrossRef]
- Bai, T.; Qi, Y.; Li, Z.; Xu, D. Digital economy, industrial transformation and upgrading, and spatial transfer of carbon emissions: The paths for low-carbon transformation of Chinese cities. J. Environ. Manag. 2023, 344, 118528. [Google Scholar] [CrossRef] [PubMed]
- Demin, S.; Mikhaylova, A.; Pyankova, S. Digitalization and its impact on regional economy transformation mechanisms. Int. J. Syst. Assur. Eng. Manag. 2023, 14, 377–390. [Google Scholar] [CrossRef]
- Bengtsson, M.; Alfredsson, E.; Cohen, M.; Lorek, S.; Schroeder, P. Transforming systems of consumption and production for achieving the sustainable development goals: Moving beyond efficiency. Sustain. Sci. 2018, 13, 1533–1547. [Google Scholar] [CrossRef] [PubMed]
- Jansen, L. The challenge of sustainable development. J. Clean. Prod. 2003, 11, 231–245. [Google Scholar] [CrossRef]
- Yigezu, Y.; El-Shater, T.; Aw-Hassan, A. Are Development Projects Pursuing Short-Term Benefits at the Expense of Sustainability? Sustainability 2017, 9, 1803. [Google Scholar] [CrossRef]
- Lekan, M.; Rogers, H.A. Digitally enabled diverse economies: Exploring socially inclusive access to the circular economy in the city. Urban Geogr. 2020, 41, 898–901. [Google Scholar] [CrossRef]
- Sturgeon, T.J. Upgrading strategies for the digital economy. Glob. Strategy J. 2021, 11, 34–57. [Google Scholar] [CrossRef]
- Si, S.; Hall, J.; Suddaby, R.; Ahlstrom, D.; Wei, J. Technology, entrepreneurship, innovation and social change in digital economics. Technovation 2023, 119, 102484. [Google Scholar] [CrossRef]
- Gong, C.; Ribiere, V. Developing a unified definition of digital transformation. Technovation 2021, 102, 102217. [Google Scholar] [CrossRef]
- Nadkarni, S.; Prügl, R. Digital transformation: A review, synthesis and opportunities for future research. Manag. Rev. Q. 2021, 71, 233–341. [Google Scholar] [CrossRef]
- Nicolás-Agustín, Á.; Jiménez-Jiménez, D.; Maeso-Fernandez, F. The role of human resource practices in the implementation of digital transformation. Int. J. Manpow. 2022, 43, 395–410. [Google Scholar] [CrossRef]
- Correani, A.; De Massis, A.; Frattini, F.; Petruzzelli, A.M.; Natalicchio, A. Implementing a Digital Strategy: Learning from the Experience of Three Digital Transformation Projects. Calif. Manag. Rev. 2020, 62, 37–56. [Google Scholar] [CrossRef]
- Schmidt, C.; Krimmer, R. How to implement the European digital single market: Identifying the catalyst for digital transformation. J. Eur. Integr. 2022, 44, 59–80. [Google Scholar] [CrossRef]
- Llopis-Albert, C.; Rubio, F.; Valero, F. Impact of digital transformation on the automotive industry. Technol. Forecast. Soc. Chang. 2021, 162, 120343. [Google Scholar] [CrossRef] [PubMed]
- Wang, Q.-J.; Wang, H.-J.; Feng, G.-F.; Chang, C.-P. Impact of digital transformation on performance of environment, social, and governance: Empirical evidence from China. Bus. Ethics Environ. Responsib. 2023, 32, 1373–1388. [Google Scholar] [CrossRef]
- Gu, R.; Li, C.; Yang, Y.; Zhang, J. The impact of industrial digital transformation on green development efficiency considering the threshold effect of regional collaborative innovation: Evidence from the Beijing-Tianjin-Hebei urban agglomeration in China. J. Clean. Prod. 2023, 420, 138345. [Google Scholar] [CrossRef]
- Appio, F.P.; Frattini, F.; Petruzzelli, A.M.; Neirotti, P. Digital Transformation and Innovation Management: A Synthesis of Existing Research and an Agenda for Future Studies. J. Prod. Innov. Manag. 2021, 38, 4–20. [Google Scholar] [CrossRef]
- Tsou, H.-T.; Chen, J.-S. How does digital technology usage benefit firm performance? Digital transformation strategy and organisational innovation as mediators. Technol. Anal. Strateg. Manag. 2023, 35, 1114–1127. [Google Scholar] [CrossRef]
- Ko, A.; Fehér, P.; Kovacs, T.; Mitev, A.; Szabó, Z. Influencing factors of digital transformation: Management or IT is the driving force? Int. J. Innov. Sci. 2022, 14, 1–20. [Google Scholar] [CrossRef]
- Tangi, L.; Janssen, M.; Benedetti, M.; Noci, G. Digital government transformation: A structural equation modelling analysis of driving and impeding factors. Int. J. Inf. Manag. 2021, 60, 102356. [Google Scholar] [CrossRef]
- Kane, G. The Technology Fallacy. Res. Technol. Manag. 2019, 62, 44–49. [Google Scholar] [CrossRef]
- Manny, L.; Duygan, M.; Fischer, M.; Rieckermann, J. Barriers to the digital transformation of infrastructure sectors. Policy Sci. 2021, 54, 943–983. [Google Scholar] [CrossRef] [PubMed]
- Plekhanov, D.; Franke, H.; Netland, T.H. Digital transformation: A review and research agenda. Eur. Manag. J. 2023, 41, 821–844. [Google Scholar] [CrossRef]
- Yoo, I.; Yi, C.-G. Economic Innovation Caused by Digital Transformation and Impact on Social Systems. Sustainability 2022, 14, 2600. [Google Scholar] [CrossRef]
- Huang, Y. Digital transformation of enterprises: Job creation or job destruction? Technol. Forecast. Soc. Chang. 2024, 208, 123733. [Google Scholar] [CrossRef]
- Nambisan, S.; Wright, M.; Feldman, M. The digital transformation of innovation and entrepreneurship: Progress, challenges and key themes. Res. Policy 2019, 48, 103773. [Google Scholar] [CrossRef]
- Hu, Y.; Liu, J.; Zhang, S.; Liu, Y.; Xu, H.; Liu, P. New mechanisms for increasing agricultural total factor productivity: Analysis of the regional effects of the digital economy. Econ. Anal. Policy 2024, 83, 766–785. [Google Scholar] [CrossRef]
- Xiao, J.; Tan, Z.; Han, J. The Power of Big Data: The Impact of Urban Digital Transformation on Green Total Factor Productivity. Systems 2024, 12, 4. [Google Scholar] [CrossRef]
- Pan, W.; Xie, T.; Wang, Z.; Ma, L. Digital economy: An innovation driver for total factor productivity. J. Bus. Res. 2022, 139, 303–311. [Google Scholar] [CrossRef]
- Glisovic, J.; González, H.; Saltuk, Y.; de Mariz, F. Volume Growth and Valuation Contraction, Global Microfinance Equity Valuation Survey 2012; Working Paper 89806; World Bank Group: Washington, DC, USA, 1 May 2012. [Google Scholar]
- Zheng, X.; Zhang, X.; Fan, D. Digital transformation, industrial structure change, and economic growth motivation: An empirical analysis based on manufacturing industry in Yangtze River Delta. PLoS ONE 2023, 18, e0284803. [Google Scholar] [CrossRef]
- Wu, D.; Xie, Y.; Lyu, S. Disentangling the complex impacts of urban digital transformation and environmental pollution: Evidence from smart city pilots in China. Sustain. Cities Soc. 2023, 88, 104266. [Google Scholar] [CrossRef]
- Pappas, I.O.; Mikalef, P.; Dwivedi, Y.K.; Jaccheri, L.; Krogstie, J. Responsible Digital Transformation for a Sustainable Society. Inf. Syst. Front. 2023, 25, 945–953. [Google Scholar] [CrossRef] [PubMed]
- Oeij, P.R.; Dhondt, S.; Gaspersz, J. Mindful infrastructure as an enabler of innovation resilience behaviour in innovation teams. Team Perform. Manag. 2016, 22, 334–353. [Google Scholar] [CrossRef]
- Ribeiro, P.J.G.; Pena Jardim Gonçalves, L.A. Urban resilience: A conceptual framework. Sustain. Cities Soc. 2019, 50, 101625. [Google Scholar] [CrossRef]
- Feng, Y.; Lee, C.-C.; Peng, D. Does regional integration improve economic resilience? Evidence from urban agglomerations in China. Sustain. Cities Soc. 2023, 88, 104273. [Google Scholar] [CrossRef]
- Hu, X.; Li, L.; Dong, K. What matters for regional economic resilience amid COVID-19? Evidence from cities in Northeast China. Cities 2022, 120, 103440. [Google Scholar] [CrossRef]
- Giannakis, E.; Bruggeman, A. Regional disparities in economic resilience in the European Union across the urban–rural divide. Reg. Stud. 2020, 54, 1200–1213. [Google Scholar] [CrossRef]
- Park, Y.W.; Shintaku, J. Sustainable Human–Machine Collaborations in Digital Transformation Technologies Adoption: A Comparative Case Study of Japan and Germany. Sustainability 2022, 14, 10583. [Google Scholar] [CrossRef]
- Ohlert, C.; Giering, O.; Kirchner, S. Who is leading the digital transformation? Understanding the adoption of digital technologies in Germany. New Technol. Work Employ. 2022, 37, 445–468. [Google Scholar] [CrossRef]
- Boccardo, P.; La Riccia, L.; Yadav, Y. Urban Echoes: Exploring the Dynamic Realities of Cities through Digital Twins. Land 2024, 13, 635. [Google Scholar] [CrossRef]
- Pershina, R.; Soppe, B.; Thune, T.M. Bridging analog and digital expertise: Cross-domain collaboration and boundary-spanning tools in the creation of digital innovation. Res. Policy 2019, 48, 103819. [Google Scholar] [CrossRef]
- Li, M.; Fu, Y.; Chen, Q.; Qu, T. Blockchain-enabled digital twin collaboration platform for heterogeneous socialized manufacturing resource management. Int. J. Prod. Res. 2023, 61, 3963–3983. [Google Scholar] [CrossRef]
- Machado, A.D.B.; Secinaro, S.; Calandra, D.; Lanzalonga, F. Knowledge management and digital transformation for Industry 4.0: A structured literature review. Knowl. Manag. Res. Pract. 2022, 20, 320–338. [Google Scholar] [CrossRef]
- Warner, K.S.R.; Wäger, M. Building dynamic capabilities for digital transformation: An ongoing process of strategic renewal. Long Range Plan. 2019, 52, 326–349. [Google Scholar] [CrossRef]
- Qiao, W.; Ju, Y.; Dong, P.; Tiong, R.L.K. How to realize value creation of digital transformation? A system dynamics model. Expert Syst. Appl. 2024, 244, 122667. [Google Scholar] [CrossRef]
- Ghosh, S.; Hughes, M.; Hodgkinson, I.; Hughes, P. Digital transformation of industrial businesses: A dynamic capability approach. Technovation 2022, 113, 102414. [Google Scholar] [CrossRef]
- Acs, Z.J.; Song, A.K.; Szerb, L.; Audretsch, D.B.; Komlósi, É. The evolution of the global digital platform economy: 1971–2021. Small Bus. Econ. 2021, 57, 1629–1659. [Google Scholar] [CrossRef]
- Acs, Z.J. The global digital platform economy and the region. Ann. Reg. Sci. 2023, 70, 101–133. [Google Scholar] [CrossRef]
- Xia, F.; Xu, J. Green total factor productivity: A re-examination of quality of growth for provinces in China. China Econ. Rev. 2020, 62, 101454. [Google Scholar] [CrossRef]
- Yu, J.; Xu, Y.; Zhou, J.; Chen, W. Digital transformation, total factor productivity, and firm innovation investment. J. Innov. Knowl. 2024, 9, 100487. [Google Scholar] [CrossRef]
- Chen, X.; Zhou, P.; Hu, D. Influences of the ongoing digital transformation of the Chinese Economy on innovation of sustainable green technologies. Sci. Total Environ. 2023, 875, 162708. [Google Scholar] [CrossRef]
- Dou, Q.; Gao, X. How does the digital transformation of corporates affect green technology innovation? An empirical study from the perspective of asymmetric effects and structural breakpoints. J. Clean. Prod. 2023, 428, 139245. [Google Scholar] [CrossRef]
- Lv, L.; Chen, Y. The Collision of digital and green: Digital transformation and green economic efficiency. J. Environ. Manag. 2024, 351, 119906. [Google Scholar] [CrossRef] [PubMed]
- Zhou, Y. Natural resources and green economic growth: A pathway to innovation and digital transformation in the mining industry. Resour. Policy 2024, 90, 104667. [Google Scholar] [CrossRef]
- Feng, S.; Zhang, R.; Di, D.; Li, G. Does digital transformation promote global value chain upgrading? Evidence from Chinese manufacturing firms. Econ. Model. 2024, 139, 106810. [Google Scholar] [CrossRef]
- Chang, H.; Ding, Q.; Zhao, W.; Hou, N.; Liu, W. The digital economy, industrial structure upgrading, and carbon emission intensity——Empirical evidence from China’s provinces. Energy Strategy Rev. 2023, 50, 101218. [Google Scholar] [CrossRef]
- Norberg-Bohm, V. Creating Incentives for Environmentally Enhancing Technological Change: Lessons from 30 Years of U.S. Energy Technology Policy. Technol. Forecast. Soc. Chang. 2000, 65, 125–148. [Google Scholar] [CrossRef]
- Chong, Y.; Zhang, Y.; Di, D.; Chen, Y.; Wang, S. Digital transformation and synergistic reduction in pollution and carbon Emissions——An analysis from a dynamic capability perspective. Environ. Res. 2024, 261, 119683. [Google Scholar] [CrossRef] [PubMed]
- Liu, B.; Qiu, Z.; Hu, L.; Hu, D.; Nai, Y. How digital transformation facilitate synergy for pollution and carbon reduction: Evidence from China. Environ. Res. 2024, 251, 118639. [Google Scholar] [CrossRef] [PubMed]
- Yang, G.; Deng, F. The impact of digital transformation on enterprise vitality—Evidence from listed companies in China. Technol. Anal. Strateg. Manag. 2024, 36, 3955–3972. [Google Scholar] [CrossRef]
- Sun, Y.; You, X. Do digital inclusive finance, innovation, and entrepreneurship activities stimulate vitality of the urban economy? Empirical evidence from the Yangtze River Delta, China. Technol. Soc. 2023, 72, 102200. [Google Scholar] [CrossRef]
- Chen, Z.; Dong, B.; Pei, Q.; Zhang, Z. The impacts of urban vitality and urban density on innovation: Evidence from China’s Greater Bay Area. Habitat Int. 2022, 119, 102490. [Google Scholar] [CrossRef]
- Marcus, M.; Sant’Anna, P.H.C. The Role of Parallel Trends in Event Study Settings: An Application to Environmental Economics. J. Assoc. Environ. Resour. Econ. 2020, 8, 235–275. [Google Scholar] [CrossRef]
- Baron, R.M.; Kenny, D.A. The moderator–mediator variable distinction in social psychological research: Conceptual, strategic, and statistical considerations. J. Personal. Soc. Psychol. 1986, 51, 1173–1182. [Google Scholar] [CrossRef] [PubMed]
- Martin, R.; Gardiner, B. The resilience of cities to economic shocks: A tale of four recessions (and the challenge of Brexit). Pap. Reg. Sci. 2019, 98, 1801–1832. [Google Scholar] [CrossRef]
- van der Loos, A.; Frenken, K.; Hekkert, M.; Negro, S. On the resilience of innovation systems. Ind. Innov. 2024, 31, 42–74. [Google Scholar] [CrossRef]
- Wu, L.; Zhu, C.; Wang, G. The impact of green innovation resilience on energy efficiency: A perspective based on the development of the digital economy. J. Environ. Manag. 2024, 355, 120424. [Google Scholar] [CrossRef]
- Bristow, G.; Healy, A. Handbook on Regional Economic Resilience; Edward Elgar Publishing: Cheltenham, UK, 2020. [Google Scholar]
- Peng, C.; Yuan, M.; Gu, C.; Peng, Z.; Ming, T. A review of the theory and practice of regional resilience. Sustain. Cities Soc. 2017, 29, 86–96. [Google Scholar] [CrossRef]
- Asheim, B.T.; Smith, H.L.; Oughton, C. Regional Innovation Systems: Theory, Empirics and Policy. Reg. Stud. 2011, 45, 875–891. [Google Scholar] [CrossRef]
- Christopherson, S.; Michie, J.; Tyler, P. Regional resilience: Theoretical and empirical perspectives. Camb. J. Reg. Econ. Soc. 2010, 3, 3–10. [Google Scholar] [CrossRef]
- Trippl, M.; Fastenrath, S.; Isaksen, A. Rethinking regional economic resilience: Preconditions and processes shaping transformative resilience. Eur. Urban Reg. Stud. 2023, 31, 101–115. [Google Scholar] [CrossRef]
Disclaimer/Publisher’s Note: The statements, opinions and data contained in all publications are solely those of the individual author(s) and contributor(s) and not of MDPI and/or the editor(s). MDPI and/or the editor(s) disclaim responsibility for any injury to people or property resulting from any ideas, methods, instructions or products referred to in the content. |
© 2024 by the authors. Licensee MDPI, Basel, Switzerland. This article is an open access article distributed under the terms and conditions of the Creative Commons Attribution (CC BY) license (https://creativecommons.org/licenses/by/4.0/).




