Next Article in Journal
Does Government Digital Transformation Drive High-Quality Urban Economic Development? Evidence from E-Government Platform Construction
Next Article in Special Issue
Modeling a Green and Reliable Intermodal Routing Problem for Food Grain Transportation Under Carbon Tax and Trading Regulations and Multi-Source Uncertainty
Previous Article in Journal
An Improved Driving Safety Field Model Based on Vehicle Movement Uncertainty for Highway Ramp Influence Areas
Previous Article in Special Issue
A Bi-Objective Model for the Multi-Period Inventory-Based Reverse Logistics Network: A Case Study from an Automobile Component Distribution Network
 
 
Font Type:
Arial Georgia Verdana
Font Size:
Aa Aa Aa
Line Spacing:
Column Width:
Background:
Article

Differential Games of Supply Chain on Consideration of Low-Carbon Reference Effect under Different Carbon Quota Allocation Methods

1
College of Management, Xi’an University of Science and Technology, Xi’an 710054, China
2
Energy Economic Research Center, Xi’an University of Science and Technology, Xi’an 710054, China
3
Human Factors and Management Ergonomics Research Center, Xi’an University of Science and Technology, Xi’an 710054, China
*
Author to whom correspondence should be addressed.
Systems 2024, 12(9), 371; https://doi.org/10.3390/systems12090371
Submission received: 12 July 2024 / Revised: 11 September 2024 / Accepted: 13 September 2024 / Published: 15 September 2024
(This article belongs to the Special Issue Multi-criteria Decision Making in Supply Chain Management)

Abstract

The carbon quota allocation method serves as the foundation for the design of the carbon trading mechanism, which has a significant impact on supply chain production decisions and the operational efficiency of the carbon trading market. To analyze the behavioral decision problem of supply chain members under different carbon quota allocation methods, the low-carbon reference effect is introduced to characterize the effect of consumers’ low-carbon preference on market demand. On this basis, three differential game models are constructed, namely, no emissions penalty, trading under the grandfathering principle, and trading under the benchmarking principle. The results indicate that the implementation of carbon trading policies enhances consumers’ low-carbon reference levels, the carbon emission reduction levels of manufacturers, and the low-carbon publicity levels of retailers. Moreover, the enhancement of the low-carbon reference effect becomes a positive driver of profit growth. Manufacturers are observed to make more efforts in carbon reduction under the benchmarking principle compared to the grandfathering principle. In contrast, the level of low-carbon publicity by retailers remains unchanged. The above findings can provide a scientific basis for the decision-making of emission reduction in low-carbon supply chain enterprises, which has certain theoretical significance.

1. Introduction

The potential threat to the environment caused by increasing greenhouse gas (GHG) emissions is accelerating the process of global warming due to the increase in carbon emissions from industrial production and domestic consumption [1]. In recognition of the importance of reducing carbon emissions, governments and public sectors have reached a consensus on the concept of “carbon neutrality” [2]. To achieve this goal, governments across the globe have implemented a series of measures to reduce carbon emissions [3,4], including energy storage resource management, carbon emissions trading, carbon taxes, carbon subsidies, and renewable energy subsidies. Among these measures, carbon emissions trading represents a pivotal policy instrument for reducing GHG emissions, such as carbon dioxide, and for actively and steadily advancing carbon peaking and carbon neutrality. This is achieved through the control of market mechanisms, which regard carbon dioxide emission rights as a commodity and establish a carbon dioxide emission right trading market [5]. The “Emissions Trading Worldwide 2023 Status Report” published by the International Carbon Action Partnership (ICAP) indicates that regions accounting for 55% of the world’s GDP and 1/3 of the world’s population operate 28 carbon markets, which collectively cover 17% of total GHG emissions [6]. Meanwhile, China is also actively establishing a carbon market and promoting carbon emissions trading, and “Interim rules for carbon emissions trading management” have come into force since 1 May 2024 [7].
The carbon quota allocation method represents the foundational element of the carbon trading market, serving as the basis for the subsequent design of the carbon trading mechanism. Two primary categories of carbon quota allocation methods exist: free allocation and compensated allocation. In the nascent stages of the carbon trading market, the free allocation method can reduce the participation costs of companies and facilitate the implementation of carbon trading policies [8]. Two principal methods may be employed to achieve such an allocation: the grandfathering principle and the benchmarking principle. The grandfathering principle establishes the initial total carbon quota based on the enterprise’s historical production carbon emission statistics. In contrast, the benchmarking principle is based on the principle of “one product, one benchmark”, whereby the government determines the benchmark carbon quota for an industry based on the industry’s total carbon emission statistics. The total carbon quota allocated to an enterprise is then calculated as the product of the benchmark carbon quota and the enterprise’s production volume.
The grandfathering principle has a less negative impact on enterprises’ production and a relatively simple allocation process. However, it may result in a reduction in the necessity for early trading. The benchmarking principle is more restrictive for high carbon emitters and can address fairness issues in a more equitable manner. However, the process of establishing benchmarks is more complex and rigorous. These two initial carbon quota allocation methods have distinct advantages and disadvantages, and their implementation varies by country and period. For instance, the European Union has implemented a hybrid system of free and remunerated carbon quota allocation. This system will gradually expand the benchmarking principle based on the grandfathering principle, with a certain percentage of remunerated auctions introduced in stages 1 and 2. New Zealand has developed allocation methods and credits for different industries [9]. Additionally, a combination of multiple scenarios, including grandfathering, benchmarking principles, and purchasing, has been adopted for a single industry. China’s carbon market quota allocation is based on grandfathering and benchmarking guidelines, with varying methods across provinces. For example, Guangdong Province employs the benchmarking principle for the paper industry, whereas Hubei Province employs the grandfathering principle [10]. Furthermore, the carbon quota allocation mechanism is not fixed and may also be adjusted within specific industries, according to the relevant regulations. For instance, Shenzhen modified its quota allocation method from the benchmarking principle to the grandfathering principle in 2021 for four specific industries: public transportation, port terminal, hazardous waste treatment, and subway. Additionally, Beijing altered the quota approval method from the grandfathering principle to the benchmarking principle in 2022 for two subsectors: other power generation (pumped storage) and power supply (grid). As the carbon trading market continues to evolve, an increasing number of enterprises are pursuing the optimization of their production processes and technologies with the objective of achieving low-carbon production and reducing carbon emissions [11]. Presently, the manufacturing industry is the industrial sector with the highest energy consumption and most significant carbon emissions in China. Furthermore, manufacturing production is the primary contributor to excessive resource consumption [12]. Therefore, it is necessary to further investigate which method is more effective in incentivizing enterprises to engage in low-carbon manufacturing and carbon emission reduction: the grandfathering principle or the benchmarking principle.
At the consumer level, heightened low-carbon awareness among consumers will also provide an incentive for enterprises to engage in green emission reduction. The advent of information technology has facilitated consumers’ access to information regarding product pricing, quality, and green performance. The purchasing decisions of consumers with low-carbon preferences will be influenced not only by factors related to emission-reduction efforts and low-carbon advertisements but also by the information they have previously gathered and the expectations they have formed (reference points). Moreover, by comparing the actual low-carbon level of a current product with the low-carbon reference level of a previously purchased product, consumers are more likely to make a purchase when they perceive a gain [13]. According to NIQ 2024 Consumer Outlook, 66% of consumers are willing to pay more for sustainable goods, with millennials being the most willing to pay extra for sustainable products. About 45% of respondents indicated that a company’s commitment to environmental stewardship can influence their purchasing decisions. Therefore, this trend has prompted many companies to include carbon footprint information on their products, with the aim of enhancing their market competitiveness. As pivotal actors in the initial stages of the supply chain, manufacturers are implementing measures to enhance the environmental sustainability of their products and bolster their corporate reputation. For example, the Midea Group, headquartered in Guangdong Province, China, is dedicated to the establishment of a low-carbon supply chain. Their air-conditioning products are manufactured in accordance with green manufacturing technology and energy-saving equipment, and the use of environmentally friendly materials, such as GWP refrigerants, is prioritized in product design in order to reduce the impact on the environment.
In conclusion, enterprises guarantee the stable operation of the carbon trading market by engaging in the purchase or sale of carbon emission credits within the carbon trading market. Although the government is not directly involved in carbon trading, it can indirectly influence carbon trading through the initial allocation of carbon quotas, the implementation of carbon pricing policies, and other means. These measures are designed to achieve the desired reduction in carbon emissions. Meanwhile, the low-carbon reference effect has a significant impact on consumer behavior and enterprise product decisions. Consequently, the equations include both the carbon quota and the consumers’ low-carbon reference effect. By examining the influence of disparate carbon quota distribution methods on the decision-making processes of supply chain members, it is possible to establish a foundation upon which manufacturers and retailers can base their emission-reduction strategies. Furthermore, this paper makes a further contribution by focusing on the fact that the reduction in carbon emissions by enterprises in the supply chain is a process that extends over a long period of time. The effect of decisions made by these enterprises in previous stages will affect the decisions made regarding the reduction in carbon emissions in subsequent stages. In addition, the carbon emissions of the final product will be affected by the decisions regarding the reduction in carbon emissions made by the different enterprises in the supply chain. Given this, it is assumed that the consumers’ low-carbon reference level exhibits dynamic change characteristics in line with the evolution of emission-reduction efforts and the influence of low-carbon publicity, which is introduced into different differential game models.
However, few studies have simultaneously considered the effects of different carbon quota allocation methods and consumer reference effects on the operational decisions of supply chain members. In light of this research gap, it is necessary to address the following questions: (1) How do the optimal paths of low-carbon reference levels for consumers differ under different carbon quota allocation scenarios? (2) What are the effects of different scenarios on manufacturers’ efforts to reduce emissions and retailers’ commitment to low-carbon practices? (3) How do different principles for carbon trading systems affect the profitability of supply chain members differently?
The rest of the paper is structured as follows: Section 2 presents a review of the literature on supply chain management under carbon trading policy, carbon quota allocation mechanisms, and consumers’ low-carbon reference effect and other related fields. Section 3 describes the supply chain differential game problem under different carbon quota methods and proposes hypotheses. Section 4 compares the optimal operating decisions of manufacturers and retailers under different carbon quota allocation methods. Section 5 is a numerical analysis. Section 6 is the discussion, and Section 7 concludes the paper and presents shortcomings and prospects. All demonstrations are provided in Appendix A.

2. Literature Review

2.1. Supply Chain Management under Carbon Trading Policy

The operational decisions of supply chain members under carbon trading policies have emerged as a prominent area of academic inquiry. Wang et al. [6] constructed three emission-reduction models for a secondary supply chain consisting of manufacturers and suppliers. They then compared the effects of different scenarios on product pricing, sales volume, and revenue of supply chain members under carbon quota trading. Their findings indicated that, under the two-way cooperation contract scenario, the supply chain profit and emission reduction are on average maximum. Yang et al. [14] considered the impact of different recycling modes on manufacturers’ optimal pricing, carbon emission reduction, and levy rate under carbon trading policy and found that the higher carbon trading price is conducive to members’ positive carbon emission reduction. In light of the information asymmetry and carbon trading mechanism, Zhao et al. [15] conducted an analysis of the impact of manufacturers’ direct sales of products to consumers (i.e., manufacturer encroachment) on carbon emission reduction and the performance of each supply chain member. Their findings indicate that when the direct sales cost of green manufacturers is low, the encroachment mode reduces carbon emissions compared to non-encroachment. Furthermore, Ji et al. [16] employed a two-stage Stackelberg game to investigate the production decisions of supply chain members under a carbon trading mechanism and further found that the over-allocation of carbon quotas by the government may affect the wholesale price of manufacturers. Cai and Jiang [17] constructed a low-carbon supply chain system consisting of suppliers and manufacturers under three power structures and found that the carbon trading mechanism’s ability to improve the environment and the performance of the low-carbon supply chain is contingent upon the carbon quota and the carbon trading price. Moreover, Li et al. [18] proposed that although higher carbon trading prices can facilitate greater emission reduction, the profit of a green manufacturer may decline in the event of emission-reduction investments. Ma et al. [19] investigated the issue of information asymmetric procurement in a supply chain consisting of a single manufacturer and multiple suppliers and devised an effective carbon contract to guide the manufacturer in balancing the emission allowance based on the optimal number of orders. Xia and Niu [20] examined how contracts can be designed to facilitate investment in carbon-reducing technologies by manufacturers and green marketing efforts by retailers to reduce carbon footprints. In addition, Tang and Yang [21] examined the impact of varying power structures and financial systems on the operations of companies in the supply chain in the context of carbon trading. Zhen et al. [22] constructed a decision model of a financially constrained manufacturer in the context of carbon trading, which considered the manufacturer’s financing through both retailers and third-party platform companies.
The above studies mainly focus on the static analysis of the impacts of carbon trading mechanisms under the grandfathering principle on production and pricing, quantitative decision-making, carbon emission decision-making, and contract design of supply chain members. However, further investigation is required to ascertain the impact of the carbon trading mechanism under the benchmarking principle on the decision-making of companies, as well as the extent to which the carbon trading mechanisms under different principles contribute to reducing emissions in the supply chain.

2.2. Studies on Carbon Quota Allocation Mechanism

Previous studies have primarily focused on the carbon quota mechanism from both a macro and micro perspective. On the one hand, Wang et al. [23] conducted a macro-level analysis and demonstrated that the grandfathering principle is more suitable for low-carbon saving manufacturers, whereas the benchmarking principle is more suitable for high-carbon saving manufacturers. Furthermore, they investigated the supply chain system and the members’ preferences for different quota allocation methods under different conditions. Qi et al. [24] demonstrated that the benchmarking method markedly enhanced the low-carbon international competitiveness of industries by examining the heterogeneity of different pilot industries and carbon quota allocation methods. Chi et al. [25] constructed a system dynamics model under different scenarios and found that the grandfathering method stimulates the carbon trading market and reduces carbon emissions more than the benchmarking method. The study by Yoon and Oh on the impact of carbon quota allocation rules on the market structure in the Cournot duopoly market indicates that the benchmarking principle is more effective than the grandfathering principle in terms of emission-reduction investment and market output [26]. On the other hand, a number of scholars have studied the carbon quota allocation methods from a micro perspective. Zhang et al. [2] constructed a two-stage Stackelberg game model comprising the government, manufacturers, and retailers. The model was employed to assess the optimal decision-making of companies, consumer surplus, and overall social welfare under the two allocation methods. In their study, Wang et al. [27] analyzed the optimal decision-making and financing selection strategies of supply chain members under different carbon quota allocation rules. They considered scenarios in which manufacturers are subject to financial constraints and trading market regulation. Furthermore, Yang et al. [28] identified that the grandfathering principle is more constraining than the benchmarking principle; thus, companies seem to be more effective in reducing emissions. Ji et al. [29] examined the impact of different carbon quota allocation mechanisms on corporate decisions, profits, and social welfare within the context of the O2O retail supply chain in a low-carbon environment.
The aforementioned studies focus on the comparison of grandfathering and benchmarking principles. The impacts of the carbon quota allocation method on the operational efficiency of the carbon market and the reduction in carbon emissions are studied from a macro perspective, while the impacts of the carbon quota allocation method on the decision-making of companies, profits, consumer surplus, and social welfare are studied from a micro perspective. However, operational decision-making in supply chains is not only a static decision-making problem but a dynamic process involving time series and feedback mechanisms. Therefore, it needs to be analyzed from a dynamic perspective. Furthermore, the above studies have solely examined the influence of carbon quota allocation on decision-making from the standpoint of consumer rationality, overlooking the impact of irrational factors such as consumers’ low-carbon reference. Consequently, the static decisions fail to account for the impact of temporal factors on the equilibrium state of the supply chain [30]; thus, such irrational factors must be incorporated into the model.

2.3. Low-Carbon Reference Effect

The reference effect refers to the reference point of price, quality, and emission-reduction efforts of a product formed by consumers over a long period of time in their purchasing activities, which in turn influences purchasing behavior [31]. A number of scholars have conducted research on the impact of the reference effect on supply chain decision-making. With regard to the price reference effect, some scholars have dedicated their research to investigating the impact of price reference on the production and pricing of supply chain products [32,33,34]. Other scholars have considered the price reference effect and explored the issue of optimal investment decisions for green operations and preservation technologies of companies [31,35]. In terms of the quality reference effect, some studies have addressed the issue of pricing strategy and product quality strategy under the quality reference effect [36,37], while other scholars have explored the issue of the relationship between product pricing, quality, and advertising strategies and short-sightedness and farsightedness behaviors from different perspectives [38,39].
Low-carbon supply chain has gained increasing attention in recent years, prompting the development of new research avenues focused on the low-carbon performance of products. For instance, Liu and Li [40] explored this topic by examining the secondary low-carbon supply chain as a case study. They introduced the concept of the low-carbon reference effect into a supply chain model and designed a bilateral cost-sharing contract to enhance the performance of the supply chain. Yu et al. [41] examined the emission reduction and pricing decisions of supply chain members, taking into account the simultaneous presence of both the low-carbon reference effect and the cost-learning effect. Wang et al. [42] investigated the dual factors of quality reference and price reference in order to analyze the dynamic control optimization problem of companies’ long-term quality improvement and emission-reduction efforts, considering both the company’s profit maximization and the government’s social welfare maximization. Zhang and Yu [43] developed a dynamic optimization model for emission reduction in a dual-channel supply chain. A differential game was employed to identify the optimal emission-reduction investment for manufacturers and the optimal low-carbon publicity investment strategy for retailers under four different decision scenarios. The above studies concur that the consumers’ low-carbon reference effect is a pivotal factor in the formulation of companies’ emission-reduction strategies.
In order to clearly reveal the differences between the previous literature and this paper, some relevant works of literature are listed in Table 1. In summary, there is a substantial body of research on carbon trading policies, carbon quota allocation mechanisms, and consumers’ low-carbon reference effects. However, the existing literature tends to focus on operational decision-making within supply chains under a single carbon quota policy or the impact of the reference effect on low-carbon supply chains. There is a paucity of literature on the impacts of different carbon quota allocation modes and the low-carbon reference effect on companies’ decision-making simultaneously. Therefore, this paper will construct a differential game model of a supply chain consisting of a single manufacturer and a single retailer. Given the dynamic nature of the carbon emission reduction decision-making process within supply chain companies, it is assumed that consumers’ low-carbon reference points will be influenced by manufacturers’ emission-reduction efforts and retailers’ low-carbon promotion levels, and that these will change over time. Under this assumption, the long-term impacts of carbon trading systems based on different principles on the profits of supply chain members and the effects of carbon emission reduction are further investigated. The results of the study provide a scientific basis and theoretical guidance for the emission-reduction decision-making of low-carbon supply chain companies.

3. Model Construction

3.1. Problem Description

Under the carbon trading policy, the government establishes the carbon trading price and determines the initial carbon emission quotas based on the grandfathering principle and the benchmarking principle, respectively. As the dominant players in the Stackelberg differential game, manufacturers are constrained by carbon quotas to produce a single product through the introduction of emission-reducing technologies and sell it in the consumer market through retailers. Retailers, as followers, are not directly constrained by the government’s carbon trading policy. Instead, they participate in emission reduction through low-carbon publicity to sustain the stable operation of the low-carbon supply chain. The low-carbon reference effect can be observed in consumer behavior. When comparing the low-carbon reference level of a previously purchased product with the actual low-carbon level of the current product, consumers perceive a “loss” if the former is greater than the latter. This perception of a loss lowers their demand. Conversely, they perceive a “gain”, resulting in an increase in demand. During the decision-making process, supply chain members must consider the impact of consumers’ low-carbon reference effects on their emission-reduction strategies and profits. The decision sequence of the above game is as follows: Under the carbon trading policy, the manufacturer determines its carbon emission reduction efforts first, and the retailer, as a follower, determines its own low-carbon promotion level after observing the manufacturer’s emission-reduction behavior. The overall decision-making process of supply chain members is depicted in Figure 1.

3.2. Notation Description

The notations and their definitions are shown in Table 2.

3.3. Model Assumption

Assumption 1.
In reference to the previous study [40], the concept of the consumer’s low-carbon reference level can be defined as the subjective sense of “low-carbon gains and losses” formed in the past consumption experience. This will be influenced by the actual emission-reduction level of the product and the effect of low-carbon publicity. The equation of state describing the dynamic change of the low-carbon reference level is as follows:
R ( t ) = θ [ E ( t ) R ( t ) ] + δ A ( t )
θ [ E ( t ) R ( t ) ] indicates the influence of past consumption experiences on the low-carbon reference level. The larger θ means that consumers are likely to have a short-term memory of the product’s low-carbon level and are less loyal to the product. δ A ( t ) indicates the impact of retailers’ low-carbon publicity efforts on the low-carbon reference level.
Assumption 2.
According to the study [44], it is assumed that the demand is jointly influenced by the level of product emission reduction, consumers’ low-carbon reference, and retailers’ low-carbon publicity. The product demand function is as follows:
D = α + μ E + λ ( E R ) + η A
Assumption 3.
Referring to the study [45], the cost of emission reduction and low-carbon publicity for manufacturers and retailers at time   t  are presented as follows:
C m [ E ( t ) ] = k m E 2 ( t ) 2 ,   C r [ A ( t ) ] = k r A 2 ( t ) 2
Assumption 4.
In accordance with the reference [46], a standardized carbon trading market, subject to government regulation, permits the purchase and sale of carbon emission rights. The government determines the carbon trading price, which is fixed for a specified period, while the price of a unit of carbon quota is also stabilized.
Assumption 5.
In light of the study [6,47], it is assumed that the carbon trading policy acts only on manufacturers and that there are two ways of allocating carbon quotas: the grandfathering principle and the benchmark ng principle. In the former case, the government determines the overall carbon quota  e  ( e > 0 ) based on the historical data of the manufacturer’s carbon emissions. In the latter case, the government further sets the individual quota  g  ( g > 0 ) for the manufacturer’s products based on the average carbon emissions of the manufacturer’s industry. The individual quota  g  multiplied by the production volume of the product is the carbon quota obtained by the manufacturer. Thus, the benefits of carbon trading for manufacturers under both carbon trading policies are as follows:
c [ e ( E 0 E ) D ] , c [ g ( E 0 E ) ] D
E 0 E denotes the actual carbon emission volume per unit of product after emission-reducing treatment.
Assumption 6.
The manufacturer and the retailer have the same discount rate  ρ  and both have the decision objective of maximizing profits in the infinite time domain.  t  will not be listed in the following presentation due to the difficulty of solving under dynamic parameters.

4. Model Analysis

The objective of this section is to analyze the impact of consumers’ low-carbon reference effect on companies’ multi-period dynamic emission-reduction decisions under different carbon trading policies. To this end, this section commences with the assumption of a scenario of no emissions penalty (Model N) as the baseline, based on the problem description and assumptions presented in the previous section. This subsection is devoted to an analysis of the impact of consumers’ low-carbon reference level on the equilibrium strategy, with a particular focus on the contrast with the subsequent study of different carbon trading policy scenarios. Following this, two specific carbon quota trading policies are analyzed in detail: the carbon trading policy based on the grandfathering principle (Model G) and the one based on the benchmarking principle (Model B).

4.1. Trading Policy without Carbon Quotas (Model N)

A baseline model is first developed to investigate the impact of consumers’ low-carbon reference effects on manufacturers’ emission-reduction efforts and retailers’ low-carbon publicity efforts in the absence of carbon quota policy constraints. It is unnecessary to consider the constraints of carbon quotas throughout the decision-making process. However, consumers’ low-carbon reference effect consistently influences the choices made by supply chain members during the decision-making process. Then the profit functions of the supply chain members in the infinite time domain can be expressed as follows:
J m N ( R ) = max E > 0 0 e ρ t [ v m ( α + μ E + λ ( E R ) + η A ) k m E 2 2 ] d t
J r N ( R ) = max A > 0 0 e ρ t [ v r ( α + μ E + λ ( E R ) + η A ) k r A 2 2 ] d t
In light of the solution to the optimal control problem in the study [48], the Hamilton–Jacobian–Bellman equation, which is satisfied by the optimal control problem of each member of the supply chain at any time, can be derived using Bellman’s continuous dynamic programming theory and differential game theory:
ρ Π m N ( R ) = max E > 0 { v m ( α + μ E + λ ( E R ) + η A ) k m E 2 2 + Π m N ( R ) [ θ ( E R ) + δ A ] }
ρ Π r N ( R ) = max A > 0 { v r ( α + μ E + λ ( E R ) + η A ) k r A 2 2 + Π r N ( R ) [ θ ( E R ) + δ A ] }
Π m N ( R ) and Π r N ( R ) are the optimal profit value functions of the manufacturer and the retailer, respectively, representing their total profit at time t. Π m N ( R ) denotes the first-order derivative of the manufacturer’s profit optimum function with respect to the emission-reduction reference, implying the marginal contribution of a unit change in the consumer’s emission-reduction reference to the manufacturer’s profits, and Π r N ( R ) corresponds to the retailer by the same logic.
Proposition 1.
Applying the backward induction method to solve the above game model, the optimal feedback strategy between the manufacturers and the retailers is as follows:
E N = v m [ μ θ + ρ ( λ + μ ) ] k m ( ρ + θ ) , A N = v r [ η ( ρ + θ ) λ δ ] k r ( ρ + θ )
The optimal path of the consumer’s low-carbon reference level is as follows:
R N ( t ) = ( R 0 R S S N ) e θ t + R S S N
where  R S S N = k r μ v m θ 2 + [ η δ v r k m + ρ k r v m ( λ + μ ) ] θ k m δ v r ( λ δ η ρ ) θ k m k r ( ρ + θ )  is the steady state value of the low-carbon reference level.
Proposition 2.
The profit optimum functions of manufacturers and retailers in case of no emissions penalty are as follows:
Π m N = x 1 R N + x 2 , Π r N = y 1 R N + y 2
(The proofs of Propositions 1 and 2 are presented in Appendix A).
Deduction 1.
A N η > 0 ,  A N θ > 0 ,  A N δ < 0 ,  A N λ < 0 .
Proof. 
A N η = v r k r > 0 , A N θ = v r λ δ k r ( ρ + θ ) 2 > 0 , A N δ = v r λ k r ( ρ + θ ) < 0 , A N δ = v r λ k r ( ρ + θ ) < 0  □
Deduction 1 suggests that for retailers, the effort they invest in low-carbon publicity is positively correlated with the coefficient η of the effect of the level of low-carbon publicity on demand and the parameter θ of consumption memory and negatively correlated with the coefficient δ of the effect of low-carbon publicity of the product on the low-carbon reference and the coefficient λ of the effect of the low-carbon reference on demand.
(1) Retailers would be willing to increase their investment in low-carbon publicity when they perceive more demand from the same unit of publicity effort. (2) As the coefficient of consumer memory increases, the level of retailer publicity rises. This can be attributed to the fact that consumers tend to have a short-term memory for the product’s low-carbon level (the larger θ is). The less the past level of the product’s emission reduction affects the consumer, the more sensitive the consumer is to short-term low-carbon publicity. Such sensitivity raises consumer expectations and demand for the current low-carbon level of products, which in turn will lead retailers to enhance the level of low-carbon publicity. (3) The low-carbon reference effect exerts a suppressive influence on retailer publicity, as retailers reduce their publicity investment in order to maintain profitability and avoid loss due to the low-carbon reference effect, which results in a reduction in consumer demand. The decision-making process in question engenders a vicious circle that is detrimental to the sustainable development of low-carbon supply chains. Therefore, it is imperative that supply chain members adopt a more precise and innovative approach to communication, eschewing excessive promotion and effectively influencing demand and purchasing behaviors.
Deduction 2.
E N μ > 0 ,  E N λ > 0 ,  E N θ < 0 ,  E N k m < 0 .
Proof. 
E N μ = v m k m > 0 , E N λ = ρ v m ( ρ + θ ) k m > 0 , E N θ = v m λ ρ ( ρ + θ ) 2 k m < 0 , E N k m = [ ( μ + λ ) ρ + μ θ ] v m ( ρ + θ ) k m 2 < 0 .  □
Deduction 2 demonstrates that when carbon trading is not considered, the product emission-reduction effort paid by manufacturers is positively correlated with the coefficient of consumer low-carbon preference μ and the coefficient λ of the effect of low-carbon reference on demand and negatively correlated with the parameters θ of consumer memory and the coefficient k m of the cost of emission reduction.
(1) As consumers are keen to purchase low-carbon products and consider the discrepancy between the actual low-carbon level and the low-carbon reference level when making purchasing decisions, manufacturers would make greater emission-reduction efforts to encourage consumers’ willingness to purchase. (2) When consumers retain a long-term memory of a product’s low-carbon level (the smaller θ ), manufacturers are more inclined to invest in emission-reduction efforts. This phenomenon can be attributed to the formation of consumers’ low-carbon reference levels based on previous product emission reductions, as their emphasis on long-term emission-reduction levels increases, they will consequently demand higher levels of reduction from manufacturers. In order to achieve more substantial emission reduction, the government can advocate for consumers to cultivate their long-term low-carbon awareness and pay attention to the long-term emission-reduction level of products, thereby encouraging manufacturers to increase their investment in emission reduction and to reduce the carbon emissions of their products. (3) An increase in the coefficient of emission-reduction costs could discourage manufacturers from participating in low-carbon emission reduction.

4.2. Trading Policy Based on the Grandfathering Principle (Model G)

This subsection develops a model to investigate the decision-making process of manufacturers and retailers when considering the low-carbon reference effect under the carbon trading policy of the grandfathering principle. In this decision-making process, the government grants a company a free and freely tradable carbon quota e for the current period after reviewing the company’s historical carbon emissions statistics. In this instance, companies consider the gains or losses resulting from the quota constraints while accounting for the impact of consumers’ low-carbon reference effect. If the quota in question is insufficient to support production and operational activities, it can be purchased in the carbon market at the price c of a unit of carbon quota from a company with a surplus of carbon quotas, which increases costs. Alternatively, the surplus carbon quotas would be sold at the same price to generate carbon revenue, with the price c of carbon trading determined by the government. The profit functions of the manufacturer and the retailer are expressed as follows:
J m G ( R ) = max E > 0 0 e ρ t { v m [ α + μ E + λ ( E R ) + η A ] 1 2 k m E 2 + c [ e ( E 0 E ) ( α + μ E + λ E λ R + η A ) ] } d t
J r G ( R ) = max A > 0 0 e ρ t { v r [ α + μ E + λ ( E R ) + η A ] 1 2 k r A 2 } d t
The Hamilton–Jacobian–Bellman equations satisfied by the optimal control problem are as follows:
ρ Π m G ( R ) = max E > 0 { v m [ α + μ E + λ ( E R ) + η A ] 1 2 k m E 2 + Π m G ( R ) [ θ ( E R ) + δ A ]   + c [ e ( E 0 E ) ( α + μ E + λ ( E R ) + η A ) ] }
ρ Π r G ( R ) = max A > 0 { v r [ α + μ E + λ ( E R ) + η A ] k r A 2 2 + Π r G ( R ) [ θ ( E R ) + δ A ] }
Proposition 3.
Under the trading policy based on the grandfathering principle, the optimal feedback strategy for manufacturers and retailers is as follows:
E G = [ ( R S S G λ + E 0 λ + E 0 μ α ) c v m ( μ + λ ) ( 2 f 1 R S S G + f 2 ) θ ] k r c η ( δ z 1 + η π r ) k r [ 2 c ( μ + λ ) k m ] A G = δ z 1 + η π r k r
R G ( t ) = ( R 0 R S S G ) e θ [ k m 2 f 1 θ c ( λ + 2 μ ) ] k m 2 c ( λ + μ ) t + R S S G
R S S G = ( z 1 δ η + α k r + v r η 2 ) θ c + θ k r ( λ + μ ) ( v m E 0 c ) + f 2 k r θ 2 + δ [ k m 2 c ( λ + μ ) ] ( δ z 1 + v r η ) k r θ [ k m ( λ + 2 μ ) c 2 f 1 θ ]  is the steady-state value of the low-carbon reference level.
Proposition 4.
The profit optimum functions for manufacturers and retailers at time  t   under the trading policy based on the grandfathering principle are as follows:
Π m G = f 1 ( R G ) 2 + f 2 R G + f 3 , Π r G = z 1 R G + z 2
The coefficients are as follows:
{ f 1 = ( 2 θ + ρ ) ( k m 2 c μ ) 2 c λ ( θ + ρ ) Δ 4 θ 2 f 2 = k r { ( 2 f 1 θ c λ ) [ ( μ + λ ) ( c E 0 v m ) c α ] + λ ( c E 0 v m ) [ 2 c ( μ + λ ) k m ] } { ( ρ + θ ) [ 2 c ( μ + λ ) k m ] + 2 f 1 θ 2 c λ θ } k r ( δ z 1 + v r η ) { 2 f 1 δ [ 2 c ( μ + λ ) k m ] c η ( 2 f 1 θ c λ ) } f 3 = { k r [ ( μ + λ ) ( c E 0 v m ) c α f 2 θ ] c η ( δ z 1 + v r η ) } 2 ρ k r 2 [ 4 c ( μ + λ ) 2 k m ] + ( δ z 1 + v r η ) ( v m η + f 2 δ c η E 0 ) + k r ( v m α + c e α c E 0 ) ρ k 2 z 1 = v r [ k m λ ( λ + μ ) ( 2 f 1 θ + λ c ) ] 2 f 1 θ 2 + λ c ( 2 ρ + θ ) + ( ρ + θ ) ( 2 c μ k m ) z 2 = { k r [ ( c E 0 v m ) ( μ + λ ) c α f 2 θ ] c η ( δ z 1 + v r η ) } [ v r ( μ + λ ) + θ z 1 ] ρ k r [ 2 c ( μ + λ ) k m ] + 2 k r v r α + ( δ z 1 + v r η ) 2 2 ρ k r
where  Δ = { ( ρ + 2 θ ) [ 2 c ( μ + λ ) k m ] } 2 4 c λ θ ( ρ + 2 θ ) [ 2 c ( μ + λ ) k m ] .
(The proofs of Propositions 3 and 4 are presented in Appendix A).

4.3. Trading Policy Based on the Benchmarking Principle (Model B)

A carbon trading policy based on the benchmarking principle entails the government’s collection of carbon emission statistics for products within the same industry, after which the carbon quota g for that specific type of product is determined. In contrast to the trading policy based on a company’s historical carbon emissions statistics, this trading policy adheres to the principle of the “individual” product, whereas the trading policy in the previous section is based on the principle of the “whole” company. Similarly, in this subsection, the consumers’ low-carbon reference effect and the level of low-carbon publicity jointly affect the demand for the product, at which point the profit functions of the manufacturers and the retailers are expressed as follows:
J m B ( R ) = max E > 0 0 e ρ t { v m [ α + μ E + λ ( E R ) + η A ] 1 2 k m E 2 + c ( α + μ E + λ ( E R ) + η A ) ( g E 0 + E ) } d t
J r B ( R ) = max A > 0 0 e ρ t { v r ( α + μ E + λ ( E R ) + η A ) k r A 2 2 } d t
According to the optimal control theory, the HJB equations are as follows:
ρ Π m B ( R ) = max E > 0 { v m [ α + μ E + λ ( E R ) + η A ] 1 2 k m E 2 + Π m B ( R ) [ θ ( E R ) + δ A ]   + c ( α + μ E + λ ( E R ) + η A ) ( g E 0 + E ) }
ρ Π r B ( R ) = max A > 0 { v r [ α + μ E + λ ( E R ) + η A ] k r A 2 2 + Π r B ( R ) [ θ ( E R ) + δ A ] }
Proposition 5.
The optimal feedback strategy for manufacturers and retailers under the trading policy based on the benchmarking principle is as follows:
E B = { [ ( R S S B g + E 0 ) λ + ( E 0 g ) μ α ] c v m ( μ + λ ) ( 2 b 1 R S S B + b 2 ) θ } k r c η ( δ c 1 + η v r ) k r [ 2 c ( μ + λ ) k m ]
A B = δ c 1 + η π r k r , R B ( t ) = ( R 0 R S S B ) e θ [ k m 2 b 1 θ c ( λ + 2 μ ) ] k m 2 c ( λ + μ ) t + R S S B
where  R B S S = θ k r [ ( λ + μ ) ( v m + c g E 0 c ) + b 2 θ + c α ] + [ η c θ 2 c δ ( u + λ ) + k m δ ] ( δ c 1 + v r η ) k r θ [ k m ( λ + 2 μ ) c 2 b 1 θ ]  is the steady-state value of the low-carbon reference level.
Proposition 6.
The profit optimum functions for manufacturers and retailers at time  t  under the trading policy based on the benchmarking principle are as follows:
Π m B = b 1 ( R B ) 2 + b 2 R B + b 3 , Π r B = c 1 R B + c 2
The coefficients are as follows:
{ b 1 = ( 2 θ + ρ ) ( k m 2 c μ ) 2 c λ ( θ + ρ ) Δ 4 θ 2 b 2 = k r { ( 2 b 1 θ c λ ) [ ( μ + λ ) ( c E 0 c g v m ) c α ] + λ ( c E 0 c g v m ) [ 2 c ( μ + λ ) k m ] } k r [ ( ρ + θ ) ( 2 c μ + 2 c λ k m ) + 2 b 1 θ 2 c λ θ ] ( δ c 1 + v r η ) [ 2 b 1 δ ( 2 c μ + 2 c λ k m ) c η ( 2 b 1 θ c λ ) ] b 3 = { k r [ ( μ + λ ) ( c E 0 c g v m ) c α b 2 θ ] c η ( δ z 1 + v r η ) } 2 ρ k r 2 ( 4 c ( μ + λ ) 2 k m ) + ( δ z 1 + v r η ) ( v m η + b 2 δ + c η g c η E 0 ) + k r ( v m α + c α g c α E 0 ) ρ k r c 1 = v r ( k m λ ( λ + μ ) ( 2 b 1 θ + λ c ) ) 2 b 1 θ 2 + λ c ( 2 ρ + θ ) + ( ρ + θ ) ( 2 c μ k m ) c 2 = { k r [ ( c E 0 v m m g ) ( μ + λ ) c α b 2 θ ] c η ( δ z 1 + v r η ) } ( v r μ + v r λ + θ c 1 ) ρ k r ( 2 c ( μ + λ ) k m ) + 2 k r v r α + ( δ c 1 + v r η ) 2 2 ρ k r
where  Δ = { ( ρ + 2 θ ) [ 2 c ( μ + λ ) k m ] } 2 4 c λ θ ( ρ + 2 θ ) [ 2 c ( μ + λ ) k m ] .
(The procedures for proving Propositions 5 and 6 are similar to those for Propositions 4 and 5 and will not be reiterated here).

4.4. Comparative Analysis

Deduction 3.
A G = A B > A N .
(See Appendix B for proof).
The extent of low-carbon publicity afforded to products by retailers is identical under both the grandfathering-based carbon trading policy and the benchmarking-based carbon trading policy, as the implementation of the trading policy does not have a direct impact on retailers. Carbon trading policies provide market signals indicating a preference for low-carbon products. Furthermore, the level of low-carbon publicity by retailers, as a downstream part of the supply chain, can also influence consumer purchasing decisions. In comparison to a scenario with no emissions penalty, manufacturers act as the dominant players in the market, enhancing their emission-reduction levels within the constraints of the carbon trading policy. Retailers, in contrast, act as followers, observing the decision-making behaviors of manufacturers and subsequently modifying their promotional strategies in order to maximize profits.
Deduction 4.
E B > E G > E N .
Deduction 4 is analogous to the study [26], which posits that manufacturers will invest greater resources to enhance product emission reduction under carbon trading policies than they would under policies that have no emissions penalty. This may be attributed to the fact that the carbon trading policy establishes a ceiling on the quantity of carbon emissions that a company is permitted to emit, compelling manufacturers to implement measures to reduce carbon emissions to comply with the policy and avoid exceeding the carbon emission limits. The degree of carbon emission reduction achieved by manufacturers in accordance with the benchmarking principle is more pronounced than that observed under the grandfathering principle. When a manufacturer is confronted with elevated product carbon emissions, it may refrain from pursuing emission-reduction measures if the supplementary benefits that could be attained through carbon reduction strategies are not commensurate with the costs associated with such reductions. This is particularly true in instances where there is a substantial scope for emission reduction. In such circumstances, manufacturers may choose to reduce the production of their products as a means of meeting the total carbon emission limits e set by the government. In contrast, the benchmarking principle establishes explicit individual carbon emission limits for products, necessitating that manufacturers achieve specified emission-reduction targets for their respective products, thus prompting them to implement more aggressive emission-reduction measures.
Deduction 5.
R B > R G > R N .
In the absence of an emissions penalty, the initial low-carbon reference level is typically low, and the low-carbon reference level formed within the consumer is also low. Consequently, the actual low-carbon level of the product is easily able to satisfy the consumer. The advent of carbon trading policy has the potential to influence the differentiation of products by manufacturers, who may enhance the low-carbon attributes of their products to align with market demand. Conversely, retailers may also adopt promotional activities to publicize the characteristics of low-carbon products. This differentiation strategy may increase consumers’ sensitivity to low-carbon attributes, which in turn may increase their low-carbon reference effect. Meanwhile, the emission-reduction endeavors of manufacturers are influenced by the consumers’ low-carbon reference effect. Additionally, Deduction 4 indicates that the product emission-reduction level under the benchmarking principle is superior to that under the grandfathering principle. It follows that the low-carbon reference level under the benchmarking principle is greater than that under the grandfathering principle.
(The procedures for proving Propositions 5 and 6 are similar to those for Propositions 4 and 5 and will not be reiterated here).
The complexity of some analytical solution expressions makes direct discussion challenging. This paper therefore draws on existing literature [18,29] and conducts a sensitivity analysis of equilibrium strategies and profits for the manufacturer and retailer under different scenarios, which is achieved through algebraic assignments and arithmetic examples in Section 5 arithmetic analysis.

5. Numerical Analysis

This section is organized as follows: (1) The optimal decisions of manufacturers and retailers in the three scenarios of no emissions penalty, grandfathering principle, and benchmarking principle are comparatively analyzed through the parameter assignment method. (2) A series of numerical simulations is conducted to study the trend of consumers’ low-carbon reference levels over time under different carbon trading policies. (3) A comprehensive analysis of how consumers’ low-carbon reference effects and carbon trading prices on the decision-making processes and financial outcomes of supply chain members under no emissions penalty, grandfathering principle, and benchmarking principle is conducted. Referring to the studies [28,49], relevant parameters are set below:
α = 2 , k m = 50 , k r = 35 , e = 1.1 , g = 0.4 , E 0 = 1 , c = 4 , v m = 10 , v r = 6 , θ = 3 , δ = 1 , μ = 3 , λ = 2 , ρ = 0.8 η = 5

5.1. Numerical Examples Datasets

Through parameter assignment, Table 3 obtains the numerical simulation results of manufacturers and retailers in three situations.
Table 3 illustrates that manufacturers invest the greatest effort in reducing emissions under a carbon trading policy based on the benchmarking principle, and the least effort when no emissions penalty is in place. However, for retailers, the level of publicity effort invested is the same under either carbon trading policy. The implementation of carbon trading policies can also contribute to increased profits for both manufacturers and retailers. As a result of the positive effect of increased demand, supply chain members are likely to increase their level of investment and publicity for emission reductions. At the same time, the supply chain as a whole is likely to realize increased profits. The positive impact of this policy has served to reinforce the resilience of supply chains, thereby contributing to an overall increase in their resilience.

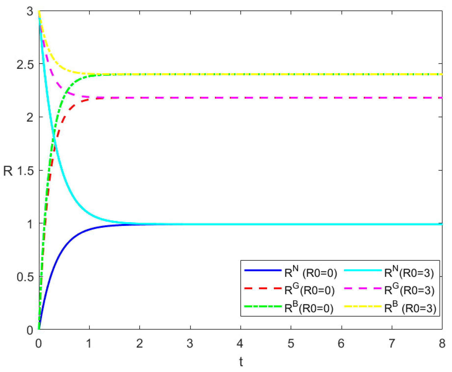
5.2. Analysis of Consumers’ Low-Carbon Reference Level under Carbon Trading Regulation

As illustrated in Figure 2, under disparate decision scenarios, the low-carbon reference level increases over time when the initial low-carbon reference level is low, whereas the low-carbon reference level decreases over time when the initial low-carbon reference level is high. This suggests that although the low carbon reference level under different initial conditions will lead to differences in its evolution path over time, the low-carbon reference level will eventually converge to the same stable value for the same carbon quota approach. It indicates that a long-term and stable cooperative game relationship among supply chain members is conducive to ensuring the stability of the supply chain system. In addition, the stable value is positively correlated with the manufacturer’s emission-reduction inputs. Furthermore, the benchmarking principle scenario (Model B) has the highest stable low-carbon reference level compared to the low-carbon reference levels in the other decision scenarios. The introduction of carbon trading policies results in an increase in the low-carbon reference level for consumers in comparison to the absence of emissions penalty (Model N), which also corroborates the findings of Deduction 5.

5.3. The Impact of Unit Carbon Quota Price on Supply Chain Members’ Strategies

As shown in Figure 3 and Figure 4, the manufacturer’s and retailer’s strategies remain unaffected by fluctuations in the carbon trading price when the emissions penalty is not considered. Following the implementation of the carbon trading policy, the extent of product emission-reduction initiatives undertaken by manufacturers and the scope of low-carbon marketing activities conducted by retailers both increase in tandem with the price of carbon trading. On the one hand, manufacturers are directly confronted with carbon emission restrictions and carbon quota constraints when the carbon price is low. This is because the cost of carbon trading is relatively low, and manufacturers are subjected to less obvious controls. However, as the carbon price rises, companies have to invest in clean technologies to reduce carbon emissions. On the other hand, manufacturers can sell the remainder of their carbon quota in the carbon market to increase profits once they have reached the required quota amount through emission reduction. Thus, the rise in the price of carbon trading is conducive to further motivating companies to take action to reduce carbon emissions and participate in the carbon trading market. As a follower, the retailer observes the manufacturer’s increased emission reduction. The carbon trading policy can indirectly influence the retailer’s decision-making through the supply chain system, thereby increasing its long-term low-carbon publicity level. Nevertheless, as the two carbon trading policies do not directly impact the retailer, they ultimately yield the same result for the retailer, thereby substantiating the conclusion of Deduction 3.

5.4. The Impact of Low-Carbon Reference Effect on Supply Chain Members’ Strategies

As illustrated in Figure 5, the correlation between manufacturers’ emission-reduction levels and the low-carbon reference effect λ is positive regardless of the existence of carbon trading policies. However, the introduction of such policies has the effect of increasing the level of emission-reduction efforts, as manufacturers recognize the potential impact of consumer low-carbon reference levels on their own profits. Furthermore, failure to actively reduce emissions results in insufficient carbon quotas being granted by the government to support business operations. In order to meet the quota conditions, manufacturers are required to purchase carbon quotas in the carbon trading market, which increases their costs. Therefore, manufacturers can achieve sustainable green development by investing more in their products to reduce emissions and meet the quota conditions while earning additional carbon trading revenues.
As shown in Figure 6, in the absence of an emissions penalty, manufacturers are solely responsible for the costs associated with emission reduction, while retailers benefit from the positive externalities of emission reduction by manufacturers. Retailers perceive that in the absence of external incentives, the marginal cost of increasing low-carbon publicity may be higher than the marginal benefit it creates, leading retailers to reduce their investment in low-carbon publicity. This is consistent with the findings of Deductions 1 and 2. The decision-making process in question creates a vicious circle that is not conducive to the sustainable development of low-carbon supply chains. The implementation of carbon trading policies leads to a gradual increase in the reference low-carbon level among consumers. Consequently, a moderate investment in promotional efforts is necessary to attract consumers. The findings of Deduction 3 indicate that carbon trading policies can indirectly influence retailers’ decision-making through the supply chain system, thereby increasing their low-carbon advocacy level in the long term. Therefore, the low-carbon publicity level will rise in tandem with the increase in the low-carbon reference effect.

5.5. Impact of Carbon Quota Allocation Method and Low-Carbon Reference Effect on Profits of Supply Chain Members

Figure 7 and Figure 8 illustrate the impacts of parameters g and e on the profits of manufacturers and retailers, respectively, under different low-carbon reference effects. The implementation of carbon quota allocation can prove advantageous for all members of the supply chain in comparison to its absence. In Model B, the profits of manufacturers and retailers increase monotonically with g , whereas in Model G, the profits of manufacturers increase monotonically with e , with no effect on retailers. This indicates that carbon quota allocation based exclusively on the grandfathering principle has a positive impact on manufacturers’ profits, whereas unit carbon quota allocation based on the benchmarking principle is beneficial for the individual effort level and profitability of each member of the supply chain. The relationship between the magnitude of manufacturers’ profits under these two carbon quota allocation models is indeterminate and is contingent upon the specific values of the overall carbon quota e and the individual quota g .
Without considering the emissions penalty, both manufacturers’ and retailers’ profits monotonically decrease as the low-carbon reference effect increases. The introduction of the low-carbon reference effect can promote carbon emission reduction in manufacturers’ products, while it has a dampening effect on manufacturers’ profits. In the context of the model that considers the allocation of carbon quotas (Models B and G), the profits of manufacturers and retailers demonstrate a consistent upward trend as the low-carbon reference effect increases, which differs from those reported in previous literature [40,43]. This is primarily due to the fact that this paper considers the operation of supply chains under the carbon trading policy, and carbon quotas are also a form of resource under carbon trading. This prompts manufacturers to invest in emission reduction in order to gain a competitive advantage in the market and to generate profits in the carbon trading market by selling carbon quotas. Furthermore, the supply chain system can derive greater benefits from the product market as a result of the enhanced carbon emission reduction and low-carbon promotion activities of its members. In light of the above, it can be posited that an increase in the low-carbon reference effect may act as a catalyst for profit growth when carbon trading policies are taken into consideration.

6. Discussion

This paper investigates the long-term impacts of different carbon quota allocation methods and consumers’ low-carbon reference effects on carbon emission reduction in supply chains. The differential game models are constructed under three scenarios, with the incorporation of the consumers’ low-carbon reference effect. First, a two-tier supply chain, in which one manufacturer plays the dominant role and one retailer assumes the follower position, more accurately reflects the actual situation. Secondly, a more comprehensive theoretical model of reality leads to some illuminating conclusions for managers.
First, the implementation of carbon quota allocation is conducive to enhancing the reduction in carbon emissions from manufacturers’ products. In order to meet the demand for green and low-carbon consumption, achieve a higher level of dynamic equilibrium between supply and demand, and enhance the overall effectiveness of the supply chain, manufacturers must reduce the carbon emissions of their products through the input of emission-reduction technologies. Meanwhile, retailers may also be encouraged to invest more in publicity.
Secondly, within a defined range, the extent of carbon emission reduction by manufacturers is positively correlated with the price of carbon trading, and an increase in the price of carbon trading can facilitate the efforts of retailers in publicizing their products. Consumers’ low-carbon reference should raise the demand for product emission reduction and low-carbon promotion, and manufacturers and retailers need to proactively cater to consumers’ demand and improve product emission reduction in order to avoid the negative impact of the low-carbon reference effect.
Finally, the introduction of a carbon trading policy can also improve the profits of manufacturers and supply chains and further strengthen the economic resilience of supply chains in the face of risks, thus enhancing the resilience of supply chains. This is evidenced by the intensification of benefits among members of the supply chain. One such initiative is the generation of revenue through the sale of surplus carbon quotas in the carbon trading market. For instance, based on data from 2021, the revenue that BYD could potentially generate through the sale of carbon quotas is valued at over CNY 8 billion, which places it at the forefront among Chinese car manufacturers in this regard. According to the most recent fourth-quarter and annual reports for 2023, Tesla’s total annual revenue from the sale of carbon quotas increased from $1.78 billion to $1.79 billion. For another, the provision of carbon footprint information on products encourages the promotion of low-carbon products to attract consumers.
The following recommendations for managerial action are derived from the findings of the aforementioned study: First, it is recommended that governments and regulatory authorities continue to promote and enhance carbon trading systems, with a particular focus on carbon trading policies that are aligned with the benchmarking principle. The government should invest in the establishment of a comprehensive and accurate industry carbon emissions database, which aims to collect and analyze carbon emissions data from the procurement of raw materials, through production, to the sale of products. Furthermore, the establishment of more scientific individual carbon limits based on industry averages and the carbon emission performance of leading companies will provide data support for the formulation and adjustment of policies, thus promoting long-term action on carbon emission reduction by manufacturers. Secondly, the carbon price represents a pivotal policy factor that motivates companies to curtail their emissions. When establishing the carbon price, it is essential that the government or the regulatory authority responsible for setting the carbon trading benchmark price considers the country’s economic situation and the industry’s affordability. This ensures that the carbon trading price can effectively promote the emission reduction target without imposing an excessive burden on economic development. A progressive adjustment strategy can be implemented to afford companies and the market sufficient time to adapt to the new carbon pricing policy. In the initial stages of implementing a carbon trading policy, the carbon trading price can be set at a relatively low level, allowing market participants to establish the actual price through trading. Subsequently, the efficacy of the carbon pricing policy is evaluated on a regular basis, and the price setting is adjusted in accordance with environmental changes and policy objectives.

7. Conclusions

Presently, China’s national carbon trading market is still in its infancy. The prevailing approach is the free allocation of carbon emission rights. However, the long-term impact of grandfathering and benchmarking principles on carbon emission reduction in the supply chain remains to be studied. In this context, the impacts of no emissions penalty trading, the grandfathering principle, and the benchmarking principle on manufacturers’ emission-reduction efforts, retailers’ low-carbon promotion, and their respective profits are compared. The optimal carbon emission reduction decisions and optimal profits of supply chain members in different models are further solved, and the equilibrium solutions under different decision-making modes are compared and analyzed. This analysis leads to the following main conclusions:
In comparison to the absence of carbon trading, the implementation of the policy has been observed to enhance both consumers’ low-carbon reference effect and manufacturers’ long-term emission-reduction level. In particular, the impact of manufacturers’ carbon emission reduction levels is more pronounced under the carbon trading policy based on the benchmarking principle.
  • In comparison to the no emissions penalty trading, the implementation of the policy has been observed to enhance both consumers’ low-carbon reference effect and manufacturers’ long-term emission-reduction level. In particular, the impact of manufacturers’ carbon emission reduction levels is more pronounced under the carbon trading policy based on the benchmarking principle.
  • The implementation of a carbon trading policy has been demonstrated to be an effective means of enhancing the level of low-carbon publicity among retailers. This level of publicity is found to be consistent across retailers, regardless of their respective benchmarking and grandfathering principles.
  • The introduction of a low-carbon reference effect without consideration of emissions penalty may encourage carbon reduction by manufacturers. However, the low-carbon reference level has a dampening effect on the profits of manufacturers and retailers. The incorporation of carbon trading policies into the low-carbon reference effect may prove to be a beneficial factor in driving profit growth.
  • Carbon quota allocation based on the grandfathering principle positively affects manufacturers’ profitability, while unit carbon quota allocation based on the benchmarking principle facilitates the individual effort level and profitability of each member of the supply chain.
  • Although the difference in the initial low-carbon reference level affects the trend of the low-carbon reference level over time, it would ultimately converge to the same stable value for the same carbon quota approach.
While this study offers valuable insights for low-carbon supply chain companies in their emission-reduction decision-making processes, there are still some limitations. First, the modeling does not consider the real-time pricing strategy of the companies’ products nor does it take into account the impact of product prices on market demand. The incorporation of these factors into the model and subsequent analysis represents a promising avenue for future research. Furthermore, this paper assumes that the overall carbon quota amount under the grandfathering principle and the individual carbon emission limit under the benchmarking principle remain constant over time. In addition, future research directions include characterizing the change process of the aforementioned parameters over time in the model. Finally, this paper primarily examines the influence of carbon trading policies on supply chain members. Carbon taxes and subsidies are effective emission-reduction policy tools. Further research should comprehensively assess the impact of various carbon emission reduction policies on supply chain members.

Author Contributions

Conceptualization, A.W., R.Z. and Y.S.; methodology, R.Z., Y.S. and X.W.; software, R.Z., Y.S. and S.W.; validation, S.W.; writing—original draft preparation, R.Z. and Y.S.; writing—review and editing, A.W. and R.Z.; visualization, R.Z. and Y.S.; project administration, A.W. and X.W.; funding acquisition, A.W., L.S. and X.W. All authors have read and agreed to the published version of the manuscript.

Funding

This research was funded by the Youth Fund and Planning Fund of Humanities and Social Sciences Research of the Ministry of Education (No. 23XJCZH016, 23YJAZH127, 22YJAZH104) and the Youth Project of Natural Science Basic Research Program of Shaanxi Province (No. 2024JC-YBQN-0749).

Data Availability Statement

The data used to support the results of this study are available from the corresponding author.

Acknowledgments

We thank the anonymous reviewers and the editor for their helpful comments on the revision of the paper.

Conflicts of Interest

The authors declare no conflicts of interest.

Appendix A

Proofs of Propositions 1 and 2. 
Find the first-order derivative of Equation (8) with respect to A, make it zero, and solve for it. Then we can obtain the following:
A = δ Π r + η v r k r
After substituting Equation (A1) into Equation (7), take the first-order partial derivative of E, make it zero, and solve for it. Then we can obtain the following:
E = v m ( λ + μ ) + Π m θ k m
Substituting Equations (A1) and (A2) into Equations (7) and (8), we can obtain as follows:
ρ Π m N ( R ) = ( λ v m + Π m N θ ) R + v m α + ( v m ( λ + μ ) + Π m N θ ) 2 2 k m + ( δ Π r N + η v r ) ( η v m + δ Π m N ) k r
ρ Π r N ( R ) = ( λ v r + Π r N θ ) R + ( v m ( λ + μ ) + Π m N θ ) ( v r ( λ + μ ) + Π r N θ ) k m + ( δ Π r N + η v r ) 2 2 k r
Observing the structural features of the differential Equations (7) and (8), Π m N ,   Π r N can be regarded as linear analytical expressions.
Π m N ( R ) = x 1 R + x 2 , Π r N ( R ) = y 1 R + y 2
Further obtain Π m N = x 1 , Π r N = y 1 . Substituting Π m N , Π r N and Equation (A5) into Equation (A3) and (A4), we can obtain the following:
ρ ( x 1 R + x 2 ) = ( λ v m + x 1 θ ) R + v m α + ( v m ( λ + μ ) + x 1 θ ) 2 2 k m + ( δ y 1 + η v r ) ( η v m + δ x 1 ) k r
ρ ( y 1 R + y 2 ) = ( λ v r + y 1 θ ) R + ( v m ( λ + μ ) + x 1 θ ) ( v r ( λ + μ ) + y 1 θ ) k m + ( δ y 1 + η v r ) 2 2 k r
Comparing similar terms on both sides of the equation, we can find that x 1 , x 2 , y 1 , y 2 are as follows:
{ x 1 = λ v m ρ + θ x 2 = k r ( λ + μ ) 2 v m 2 + 2 v m ( k r ( α k m + x 1 θ ( λ + μ ) ) + η k m ( δ y 1 + η v r ) ) + x 1 ( θ 2 k r x 1 + 2 k m δ ( δ y 1 + η v r ) ) 2 ρ k m k r y 1 = λ v r ρ + θ y 2 = ( ( 2 ( λ + μ ) 2 v m + 2 θ x 1 ( λ + μ ) + 2 α k m ) v r + 2 θ y 1 ( v m ( λ + μ ) + θ x 1 ) ) k r + k m ( δ y 1 + η v r ) 2 2 ρ k m k r
Further substituting the optimal equilibrium strategy E N and A N into Equation (1), we can derive the expressions of R N ( t ) and R S S N . Finally, by substituting x 1 , x 2 , y 1 , y 2 into Equation (A5), we can derive the expressions of Π m N ,   Π r N . Thus, Proposition 2 is proven. □
Proofs of Propositions 3 and 4. 
Find the first-order derivative of Equation (12) with respect to A, make it zero, and solve for it. Then we can obtain the following:
A G = δ Π r G + η v r k r
After substituting Equation (A8) into Equation (11), take the first-order partial derivative of E, make it zero, and solve for it. Then we can obtain the following:
E G = [ ( R λ + E 0 λ + E 0 μ α ) c v m ( μ + λ ) Π m G θ ] k r m η ( δ Π r H + η v r ) k r ( 2 c ( μ + λ ) k m )
Observing the structural features of the differential Equations (11) and (12), Π m G ,   Π r G can be regarded as linear analytical expressions.
Π m G = f 1 R 2 + f 2 R + f 3 ,   Π r G = z 1 R + z 2
Further obtain Π m G = 2 f 1 R + f 2 , Π r G = z 1 . Substituting Π m G , Π r G and Equation (A10) into Equations (11) and (12), we can obtain the following:
ρ ( f 1 R 2 + f 2 R + f 3 ) = E G [ v m ( μ + λ ) + c α c E 0 ( μ + λ ) c λ R + c η A G + E G ( c μ + c λ 1 2 k m ) + ( 2 f 1 R + f 2 ) θ ] + A G [ v m η + ( 2 f 1 R + f 2 ) δ c η E 0 ] + R ( c λ E 0 v m λ ( 2 f 1 R + f 2 ) θ ) + v m α + c e α c E 0
ρ ( z 1 R + z 2 ) = E G ( v r ( μ + λ ) + θ z 1 ) + A G ( v r η 1 2 k r A G + δ z 1 ) + v r α v r λ R θ z 1 R
{ ρ f 1 = ( c λ 2 f 1 θ ) 2 4 c ( μ + λ ) 2 k m 2 f 1 θ ρ f 2 = ( ( c E 0 v m ) ( μ + λ ) c α f 2 θ ) ( 2 f 1 θ c λ ) 2 c ( μ + λ ) k m c η ( δ z 1 + v r η ) ( 2 f 1 θ c λ ) k r ( 2 c ( μ + λ ) k m ) + 2 f 1 δ ( δ z 1 + v r η ) k r + c λ E 0 v m λ f 2 θ ρ f 3 = ( ( c E 0 v m ) ( μ + λ ) c α f 2 θ c η A G ) ) 2 4 c ( μ + λ ) 2 k m + A G ( v m η + f 2 δ c η E 0 ) + v m α + c e α c E 0 ρ z 1 = ( c λ 2 f 1 θ ) ( v r ( μ + λ ) + θ z 1 ) ( 2 c ( μ + λ ) k m ) v r λ θ z 1 ρ z 2 = ( k r ( ( c E 0 v m ) ( μ + λ ) c α f 2 θ ) c η ( δ z 1 + v r η ) ) ( v r ( μ + λ ) + θ z 1 ) k r ( 2 c ( μ + λ ) k m ) + v r α + ( δ z 1 + v r η ) 2 2 k r
After solving the system of equations as shown in Equation (A13), we can obtain the coefficients f 1 , f 2 , f 3 , z 1 , z 2 given in Proposition 3. During the solution process, it was noted that f 1 has two solutions. The larger solution will cause the equilibrium solution of the retailer’s low-carbon publicity level to be negative, so only the relatively small solution is considered here.
Further substituting the optimal equilibrium strategy E G and A G into Equation (1), we can derive the expressions of R G ( t ) and R S S G . Finally, substituting f 1 , f 2 , f 3 , z 1 , z 2 into Equation (A10), we can derive the expressions of Π m G , Π r G . Thus, Proposition 4 is proven. □

Appendix B

Proof of Deduction 3. 
Δ = ( ( ρ + 2 θ ) ( 2 c ( μ + λ ) k m ) ) 2 4 c λ θ ( ρ + 2 θ ) ( 2 c ( μ + λ ) k m )
If 2 c ( μ + λ ) k m > 0 , it is not always guaranteed that Δ > 0 .
If Δ < 0 , then Δ in f 1 = ( 2 θ + ρ ) ( k m 2 c μ ) 2 c λ ( θ + ρ ) Δ 4 θ 2 is meaningless.
Therefore, 2 c ( μ + λ ) k m < 0 , Δ > 0
( 2 θ + ρ ) ( k m 2 c μ ) 2 c λ ( θ + ρ ) Δ = [ 2 θ ( k m 2 μ c [ λ c ) ) 2 ( μ + λ ) ρ c + k m ρ ] 2 [ 2 c ( μ ρ + λ ρ + 2 μ θ ) ( ρ + 2 θ ) k m ] ( ρ + 2 θ ) ( 2 c ( μ + λ ) k m ) = 4 λ 2 c 2 θ 2 > 0
From Equation (A14) and 4 θ 2 > 0 , we have f 1 > 0 ,
( 2 ( 2 ( μ + λ ) c k m ) θ + 2 ( μ + λ ) ρ c k m ρ ) 2 Δ = 4 θ ( ρ + 2 θ ) λ ( 2 c ( μ + λ ) k m ) c < 0
It can be seen from (A15), c λ 2 f 1 θ = Δ + 2 ( 2 ( μ + λ ) c k m ) θ + 2 ( μ + λ ) ρ c k m ρ 2 θ < 0 .
Since A G = δ z 1 + η v r k r , A B = δ c 1 + η v r k r , z 1 = c 1 , we can obtain A G = A B .
From   A G A N = v r δ [ ( ρ + θ ) ( 2 f 1 θ + 3 λ c k m ) ( u + λ ) + θ λ ( 2 f 1 θ λ c ) ] { ( 2 f 1 θ 2 + [ ( λ + 2 μ ) c k m ] θ + [ 2 c ( λ + μ ) k m ) ] ρ } k r ( ρ + θ )
And f 1 > 0 ,   2 f 1 θ λ c < 0 , μ > λ , 2 f 1 θ + 3 λ c k m = ( ρ + 2 θ ) ( 2 c λ 2 c u ) ρ k m Δ 2 θ < 0 .
Therefore, v r δ [ ( ρ + θ ) ( 2 f 1 θ + 3 λ c k m ) ( u + λ ) + θ λ ( 2 f 1 θ λ c ) ]
2 f 1 θ 2 + ( ( λ + 2 μ ) c k m ) θ + ( 2 ( λ + μ ) c k m ) ρ = ( 2 ( λ + μ ) c k m ) ρ ( ρ + 2 θ ) ( 2 ( λ + μ ) c k m ) ( 2 ( 2 μ θ + ρ ( λ + μ ) ) c k m ( ρ + 2 θ ) ) 2
[ ( 2 λ c + 2 μ c k m ) ρ ] 2 ( ρ + 2 θ ) [ 2 ( λ + μ ) c k m ] { 2 c [ 2 μ θ ρ ( λ + μ ) ] c k m ( ρ + 2 θ ) } = { [ 4 μ θ + ρ ( 2 λ + 4 μ ) ] c 2 k m ( ρ + θ ) } [ 4 c ( λ + μ ) 2 k m ] θ
2 c μ k m < 0 We can finally obtain that A G A N > 0 . □

References

  1. Zhu, C.; Fan, R.; Luo, M.; Zhang, Y.; Qin, M. Simulating policy interventions for different quota targets of renewable portfolio standard: A combination of evolutionary game and system dynamics approach. Sustain. Prod. Consum. 2022, 30, 1053–1069. [Google Scholar] [CrossRef]
  2. Zhang, X.; Li, Z.; Li, G. Grandfather-based or benchmark-based: Strategy choice for carbon quota allocation methods in the carbon neutrality era. Renew. Sustain. Energy. Rev. 2024, 192, 114195. [Google Scholar] [CrossRef]
  3. Wang, X.; Shen, Y.; Su, C. Exploring the willingness and evolutionary process of public participation in community shared energy storage projects: Evidence from four first-tier cities in China. J. Clean. Prod. 2024, 472, 143462. [Google Scholar] [CrossRef]
  4. Li, Z.; Pu, H.; Li, T. Knowledge mapping and evolutionary analysis of energy storage resource management under renewable energy uncertainty: A bibliometric analysis. Front. Energy Res. 2024, 12, 1394318. [Google Scholar] [CrossRef]
  5. Ghosh, D.; Shah, J. A comparative analysis of greening policies across supply chain structures. Int. J. Product. Econ. 2012, 135, 568–583. [Google Scholar] [CrossRef]
  6. Wang, Y.; Xu, X.; Zhu, Q. Carbon emission reduction decisions of supply chain members under cap-and-trade regulations: A differential game analysis. Comput. Ind. Eng. 2021, 162, 107711. [Google Scholar] [CrossRef]
  7. Opening Up a New Legal Situation in Carbon Emission Rights Market Trading_Policy Interpretation. Available online: https://www.gov.cn/zhengce/202402/content_6934526.html. (accessed on 5 March 2024).
  8. Edwards, H.; Hutton, J. Allocation of carbon permits within a country: A general equilibrium analysis of the United Kingdom. Energy Econ. 2001, 23, 371–386. [Google Scholar] [CrossRef]
  9. Rontard, B.; Reyes Hernández, H. Political construction of carbon pricing: Experience from New Zealand emissions trading scheme. Environ. Dev. 2022, 43, 100727. [Google Scholar] [CrossRef]
  10. Ao, Z.; Fei, R.; Jiang, H.; Cui, L.; Zhu, Y. How can China achieve its goal of peaking carbon emissions at minimal cost? A research perspective from shadow price and optimal allocation of carbon emissions. J. Environ. Manag. 2023, 325, 116458. [Google Scholar] [CrossRef]
  11. Yang, L.; Zhang, Q.; Ji, J. Pricing and carbon emission reduction decisions in supply chains with vertical and horizontal cooperation. Int. J. Product. Econ. 2017, 191, 286–297. [Google Scholar] [CrossRef]
  12. Alegoz, M.; Kaya, O.; Bayindir, P. A comparison of pure manufacturing and hybrid manufacturing–remanufacturing systems under carbon tax policy. Eur. J. Oper. Res. 2021, 294, 161–173. [Google Scholar] [CrossRef]
  13. Ma, D.; Wang, X.; Hu, J. Platform selling mode selection considering consumer reference effect in carbon emission reduction. Int. J. Environ. Res. Public Health 2023, 20, 755. [Google Scholar] [CrossRef] [PubMed]
  14. Yang, L.; Hu, Y.; Huang, L. Collecting mode selection in a remanufacturing supply chain under cap-and-trade regulation. Eur. J. Oper. Res. 2020, 287, 480–496. [Google Scholar] [CrossRef]
  15. Zhao, Y.; Hou, R. Manufacturer encroachment with carbon cap-and-trade policy under asymmetric information. J. Clean. Prod. 2024, 438, 140816. [Google Scholar] [CrossRef]
  16. Ji, T.; Xu, X.; Yan, X.; Yu, Y. The production decisions and cap setting with wholesale price and revenue sharing contracts under cap-and-trade regulation. Int. J. Prod. Res. 2020, 58, 128–147. [Google Scholar] [CrossRef]
  17. Cai, J.; Jiang, F. Decision models of pricing and carbon emission reduction for low-carbon supply chain under cap-and-trade regulation. Int. J. Product. Econ. 2023, 264, 108964. [Google Scholar] [CrossRef]
  18. Li, J.; Liang, L.; Xie, J.; Xie, J. Manufacture's entry and green strategies with carbon trading policy. Comput. Ind. Eng. 2022, 171, 108472. [Google Scholar] [CrossRef]
  19. Ma, X.; Ho, W.; Ji, P.; Talluri, S. Contract design with information asymmetry in a supply chain under an emissions trading mechanism. Decis. Sci. 2018, 49, 121–153. [Google Scholar] [CrossRef]
  20. Xia, J.; Niu, W. Carbon-reducing contract design for a supply chain with environmental responsibility under asymmetric information. Omega 2021, 102, 102390. [Google Scholar] [CrossRef]
  21. Tang, R.; Yang, L. Impacts of financing mechanism and power structure on supply chains under cap-and-trade regulation. Transp. Res. Part E Logist. Transp. Rev. 2020, 139, 101957. [Google Scholar] [CrossRef]
  22. Zhen, X.; Shi, D.; Li, Y.; Zhang, C. Manufacturer’s financing strategy in a dual-channel supply chain: Third-party platform, bank, and retailer credit financing. Transp. Res. Part E Logist. Transp. Rev. 2020, 133, 101820. [Google Scholar] [CrossRef]
  23. Wang, Y.; Yu, T.; Wu, Q.; Cheng, T.C.E.; Sun, Y. Optimal carbon quota allocation for a capital-constrained e-commerce supply chain under the carbon rights buyback policy. Comput. Ind. Eng. 2024, 188, 109902. [Google Scholar] [CrossRef]
  24. Qi, S.; Zhou, C.; Li, K.; Tang, S. The impact of a carbon trading pilot policy on the low-carbon international competitiveness of industry in China: An empirical analysis based on a DDD model. J. Clean. Prod. 2021, 281, 125361. [Google Scholar] [CrossRef]
  25. Chi, Y.; Zhao, H.; Hu, Y.; Yuan, Y.; Pang, Y. The impact of allocation methods on carbon emission trading under electricity marketization reform in China: A system dynamics analysis. Energy 2022, 259, 125034. [Google Scholar] [CrossRef]
  26. Yoon, K.; Oh, H. Impacts of ETS allocation rules on abatement investment and market structure. Energy. Econ. 2021, 101, 105402. [Google Scholar] [CrossRef]
  27. Wang, M.; Zhao, R.; Li, B. Impact of financing models and carbon allowance allocation rules in a supply chain. J. Clean. Prod. 2021, 302, 126794. [Google Scholar] [CrossRef]
  28. Yang, W.; Pan, Y.; Ma, J.; Yang, T.; Ke, X. Effects of allowance allocation rules on green technology investment and product pricing under the cap-and-trade mechanism. Energy Policy 2020, 139, 111333. [Google Scholar] [CrossRef]
  29. Ji, J.; Zhang, Z.; Yang, L. Comparisons of initial carbon allowance allocation rules in an O2O retail supply chain with the cap-and-trade regulation. Int. J. Product. Econ. 2017, 187, 68–84. [Google Scholar] [CrossRef]
  30. Su, C.; Deng, J.; Li, X.; Cheng, F.; Huang, W.; Wang, C.; He, W.; Wang, X. Research on the Game Strategy of Mutual Safety Risk Prevention and Control of Industrial Park Enterprises under Blockchain Technology. Systems 2024, 12, 351. [Google Scholar] [CrossRef]
  31. Dye, C.; Yang, C.; Wu, C. Joint dynamic pricing and preservation technology investment for an integrated supply chain with reference price effects. J. Oper. Res. Soc. 2018, 69, 811–824. [Google Scholar] [CrossRef]
  32. Zhang, J.; Chiang, W. Durable goods pricing with reference price effects. Omega 2020, 91, 102018. [Google Scholar] [CrossRef]
  33. Chen, X.; Hu, P.; Hu, Z. Efficient algorithms for the dynamic pricing problem with reference price effect. Manag. Sci. 2016, 63, 4389–4408. [Google Scholar] [CrossRef]
  34. Cao, Y.; Duan, Y. Joint production and pricing inventory system under stochastic reference price effect. Comput. Ind. Eng. 2020, 143, 106411. [Google Scholar] [CrossRef]
  35. Saha, S.; Nielsen, I.; Moon, I. Optimal retailer investments in green operations and preservation technology for deteriorating items. J. Clean. Prod. 2017, 140, 1514–1527. [Google Scholar] [CrossRef]
  36. Chenavaz, R. Dynamic quality policies with reference quality effects. Appl. Econ. 2017, 49, 3156–3162. [Google Scholar] [CrossRef]
  37. Li, Y.; Lin, X.; Zhou, X.; Jiang, M. Supply chain quality decisions with reference effect under supplier competition environment. Sustainability 2022, 14, 4939. [Google Scholar] [CrossRef]
  38. Chenavaz, R.; Feichtinger, G.; Hartl, R.; Kort, P. Modeling the impact of product quality on dynamic pricing and advertising policies. Eur. J. Oper. Res. 2020, 284, 990–1001. [Google Scholar] [CrossRef]
  39. Liu, G.; Sethi, S.P.; Zhang, J. Myopic vs. far-sighted behaviours in a revenue-sharing supply chain with reference quality effects. Int. J. Prod. Res. 2016, 54, 1334–1357. [Google Scholar] [CrossRef]
  40. Liu, L.; LI, F. Differential game modelling of joint carbon reduction strategy and contract coordination based on low-carbon reference of consumers. J. Clean. Prod. 2020, 277, 123798. [Google Scholar] [CrossRef]
  41. Yu, B.; Wang, J.; Lu, X.; Yang, H. Collaboration in a low-carbon supply chain with reference emission and cost learning effects: Cost sharing versus revenue sharing strategies. J. Clean. Prod. 2020, 250, 119460. [Google Scholar] [CrossRef]
  42. Wang, X.; Gao, Z.; Zhang, C.; Su, C. Dual reference effect and dynamic control of quality improvement and low-carbon effort under nonlinear demand. J. Clean. Prod. 2023, 418, 138225. [Google Scholar] [CrossRef]
  43. Zhang, Z.; Yu, L. Dynamic optimization and coordination of cooperative emission reduction in a dual-channel supply chain considering reference low-carbon effect and low-carbon goodwill. Int. J. Env. Res. Public Health 2021, 18, 539. [Google Scholar] [CrossRef] [PubMed]
  44. Liu, Z.; Anderson, T.; Cruz, J. Consumer environmental awareness and competition in two-stage supply chains. Eur. J. Oper. Res. 2012, 218, 602–613. [Google Scholar] [CrossRef]
  45. Jørgensen, S.; Zaccour, G. A survey of game-theoretic models of cooperative advertising. Eur. J. Oper. Res. 2014, 237, 1–14. [Google Scholar] [CrossRef]
  46. Pu, H.; Wang, X.; Li, T.; Su, C. Dynamic control of low-carbon efforts and process innovation considering knowledge accumulation under dual-carbon policies. Comput. Ind. Eng. 2024, 196, 110526. [Google Scholar] [CrossRef]
  47. Xia, L.; Guo, T.; Qin, J.; Yue, X.; Zhu, N. Carbon emission reduction and pricing policies of a supply chain considering reciprocal preferences in cap-and-trade system. Ann. Oper. Res. 2018, 268, 149–175. [Google Scholar] [CrossRef]
  48. He, X.; Prasad, A.; Sethi, S.P. Cooperative advertising and pricing in a dynamic stochastic supply chain: Feedback stackelberg strategies. Prod. Oper. Manag. 2009, 18, 78–94. [Google Scholar] [CrossRef]
  49. Chen, W.; Zhang, L.; Dong, H. Impact of cap-and-trade mechanisms on investments in renewable energy and marketing effort. Sustain. Prod. Consum. 2021, 28, 1333–1342. [Google Scholar] [CrossRef]
Figure 1. Decision-making process of supply chain members.
Figure 1. Decision-making process of supply chain members.
Systems 12 00371 g001
Figure 2. The optimal path of low-carbon reference levels over time.
Figure 2. The optimal path of low-carbon reference levels over time.
Systems 12 00371 g002
Figure 3. The impact of carbon price on manufacturers’ emission-reduction level.
Figure 3. The impact of carbon price on manufacturers’ emission-reduction level.
Systems 12 00371 g003
Figure 4. The impact of carbon price on retailers’ publicity level.
Figure 4. The impact of carbon price on retailers’ publicity level.
Systems 12 00371 g004
Figure 5. The impact of low-carbon reference effect on manufacturers’ emission-reduction level.
Figure 5. The impact of low-carbon reference effect on manufacturers’ emission-reduction level.
Systems 12 00371 g005
Figure 6. The impact of low-carbon reference effect on retailers’ publicity level.
Figure 6. The impact of low-carbon reference effect on retailers’ publicity level.
Systems 12 00371 g006
Figure 7. The impact of g and λ on manufacturers’ and retailers’ profits. (a) The impact of g and λ on manufacturers’ profits and (b) the impact of g and λ on retailers’ profits.
Figure 7. The impact of g and λ on manufacturers’ and retailers’ profits. (a) The impact of g and λ on manufacturers’ profits and (b) the impact of g and λ on retailers’ profits.
Systems 12 00371 g007
Figure 8. The impact of e and λ on manufacturers’ and retailers’ profits. (a) The impact of e and λ on manufacturers’ profits and (b) the impact of e and λ on retailers’ profits.
Figure 8. The impact of e and λ on manufacturers’ and retailers’ profits. (a) The impact of e and λ on manufacturers’ profits and (b) the impact of e and λ on retailers’ profits.
Systems 12 00371 g008
Table 1. Comparative analysis of relevant studies.
Table 1. Comparative analysis of relevant studies.
PaperLow-Carbon Reference EffectCarbon Quota AllocationMethodology
GrandfatheringBenchmarkingStaticsDynamic
Yang et al. [14]
Cai and Jiang [17]
Wang et al. [23]
Yoon and Oh [26]
Liu and Li [40]
Wang et al. [42]
This paper
Table 2. Notations and their definitions.
Table 2. Notations and their definitions.
Decision VariablesDefinition
E ( t ) Carbon emission reduction level per unit of product at time t
A ( t ) Product’s low-carbon publicity level at time t
State VariableDefinition
R ( t ) Consumer’s low-carbon reference level at time t
ParametersDefinition
v m , v r Manufacturers’ and retailers’ marginal profit per unit of product ( v m > 0 , v r > 0 )
α Potential demand in the product market ( α > 0 )
E 0 Initial carbon emissions per unit of product without emission reduction treatment
k m , k r Manufacturer’s emission-reduction cost coefficient, retailer’s low-carbon publicity cost coefficient ( k m > 0 , k r > 0 )
θ Coefficient of consumers’ memory of low-carbon reference level ( θ > 0 )
δ Coefficient of the effect of product’s low-carbon publicity on low-carbon reference ( δ > 0 )
μ Coefficient of consumers’ low-carbon preference ( μ > λ )
λ Coefficient of the effect of low-carbon reference on demand ( λ > 0 )
η Coefficient of the effect of product’s low-carbon publicity level on demand ( η > 0 )
c Price per unit of carbon quota (buying price is equal to selling price), determined by the carbon trading market ( c > 0 )
g Carbon quotas per unit of product determined by the government based on carbon emission statistics of products in the same industry ( g > 0 )
e Carbon quotas determined by the government based on historical statistics on carbon emissions of companies ( e > 0 )
SuperscriptDefinition
N No emissions penalty
G Carbon trading policy under grandfathering principle
B Carbon trading policy under benchmarking principle
SubscriptDefinition
m Manufacturer
r Retailer
Table 3. Members’ decision outcomes under three scenarios.
Table 3. Members’ decision outcomes under three scenarios.
Decision VariableState VariableTarget Variable
E A R Π m Π r Π
No emissions penalty (N)0.680.760.9377.5742.45120.02
Grandfathering principle (G)1.891.012.23651.01239.98890.99
Benchmarking principle (B)2.171.012.51661.67267.98929.65
Disclaimer/Publisher’s Note: The statements, opinions and data contained in all publications are solely those of the individual author(s) and contributor(s) and not of MDPI and/or the editor(s). MDPI and/or the editor(s) disclaim responsibility for any injury to people or property resulting from any ideas, methods, instructions or products referred to in the content.

Share and Cite

MDPI and ACS Style

Wu, A.; Zhang, R.; Sun, Y.; Sun, L.; Wang, S.; Wang, X. Differential Games of Supply Chain on Consideration of Low-Carbon Reference Effect under Different Carbon Quota Allocation Methods. Systems 2024, 12, 371. https://doi.org/10.3390/systems12090371

AMA Style

Wu A, Zhang R, Sun Y, Sun L, Wang S, Wang X. Differential Games of Supply Chain on Consideration of Low-Carbon Reference Effect under Different Carbon Quota Allocation Methods. Systems. 2024; 12(9):371. https://doi.org/10.3390/systems12090371

Chicago/Turabian Style

Wu, Anbo, Ronglin Zhang, Yue Sun, Linhui Sun, Shuhan Wang, and Xinping Wang. 2024. "Differential Games of Supply Chain on Consideration of Low-Carbon Reference Effect under Different Carbon Quota Allocation Methods" Systems 12, no. 9: 371. https://doi.org/10.3390/systems12090371

APA Style

Wu, A., Zhang, R., Sun, Y., Sun, L., Wang, S., & Wang, X. (2024). Differential Games of Supply Chain on Consideration of Low-Carbon Reference Effect under Different Carbon Quota Allocation Methods. Systems, 12(9), 371. https://doi.org/10.3390/systems12090371

Note that from the first issue of 2016, this journal uses article numbers instead of page numbers. See further details here.

Article Metrics

Back to TopTop